Evaluation of Adding Natural Gum to Pectin Extracted from Ecuadorian Citrus Peels as an Eco-Friendly Corrosion Inhibitor for Carbon Steel
Abstract
:1. Introduction
2. Results and Discussion
2.1. Evaluation of Citrus Pectin Extraction
2.2. Physicochemical and Structural Characterization of Pectin
2.2.1. Physicochemical Evaluation
- Equivalent weight (PEq)
- Methoxyl content (%Me) and esterification degree (%DE).
- Galacturonic acid (%AUA) and ash content.
2.2.2. FTIR, DSC, and TGA Structural Characterization
2.3. Effect of Adding Natural Gums to Extracted Pectin on Corrosion Inhibition for Carbon Steel in Saline Media
2.3.1. Determining the Optimal Formulation of Pectin and Natural Gum for Carbon Steel Corrosion Inhibition
2.3.1.1. Open Circuit Potential (EoC) Analysis from LPR Assays
2.3.1.2. Linear Polarization Resistance Analysis
2.3.1.3. Tafel Analysis
2.3.1.4. Comparison of the Inhibitory Effect of Pex 50%–Gx 50%, Pex, and Cm
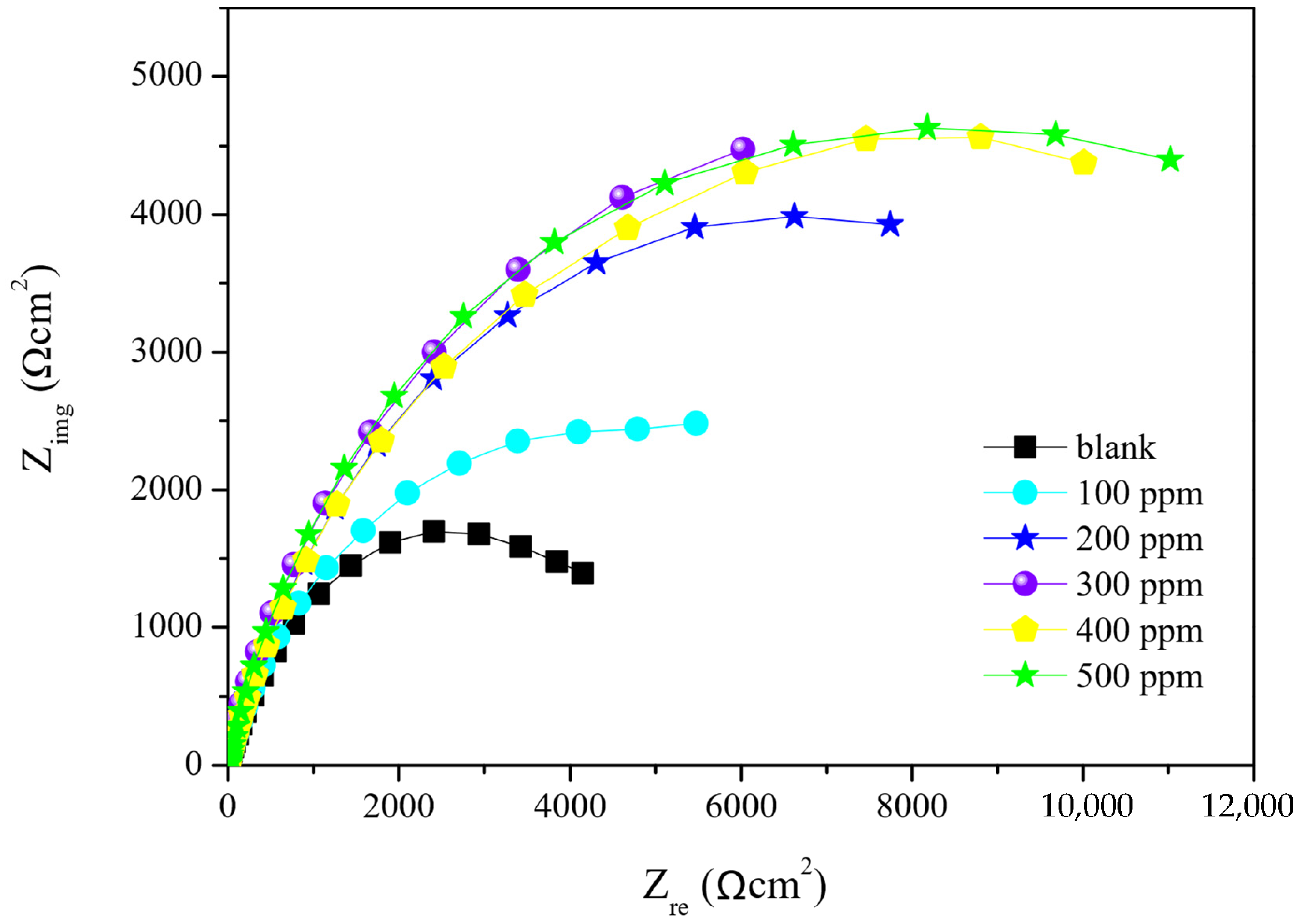
2.3.2. Electrochemical Impedance Spectroscopy (EIS) Test
2.3.3. Weight Loss Method
3. Materials and Methods
3.1. Raw Material and Reagents
3.2. Citrus Pectin Extraction
3.3. Evaluation of Physicochemical and Structural Properties
3.3.1. Equivalent Weight
3.3.2. Methoxyl Content
3.3.3. Galacturonic Acid Content
3.3.4. Esterification Degree Determination
3.3.5. Ash Content
3.4. Structural Analysis
3.5. Evaluation of Natural Gums Added to Extracted Pectin for Carbon Steel Corrosion Inhibition
3.5.1. LPR Electrochemical Evaluation
3.5.2. EIS Analysis
3.5.3. Weight Loss Method
4. Conclusions
Author Contributions
Funding
Acknowledgments
Conflicts of Interest
Sample Availability
Appendix A
| Source of Variation | Sum of Squares | Degrees of Freedom | Mean Square | F-Ratio | p-Value |
|---|---|---|---|---|---|
| A:pH | 3871.02 | 1 | 3871.02 | 954.17 | 0.0000 |
| B:time | 11.2058 | 1 | 11.2058 | 2.76 | 0.1247 |
| C:temperature | 44.2558 | 1 | 44.2558 | 10.91 | 0.0070 |
| AB | 19.8248 | 1 | 19.8248 | 4.89 | 0.0492 |
| AC | 31.332 | 1 | 31.332 | 7.72 | 0.0179 |
| BC | 7.06231 | 1 | 7.06231 | 1.74 | 0.2138 |
| Total error | 44.6264 | 11 | 4.05695 | ||
| Total (corr.) | 4029.32 | 17 |
| Source of Variation | Sum of Squares | Degrees of Freedom | Mean Square | F-Ratio | p-Value |
|---|---|---|---|---|---|
| A:pH | 3560.81 | 1 | 3560.81 | 1726.49 | 0.0000 |
| B:time | 32.5756 | 1 | 32.5756 | 15.79 | 0.0026 |
| C:temperature | 62.055 | 1 | 62.055 | 30.09 | 0.0003 |
| AB | 19.8693 | 1 | 19.8693 | 9.63 | 0.0112 |
| AC | 66.8715 | 1 | 66.8715 | 32.42 | 0.0002 |
