Catch, Modify and Analyze: Methods of Chemoselective Modification of Cysteine-Containing Peptides
Abstract
1. Introduction
2. Cysteine-Containing Peptide Enrichment in Solution
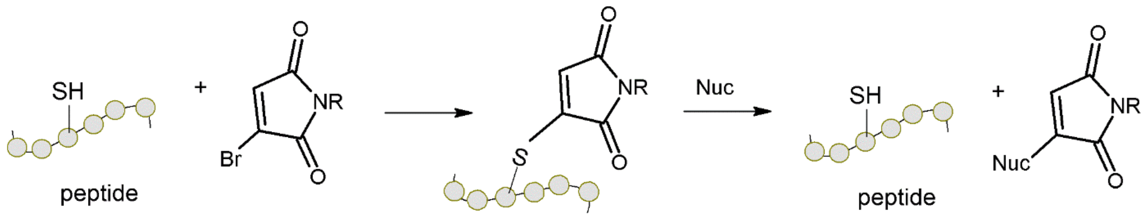
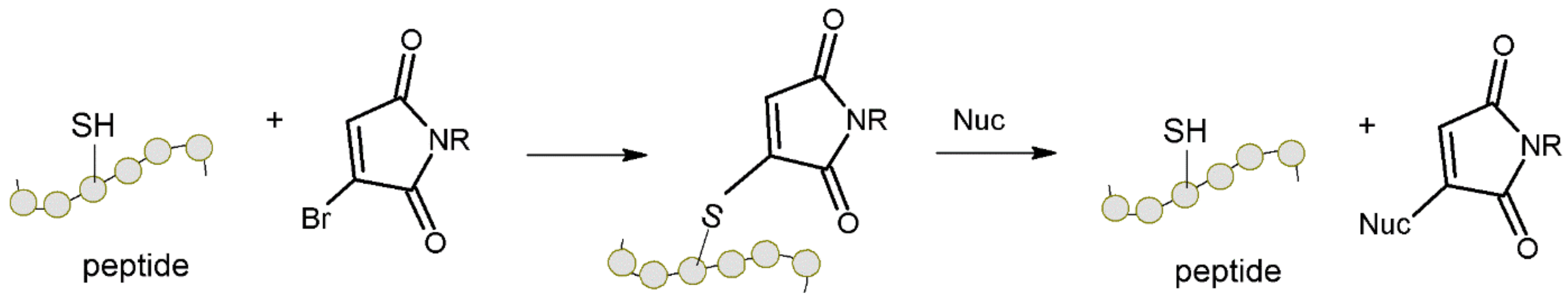
2.1. Michael Addition
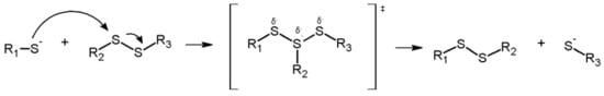
2.2. Thiol-Disulfide Exchange
Application of Nanoparticles
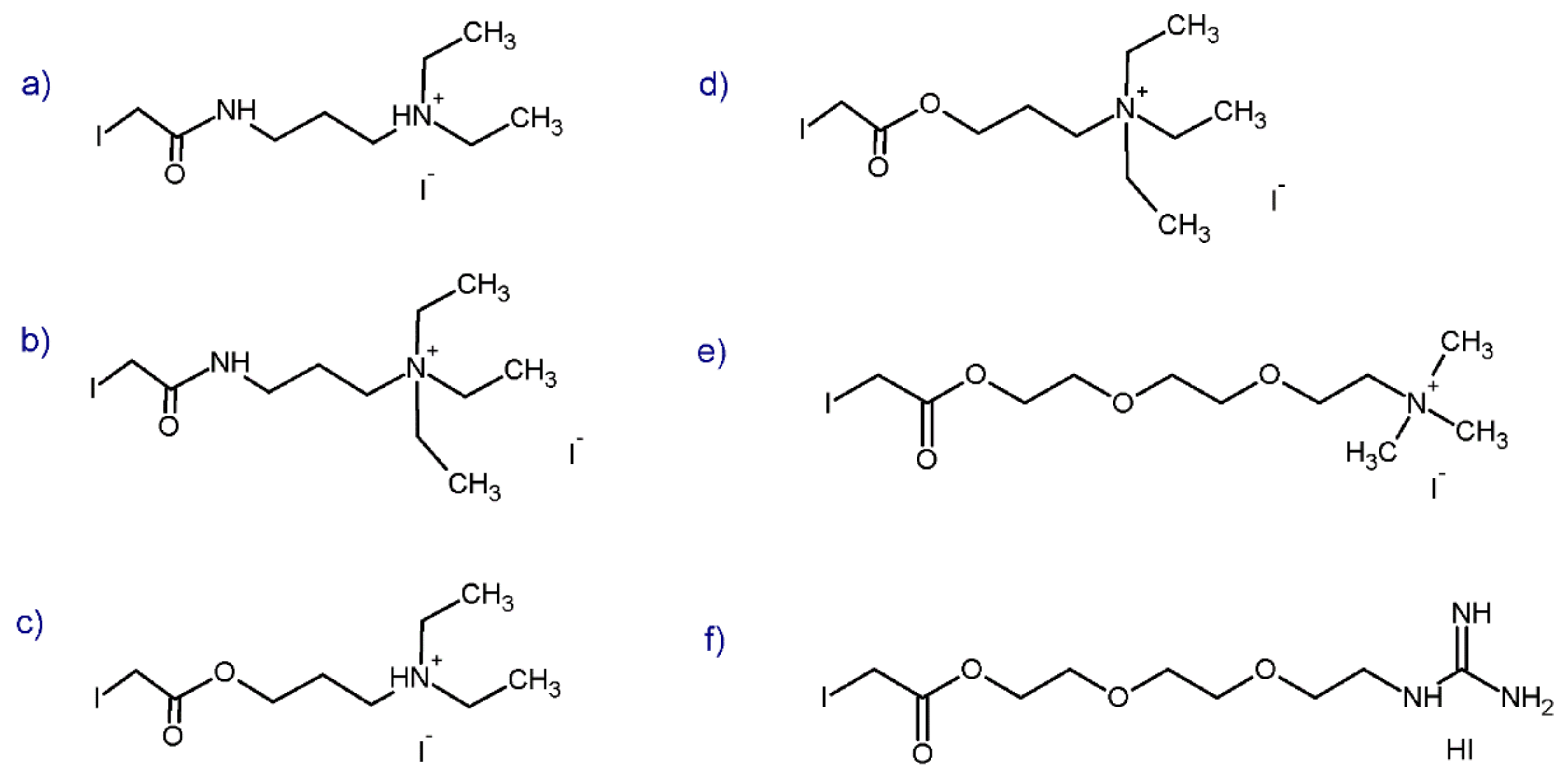
2.3. Charge Derivatization and Mas Tagging
2.3.1. ICAT Strategy
2.3.2. Mass Tagging
2.3.3. Isotopic Labeling
3. Methods of Thiopeptides Enrichment on Solid Supports
3.1. Michael Addition
3.2. Thiol-Disulfide Exchange
4. Discussion
5. Conclusions
Author Contributions
Funding
Institutional Review Board Statement
Informed Consent Statement
Data Availability Statement
Acknowledgments
Conflicts of Interest
References
- Lin, D.; Li, J.; Slebos, R.J.; Liebler, D.C. Cysteinyl peptide capture for shotgun proteomics: Global assessment of chemoselective fractionation. J. Proteome Res. 2010, 9, 5461–5472. [Google Scholar] [CrossRef]
- Kowalska, M.; Popiel, D.; Walter, M.; Bąchor, R.; Biernat, M.; Cebrat, M.; Kijewska, M.; Kuczer, M.; Modzel, M.; Kluczyk, A. Veni, Vidi, Vici: Immobilized peptide-based conjugates as tools for capture, analysis, and transformation. Chemosensors 2022, 10, 31. [Google Scholar] [CrossRef]
- Alwael, H.; Connolly, D.; Barron, L.; Paull, B. Development of a rapid and sensitive method for determination of cysteine/cystine ratio in chemically defined media. J. Chromatogr. A. 2010, 1217, 3863–3870. [Google Scholar] [CrossRef] [PubMed]
- Burns, A.; Olszowy, P.; Ciborowski, P. Chapter 2: Biomolecules. In Proteomic Profiling and Analytical Chemistry, 2nd ed.; Ciborowski, P., Silberring, J., Eds.; Elsevier: Amsterdam, The Netherlands, 2016; pp. 7–24. [Google Scholar]
- Smith, M.E.; Schumacher, F.F.; Ryan, C.P.; Tedaldi, L.M.; Papaioannou, D.; Waksman, G.; Caddick, S.; Baker, J.R. Protein modification, bioconjugation, and disulfide bridging using bromomaleimides. J. Am. Chem. Soc. 2010, 132, 1960–1965. [Google Scholar] [CrossRef] [PubMed]
- Bak, D.W.; Bechtel, T.J.; Falco, J.A.; Weerapana, E. Cysteine reactivity across the subcellular universe. Curr. Opin. Chem. Biol. 2019, 48, 96–105. [Google Scholar] [CrossRef]
- Chalker, J.M.; Bernardes, G.J.; Lin, Y.A.; Davis, B.G. Chemical modification of proteins at cysteine: Opportunities in chemistry and biology. Chem. Asian J. 2009, 4, 630–640. [Google Scholar] [CrossRef]
- Gunnoo, S.B.; Madder, A. Chemical protein modification through cysteine. ChemBioChem 2016, 17, 529–553. [Google Scholar] [CrossRef]
- Ochtrop, P.; Hackenberger, C.P. Recent advances of thiol-selective bioconjugation reactions. Curr. Opin. Chem. Biol. 2020, 58, 28–36. [Google Scholar] [CrossRef]
- Nolan, M.D.; Scanlan, E.M. Applications of thiol-ene chemistry for peptide science. Front. Chem. 2020, 8, 583272. [Google Scholar] [CrossRef]
- Dai, J.; Wang, J.; Zhang, Y.; Lu, Z.; Yang, B.; Li, X.; Cai, Y.; Qian, X. Enrichment and identification of cysteine-containing peptides from tryptic digests of performic oxidized proteins by strong cation exchange LC and MALDI-TOF/TOF MS. Anal. Chem. 2005, 77, 7594–7604. [Google Scholar] [CrossRef]
