Bis-Amiridines as Acetylcholinesterase and Butyrylcholinesterase Inhibitors: N-Functionalization Determines the Multitarget Anti-Alzheimer’s Activity Profile
Abstract
:1. Introduction
2. Results and Discussion
2.1. Chemistry
2.2. Inhibition Studies of AChE, BChE and CES. Structure-Activity Relationships
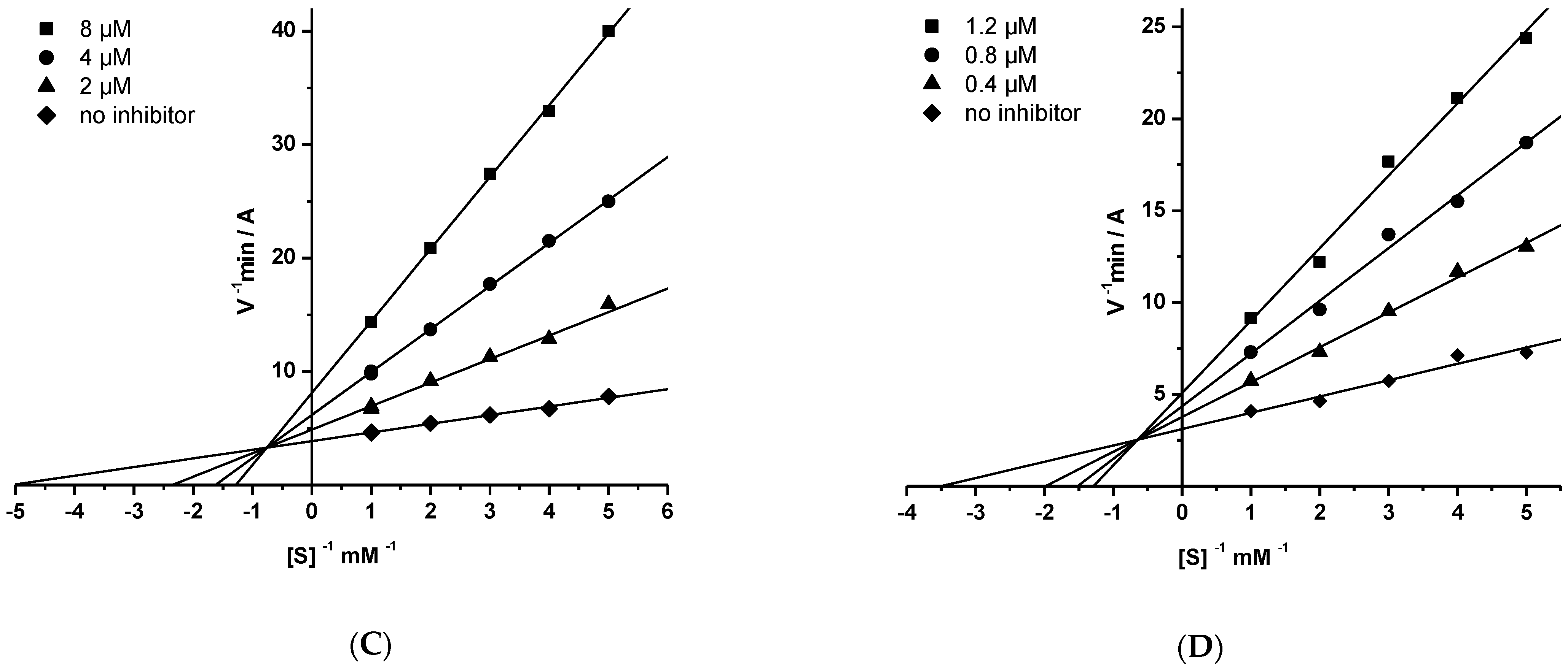
2.3. Kinetic Studies of AChE and BChE Inhibition
2.4. Molecular Modeling Studies
2.4.1. Characterization of the Compounds
2.4.2. Molecular Docking
2.5. Displacement of Propidium Iodide from the PAS of EeAChE
2.6. Inhibition of β-Amyloid(1–42) (Aβ42) Self-Aggregation
2.7. Antioxidant Activity
2.8. Prediction of ADMET, Physicochemical, and PAINS Profiles
3. Materials and Methods
3.1. Chemistry
3.2. Synthesis of Compounds
3.2.1. Synthesis of Compounds 3a–e
3.2.2. Synthesis of Intermediate 4
3.2.3. Synthesis of Compounds 5a–g
3.3. Biological Assays
3.3.1. Enzymatic Assays
In Vitro AChE, BChE, and CES Inhibition
Kinetic Study of AChE and BChE Inhibition. Determination of Steady-State Inhibition Constants
3.3.2. Propidium Iodide Displacement Studies
3.3.3. Inhibition of β-Amyloid (1–42) (Aβ42) Self-Aggregation
3.3.4. Antioxidant Activity
ABTS Radical Cation Scavenging Activity Assay
3.4. Molecular Modeling Studies
3.4.1. Preparation of the Molecules
3.4.2. Molecular Docking
3.5. Prediction of ADMET, Physicochemical, and PAINS Profiles
3.6. Statistical Analyses
4. Conclusions
Supplementary Materials
Author Contributions
Funding
Institutional Review Board Statement
Informed Consent Statement
Data Availability Statement
Acknowledgments
Conflicts of Interest
Sample Availability
References
- Teich, A.F.; Nicholls, R.E.; Puzzo, D.; Fiorito, J.; Purgatorio, R.; Fa’, M.; Arancio, O. Synaptic Therapy in Alzheimer’s Disease: A CREB-centric Approach. Neurotherapeutics 2015, 12, 29–41. [Google Scholar] [CrossRef] [Green Version]
- Bachurin, S.O.; Gavrilova, S.I.; Samsonova, A.; Barreto, G.E.; Aliev, G. Mild cognitive impairment due to Alzheimer disease: Contemporary approaches to diagnostics and pharmacological intervention. Pharmacol. Res. 2018, 129, 216–226. [Google Scholar] [CrossRef] [PubMed]
- Carreiras, M.C.; Mendes, E.; Perry, M.J.; Francisco, A.P.; Marco-Contelles, J. The multifactorial nature of Alzheimer’s disease for developing potential therapeutics. Curr. Top. Med. Chem. 2013, 13, 1745–1770. [Google Scholar] [CrossRef] [PubMed]
- Bachurin, S.O.; Bovina, E.V.; Ustyugov, A.A. Drugs in clinical trials for Alzheimer’s disease: The major trends. Med. Res. Rev. 2017, 37, 1186–1225. [Google Scholar] [CrossRef]
- Huang, Y.; Mucke, L. Alzheimer mechanisms and therapeutic strategies. Cell 2012, 148, 1204–1222. [Google Scholar] [CrossRef] [PubMed] [Green Version]
- Martinez, A.; Castro, A. Novel cholinesterase inhibitors as future effective drugs for the treatment of Alzheimer’s disease. Expert Opin. Investig. Drugs 2006, 15, 1–12. [Google Scholar] [CrossRef] [PubMed]
- Moreta, M.P.; Burgos-Alonso, N.; Torrecilla, M.; Marco-Contelles, J.; Bruzos-Cidón, C. Efficacy of Acetylcholinesterase Inhibitors on Cognitive Function in Alzheimer’s Disease. Review of Reviews. Biomedicines 2021, 9, 1689. [Google Scholar] [CrossRef]
- Mesulam, M.M.; Geula, C. Butyrylcholinesterase reactivity differentiates the amyloid plaques of aging from those of dementia. Ann. Neurol. 1994, 36, 722–727. [Google Scholar] [CrossRef]
- Ballard, C.; Greig, N.; Guillozet-Bongaarts, A.; Enz, A.; Darvesh, S. Cholinesterases: Roles in the Brain During Health and Disease. Curr. Alzheimer Res. 2005, 2, 307–318. [Google Scholar] [CrossRef]
- Furukawa-Hibi, Y.; Alkam, T.; Nitta, A.; Matsuyama, A.; Mizoguchi, H.; Suzuki, K.; Moussaoui, S.; Yu, Q.S.; Greig, N.H.; Nagai, T.; et al. Butyrylcholinesterase inhibitors ameliorate cognitive dysfunction induced by amyloid-beta peptide in mice. Behav. Brain Res. 2011, 225, 222–229. [Google Scholar] [CrossRef] [Green Version]
- Greig, N.H.; Utsuki, T.; Ingram, D.K.; Wang, Y.; Pepeu, G.; Scali, C.; Yu, Q.S.; Mamczarz, J.; Holloway, H.W.; Giordano, T.; et al. Selective butyrylcholinesterase inhibition elevates brain acetylcholine, augments learning and lowers Alzheimer beta-amyloid peptide in rodent. Proc. Natl. Acad. Sci. USA 2005, 102, 17213–17218. [Google Scholar] [CrossRef] [Green Version]
- Lane, R.M.; Potkin, S.G.; Enz, A. Targeting acetylcholinesterase and butyrylcholinesterase in dementia. Int. J. Neuropsychopharm. 2006, 9, 101–124. [Google Scholar] [CrossRef]
- Nordberg, A.; Ballard, C.; Bullock, R.; Darreh-Shori, T.; Somogyi, M. A review of butyrylcholinesterase as a therapeutic target in the treatment of Alzheimer’s disease. Prim. Care Companion CNS Disord. 2013, 15, 01412. [Google Scholar] [CrossRef] [PubMed]
- Macdonald, I.R.; Rockwood, K.; Martin, E.; Darvesh, S. Cholinesterase inhibition in Alzheimer’s disease: Is specificity the answer? J. Alzheimers Dis. 2014, 42, 379–384. [Google Scholar] [CrossRef]