| BC | 7.43926 | 1 | 7.43926 | 3.61 | 0.0867 |
| blocks | 4.5000 | 1 | 4.5000 | 2.18 | 0.1704 |
| Total error | 20.6245 | 10 | 2.06245 | ||
| Total (corr.) | 3774.74 | 17 |

Appendix B
| Element | Metal Sample (%) |
|---|---|
| Carbon (C) | 0.111 |
| Silicon (Si) | 0.228 |
| Manganese (Mn) | 0.662 |
| Phosphorus (P) | 0.030 |
| Nickel (Ni) | 0.028 |
| Aluminium (Al) | 0.027 |
| Iron (Fe) | 98.89 |
| Total | 99.97 |
References
- Popoola, L.; Grema, A.; Latinwo, G.; Gutti, B.; Balogun, A. Corrosion problems during oil and gas production and its mitigation. Int. J. Ind. Chem. 2013, 4, 35. [Google Scholar] [CrossRef] [Green Version]
- Hou, B.; Li, X.; Ma, X.; Du, C.; Zhang, D.; Zheng, M.; Xu, W.; Lu, D.; Ma, F. The cost of corrosion in China. NPJ Mater. Degrad. 2017, 1, 4. [Google Scholar] [CrossRef]
- Omran, B.A.; Abdel-Salam, M.O. Basic Corrosion Fundamentals, Aspects and Currently Applied Strategies for Corrosion Mitigation. In A New Era for Microbial Corrosion Mitigation Using Nanotechnology; Springer: Cham, Switzerland, 2020; pp. 1–45. ISBN 9783030495329. [Google Scholar]
- Bruce MacKay, N.A.; Marko Stipaničev, Ø.B.; Jackson, J.E.; Jenkins, A.; Mélot, D.; Scheie, J.; Vittonato, J. Corrosion—The longest war. Oilf. Rev. 2016, 28, 34–49. [Google Scholar]
- Smith, J.P.; Gilbert, I.H.; Solbakken, J.E. Impact Differentiation of Environmentally Friendly Versus Standard Corrosion Inhibitors Discharged into A Tropical Marine Environment. In Proceedings of the Corrosion 2000, NACE Conference & Expo, NACE, Orlando, FL, USA, 26–31 March 2000; pp. 1–13. [Google Scholar]
- Rani, B.E.A.; Basu, B.B.J. Green Inhibitors for Corrosion Protection of Metals and Alloys: An Overview. Int. J. Corros. 2012, 2012, 380217. [Google Scholar] [CrossRef]
- Flutto, L. PECTIN|Properties and Determination. In Encyclopedia of Food Sciences and Nutrition; Elsevier: Amsterdam, The Netherlands, 2003; pp. 4440–4449. [Google Scholar]
- Nasrollahzadeh, M.; Sajjadi, M.; Sajadi, S.M.; Issaabadi, Z. Green Nanotechnology. In An Introduction to Green Nanotechnology; Mahmoud, N., Sajad, M.S., Sajjad, M., Issaabadi, Z., Atarod, M., Eds.; Elsevier Ltd.: Amsterdam, The Netherlands, 2019; Volume 28, pp. 145–198. ISBN 9780128135860. [Google Scholar]
- Picot-Allain, M.C.N.; Ramasawmy, B.; Emmambux, M.N. Extraction, Characterisation, and Application of Pectin from Tropical and Sub-Tropical Fruits: A Review. Food Rev. Int. 2020, 38, 282–312. [Google Scholar] [CrossRef]