- Sechi, S.; Chait, B.T. Modification of cysteine residues by alkylation. A tool in peptide mapping and protein identification. Anal. Chem. 1998, 70, 5150–5158. [Google Scholar] [CrossRef] [PubMed]
- Aebersold, R. Quantitative proteome analysis: Methods and applications. J. Infect. Dis. 2003, 187, S315–S320. [Google Scholar] [CrossRef] [PubMed]
- Gevaert, K.; Ghesquière, B.; Staes, A.; Martens, L.; van Damme, J.; Thomas, G.R.; Vandekerckhove, J. Reversible labeling of cysteine-containing peptides allows their specific chromatographic isolation for non-gel proteome studies. Proteomics 2004, 4, 897–908. [Google Scholar] [CrossRef] [PubMed]
- Kalia, J.; Raines, R.T. Catalysis of imido group hydrolysis in a maleimide conjugate. Bioorg. Med. Chem. Lett. 2007, 17, 6286–6289. [Google Scholar] [CrossRef]
- Shen, B.Q.; Xu, K.; Liu, L.; Raab, H.; Bhakta, S.; Kenrick, M.; Parsons-Reponte, K.L.; Tien, J.; Yu, S.F.; Mai, E.; et al. Conjugation site modulates the in vivo stability and therapeutic activity of antibody-drug conjugates. Nat. Biotechnol. 2012, 30, 184–189. [Google Scholar] [CrossRef]
- Gilbert, H.F. Thiol/disulfide exchange equilibria and disulfidebond stability. Meth. Enzymol. 1995, 251, 8–28. [Google Scholar]
- Vasicek, V.; Brodbelt, J.S. Enhanced electron transfer dissociation through fixed charge derivatization of cysteines. Anal. Chem. 2009, 81, 7876–7884. [Google Scholar] [CrossRef]
- Nair, D.P.; Podgórski, M.; Chatani, S.; Gong, T.; Xi, W.; Fenoli, C.R.; Bowman, C.N. The thiol-michael addition click reaction: A powerful and widely used tool in materials chemistry. Chem. Mater. 2014, 26, 724–744. [Google Scholar] [CrossRef]
- Bednar, R.A. Reactivity and pH dependence of thiol conjugation to N-ethylmaleimide: Detection of a conformational change in chalcone isomerase. Biochemistry 1990, 29, 3684–3690. [Google Scholar] [CrossRef]
- Fontaine, S.D.; Reid, R.; Robinson, L.; Ashley, G.W.; Santi, D.V. Long-term stabilization of maleimide-thiol conjugates. Bioconjug. Chem. 2015, 21, 145–152. [Google Scholar] [CrossRef]
- Long, K.F.; Wang, H.; Dimos, T.T.; Bowman, C.N. Effects of thiol substitution on the kinetics and efficiency of thiol-michael reactions and polymerizations. Macromolecules 2021, 54, 3093–3100. [Google Scholar] [CrossRef]
- Ren, D.; Julka, S.; Inerowicz, H.D.; Regnier, F.E. Enrichment of cysteine-containing peptides from tryptic digests using a quaternary amine tag. Anal. Chem. 2004, 76, 4522–4530. [Google Scholar] [CrossRef] [PubMed]
- Hermanson, G.T. Bioconjugate Techniques; Academic Press: London, UK, 1996; pp. 229–258. [Google Scholar]
- Schelté, P.; Boeckler, C.; Frisch, B.; Schuber, F. Differential reactivity of maleimide and bromoacetyl functions with thiols: Application to the preparation of liposomal diepitope constructs. Bioconjug. Chem. 2000, 11, 118–123. [Google Scholar] [CrossRef] [PubMed]
- Vanderhooft, J.L.; Mann, B.K.; Prestwich, G.D. Synthesis and characterization of novel thiol-reactive poly(ethylene glycol) cross-linkers for extracellular-matrix-mimetic biomaterials. Biomacromolecules 2007, 8, 2883–2889. [Google Scholar] [CrossRef] [PubMed]