- Kandiah, N.; Pai, M.C.; Senanarong, V.; Looi, I.; Ampil, E.; Park, K.W.; Karanam, A.K.; Christopher, S. Rivastigmine: The advantages of dual inhibition of acetylcholinesterase and butyrylcholinesterase and its role in subcortical vascular dementia and Parkinson’s disease dementia. Clin. Interv. Aging 2017, 12, 697–707. [Google Scholar] [CrossRef] [Green Version]
- Agatonovic-Kustrin, S.; Kettle, C.; Morton, D.W. A molecular approach in drug development for Alzheimer’s disease. Biomed. Pharmacother. 2018, 106, 553–565. [Google Scholar] [CrossRef] [PubMed]
- Hardy, J.; Bogdanovic, N.; Winblad, B.; Portelius, E.; Andreasen, N.; Cedazo-Minguez, A.; Zetterberg, H. Pathways to Alzheimer’s disease. J. Intern. Med. 2014, 275, 296–303. [Google Scholar] [CrossRef] [PubMed]
- Ahmed, M.; Davis, J.; Aucoin, D.; Sato, T.; Ahuja, S.; Aimoto, S.; Elliott, J.I.; Van Nostrand, W.E.; Smith, S.O. Structural conversion of neurotoxic amyloid-beta(1-42) oligomers to fibrils. Nat. Struct. Mol. Biol. 2010, 17, 561–567. [Google Scholar] [CrossRef] [Green Version]
- Cleary, J.P.; Walsh, D.M.; Hofmeister, J.J.; Shankar, G.M.; Kuskowski, M.A.; Selkoe, D.J.; Ashe, K.H. Natural oligomers of the amyloid-β protein specifically disrupt cognitive function. Nat. Neurosci. 2005, 8, 79–84. [Google Scholar] [CrossRef]
- Selkoe, D.J. Soluble Oligomers of the Amyloid β-Protein: Impair Synaptic Plasticity and Behavior. In Synaptic Plasticity and the Mechanism of Alzheimer’s Disease; Selkoe, D.J., Triller, A., Christen, Y., Eds.; Springer: Berlin/Heidelberg, Germany, 2008; pp. 89–102. [Google Scholar]
- Jiang, L.; Huang, M.; Xu, S.; Wang, Y.; An, P.; Feng, C.; Chen, X.; Wei, X.; Han, Y.; Wang, Q. Bis(propyl)-cognitin Prevents beta-amyloid-induced Memory Deficits as Well as Synaptic Formation and Plasticity Impairments via the Activation of PI3-K Pathway. Mol. Neurobiol. 2016, 53, 3832–3841. [Google Scholar] [CrossRef]
- Hu, S.; Xian, Y.; Fan, Y.; Mak, S.; Wang, J.; Tang, J.; Pang, Y.; Pi, R.; Tsim, K.W.; Liu, F.; et al. Significant combination of Aβ aggregation inhibitory and neuroprotective properties in silico, in vitro and in vivo by bis(propyl)-cognitin, a multifunctional anti-Alzheimer’s agent. Eur. J. Pharmacol. 2020, 876, 173065. [Google Scholar] [CrossRef] [PubMed]
- Jeremic, D.; Jiménez-Díaz, L.; Navarro-López, J.D. Past, present and future of therapeutic strategies against amyloid-β peptides in Alzheimer’s disease: A systematic review. Ageing Res. Rev. 2021, 72, 101496. [Google Scholar] [CrossRef]
- Moran, M.A.; Mufson, E.J.; Gomez-Ramos, P. Cholinesterases colocalize with sites of neurofibrillary degeneration in aged and Alzheimer’s brains. Acta Neuropathol. 1994, 87, 284–292. [Google Scholar] [CrossRef] [PubMed]
- De Ferrari, G.V.; Canales, M.A.; Shin, I.; Weiner, L.M.; Silman, I.; Inestrosa, N.C. A structural motif of acetylcholinesterase that promotes amyloid beta-peptide fibril formation. Biochemistry 2001, 40, 10447–10457. [Google Scholar] [CrossRef]
- Lushchekina, S.V.; Kots, E.D.; Novichkova, D.A.; Petrov, K.A.; Masson, P. Role of acetylcholinesterase in β-amyloid aggregation studied by accelerated molecular dynamics. BioNanoScience 2016, 7, 396–402. [Google Scholar] [CrossRef]
- Inestrosa, N.C.; Dinamarca, M.C.; Alvarez, A. Amyloid-cholinesterase interactions. Implications for Alzheimer’s disease. FEBS J. 2008, 275, 625–632. [Google Scholar] [CrossRef]
- Korabecny, J.; Andrs, M.; Nepovimova, E.; Dolezal, R.; Babkova, K.; Horova, A.; Malinak, D.; Mezeiova, E.; Gorecki, L.; Sepsova, V.; et al. 7-Methoxytacrine-p-Anisidine Hybrids as Novel Dual Binding Site Acetylcholinesterase Inhibitors for Alzheimer’s Disease Treatment. Molecules 2015, 20, 22084–22101. [Google Scholar] [CrossRef] [PubMed]
- Lushchekina, S.V.; Makhaeva, G.F.; Novichkova, D.A.; Zueva, I.V.; Kovaleva, N.V.; Richardson, R.J. Supercomputer modeling of dual-site acetylcholinesterase (AChE) inhibition. JSFI 2018, 5, 89–97. [Google Scholar] [CrossRef]
- Makhaeva, G.F.; Kovaleva, N.V.; Boltneva, N.P.; Lushchekina, S.V.; Rudakova, E.V.; Stupina, T.S.; Terentiev, A.A.; Serkov, I.V.; Proshin, A.N.; Radchenko, E.V.; et al. Conjugates of tacrine and 1,2,4-thiadiazole derivatives as new potential multifunctional agents for Alzheimer’s disease treatment: Synthesis, quantum-chemical characterization, molecular docking, and biological evaluation. Bioorg. Chem. 2020, 94, 103387. [Google Scholar] [CrossRef] [PubMed]
- Makhaeva, G.F.; Kovaleva, N.V.; Boltneva, N.P.; Lushchekina, S.V.; Rudakova, E.V.; Stupina, T.S.; Terentiev, A.A.; Serkov, I.V.; Proshin, A.N.; Radchenko, E.V.; et al. Corrigendum to “Conjugates of tacrine and 1,2,4-thiadiazole derivatives as new potential multifunctional agents for Alzheimer’s disease treatment: Synthesis, quantum-chemical characterization, molecular docking, and biological evaluation”. [Bioorg. Chem. 94C (2019)]. Bioorg. Chem. 2020, 96, 103563. [Google Scholar] [CrossRef]