- Umoren, S.A.; Obot, I.B.; Madhankumar, A.; Gasem, Z.M. Performance evaluation of pectin as ecofriendly corrosion inhibitor for X60 pipeline steel in acid medium: Experimental and theoretical approaches. Carbohydr. Polym. 2015, 124, 280–291. [Google Scholar] [CrossRef]
- Fiori-Bimbi, M.V.; Alvarez, P.E.; Vaca, H.; Gervasi, C.A. Corrosion inhibition of mild steel in HCL solution by pectin. Corros. Sci. 2015, 92, 192–199. [Google Scholar] [CrossRef]
- Fares, M.M.; Maayta, A.K.; Al-Qudah, M.M. Pectin as promising green corrosion inhibitor of aluminum in hydrochloric acid solution. Corros. Sci. 2012, 60, 112–117. [Google Scholar] [CrossRef]
- Grassino, A.N.; Halambek, J.; Djaković, S.; Rimac Brnčić, S.; Dent, M.; Grabarić, Z. Utilization of tomato peel waste from canning factory as a potential source for pectin production and application as tin corrosion inhibitor. Food Hydrocoll. 2016, 52, 265–274. [Google Scholar] [CrossRef]
- Arukalam, I.O.; Alaohuru, C.O.; Ugbo, C.O.; Jideofor, K.N.; Ehirim, P.N.; Madufor, I.C. Effect of Xanthan gum on the Corrosion Protection of Aluminium in HCl medium. Int. J. Adv. Res. Technol. 2014, 3, 5–16. [Google Scholar]
- Durán-Peña, M.J.; Flores-Giubi, M.E.; Botubol-Ares, J.M.; Escobar-Montaño, F.; Macías-Sánchez, A.J.; Echeverri, L.F.; Collado, I.G.; Hernández-Galán, R. Lathyrane Diterpenes from the Latex of Euphorbia laurifolia. Nat. Prod. Commun. 2017, 12, 1934578X1701200. [Google Scholar] [CrossRef] [Green Version]
- Qiang, Y.; Zhang, S.; Tan, B.; Chen, S. Evaluation of Ginkgo leaf extract as an eco-friendly corrosion inhibitor of X70 steel in HCl solution. Corros. Sci. 2018, 133, 6–16, ISSN 0010-938X. [Google Scholar] [CrossRef]
- Mendoza Vargas, L.; Jiménez Forero, J.; Ramírez Niño, M. Evaluación de la pectina extraída enzimáticamente a partir de las cáscaras del fruto de cacao (Theobroma cacao L.). Rev. UDCA Actual. Divulg. Científica 2017, 20, 131–138. [Google Scholar] [CrossRef] [Green Version]
- Methacanon, P.; Krongsin, J.; Gamonpilas, C. Pomelo (Citrus maxima) pectin: Effects of extraction parameters and its properties. Food Hydrocoll. 2014, 35, 383–391. [Google Scholar] [CrossRef]
- Liew, S.Q.; Chin, N.L.; Yusof, Y.A. Extraction and Characterization of Pectin from Passion Fruit Peels. Agric. Agric. Sci. Procedia 2014, 2, 231–236. [Google Scholar] [CrossRef] [Green Version]
- Altaf, U.; Immanuel, G.; Iftikhar, F. Extraction and characterization of pectin derived from papaya (Carica papaya Linn.) PEEL. Int. J. Sci. Eng. Technol. 2015, 3, 970–974. [Google Scholar] [CrossRef]