- Gregory, J.D. The Stability of N-ethylmaleimide and its reaction with sulfhydryl groups. J. Am. Chem. Soc. 1955, 77, 3922–3923. [Google Scholar] [CrossRef]
- Tedaldi, L.M.; Smith, M.E.B.; Nathani, R.I.; Baker, J.R. Bromomaleimides: New reagents for the selective and reversible modification of cysteine. Chem. Commun. 2009, 43, 1359–7345. [Google Scholar] [CrossRef]
- Kolšek, K.; Aponte-Santamaría, C.; Gräter, F. Accessibility explains preferred thiol-disulfide isomerization in a protein domain. Sci. Rep. 2017, 7, 9858. [Google Scholar] [CrossRef]
- Beaupre, D.M.; Weiss, R.G. Thiol- and disulfide-based stimulus-responsive soft materials and self-assembling systems. Molecules 2021, 26, 3332. [Google Scholar] [CrossRef]
- Putzu, M.; Gräter, F.; Elstner, M.; Kubař, T. On the mechanism of spontaneous thiol–disulfide exchange in proteins. Phys. Chem. Chem. Phys. 2018, 20, 16222–16230. [Google Scholar] [CrossRef]
- Nguyen, H.H.; Park, J.; Kang, S.; Kim, M. Surface plasmon resonance: A versatile technique for biosensor applications. Sensors 2015, 15, 10481–10510. [Google Scholar] [CrossRef]
- Xu, C.; Xu, K.; Gu, H.; Zheng, R.; Liu, H.; Zhang, X.; Guo, Z.; Xu, B. Dopamine as a robust anchor to immobilize functional molecules on the iron oxide shell of magnetic nanoparticles. J. Am. Chem. Soc. 2004, 126, 9938–9939. [Google Scholar] [CrossRef] [PubMed]
- Guo, M.; Galan, J.; Tao, W.A. A novel quantitative proteomics reagent based on soluble nanopolymers. Chem. Commun. 2007, 12, 1251–1253. [Google Scholar] [CrossRef] [PubMed]
- Palani, A.; Lee, J.S.; Huh, J.; Kim, M.; Lee, Y.J.; Chang, J.H.; Lee, K.; Lee, S.W. Selective enrichment of cysteine-containing peptides using SPDP-functionalized superparamagnetic Fe3O4@SiO2 nanoparticles: Application to comprehensive proteomic profiling. J. Proteome Res. 2008, 7, 3591–3596. [Google Scholar] [CrossRef]
- Liu, T.; Qian, W.J.; Strittmatter, E.F.; Camp, D.G.; Anderson, G.A.; Thrall, B.D.; Smith, R.D. High-throughput comparative proteome analysis using a quantitative cysteinyl-peptide enrichment technology. Anal. Chem. 2004, 76, 5345–5353. [Google Scholar] [CrossRef] [PubMed]
- Stefanowicz, P.; Kluczyk, A.; Szewczuk, Z. Derivatization of peptides for improved detection by mass spectrometry. Amino Acids Peptides Proteins 2016, 40, 36–74. [Google Scholar]
- Annesley, T.M. Ion suppression in mass spectrometry. Clin. Chem. 2003, 49, 1041–1044. [Google Scholar] [CrossRef]
- Frey, B.L.; Ladror, D.T.; Sondalle, S.B.; Krusemark, C.J.; Jue, A.L.; Coon, J.J.; Smith, L.M. Chemical derivatization of peptide carboxyl groups for highly efficient electron transfer dissociation. J. Am. Soc. Mass. Spectrom. 2013, 24, 1710–1721. [Google Scholar] [CrossRef] [PubMed]
- Qiao, X.; Zhou, Y.; Hou, C.; Zhang, X.; Yang, K.; Zhang, L.; Zhang, Y. 1-(3-aminopropyl)-3-butylimidazolium bromide for carboxyl group derivatization: Potential applications in high sensitivity peptide identification by mass spectrometry. Sci. China Life Sci. 2013, 56, 240–245. [Google Scholar] [CrossRef][Green Version]