- Makhaeva, G.F.; Kovaleva, N.V.; Rudakova, E.V.; Boltneva, N.P.; Lushchekina, S.V.; Faingold, I.I.; Poletaeva, D.A.; Soldatova, Y.V.; Kotelnikova, R.A.; Serkov, I.V.; et al. New Multifunctional Agents Based on Conjugates of 4-Amino-2,3-polymethylenequinoline and Butylated Hydroxytoluene for Alzheimer’s Disease Treatment. Molecules 2020, 25, 5891. [Google Scholar] [CrossRef] [PubMed]
- Camps, P.; Formosa, X.; Galdeano, C.; Gomez, T.; Munoz-Torrero, D.; Ramirez, L.; Viayna, E.; Gomez, E.; Isambert, N.; Lavilla, R.; et al. Tacrine-based dual binding site acetylcholinesterase inhibitors as potential disease-modifying anti-Alzheimer drug candidates. Chem. Biol. Interact. 2010, 187, 411–415. [Google Scholar] [CrossRef]
- Panek, D.; Wichur, T.; Godyn, J.; Pasieka, A.; Malawska, B. Advances toward multifunctional cholinesterase and beta-amyloid aggregation inhibitors. Future Med. Chem. 2017, 9, 1835–1854. [Google Scholar] [CrossRef]
- Zueva, I.; Dias, J.; Lushchekina, S.; Semenov, V.; Mukhamedyarov, M.; Pashirova, T.; Babaev, V.; Nachon, F.; Petrova, N.; Nurullin, L.; et al. New evidence for dual binding site inhibitors of acetylcholinesterase as improved drugs for treatment of Alzheimer’s disease. Neuropharmacology 2019, 155, 131–141. [Google Scholar] [CrossRef] [PubMed]
- Ramanan, V.K.; Risacher, S.L.; Nho, K.; Kim, S.; Swaminathan, S.; Shen, L.; Foroud, T.M.; Hakonarson, H.; Huentelman, M.J.; Aisen, P.S.; et al. APOE and BCHE as modulators of cerebral amyloid deposition: A florbetapir PET genome-wide association study. Mol. Psychiatry 2014, 19, 351–357. [Google Scholar] [CrossRef] [Green Version]
- Darvesh, S. Butyrylcholinesterase as a diagnostic and therapeutic target for Alzheimer’s disease. Curr. Alzheimer Res. 2016, 13, 1173–1177. [Google Scholar] [CrossRef]
- Radi, E.; Formichi, P.; Battisti, C.; Federico, A. Apoptosis and oxidative stress in neurodegenerative diseases. J. Alzheimers Dis. 2014, 42 (Suppl. S3), S125–S152. [Google Scholar] [CrossRef] [Green Version]
- Huang, W.J.; Zhang, X.; Chen, W.W. Role of oxidative stress in Alzheimer’s disease. Biomed. Rep. 2016, 4, 519–522. [Google Scholar] [CrossRef] [Green Version]
- Savelieff, M.G.; Nam, G.; Kang, J.; Lee, H.J.; Lee, M.; Lim, M.H. Development of multifunctional molecules as potential therapeutic candidates for Alzheimer’s disease, Parkinson’s disease, and amyotrophic lateral sclerosis in the last decade. Chem. Rev. 2019, 119, 1221–1322. [Google Scholar] [CrossRef]
- Pohanka, M. Oxidative stress in Alzheimer disease as a target for therapy. Bratisl. Lek. Listy 2018, 119, 535–543. [Google Scholar] [CrossRef] [PubMed] [Green Version]
- Cassidy, L.; Fernandez, F.; Johnson, J.B.; Naiker, M.; Owoola, A.G.; Broszczak, D.A. Oxidative stress in Alzheimer’s disease: A review on emergent natural polyphenolic therapeutics. Complement. Ther. Med. 2020, 49, 102294. [Google Scholar] [CrossRef]
- Chakrabarti, S.; Sinha, M.; Thakurta, I.; Banerjee, P.; Chattopadhyay, M. Oxidative stress and amyloid beta toxicity in Alzheimer’s disease: Intervention in a complex relationship by antioxidants. Curr. Med. Chem. 2013, 20, 4648–4664. [Google Scholar] [CrossRef]
- Papagiouvannis, G.; Theodosis-Nobelos, P.; Kourounakis, P.N.; Rekka, E.A. Multi-Target Directed Compounds with Antioxidant and/or Anti- Inflammatory Properties as Potent Agents for Alzheimer’s Disease. Med. Chem. 2021, 17, 1086–1103. [Google Scholar] [CrossRef] [PubMed]
- Rosini, M.; Simoni, E.; Bartolini, M.; Tarozzi, A.; Matera, R.; Milelli, A.; Hrelia, P.; Andrisano, V.; Bolognesi, M.L.; Melchiorre, C. Exploiting the lipoic acid structure in the search for novel multitarget ligands against Alzheimer’s disease. Eur. J. Med. Chem. 2011, 46, 5435–5442. [Google Scholar] [CrossRef]
- Nepovimova, E.; Korabecny, J.; Dolezal, R.; Babkova, K.; Ondrejicek, A.; Jun, D.; Sepsova, V.; Horova, A.; Hrabinova, M.; Soukup, O.; et al. Tacrine-Trolox Hybrids: A Novel Class of Centrally Active, Nonhepatotoxic Multi-Target-Directed Ligands Exerting Anticholinesterase and Antioxidant Activities with Low in Vivo Toxicity. J. Med. Chem. 2015, 58, 8985–9003. [Google Scholar] [CrossRef]
- Makhaeva, G.F.; Serkov, I.V.; Kovaleva, N.V.; Rudakova, E.V.; Boltneva, N.P.; Kochetkova, E.A.; Proshin, A.N.; Bachurin, S.O. Novel conjugates of 4-Amino-2,3-polymethylenequinolines and vanillin as potential multitarget agents for AD treatment. Mendeleev Commun. 2021, 31, 606–608. [Google Scholar] [CrossRef]
- Skrzypek, A.; Matysiak, J.; Karpińska, M.; Czarnecka, K.; Kręcisz, P.; Stary, D.; Kukułowicz, J.; Paw, B.; Bajda, M.; Szymański, P.; et al. Biological evaluation and molecular docking of novel 1,3,4-thiadiazole-resorcinol conjugates as multifunctional cholinesterases inhibitors. Bioorg. Chem. 2021, 107, 104617. [Google Scholar] [CrossRef] [PubMed]
- Rosini, M.; Simoni, E.; Minarini, A.; Melchiorre, C. Multi-target design strategies in the context of Alzheimer’s disease: Acetylcholinesterase inhibition and NMDA receptor antagonism as the driving forces. Neurochem. Res. 2014, 39, 1914–1923. [Google Scholar] [CrossRef] [PubMed]
