Monitoring tert-Butylhydroquinone Content and Its Effect on a Biolubricant during Oxidation
Abstract
1. Introduction
1.1. Current Energy and Raw Material Shortage
1.2. Biolubricant: A Real Alternative for Petroleum-Based Products
- This process uses raw materials such as vegetable oils.
- Many valuable products can be obtained, such as fatty acid methyl esters (FAMEs, biodiesel), glycerol (depending on its purity, it presents many uses), fatty acid esters (biolubricants) and methanol (which can be reused in the process, as explained later on).
- The atom efficiency in this process is high, as all the by-products can be directly used in industry or re-used in this process.
1.3. The Role of Catalysts in Biolubricant Production: Yield and Quality
- Heterogeneous catalysts. Although they present the abovementioned disadvantages, it is an interesting field with room for improvement.
- The use of mild reaction conditions. As previous studies pointed out, the use of a vacuum in biolubricant synthesis (when possible) to increase the yield of the process at the expense of lower catalyst content and temperature could contribute to the increase in oxidative stability [20].
- Antioxidant addition. This is one of the most popular steps to improve the oxidative stability of biodiesel and biolubricants, which could avoid the contribution of a fatty acid profile (high linoleic/oleic acid in raw materials, for instance) and catalyst content in the final product [17].
1.4. Antioxidants to Improve Oxidative Stability in Biolubricants
1.5. Voltammetry as a Suitable Technique to Determine Antioxidant Content
- CV: In this case, a linear potential scan (with a triangular shape) as a function of time is carried out, from an initial potential (Ei) to a certain final potential (Ef) and, afterwards, the scan is usually inverted to Ei. The signal is obtained when a stationary electrode is immersed in a chemical solution without stirring. CV is used to carry out studies about electrochemical reaction mechanisms, electrode processes or organic compounds. Additionally, it is used for quantitative purposes, presenting lower sensitivity values (LOD 10−5 M) than other voltammetric techniques.
- DPV: It is applied as a function of potential over time, and the excitation signal consists of a series of pulses (shaped like stairs), where the base potential gradually increases at small intervals between 5–10 mV. The signal is measured as the difference between the intensity obtained before the pulse and the one obtained before the end of the pulse application. That provokes a decrease in the capacitive current, obtaining a higher sensitivity (LOD 10−7 M).
1.6. Novelty and Aim of This Work
2. Results and Discussion
2.1. Biodiesel Characterization
2.2. Biolubricant Characterization
2.3. TBHQ Addition to Biodiesel and Biolubricant
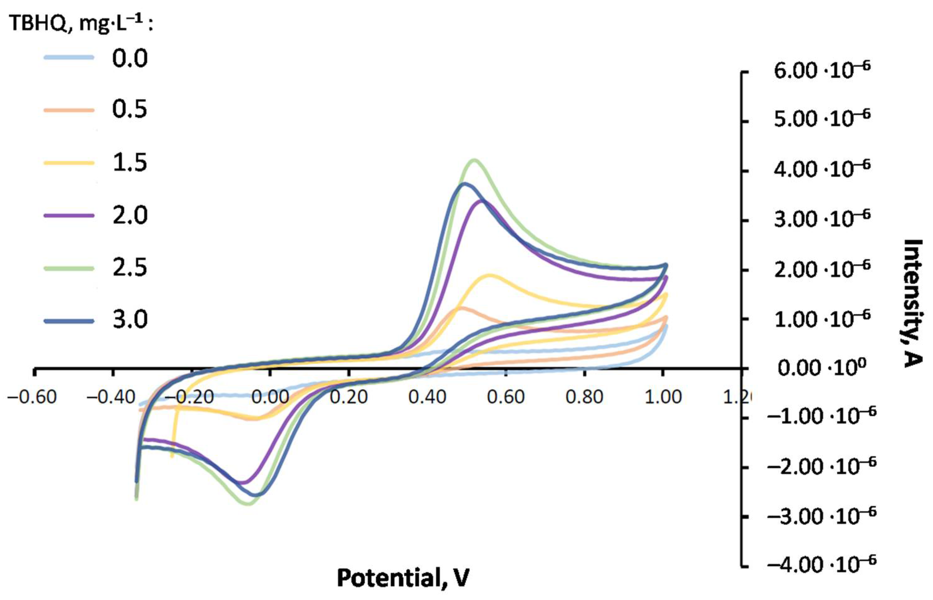
2.4. TBHQ Determination through Voltammetry
2.4.1. Previous Studies
Emulsion Medium in CV
Liquid–Liquid Dispersive Microextraction in CV
Influence of Ethanol Content on Liquid–Liquid Dispersive Microextraction in Cyclic Voltammetry
2.4.2. TBHQ Analysis in FOBL with the Optimum Antioxidant Addition, Undergoing Different Oxidation Times
2.5. Effect of Extreme Oxidation on FOBL and Comparison with TBHQ Addition
2.5.1. Effect of Extreme Oxidation on Viscosity
2.5.2. Effect of Extreme Oxidation on Acid Number
2.5.3. Effect of Extreme Oxidation on UV Absorbance
2.5.4. Effect of Extreme Oxidation on TBHQ Content
3. Materials and Methods
3.1. Raw Material
3.2. First Transesterification to Produce Fatty Acid Methyl Esters
3.3. Second Transesterification to Produce Fatty Acid Esters
3.4. Antioxidant Addition
3.5. Extreme Oxidation Conditions
3.6. Sample Characterization
3.6.1. Fatty Acid Methyl Ester Content and Composition
3.6.2. Oxidation Stability
3.6.3. Viscosity
3.6.4. Acid and Iodine Number Determination
3.6.5. UV Absorbance
3.6.6. TBHQ Content through Voltammetry
3.6.7. Other Quality Parameters
4. Conclusions
- The use of frying oil as a biodiesel and biolubricant precursor was proved, obtaining for the former good quality parameters, most of them complying with the UNE-EN14214 standard. However, both the biodiesel and biolubricant had low oxidation stabilities, mainly due to the high linoleic/oleic ratio in the raw material. Furthermore, the lower oxidation stability found for the biolubricant was possibly due to the further treatment of the sample, as well as the presence of catalysts in the final product. In any case, the addition of TBHQ was necessary in order to improve this parameter and the subsequent storage period.