- Ahn, Y.H.; Ji, E.S.; Lee, J.Y.; Cho, K.; Yoo, J.S. Arginine-mimic labeling with guanidinoethanethiol to increase mass sensitivity of lysine-terminated phosphopeptides by matrix-assisted laser desorption/ionization time-of-flight mass spectrometry. Rapid Commun. Mass Spectrom. 2007, 21, 2204–2210. [Google Scholar] [CrossRef]
- Lattova, E.; Perreault, H. The usefulness of hydrazine derivatives for mass spectrometric analysis of carbohydrates. Mass Spectrom. Rev. 2013, 32, 366–385. [Google Scholar] [CrossRef]
- Bereman, M.S.; Comins, D.L.; Muddiman, D.C. Increasing the hydrophobicity and electrospray response of glycans through derivatization with novel cationic hydrazides. Chem. Commun. 2010, 46, 237–239. [Google Scholar] [CrossRef] [PubMed]
- Kijewska, M.; Kuc, A.; Kluczyk, A.; Waliczek, M.; Man-Kupisinska, A.; Lukasiewicz, J.; Stefanowicz, P.; Szewczuk, Z. Selective detection of carbohydrates and their peptide conjugates by ESI-MS using synthetic quaternary ammonium salt derivatives of phenylboronic acids. J. Am. Soc. Mass Spectrom. 2014, 25, 966–976. [Google Scholar] [CrossRef] [PubMed]
- Kidwell, D.A.; Ross, M.M.; Colton, R.J. Sequencing of peptides by secondary ion mass spectrometry. J. Am. Chem. Soc. 1984, 106, 2219–2220. [Google Scholar] [CrossRef]
- Wasslen, K.V.; Tan, L.H.; Manthorpe, J.M.; Smith, J.C. Trimethylation enhancement using diazomethane (TrEnDi): Rapid on-column quaternization of peptide amino groups via reaction with diazomethane significantly enhances sensitivity in mass spectrometry analyses via a fixed, permanent positive charge. Anal. Chem. 2014, 86, 3291–3299. [Google Scholar] [CrossRef] [PubMed]
- Bąchor, R.; Mielczarek, P.; Rudowska, M.; Silberring, J.; Szewczuk, Z. Sensitive detection of charge derivatized peptides at the attomole level using nano-LC-ESI–MRM analysis. Int. J. Mass Spectrom. 2014, 362, 32–38. [Google Scholar] [CrossRef]
- Setner, B.; Rudowska, M.; Klem, E.; Cebrat, M.; Szewczuk, Z. Peptides derivatized with bicyclic quaternary ammonium ionization tags. Sequencing via tandem mass spectrometry. J. Mass Spectrom. 2014, 49, 995–1001. [Google Scholar] [CrossRef]
- Bąchor, R.; Cydzik, M.; Rudowska, M.; Kluczyk, A.; Stefanowicz, P.; Szewczuk, Z. Sensitive electrospray mass spectrometry analysis of one-bead-one-compound peptide libraries labeled by quaternary ammonium salts. Mol. Divers. 2012, 16, 613–618. [Google Scholar] [CrossRef] [PubMed][Green Version]
- Bąchor, R.; Kluczyk, A.; Stefanowicz, P.; Szewczuk, Z. New method of peptide cleavage based on Edman degradation. Mol. Divers. 2013, 17, 605–611. [Google Scholar] [CrossRef]
- Waliczek, M.; Kijewska, M.; Rudowska, M.; Setner, B.; Stefanowicz, P.; Szewczuk, Z. Peptides labeled with pyridinium salts for sensitive detection and sequencing by electrospray tandem mass spectrometry. Sci. Rep. 2016, 6, 37720. [Google Scholar] [CrossRef]
- Balaban, A.T. 2,4,6-Trimethyl-pyrylium tetrafluoroborate. Organic Synth. 1973, 5, 1112–1113. [Google Scholar]