- Gonzalez, J.F.; Alcantara, A.R.; Doadrio, A.L.; Sanchez-Montero, J.M. Developments with multi-target drugs for Alzheimer’s disease: An overview of the current discovery approaches. Expert Opin. Drug Discov. 2019, 14, 879–891. [Google Scholar] [CrossRef]
- Bolognesi, M.L.; Cavalli, A. Multitarget Drug Discovery and Polypharmacology. ChemMedChem 2016, 11, 1190–1192. [Google Scholar] [CrossRef] [PubMed] [Green Version]
- Bolognesi, M.L. Harnessing Polypharmacology with Medicinal Chemistry. ACS Med. Chem. Lett. 2019, 10, 273–275. [Google Scholar] [CrossRef] [Green Version]
- Ramsay, R.R.; Popovic-Nikolic, M.R.; Nikolic, K.; Uliassi, E.; Bolognesi, M.L. A perspective on multi-target drug discovery and design for complex diseases. Clin. Transl. Med. 2018, 7, 3. [Google Scholar] [CrossRef] [PubMed] [Green Version]
- Oset-Gasque, M.J.; Marco-Contelles, J. Alzheimer’s Disease, the “One-Molecule, One-Target” Paradigm, and the Multitarget Directed Ligand Approach. ACS Chem. Neurosci. 2018, 9, 401–403. [Google Scholar] [CrossRef] [Green Version]
- Pasieka, A.; Panek, D.; Malawska, B. Multifunctional Ligand Approach: Search for Effective Therapy Against Alzheimer’s Disease. In Alzheimer’s Disease: Drug Discovery; Huang, X., Ed.; Exon Publications: Brisbane, Australia, 2020; pp. 181–203. [Google Scholar]
- Rosini, M.; Simoni, E.; Bartolini, M.; Soriano, E.; Marco-Contelles, J.; Andrisano, V.; Monti, B.; Windisch, M.; Hutter-Paier, B.; McClymont, D.W.; et al. The bivalent ligand approach as a tool for improving the in vitro anti-Alzheimer multitarget profile of dimebon. ChemMedChem 2013, 8, 1276–1281. [Google Scholar] [CrossRef] [PubMed] [Green Version]
- Decker, M. Homobivalent quinazolinimines as novel nanomolar inhibitors of cholinesterases with dirigible selectivity toward butyrylcholinesterase. J. Med. Chem. 2006, 49, 5411–5413. [Google Scholar] [CrossRef] [PubMed]
- Sameem, B.; Saeedi, M.; Mahdavi, M.; Shafiee, A. A review on tacrine-based scaffolds as multi-target drugs (MTDLs) for Alzheimer’s disease. Eur. J. Med. Chem. 2017, 128, 332–345. [Google Scholar] [CrossRef]
- Leon, R.; Garcia, A.G.; Marco-Contelles, J. Recent advances in the multitarget-directed ligands approach for the treatment of Alzheimer’s disease. Med. Res. Rev. 2013, 33, 139–189. [Google Scholar] [CrossRef]
- Otto, R.; Penzis, R.; Gaube, F.; Adolph, O.; Fohr, K.J.; Warncke, P.; Robaa, D.; Appenroth, D.; Fleck, C.; Enzensperger, C.; et al. Evaluation of Homobivalent Carbolines as Designed Multiple Ligands for the Treatment of Neurodegenerative Disorders. J. Med. Chem. 2015, 58, 6710–6715. [Google Scholar] [CrossRef]
- Chang, L.; Cui, W.; Yang, Y.; Xu, S.; Zhou, W.; Fu, H.; Hu, S.; Mak, S.; Hu, J.; Wang, Q.; et al. Protection against β-amyloid-induced synaptic and memory impairments via altering β-amyloid assembly by bis(heptyl)-cognitin. Sci. Rep. 2015, 5, 10256. [Google Scholar] [CrossRef]
- Makhaeva, G.F.; Shevtsova, E.F.; Aksinenko, A.Y.; Kovaleva, N.V.; Boltneva, N.P.; Lushchekina, S.V.; Rudakova, E.V.; Pushkareva, E.A.; Serkova, T.P.; Dubova, L.G.; et al. Bis-γ-carbolines as new potential multitarget agents for Alzheimer’s disease. Pure Appl. Chem. 2020, 92, 1057–1080. [Google Scholar] [CrossRef]
- Milelli, A.; De Simone, A.; Ticchi, N.; Chen, H.H.; Betari, N.; Andrisano, V.; Tumiatti, V. Tacrine-based Multifunctional Agents in Alzheimer’s Disease: An Old Story in Continuous Development. Curr. Med. Chem. 2017, 24, 3522–3546. [Google Scholar] [CrossRef]
- Spilovska, K.; Korabecny, J.; Nepovimova, E.; Dolezal, R.; Mezeiova, E.; Soukup, O.; Kuca, K. Multitarget tacrine hybrids with neuroprotective properties to confront Alzheimer’s disease. Curr. Top. Med. Chem. 2017, 17, 1006–1026. [Google Scholar] [CrossRef]
- Nepovimova, E.; Svobodova, L.; Dolezal, R.; Hepnarova, V.; Junova, L.; Jun, D.; Korabecny, J.; Kucera, T.; Gazova, Z.; Motykova, K.; et al. Tacrine—Benzothiazoles: Novel class of potential multitarget anti-Alzheimers drugs dealing with cholinergic, amyloid and mitochondrial systems. Bioorg. Chem. 2021, 107, 104596. [Google Scholar] [CrossRef] [PubMed]
- Tian, S.; Huang, Z.; Meng, Q.; Liu, Z. Multi-Target Drug Design of Anti-Alzheimer’s Disease based on Tacrine. Mini Rev. Med. Chem. 2021, 21, 2039–2064. [Google Scholar] [CrossRef] [PubMed]
- Li, W.; Mak, M.; Jiang, H.; Wang, Q.; Pang, Y.; Chen, K.; Han, Y. Novel anti-Alzheimer’s dimer bis(7)-Cognitin: Cellular and molecular mechanisms of neuroprotection through multiple targets. Neurotherapeutics 2009, 6, 187–201. [Google Scholar] [CrossRef] [Green Version]
- Roldan-Pena, J.M.; Alejandre-Ramos, D.; Lopez, O.; Maya, I.; Lagunes, I.; Padron, J.M.; Pena-Altamira, L.E.; Bartolini, M.; Monti, B.; Bolognesi, M.L.; et al. New tacrine dimers with antioxidant linkers as dual drugs: Anti-Alzheimer’s and antiproliferative agents. Eur. J. Med. Chem. 2017, 138, 761–773. [Google Scholar] [CrossRef] [PubMed]
- Sanchez-Vidana, D.I.; Chow, J.K.W.; Hu, S.Q.; Lau, B.W.M.; Han, Y.F. Molecular Targets of Bis (7)-Cognitin and Its Relevance in Neurological Disorders: A Systematic Review. Front. Neurosci. 2019, 13, 445. [Google Scholar] [CrossRef] [Green Version]