- El-Naggar, M.M. Corrosion inhibition of mild steel in acidic medium by some sulfa drugs compounds. Corros. Sci. 2007, 49, 2226–2236. [Google Scholar] [CrossRef]
- Yıldırım, A.; Çetin, M. Synthesis and evaluation of new long alkyl side chain acetamide, isoxazolidine and isoxazoline derivatives as corrosion inhibitors. Corros. Sci. 2008, 50, 155–165. [Google Scholar] [CrossRef]
- Ramli, N. Asmawati Effect of ammonium oxalate and acetic acid at several extraction time and pH on some physicochemical properties of pectin from cocoa husks (Theobroma cacao). Afr. J. Food Sci. 2011, 5, 790–798. [Google Scholar] [CrossRef]
- Iglesias, M.T.; Lozano, J.E. Extraction and characterization of sunflower pectin. J. Food Eng. 2004, 62, 215–223. [Google Scholar] [CrossRef]
- Food and Agriculture Organization of the United Nations. Compendium of Food Additive Specifications; FAO: Rome, Italy, 2007; ISBN 978-92-5-105866-4. [Google Scholar]
- Sato, M.D.F.; Rigoni, D.C.; Canteri, M.H.G.; Petkowicz, C.L.D.O.; Nogueira, A.; Wosiacki, G. Chemical and instrumental characterization of pectin from dried pomace of eleven apple cultivars. Acta Sci. Agron. 2011, 33, 383–389. [Google Scholar] [CrossRef]
- Urias-Orona, V.; Rascón-Chu, A.; Lizardi-Mendoza, J.; Carvajal-Millán, E.; Gardea, A.A.; Ramírez-Wong, B. A Novel Pectin Material: Extraction, Characterization and Gelling Properties. Int. J. Mol. Sci. 2010, 11, 3686–3695. [Google Scholar] [CrossRef] [PubMed] [Green Version]
- Garside, P.; Wyeth, P. Identification of Cellulosic Fibres by FTIR Spectroscopy—Thread and Single Fibre Analysis by Attenuated Total Reflectance. Stud. Conserv. 2003, 48, 269–275. [Google Scholar] [CrossRef] [Green Version]
- Aburto, J.; Moran, M.; Galano, A.; Torres-García, E. Non-isothermal pyrolysis of pectin: A thermochemical and kinetic approach. J. Anal. Appl. Pyrolysis 2015, 112, 94–104. [Google Scholar] [CrossRef]
- Ptaszek, P.; Kabziński, M.; Kruk, J.; Kaczmarczyk, K.; Żmudziński, D.; Liszka-Skoczylas, M.; Mickowska, B.; Łukasiewicz, M.; Banaś, J. The effect of pectins and xanthan gum on physicochemical properties of egg white protein foams. J. Food Eng. 2015, 144, 129–137. [Google Scholar] [CrossRef]
- Calderón, J.; Rossa Mattos, Ó.; Esteves Barcia, O. Analysis of the of cobalt open-circuit-potential behavior in a slightly alkaline media. Rev. Fac. Ing. Univ. Antioquia 2006, 38, 20–30. [Google Scholar]
- ASTM International. ASTM G59-97 “Standard Test Method for Conducting Potentiodynamic Polarization Resistance Measurements”; ASTM: Filadelfia, PA, USA, 2014. [Google Scholar]