- Bąchor, R.; Szczepankiewicz, B.; Pasławska, U.; Mojsa, K.; Stefanowicz, P.; Szewczuk, Z. Detection of tryptic podocin peptide in the feline urine samples using LC-MS/MRM method. Int. J. Mass Spectrom. 2019, 444, 116174. [Google Scholar] [CrossRef]
- Szczepankiewicz, B.; Bąchor, R.; Pasławski, R.; Siwińska, N.; Pasławska, U.; Konieczny, A.; Szewczuk, Z. Evaluation of tryptic podocin peptide in urine sediment using LC-MS-MRM method as a potential biomarker of glomerular injury in dogs with clinical signs of renal and cardiac disorders. Molecules 2019, 24, 3088. [Google Scholar] [CrossRef] [PubMed]
- Siwińska, N.; Paslawska, U.; Bąchor, R.; Szczepankiewicz, B.; Żak, A.; Grocholska, P.; Szewczuk, Z. Evaluation of podocin in urine in horses using qualitative and quantitative methods. PLoS ONE 2020, 15, e0240586. [Google Scholar] [CrossRef] [PubMed]
- Bąchor, R.; Gąszczyk, D.; Panek-Laszczyńska, K.; Konieczny, A.; Witkiewicz, W.; Stefanowicz, P.; Szewczuk, Z. Detection of Podocin in Human Urine Sediment Samples by Charge Derivatization and LC-MS-MRM Method. Int. J. Mol. Sci. 2020, 21, 3225. [Google Scholar] [CrossRef]
- Bąchor, R.; Waliczek, M.; Stefanowicz, P.; Szewczuk, Z. Trends in the design of new isobaric labeling reagents for quantitative proteomics. Molecules 2019, 24, 701. [Google Scholar] [CrossRef] [PubMed]
- Grocholska, P.; Konieczny, A.; Kaźmierczak, Z.; Dąbrowska, K.; Panek-Laszczyńska, K.; Kłak, M.; Witkiewicz, W.; Szewczuk, Z.; Bąchor, R. Peptide charge derivatization as a tool for early detection of preeclampsia by mass spectrometry—A comparison with the ELISA test. Molecules 2021, 26, 7102. [Google Scholar] [CrossRef] [PubMed]
- Giron, P.; Dayon, L.; Sanchez, J.C. Cysteine tagging for MS-based proteomics. Mass Spectrom. Rev. 2011, 30, 366–395. [Google Scholar] [CrossRef] [PubMed]
- Arsene, C.G.; Schulze, D.; Kratzsch, J.; Henrion, A. High sensitivity mass spectrometric quantification of serum growth hormone by amphiphilic peptide conjugation. J. Mass Spectrom. 2012, 47, 1554–1560. [Google Scholar] [CrossRef]
- Shimada, T.; Kuyama, H.; Sato, T.A.; Tanaka, K. Development of iodoacetic acid-based cysteine mass tags: Detection enhancement for cysteine-containing peptide by matrix-assisted laser desorption/ionization time-of-flight mass spectrometry. Anal. Biochem. 2012, 421, 785–787. [Google Scholar] [CrossRef]
- Mallick, P.; Schirle, M.; Chen, S.S.; Flory, M.R.; Lee, H.; Martin, D.; Ranish, J.; Raught, B.; Schmitt, R.; Werner, T.; et al. Computational prediction of proteotypic peptides for quantitative proteomics. Nat. Biotechnol. 2007, 25, 125–131. [Google Scholar] [CrossRef]
- Gygi, S.P.; Rist, B.; Gerber, S.A.; Turecek, F.; Gelb, M.H.; Aebersold, R. Quantitative analysis of complex protein mixtures using isotope-coded affinity tags. Nat. Biotechnol. 1999, 17, 994–999. [Google Scholar] [CrossRef] [PubMed]
- Link, A.J.; Hays, L.G.; Carmack, E.B.; Yates, J.R., 3rd. Identifying the major proteome components of Haemophilus influenzae type-strain NCTC 8143. Electrophoresis 1997, 18, 1314–1334. [Google Scholar] [CrossRef] [PubMed]