- Kluša, V.; Rumaks, J.; Karajeva, Ñ. Neuromidin Attenuates Neuropathic Pain in the Streptozocin-Induced Diabetes Model in Rats. Proc. Latv. Acad. Sci. Sect. B Nat. Exact Appl. Sci. 2008, 62, 85–90. [Google Scholar] [CrossRef] [Green Version]
- Damulin, I.V.; Stepkina, D.A.; Lokshina, A.B. Neuromidin in mixed vascular and Alzheimer’s dementia. Zhurnal Nevrologii i Psikhiatrii Imeni SS Korsakova 2011, 111, 40–43. [Google Scholar]
- Zhivolupov, S.A.; Onischenko, L.S.; Rashidov, N.A.; Samartsev, I.N.; Jakovlev, E.V. Spinal mechanisms of neuroplasticity induced by neuromidin in treatment of traumatic neuropathies. Zhurnal Nevrologii i Psikhiatrii Imeni SS Korsakova 2018, 118, 58–64. [Google Scholar] [CrossRef]
- Zhivolupov, S.A.; Rashidov, N.A.; Samartsev, I.N.; Jakovlev, E.V. A comparative analysis of the efficacy of neuromidin and galantamine in Alzheimer’s disease. Zhurnal Nevrologii i Psikhiatrii Imeni SS Korsakova 2015, 115, 22–27. [Google Scholar] [CrossRef] [PubMed]
- Oros, M.M. The use of parenteral forms of ipidacrine in the treatment of the central and peripheral nervous system diseases. Int. J. Neurol. 2018, (6.100), 23–26. [Google Scholar] [CrossRef] [Green Version]
- Litvinenko, I.V.; Zhivolupov, S.A.; Samartsev, I.N.; Kravchuk, A.Y.; Vorobyova, M.N.; Yakovlev, E.V.; Butakova, Y.S. The Cholinergic Profile as a Target for Rational Therapy of Central Nervous System Diseases and Injuries. Neurosci. Behav. Physiol. 2020, 50, 1112–1118. [Google Scholar] [CrossRef]
- Kojima, J.; Onodera, K.; Ozeki, M.; Nakayama, K. Ipidacrine (NIK-247): A Review of Multiple Mechanisms as an Antidementia Agent. CNS Drug Rev. 1998, 4, 247–259. [Google Scholar] [CrossRef]
- Shevtsov, P.N.; Shevtsova, E.F.; Burbaeva, G.; Bachurin, S.O. Effects of anti-Alzheimer drugs on phosphorylation and assembly of microtubules from brain microtubular proteins. Bull. Exp. Biol. Med. 2014, 156, 768–772. [Google Scholar] [CrossRef] [PubMed]
- Makhaeva, G.F.; Lushchekina, S.V.; Kovaleva, N.V.; Yu Astakhova, T.; Boltneva, N.P.; Rudakova, E.V.; Serebryakova, O.G.; Proshin, A.N.; Serkov, I.V.; Trofimova, T.P.; et al. Amiridine-piperazine hybrids as cholinesterase inhibitors and potential multitarget agents for Alzheimer’s disease treatment. Bioorg. Chem. 2021, 112, 104974. [Google Scholar] [CrossRef] [PubMed]
- Yoshida, S.; Suzuki, N. Antiamnesic and cholinomimetic side-effects of the cholinesterase inhibitors, physostigmine, tacrine and NIK-247 in rats. Eur. J. Pharmacol. 1993, 250, 117–124. [Google Scholar] [CrossRef]
- Zhidkova, A.; Berlyand, A.; Knizhnik, A.; Lavretskaya, E.; Robakidze, T.; Sukhanova, S.; Mufazalova, T. Synthesis and pharmacological properties of amiridine analogs. Pharm. Chem. J. 1989, 23, 709–712. [Google Scholar] [CrossRef]
- Zhidkova, A.M.; Goizman, M.S.; Berlyand, A.S.; Knizhnik, A.Z.; Khabarova, L.S. Measurement of Amiridine And Its Structural Analogs by Acidometric Titration. Khim. Farm. Zh. 1989, 23, 1401–1404. [Google Scholar]
- Makhaeva, G.F.; Rudakova, E.V.; Kovaleva, N.V.; Lushchekina, S.V.; Boltneva, N.P.; Proshin, A.N.; Shchegolkov, E.V.; Burgart, Y.V.; Saloutin, V.I. Cholinesterase and carboxylesterase inhibitors as pharmacological agents. Russ. Chem. Bull. 2019, 68, 967–984. [Google Scholar] [CrossRef]
- Makhaeva, G.F.; Rudakova, E.V.; Serebryakova, O.G.; Aksinenko, A.Y.; Lushchekina, S.V.; Bachurin, S.O.; Richardson, R.J. Esterase profiles of organophosphorus compounds in vitro predict their behavior in vivo. Chem. Biol. Interact. 2016, 259, 332–342. [Google Scholar] [CrossRef]
- Makhaeva, G.F.; Boltneva, N.P.; Lushchekina, S.V.; Serebryakova, O.G.; Stupina, T.S.; Terentiev, A.A.; Serkov, I.V.; Proshin, A.N.; Bachurin, S.O.; Richardson, R.J. Synthesis, molecular docking and biological evaluation of N,N-disubstituted 2-aminothiazolines as a new class of butyrylcholinesterase and carboxylesterase inhibitors. Bioorg. Med. Chem. 2016, 24, 1050–1062. [Google Scholar] [CrossRef]
- Makhaeva, G.F.; Lushchekina, S.V.; Boltneva, N.P.; Sokolov, V.B.; Grigoriev, V.V.; Serebryakova, O.G.; Vikhareva, E.A.; Aksinenko, A.Y.; Barreto, G.E.; Aliev, G.; et al. Conjugates of g-carbolines and phenothiazine as new selective inhibitors of butyrylcholinesterase and blockers of NMDA receptors for Alzheimer disease. Sci. Rep. 2015, 5, 13164. [Google Scholar] [CrossRef] [PubMed] [Green Version]
- Makhaeva, G.F.; Radchenko, E.V.; Palyulin, V.A.; Rudakova, E.V.; Aksinenko, A.Y.; Sokolov, V.B.; Zefirov, N.S.; Richardson, R.J. Organophosphorus compound esterase profiles as predictors of therapeutic and toxic effects. Chem. Biol. Interact. 2013, 203, 231–237. [Google Scholar] [CrossRef] [PubMed]
- Makhaeva, G.F.; Kovaleva, N.V.; Boltneva, N.P.; Lushchekina, S.V.; Astakhova, T.Y.; Rudakova, E.V.; Proshin, A.N.; Serkov, I.V.; Radchenko, E.V.; Palyulin, V.A.; et al. New Hybrids of 4-Amino-2,3-polymethylene-quinoline and p-Tolylsulfonamide as Dual Inhibitors of Acetyl- and Butyrylcholinesterase and Potential Multifunctional Agents for Alzheimer’s Disease Treatment. Molecules 2020, 25, 3915. [Google Scholar] [CrossRef]