- Sangeetha, M.; Rajendran, S.; Sathiyabama, J.; Prabhakar, P. Eco friendly extract of Banana peel as corrosion inhibitor for carbon steel in sea water. J. Nat. Prod. Plant Resour 2012, 2, 601–610. [Google Scholar]
- da Rocha, J.C.; da Cunha Ponciano Gomes, J.A.; D’Elia, E. Corrosion inhibition of carbon steel in hydrochloric acid solution by fruit peel aqueous extracts. Corros. Sci. 2010, 52, 2341–2348. [Google Scholar] [CrossRef]
- Azad, A.K.M.; Ali, M.A.; Akter, S.; Rahman, J.; Ahmed, M. Isolation and Characterization of Pectin Extracted from Lemon Pomace during Ripening. J. Food Nutr. Sci. 2014, 2, 30. [Google Scholar] [CrossRef]
- ASTM International. ASTM E1755-01 Standard Test Method for Ash in Biomass; ASTM: Filadelfia, PA, USA, 2015. [Google Scholar]
- Einhorn-Stoll, U.; Kunzek, H.; Dongowski, G. Thermal analysis of chemically and mechanically modified pectins. Food Hydrocoll. 2007, 21, 1101–1112. [Google Scholar] [CrossRef]
- NACE International. NACE 1D-196 Laboratory Test Methods for Evaluating Oilfield Corrosion Inhibitors; NACE: Houston, TX, USA, 2014. [Google Scholar]
- ASTM International. ASTM G31-72 “Standard Practice for Laboratory Immersion Corrosion Testing of Metals”; ASTM: Filadelfia, PA, USA, 2004. [Google Scholar]







| King Mandarin Pectin | ||||
| pH | PEq | %Met | %AUA | %DE |
| 3 | 1780.90 ± 186.56 | 8.85 ± 0.28 | 63.73 ± 3.41 | 79.50 ± 1.78 |
| 2 | 948.47 ± 63.56 | 8.36 ± 0.08 | 66.25 ± 0.79 | 71.74 ± 1.55 |
| 1 | 488.23 ± 4.12 | 7.66 ± 0.03 | 79.48 ± 0.44 | 55.25 ± 0.32 |
| Tahiti Lime Pectin | ||||
| pH | PEq | %Met | %AUA | %DE |
| 3 | 3135.22 ± 186.71 | 9.00 ± 0.32 | 71.21 ± 6.53 | 89.64 ± 0.98 |
| 2 | 857.80 ± 124.13 | 7.83 ± 0.29 | 72.66 ± 3.51 | 66.72 ± 1.93 |
| 1 | 489.11 ± 5.99 | 7.79 ± 0.08 | 81.17 ± 0.65 | 54.97 ± 0.47 |
| Concentration | Pectin Cm | Pex 50% and Gx 50% | Pectin Pex | |||
|---|---|---|---|---|---|---|
| Icorr | Ef | Icorr | Ef | Icorr | Ef | |
| ppm | mA/cm2 | % | mA/cm2 | % | mA/cm2 | % |
| Blank | 32.26 | 0.00 | 32.26 | 0.00 | 32.26 | 0.00 |
| 100 | 8.31 | 75.14 | 15.06 | 41.10 | 20.98 | 35.06 |
| 200 | 7.52 | 76.32 | 14.46 | 53.23 | 14.34 | 57.16 |
| 300 | 6.53 | 83.31 | 7.22 | 77.18 | 17.23 | 45.03 |
| 400 | 7.64 | 75.27 | 6.60 | 78.21 | 22.35 | 29.20 |
| 500 | 9.14 | 71.14 | 7.71 | 73.25 | 25.53 | 26.14 |
| 600 | 13.24 | 57.08 | 12.84 | 65.11 | 25.98 | 25.17 |
| 700 | 13.07 | 59.27 | 16.46 | 47.21 | 25.36 | 26.36 |
| 800 | 14.66 | 54.23 | 16.54 | 47.36 | 25.54 | 26.12 |
| 900 | 13.87 | 59.18 | 16.91 | 46.35 | 21.51 | 27.14 |