- Garrels, J.I.; McLaughlin, C.S.; Warner, J.R.; Futcher, B.; Latter, G.I.; Kobayashi, R.; Schwender, B.; Volpe, T.; Anderson, D.S.; Mesquita-Fuentes, R.; et al. Proteome studies of Saccharomyces cerevisiae: Identification and characterization of abundant proteins. Electrophoresis 1997, 18, 1347–1360. [Google Scholar] [CrossRef] [PubMed]
- Giron, P.; Dayon, L.; David, F.P.A.; Sanchez, J.-C.; Rose, K. Enrichment of N-terminal cysteinyl-peptides by covalent capture. J. Proteom. 2009, 71, 647–661. [Google Scholar] [CrossRef] [PubMed]
- Giron, P.; Dayon, L.; Mihala, N.; Sanchez, J.C.; Rose, K. Cysteine-reactive covalent capture tags for enrichment of cysteine-containing peptides. Rapid Commun. Mass Spectrom. 2009, 23, 3377–3386. [Google Scholar] [CrossRef] [PubMed]
- Frahm, J.L.; Bori, I.D.; Comins, D.L.; Hawkridge, A.M.; Muddiman, D.C. Achieving augmented limits of detection for peptides with hydrophobic alkyl tags. Anal. Chem. 2007, 79, 3989–3995. [Google Scholar] [CrossRef]
- Wang, S.; Kaltashov, I.A. A new strategy of using O18-labeled iodoacetic acid for mass spectrometry-based protein quantitation. J. Am. Soc. Mass Spectrom. 2012, 23, 1293–1297. [Google Scholar] [CrossRef]
- Huang, H.; Petersen, H.M.; Ibañez-Vea, M.; Lassen, P.S.; Larsen, M.R.; Palmisano, G. Simultaneous enrichment of cysteine-containing peptides and phosphopeptides using a cysteine-specific phosphonate adaptable tag (CysPAT) in combination with titanium dioxide (TiO2) Chromatography. Mol. Cell. Proteomics 2016, 15, 3282–3296. [Google Scholar] [CrossRef]
- Baldwin, A.D.; Kiick, K.L. Tunable degradation of maleimide-thiol adducts in reducing environments. Bioconjug. Chem. 2011, 22, 1946–1953. [Google Scholar] [CrossRef]
- Houseman, B.T.; Gawalt, E.S.; Mrksich, M. Maleimide-functionalized self-assembled monolayers for thepreparation of peptide and carbohydrate biochips. Langmuir 2003, 19, 1522–1531. [Google Scholar] [CrossRef]
- Mantovani, G.; Lecolley, F.; Tao, L.; Haddleton, D.M.; Clerx, J.; Cornelissen, J.J.; Velonia, K. Designand synthesis of N-maleimido-functionalized hydrophilic polymers via copper-mediated living radicalpolymerization: A suitable alternative to PEGylation chemistry. J. Am. Chem. Soc. 2005, 127, 2966–2973. [Google Scholar] [CrossRef] [PubMed]
- Park, E.J.; Gevrek, T.N.; Sanyal, R.; Sanyal, A. Indispensable platforms for bioimmobilization: Maleimide-based thiol reactive hydrogels. Bioconjug. Chem. 2014, 25, 2004–2011. [Google Scholar] [CrossRef] [PubMed]
- Tolstyka, Z.P.; Kopping, J.T.; Maynard, H.D. Straightforward synthesis of cysteine-reactive telechelic polystyrene. Macromolecules 2008, 41, 599–606. [Google Scholar] [CrossRef]
- Green, N.M. Avidin. Adv. Protein Chem. 1975, 29, 85–133. [Google Scholar]
- Bąchor, R.; Gorzeń, O.; Rola, A.; Mojsa, K.; Panek-Laszczyńska, K.; Konieczny, A.; Dąbrowska, K.; Witkiewicz, W.; Szewczuk, Z. Enrichment of cysteine-containing peptide by on-resin capturing and fixed charge tag derivatization for sensitive ESI-MS detection. Molecules 2020, 25, 1372. [Google Scholar] [CrossRef]
- Available online: https://www.cytivalifesciences.com/en/us/shop/chromatography/resins/affinity-specific-groups/activated-thiol-sepharose-4b-p-03799 (accessed on 10 December 2021).