- Bartolini, M.; Bertucci, C.; Cavrini, V.; Andrisano, V. β-Amyloid aggregation induced by human acetylcholinesterase: Inhibition studies. Biochem. Pharmacol. 2003, 65, 407–416. [Google Scholar] [CrossRef]
- Arce, M.P.; Rodriguez-Franco, M.I.; Gonzalez-Munoz, G.C.; Perez, C.; Lopez, B.; Villarroya, M.; Lopez, M.G.; Garcia, A.G.; Conde, S. Neuroprotective and cholinergic properties of multifunctional glutamic acid derivatives for the treatment of Alzheimer’s disease. J. Med. Chem. 2009, 52, 7249–7257. [Google Scholar] [CrossRef] [PubMed]
- Bachurin, S.O.; Makhaeva, G.F.; Shevtsova, E.F.; Aksinenko, A.Y.; Grigoriev, V.V.; Shevtsov, P.N.; Goreva, T.V.; Epishina, T.A.; Kovaleva, N.V.; Pushkareva, E.A.; et al. Conjugation of Aminoadamantane and γ-Carboline Pharmacophores Gives Rise to Unexpected Properties of Multifunctional Ligands. Molecules 2021, 26, 5527. [Google Scholar] [CrossRef]
- Ghotbi, G.; Mahdavi, M.; Najafi, Z.; Moghadam, F.H.; Hamzeh-Mivehroud, M.; Davaran, S.; Dastmalchi, S. Design, synthesis, biological evaluation, and docking study of novel dual-acting thiazole-pyridiniums inhibiting acetylcholinesterase and beta-amyloid aggregation for Alzheimer’s disease. Bioorg. Chem. 2020, 103, 104186. [Google Scholar] [CrossRef]
- Sanchez Montero, J.M.; Agis-Torres, A.; Solano, D.; Sollhuber, M.; Fernandez, M.; Villaro, W.; Gomez-Canas, M.; Garcia-Arencibia, M.; Fernandez-Ruiz, J.; Egea, J.; et al. Analogues of cannabinoids as multitarget drugs in the treatment of Alzheimer’s disease. Eur. J. Pharmacol. 2021, 895, 173875. [Google Scholar] [CrossRef]
- Munoz-Ruiz, P.; Rubio, L.; Garcia-Palomero, E.; Dorronsoro, I.; del Monte-Millan, M.; Valenzuela, R.; Usan, P.; de Austria, C.; Bartolini, M.; Andrisano, V.; et al. Design, synthesis, and biological evaluation of dual binding site acetylcholinesterase inhibitors: New disease-modifying agents for Alzheimer’s disease. J. Med. Chem. 2005, 48, 7223–7233. [Google Scholar] [CrossRef]
- Bartolini, M.; Naldi, M.; Fiori, J.; Valle, F.; Biscarini, F.; Nicolau, D.V.; Andrisano, V. Kinetic characterization of amyloid-beta 1-42 aggregation with a multimethodological approach. Anal. Biochem. 2011, 414, 215–225. [Google Scholar] [CrossRef] [PubMed]
- Pavan Kumar, H.; Kumara, H.K.; Suhas, R.; Channe Gowda, D. Multitarget-directed therapeutics: (Urea/thiourea)2 derivatives of diverse heterocyclic-Lys conjugates. Arch. Pharm. 2021, 354, e2000468. [Google Scholar] [CrossRef] [PubMed]
- Ozgeris, B. Design, synthesis, characterization, and biological evaluation of nicotinoyl thioureas as antimicrobial and antioxidant agents. J. Antibiot. 2021, 74, 233–243. [Google Scholar] [CrossRef]
- Huong, D.Q.; Bay, M.V.; Nam, P.C. Antioxidant activity of thiourea derivatives: An experimental and theoretical study. J. Mol. Liq. 2021, 340, 117149. [Google Scholar] [CrossRef]
- Naz, S.; Zahoor, M.; Umar, M.N.; Alghamdi, S.; Sahibzada, M.U.K.; UlBari, W. Synthesis, characterization, and pharmacological evaluation of thiourea derivatives. Open Chem. 2020, 18, 764–777. [Google Scholar] [CrossRef]
- Prasad, A.K.; Mishra, P.C. Scavenging of superoxide radical anion and hydroxyl radical by urea, thiourea, selenourea and their derivatives without any catalyst: A theoretical study. Chem. Phys. Lett. 2017, 684, 197–204. [Google Scholar] [CrossRef]
- Taylor, P.; Lappi, S. Interaction of fluorescence probes with acetylcholinesterase. Site and specificity of propidium binding. Biochemistry 1975, 14, 1989–1997. [Google Scholar] [CrossRef]
- Taylor, P.; Lwebuga-Mukasa, J.; Lappi, S.; Rademacher, J. Propidium—A fluorescence probe for a peripheral anionic site on acetylcholinesterase. Mol. Pharm. 1974, 10, 703–708. [Google Scholar]
- Konagurthu, A.S.; Whisstock, J.C.; Stuckey, P.J.; Lesk, A.M. MUSTANG: A multiple structural alignment algorithm. Proteins 2006, 64, 559–574. [Google Scholar] [CrossRef]
- Krieger, E.; Vriend, G. YASARA View—Molecular graphics for all devices—From smartphones to workstations. Bioinformatics 2014, 30, 2981–2982. [Google Scholar] [CrossRef] [PubMed] [Green Version]
- Biancalana, M.; Koide, S. Molecular mechanism of Thioflavin-T binding to amyloid fibrils. Biochim. Biophys. Acta 2010, 1804, 1405–1412. [Google Scholar] [CrossRef] [Green Version]
- Re, R.; Pellegrini, N.; Proteggente, A.; Pannala, A.; Yang, M.; Rice-Evans, C. Antioxidant activity applying an improved ABTS radical cation decolorization assay. Free Radic. Biol. Med. 1999, 26, 1231–1237. [Google Scholar] [CrossRef]
- Benzie, I.F.; Strain, J.J. The ferric reducing ability of plasma (FRAP) as a measure of “antioxidant power”: The FRAP assay. Anal. Biochem. 1996, 239, 70–76. [Google Scholar] [CrossRef] [PubMed] [Green Version]
- Benzie, I.F.F.; Strain, J.J. Ferric reducing/antioxidant power assay: Direct measure of total antioxidant activity of biological fluids and modified version for simultaneous measurement of total antioxidant power and ascorbic acid concentration. Methods Enzymol. 1999, 299, 15–27. [Google Scholar] [CrossRef]