| 1000 | 15.11 | 52.40 | 19.36 | 36.20 | 25.02 | 26.25 |
| Technique | LPR | EIS | Weight Loss | ||||||
|---|---|---|---|---|---|---|---|---|---|
| Concentration | Potential Corrosion (Ecorr) | Current Intensity (Icorr) | Efficiency (Ef) | Charge Transfer Resistance (Rct) | Capacitance Double Layer (Cdl) | n | Efficiency (Ef) | Corrosion rate | Efficiency Ef |
| (ppm) | (mV) | (%) | (%) | (mmpy) | (%) | ||||
| 0 | −649.94 | 32.26 | 0.00 | 502.67 | 2210.79 | 0.76 | 0.00 | 0.085 | 0.00 |
| 100 | −564.79 | 15.06 | 41.10 | 826.38 | 1604.94 | 0.75 | 39.24 | 0.052 | 39.42 |
| 200 | 596.43 | 14.46 | 53.23 | 1087.77 | 1463.13 | 0.72 | 54.12 | 0.033 | 61.21 |
| 300 | −665.84 | 7.22 | 77.18 | 1331.98 | 1194.87 | 0.79 | 62.23 | 0.026 | 69.06 |
| 400 | −533.98 | 6.60 | 78.21 | 1830.22 | 579.72 | 0.70 | 73.15 | 0.015 | 82.15 |
| 500 | −587.24 | 7.71 | 73.25 | 1646.5 | 644.41 | 0.72 | 69.58 | 0.016 | 81.23 |
Publisher’s Note: MDPI stays neutral with regard to jurisdictional claims in published maps and institutional affiliations. |
© 2022 by the authors. Licensee MDPI, Basel, Switzerland. This article is an open access article distributed under the terms and conditions of the Creative Commons Attribution (CC BY) license (https://creativecommons.org/licenses/by/4.0/).
Share and Cite
Núñez-Morales, J.; Jaramillo, L.I.; Espinoza-Montero, P.J.; Sánchez-Moreno, V.E. Evaluation of Adding Natural Gum to Pectin Extracted from Ecuadorian Citrus Peels as an Eco-Friendly Corrosion Inhibitor for Carbon Steel. Molecules 2022, 27, 2111. https://doi.org/10.3390/molecules27072111
Núñez-Morales J, Jaramillo LI, Espinoza-Montero PJ, Sánchez-Moreno VE. Evaluation of Adding Natural Gum to Pectin Extracted from Ecuadorian Citrus Peels as an Eco-Friendly Corrosion Inhibitor for Carbon Steel. Molecules. 2022; 27(7):2111. https://doi.org/10.3390/molecules27072111
Chicago/Turabian StyleNúñez-Morales, Jorge, Lorena I. Jaramillo, Patricio J. Espinoza-Montero, and Vanessa E. Sánchez-Moreno. 2022. "Evaluation of Adding Natural Gum to Pectin Extracted from Ecuadorian Citrus Peels as an Eco-Friendly Corrosion Inhibitor for Carbon Steel" Molecules 27, no. 7: 2111. https://doi.org/10.3390/molecules27072111
APA StyleNúñez-Morales, J., Jaramillo, L. I., Espinoza-Montero, P. J., & Sánchez-Moreno, V. E. (2022). Evaluation of Adding Natural Gum to Pectin Extracted from Ecuadorian Citrus Peels as an Eco-Friendly Corrosion Inhibitor for Carbon Steel. Molecules, 27(7), 2111. https://doi.org/10.3390/molecules27072111