- Egorov, T.A.; Svenson, A.; Rydén, L.; Carlsson, J. A rapid and specific method for isolation of thiol-containing peptides from large proteins by thiol-disulfide exchange on a solid support. Proc. Natl. Acad. Sci. USA 1975, 72, 3029–3033. [Google Scholar] [CrossRef]
- Caldas, T.D.; El Yaagoubi, A.; Kohiyama, M.; Richarme, G. Purification of elongation factors EF-Tu and EF-G from Escherichia coli by covalent chromatography on thiol-sepharose. Protein Expr. Purif. 1998, 14, 65–70. [Google Scholar] [CrossRef]
- Lee, K.; Lee, J.; Kim, Y.; Bae, D.; Kang, K.Y.; Lim, D. Defining the plant disulfide proteome. Electrophoresis 2005, 25, 532–541. [Google Scholar] [CrossRef]
- Lee, C.; Lee, Y.M.; Rice, R.H. Human epidermal cell protein responses to arsenite treatment in culture. Chem. Biol. Interact. 2005, 55, 43–54. [Google Scholar]
- Hu, W.; Tedesco, S.; McDonagh, B.; Bárcena, J.A.; Keane, C.; Sheehan, D. Selection of thiol- and disulfide-containing proteins of Escherichia coli on activated thiol-Sepharose. Anal. Biochem. 2010, 398, 245–253. [Google Scholar] [CrossRef]
- Baty, J.W.; Hampton, M.B.; Winterbourn, C.C. Detection of oxidant sensitive thiol proteins by fluorescence labeling and two-dimensional electrophoresis. Proteomics 2002, 2, 1261–1266. [Google Scholar] [CrossRef]
- Leichert, L.I.; Gehrke, F.; Gudiseva, H.V.; Blackwell, T.; Ilbert, M.; Walker, A.K.; Strahler, J.R.; Andrews, P.C.; Jakob, U. Quantifying changes in the thiol redox proteome upon oxidative stress in vivo. Proc. Natl. Acad. Sci. USA 2008, 105, 8197–8202. [Google Scholar] [CrossRef]
- Yan, J.X.; Devenish, A.T.; Wait, R.; Stone, T.; Lewis, S.; Fowler, S. Fluorescence two-dimensional difference gel electrophoresis and mass spectrometry based proteomic analysis of Escherichia coli. Proteomics 2002, 2, 1682–1698. [Google Scholar] [CrossRef]
- Noda, Y.; Berlett, B.S.; Stadtman, E.R.; Aponte, A.; Morgan, M.; Shen, R.F. Identification of enzymes and regulatory proteins in Escherichia coli that are oxidized under nitrogen, carbon, or phosphate starvation. Proc. Natl. Acad. Sci. USA 2007, 104, 18456–18460. [Google Scholar] [CrossRef]
- Wang, S.; Regnier, F.E. Proteomics based on selecting and quantifying cysteine containing peptides by covalent chromatography. J. Chromatogr. A. 2001, 924, 345–357. [Google Scholar] [CrossRef]
- Wang, S.; Zhang, X.; Regnier, F.E. Quantitative proteomics strategy involving the selection of peptides containing both cysteine and histidine from tryptic digests of cell lysates. J. Chromatogr. A. 2002, 949, 153–162. [Google Scholar] [CrossRef]
- Tian, X.; Permentier, H.P.; Bischoff, R. Chemical isotope labeling for quantitative proteomics. Mass Spectrom. Rev. 2021. [Google Scholar] [CrossRef]
- Ghaemmaghami, S.; Huh, W.K.; Bower, K.; Howson, R.W.; Belle, A.; Dephoure, N.; O’Shea, E.K.; Weissman, J.S. Global analysis of protein expression in yeast. Nature 2003, 425, 737–741. [Google Scholar] [CrossRef]
- Paulovich, A.G.; Billheimer, D.; Ham, A.J.; Vega-Montoto, L.J.; Rudnick, P.A.; Tabb, D.L.; Wang, P.; Blackman, R.K.; Bunk, D.M.; Cardasis, H.L.; et al. Inter-laboratory study characterizing a yeast performance standard for benchmarking LCMS Platform performance. Mol. Cell. Proteomics 2009, 9, 242–254. [Google Scholar] [CrossRef]
- Paulech, J.; Solis, N.; Edwards, A.V.; Puckeridge, M.; White, M.Y.; Cordwell, S.J. Large-scale capture of peptides containing reversibly oxidized cysteines by thiol-disulfide exchange applied to the myocardial redox proteome. Anal. Chem. 2013, 85, 3774–3780. [Google Scholar] [CrossRef]
- Guo, J.; Gaffrey, M.J.; Su, D.; Liu, T.; Camp, D.G.; Smith, R.D.; Qian, W. Resin-assisted enrichment of thiols as a general strategy for proteomic profiling of cysteine-based reversible modifications. Nat. Protoc. 2014, 9, 64–75. [Google Scholar] [CrossRef]
- Chen, S.H.; Hsu, J.L.; Lin, F.S. Fluorescein as a versatile tag for enhanced selectivity in analyzing cysteine-containing proteins/peptides using mass spectrometry. Anal. Chem. 2008, 80, 5251–5259. [Google Scholar] [CrossRef][Green Version]
- Levenson, A.S.; Jordan, V.C. MCF-7: The first hormone-responsive breast cancer cell line. Cancer Res. 1997, 57, 3071–3078. [Google Scholar]