- Hawkins, P.C.; Skillman, A.G.; Warren, G.L.; Ellingson, B.A.; Stahl, M.T. Conformer generation with OMEGA: Algorithm and validation using high quality structures from the Protein Databank and Cambridge Structural Database. J. Chem. Inf. Model. 2010, 50, 572–584. [Google Scholar] [CrossRef]
- Schmidt, M.W.; Baldridge, K.K.; Boatz, J.A.; Elbert, S.T.; Gordon, M.S.; Jensen, J.H.; Koseki, S.; Matsunaga, N.; Nguyen, K.A.; Su, S.; et al. General atomic and molecular electronic structure system. J. Comput. Chem. 1993, 14, 1347–1363. [Google Scholar] [CrossRef]
- Löwdin, P.-O. On the nonorthogonality problem. In Advances in Quantum Chemistry; Per-Olov, L., Ed.; Academic Press: New York, NY, USA; London, UK, 1970; Volume 5, pp. 185–199. [Google Scholar]
- Cheung, J.; Rudolph, M.J.; Burshteyn, F.; Cassidy, M.S.; Gary, E.N.; Love, J.; Franklin, M.C.; Height, J.J. Structures of Human Acetylcholinesterase in Complex with Pharmacologically Important Ligands. J. Med. Chem. 2012, 55, 10282–10286. [Google Scholar] [CrossRef]
- Nicolet, Y.; Lockridge, O.; Masson, P.; Fontecilla-Camps, J.C.; Nachon, F. Crystal structure of human butyrylcholinesterase and of its complexes with substrate and products. J. Biol. Chem. 2003, 278, 41141–41147. [Google Scholar] [CrossRef] [Green Version]
- Masson, P.; Lushchekina, S.; Schopfer, L.M.; Lockridge, O. Effects of viscosity and osmotic stress on the reaction of human butyrylcholinesterase with cresyl saligenin phosphate, a toxicant related to aerotoxic syndrome: Kinetic and molecular dynamics studies. Biochem. J. 2013, 454, 387–399. [Google Scholar] [CrossRef] [Green Version]
- Morris, G.M.; Goodsell, D.S.; Halliday, R.S.; Huey, R.; Hart, W.E.; Belew, R.K.; Olson, A.J. Automated docking using a Lamarckian genetic algorithm and an empirical binding free energy function. J. Comput. Chem. 1998, 19, 1639–1662. [Google Scholar] [CrossRef] [Green Version]
- Morris, G.M.; Huey, R.; Lindstrom, W.; Sanner, M.F.; Belew, R.K.; Goodsell, D.S.; Olson, A.J. AutoDock4 and AutoDockTools4: Automated docking with selective receptor flexibility. J. Comp. Chem. 2009, 30, 2785–2791. [Google Scholar] [CrossRef] [PubMed] [Green Version]
- Sushko, I.; Novotarskyi, S.; Korner, R.; Pandey, A.K.; Rupp, M.; Teetz, W.; Brandmaier, S.; Abdelaziz, A.; Prokopenko, V.V.; Tanchuk, V.Y.; et al. Online chemical modeling environment (OCHEM): Web platform for data storage, model development and publishing of chemical information. J. Comput. Aided Mol. Des. 2011, 25, 533–554. [Google Scholar] [CrossRef] [PubMed] [Green Version]
- Radchenko, E.V.; Dyabina, A.S.; Palyulin, V.A.; Zefirov, N.S. Prediction of human intestinal absorption of drug compounds. Russ. Chem. Bull. 2016, 65, 576–580. [Google Scholar] [CrossRef]
- Dyabina, A.S.; Radchenko, E.V.; Palyulin, V.A.; Zefirov, N.S. Prediction of blood-brain barrier permeability of organic compounds. Dokl. Biochem. Biophys. 2016, 470, 371–374. [Google Scholar] [CrossRef]
- Radchenko, E.V.; Dyabina, A.S.; Palyulin, V.A. Towards Deep Neural Network Models for the Prediction of the Blood-Brain Barrier Permeability for Diverse Organic Compounds. Molecules 2020, 25, 5901. [Google Scholar] [CrossRef] [PubMed]
- Radchenko, E.V.; Rulev, Y.A.; Safanyaev, A.Y.; Palyulin, V.A.; Zefirov, N.S. Computer-aided estimation of the hERG-mediated cardiotoxicity risk of potential drug components. Dokl. Biochem. Biophys. 2017, 473, 128–131. [Google Scholar] [CrossRef]
- ADMET Prediction Service. Available online: http://qsar.chem.msu.ru/admet/ (accessed on 15 December 2021).
- Bickerton, G.R.; Paolini, G.V.; Besnard, J.; Muresan, S.; Hopkins, A.L. Quantifying the chemical beauty of drugs. Nat. Chem. 2012, 4, 90–98. [Google Scholar] [CrossRef] [Green Version]
- RDKit: Open-Source Cheminformatics Software. Available online: http://www.rdkit.org (accessed on 15 December 2021).
- Voevodin, V.; Antonov, A.; Nikitenko, D.; Shvets, P.; Sobolev, S.; Sidorov, I.; Stefanov, K.; Voevodin, V.; Zhumatiy, S. Supercomputer Lomonosov-2: Large scale, deep monitoring and fine analytics for the user community. JSFI 2019, 6, 4–11. [Google Scholar] [CrossRef] [Green Version]






| Compound | Inhibitory Activity Against AChE, BChE, and CES | Displacement of Propidium from EeAChE PAS, (%) 1 | Inhibition of Aβ42 Self-Aggregation, (%) 2 | |||
|---|---|---|---|---|---|---|
| N | n/m | Human Erythrocyte AChE, IC50 (µM) | Equine Serum BChE, IC50 (µM) | Porcine Liver CES, (%) 1 | ||
![]() | ||||||
| 3a | 2 | 1.64 ± 0.08 | 0.110 ± 0.004 | 4.8 ± 0.4 | 14.4 ± 1.2 | n.a. |
| 3b | 3 | 2.91 ± 0.74 | 0.128 ± 0.002 | 4.4 ± 0.5 | 14.7 ± 1.2 | n.a. |
| 3c | 4 | 1.46 ± 0.03 | 0.067 ± 0.001 | 0.8 ± 0.2 | 17.7 ± 1.4 | n.a. |
| 3d | 6 | 1.39 ± 0.10 | 1.11 ± 0.04 | 6.0 ± 0.6 | 11.2 ± 0.8 | n.a. |
| 3e | 8 | 11.7 ± 1.1 | 6.65 ± 0.50 | 5.1 ± 0.9 | 13.2 ± 1.0 | n.a. |
![]() | ||||||
| 5a | 2 | 96.0 ± 3.7 | 4.08 ± 0.23 | 4.3 ± 0.2 | 7.6 ± 0.6 | 2.9 ± 0.2 |
| 5b | 3 | 10.9 ± 1.0 | 0.689 ± 0.025 | 4.2 ± 0.5 | 9.3 ± 0.8 | 1.6 ± 0.1 |
| 5c | 4 | 7.53 ± 0.59 | 0.802 ± 0.081 | 9.6 ± 0.8 | 10.0 ± 0.8 | 17.2 ± 1.5 |
| 5d | 5 | 4.01 ± 0.13 | 0.758 ± 0.060 | 12.8 ± 1.1 | 11.2 ± 1.0 | 12.8 ± 1.1 |
| 5e | 6 | 4.08 ± 0.46 | 0.769 ± 0.020 | 10.3 ± 1.0 | 11.1 ± 0.9 | 14.3 ± 1.1 |
| 5f | 7 | 6.28 ± 0.46 | 1.18 ± 0.08 | 5.8 ± 0.3 | 2.5 ± 0.2 | 3.7 ± 0.3 |
| 5g | 8 | 26.6 ± 0.6 | 1.45 ± 0.09 | 15.9 ± 1.5 | 2.2 ± 0.2 | 5.2 ± 0.4 |
| Reference Agents | ||||||
| Amiridine | 4.44 ± 0.36 | 0.272 ± 0.015 | 2.7 ± 0.5 | 12.2 ± 0.9 | 6.4 ± 0.5 | |
| Tacrine | 0.601 ± 0.047 | 0.0295 ± 0.002 | n.a. | 3.1 ± 0.2 | 5.9 ± 0.5 | |
| BNPP | n.a. | n.a. | 99.1 ± 0.93 3 | n.d. | n.d. | |
| Donepezil | 0.040 ± 0.004 | 19.2 ± 3.0 | n.a. | 11.9 ± 0.9 | n.d. | |
| Myricetin | n.d. | n.d. | n.d. | n.d. | 74.7 ± 5.2 | |
| Propidium iodide | n.d. | n.d. | n.d. | n.d. | 90.7 ± 7.1 | |
| Compound | ABTS•+-Scavenging Activity | FRAP, TE 2,3 | HOMO-LUMO Gap, eV | ||
|---|---|---|---|---|---|
| N | n/m | TEAC 1 | IC50, µM | ||
![]() | |||||
| 3a | 2 | 0.10 ± 0.004 | ~180 | n.a. | 5.32 |
| 3b | 3 | 0.05 ± 0.003 | >200 | 0.05 ± 0.01 | 5.32 |
| 3c | 4 | 0.10 ± 0.005 | ~200 | n.a. | 5.36 |
| 3d | 6 | n.a. | n.d. | n.a. | 5.16 |
| 3e | 8 | 0.04 ± 0.002 | >200 | 0.05 ± 0.01 | 5.42 |
![]() | |||||
| 5a | 2 | 2.1 ± 0.07 | 7.6 ± 0.4 | 0.52 ± 0.04 | 4.50 |
| 5b | 3 | 1.9 ± 0.08 | 9.9 ± 0.5 | 0.50 ± 0.03 | 4.44 |
| 5c | 4 | 1.8 ± 0.05 | 9.7 ± 0.6 | 0.35 ± 0.02 | 4.42 |
| 5d | 5 | 1.6 ± 0.06 | 10.9 ± 0.7 | 0.45 ± 0.03 | 4.39 |
| 5e | 6 | 1.5 ± 0.07 | 10.9 ± 0.7 | 0.49 ± 0.01 | 4.45 |
| 5f | 7 | 1.2 ± 0.05 | 12.4 ± 0.8 | 0.55 ± 0.01 | 4.38 |
| 5g | 8 | 1.5 ± 0.07 | 10.8 ± 0.6 | 0.85 ± 0.03 | 4.40 |
| Reference Agents | |||||
| Amiridine | 0.04 ± 0.003 | n.d. | n.a. | n.d. | |
| Trolox | 1.0 | 20.1 ± 1.2 | 1.0 | n.d. | |
| Compound | MW | LogPow | pS | LogBB | HIA, % | hERG, pKi | hERG, pIC50 | QED | |
|---|---|---|---|---|---|---|---|---|---|
| N | n/m | ||||||||
| 3a | 2 | 516.69 | 1.56 | 3.36 | −1.31 | 66 | 4.15 | 4.39 | 0.38 |
| 3b | 3 | 530.72 | 1.59 | 3.57 | −1.45 | 66 | 4.28 | 4.59 | 0.35 |
| 3c | 4 | 544.74 | 1.91 | 3.86 | −1.39 | 66 | 4.37 | 4.66 | 0.32 |
| 3d | 6 | 572.80 | 2.53 | 4.08 | −1.32 | 66 | 4.19 | 4.92 | 0.26 |
| 3e | 8 | 600.85 | 3.26 | 4.98 | −1.02 | 66 | 4.55 | 5.28 | 0.21 |
| 5a | 2 | 520.76 | 3.82 | 5.34 | −1.36 | 57 | 4.46 | 4.78 | 0.34 |
| 5b | 3 | 534.79 | 4.14 | 5.57 | −1.33 | 57 | 4.65 | 5.19 | 0.31 |
| 5c | 4 | 548.81 | 4.51 | 6.01 | −1.31 | 57 | 4.69 | 5.10 | 0.28 |
| 5d | 5 | 562.84 | 4.91 | 6.29 | −1.28 | 57 | 4.73 | 5.26 | 0.24 |
| 5e | 6 | 576.87 | 5.30 | 6.55 | −1.37 | 57 | 4.50 | 5.38 | 0.21 |
| 5f | 7 | 590.89 | 5.70 | 6.81 | −1.16 | 57 | 4.82 | 5.60 | 0.19 |
| 5g | 8 | 604.92 | 6.07 | 6.97 | −1.07 | 57 | 4.86 | 5.78 | 0.16 |
| Amiridine | 188.27 | 2.62 | 1.75 | −0.58 | 92 | 4.34 | 4.44 | 0.68 | |
| Tacrine | 198.27 | 2.95 | 1.52 | −0.00 | 93 | 4.98 | 4.98 | 0.71 | |
Publisher’s Note: MDPI stays neutral with regard to jurisdictional claims in published maps and institutional affiliations. |
© 2022 by the authors. Licensee MDPI, Basel, Switzerland. This article is an open access article distributed under the terms and conditions of the Creative Commons Attribution (CC BY) license (https://creativecommons.org/licenses/by/4.0/).
Share and Cite
Makhaeva, G.F.; Kovaleva, N.V.; Boltneva, N.P.; Rudakova, E.V.; Lushchekina, S.V.; Astakhova, T.Y.; Serkov, I.V.; Proshin, A.N.; Radchenko, E.V.; Palyulin, V.A.; et al. Bis-Amiridines as Acetylcholinesterase and Butyrylcholinesterase Inhibitors: N-Functionalization Determines the Multitarget Anti-Alzheimer’s Activity Profile. Molecules 2022, 27, 1060. https://doi.org/10.3390/molecules27031060
Makhaeva GF, Kovaleva NV, Boltneva NP, Rudakova EV, Lushchekina SV, Astakhova TY, Serkov IV, Proshin AN, Radchenko EV, Palyulin VA, et al. Bis-Amiridines as Acetylcholinesterase and Butyrylcholinesterase Inhibitors: N-Functionalization Determines the Multitarget Anti-Alzheimer’s Activity Profile. Molecules. 2022; 27(3):1060. https://doi.org/10.3390/molecules27031060
Chicago/Turabian StyleMakhaeva, Galina F., Nadezhda V. Kovaleva, Natalia P. Boltneva, Elena V. Rudakova, Sofya V. Lushchekina, Tatiana Yu. Astakhova, Igor V. Serkov, Alexey N. Proshin, Eugene V. Radchenko, Vladimir A. Palyulin, and et al. 2022. "Bis-Amiridines as Acetylcholinesterase and Butyrylcholinesterase Inhibitors: N-Functionalization Determines the Multitarget Anti-Alzheimer’s Activity Profile" Molecules 27, no. 3: 1060. https://doi.org/10.3390/molecules27031060
APA StyleMakhaeva, G. F., Kovaleva, N. V., Boltneva, N. P., Rudakova, E. V., Lushchekina, S. V., Astakhova, T. Y., Serkov, I. V., Proshin, A. N., Radchenko, E. V., Palyulin, V. A., Korabecny, J., Soukup, O., Bachurin, S. O., & Richardson, R. J. (2022). Bis-Amiridines as Acetylcholinesterase and Butyrylcholinesterase Inhibitors: N-Functionalization Determines the Multitarget Anti-Alzheimer’s Activity Profile. Molecules, 27(3), 1060. https://doi.org/10.3390/molecules27031060