- Fujioka, H.; Tsunehiro, M.; Kawaguchi, M.; Kuramoto, Y.; Kurosaki, H.; Hieda, Y.; Kinoshita-Kikuta, E.; Kinoshita, E.; Koike, T. Simple enrichment of thiol-containing biomolecules by using zinc(II)-cyclen-functionalized magnetic beads. J. Sep. Sci. 2014, 37, 1601–1609. [Google Scholar] [CrossRef]
- Raught, B.; Gingras, A.C.; Gygi, S.P.; Imataka, H.; Morino, S.; Gradi, A.; Aebersold, R.; Sonenberg, N. Serum-stimulated, rapamycin-sensitive phosphorylation sites in the eukaryotic translation initiation factor 4GI. EMBO J. 2000, 19, 434–444. [Google Scholar] [CrossRef] [PubMed]
- Veronese, F.M. Peptide and protein PEGylation: A review of problems and solutions. Biomaterials 2001, 22, 405–417. [Google Scholar] [CrossRef]
- Veronese, F.M.; Harris, J.M. Introduction and overview of peptide and protein pegylation. Adv. Drug Deliv. Rev. 2002, 54, 453–456. [Google Scholar] [PubMed]
- Wiśniewski, J.R.; Zougman, A.; Nagaraj, N.; Mann, M. Universal sample preparation method for proteome analysis. Nat. Methods. 2009, 6, 359–362. [Google Scholar] [CrossRef]
- Manza, L.L.; Stamer, S.L.; Ham, A.J.; Codreanu, S.G.; Liebler, D.C. Sample preparation and digestion for proteomic analyses using spin filters. Proteomics 2005, 5, 1742–1745. [Google Scholar] [CrossRef]
- Wiśniewski, J.R.; Rakus, D. Multi-enzyme digestion FASP and the ‘Total Protein Approach’-based absolute quantification of the Escherichia coli proteome. J. Proteomics 2014, 109, 322–331. [Google Scholar] [CrossRef]
- Huber, M.L.; Sacco, R.; Parapatics, K.; Skucha, A.; Khamina, K.; Muller, A.C.; Rudashevskaya, E.L.; Bennett, K.L. abFASP-MS: Affinity-based filter-aided sample preparation mass spectrometry for quantitative analysis of chemically labeled protein complexes. J. Proteome Res. 2014, 13, 1147–1155. [Google Scholar] [CrossRef] [PubMed]
- Wiśniewski, J.R.; Pruś, G. Homogenous phase enrichment of cysteine-containing peptides for improved proteome coverage. Anal. Chem. 2015, 87, 6861–6867. [Google Scholar] [CrossRef] [PubMed]
- Zielinska, D.F.; Gnad, F.; Wiśniewski, J.R.; Mann, M. Precision mapping of an in vivo N-glycoproteome reveals rigid topological and sequence constraints. Cell 2010, 141, 897–907. [Google Scholar] [CrossRef] [PubMed]
- Wiśniewski, J.R.; Nagaraj, N.; Zougman, A.; Gnad, F.; Mann, M. Brain phosphoproteome obtained by a FASP-based method reveals plasma membrane protein topology. J. Proteome Res. 2010, 9, 3280–3289. [Google Scholar] [CrossRef] [PubMed]
- Baez, N.O.; Reisz, J.A.; Furdui, C.M. Mass spectrometry in studies of protein thiol chemistry and signaling: Opportunities and caveats. Free Radic. Biol. Med. 2015, 80, 191–211. [Google Scholar] [CrossRef] [PubMed]
- Mulligan, C.; Mindell, J. Pinning down the mechanism of transport: Probing the structure and function of transporters using cysteine cross-linking and site-specific labeling. Meth. Enzymol. 2017, 594, 165–202. [Google Scholar]






















Publisher’s Note: MDPI stays neutral with regard to jurisdictional claims in published maps and institutional affiliations. |
© 2022 by the authors. Licensee MDPI, Basel, Switzerland. This article is an open access article distributed under the terms and conditions of the Creative Commons Attribution (CC BY) license (https://creativecommons.org/licenses/by/4.0/).
Share and Cite
Kowalska, M.; Bąchor, R. Catch, Modify and Analyze: Methods of Chemoselective Modification of Cysteine-Containing Peptides. Molecules 2022, 27, 1601. https://doi.org/10.3390/molecules27051601
Kowalska M, Bąchor R. Catch, Modify and Analyze: Methods of Chemoselective Modification of Cysteine-Containing Peptides. Molecules. 2022; 27(5):1601. https://doi.org/10.3390/molecules27051601
Chicago/Turabian StyleKowalska, Marta, and Remigiusz Bąchor. 2022. "Catch, Modify and Analyze: Methods of Chemoselective Modification of Cysteine-Containing Peptides" Molecules 27, no. 5: 1601. https://doi.org/10.3390/molecules27051601
APA StyleKowalska, M., & Bąchor, R. (2022). Catch, Modify and Analyze: Methods of Chemoselective Modification of Cysteine-Containing Peptides. Molecules, 27(5), 1601. https://doi.org/10.3390/molecules27051601