- TBHQ addition to frying oil biodiesel and biolubricants was effective, increasing their oxidative stability values up to 8 h with 519 and 2114 mg·L−1, respectively. With this concentration, the FOBL kept its properties (such as viscosity and acid number) undergoing extreme oxidation conditions. Thus, viscosity, acid number and absorbance increased 20% after 8 h of oxidation, whereas control samples showed considerable increases (500, 700 and 400%, respectively). TBHQ concentration decreased by 93% after extreme oxidation, proving that it was the optimum concentration for this biolubricant.
- Dispersive microextraction was used in order to quantify TBHQ in biolubricant, as it presented advantages in the emulsion medium such as easiness in glassy carbon electrode washing or higher reproducibility between samples. As a consequence, this electroanalytical method is proposed for TBHQ quantification in biolubricants, as it is simple, quick and low cost.
- The results obtained in CV or DPV were similar for each technique in both mediums. Thus, with microextraction, both techniques showed TBHQ concentrations around 2114 mg·L−1.
- The antioxidant content in doped samples (analyzed through CV or DPV) considerably decreased during oxidation, from 2114(doped samples at 0 h) to 160 mg·L−1 after 8 h, showing a drastic decrease from 1 h. This behavior pointed out the antioxidant activity of TBHQ, proving that the amount added to the biolubricant was enough for this experiment.
Author Contributions
Funding
Data Availability Statement
Acknowledgments
Conflicts of Interest
References
- Overland, I.; Bazilian, M.; Ilimbek Uulu, T.; Vakulchuk, R.; Westphal, K. The GeGaLo index: Geopolitical gains and losses after energy transition. Energy Strat. Rev. 2019, 26, 100406. [Google Scholar] [CrossRef]
- Vakulchuk, R.; Overland, I.; Scholten, D. Renewable energy and geopolitics: A review. Renew. Sustain. Energy Rev. 2020, 122, 109547. [Google Scholar] [CrossRef]
- Moncada, B.J.; Aristizábal, M.V.; Cardona, A.C.A. Design strategies for sustainable biorefineries. Biochem. Eng. J. 2016, 116, 122–134. [Google Scholar] [CrossRef]
- Liberato, V.; Benevenuti, C.; Coelho, F.; Botelho, A.; Amaral, P.; Pereira, N.; Ferreira, T. Chemicals Production in a Biorefinery Context. Catalysts 2019, 9, 962. [Google Scholar] [CrossRef]
- Manaf, I.S.A.; Embong, N.H.; Khazaai, S.N.M.; Rahim, M.H.A.; Yusoff, M.M.; Lee, K.T.; Maniam, G.P. A review for key challenges of the development of biodiesel industry. Energy Convers. Manag. 2019, 185, 508–517. [Google Scholar] [CrossRef]
- Dehghani Soufi, M.; Ghobadian, B.; Atashgaran, M.; Mousavi, S.M.; Najafi, G. Biolubricant production from edible and novel indigenous vegetable oils: Mainstream methodology, and prospects and challenges in Iran. Biofuels Bioprod. Biorefining 2018, 13, 838–849. [Google Scholar] [CrossRef]
- Encinar, J.M.; Nogales-Delgado, S.; Pinilla, A. Biolubricant Production through Double Transesterification: Reactor Design for the Implementation of a Biorefinery Based on Rapeseed. Processes 2021, 9, 1224. [Google Scholar] [CrossRef]
- Karmakar, G.; Ghosh, P.; Sharma, B.K. Chemically modifying vegetable oils to prepare green lubricants. Lubricants 2017, 5, 44. [Google Scholar] [CrossRef]
- Nogales-Delgado, S.; Encinar, J.M.; González Cortés, Á. High oleic safflower oil as a feedstock for stable biodiesel and biolubricant production. Ind. Crop. Prod. 2021, 170, 113701. [Google Scholar] [CrossRef]
- McNutt, J.; He, Q.S. Development of biolubricants from vegetable oils via chemical modification. J. Ind. Eng. Chem. 2016, 36, 1–12. [Google Scholar] [CrossRef]
- Nogales-Delgado, S.; Encinar Martín, J.M. Cardoon biolubricant through double transesterification: Assessment of its oxidative, thermal and storage stability. Mater. Lett. 2021, 302, 130454. [Google Scholar] [CrossRef]
- Hamdan, S.H.; Chong, W.W.F.; Ng, J.H.; Ghazali, M.J.; Wood, R.J.K. Influence of fatty acid methyl ester composition on tribological properties of vegetable oils and duck fat derived biodiesel. Tribol. Int. 2017, 113, 76–82. [Google Scholar] [CrossRef]
- Encinar, J.M.; Nogales-Delgado, S.; Sánchez, N.; González, J.F. Biolubricants from rapeseed and castor oil transesterification by using titanium isopropoxide as a catalyst: Production and characterization. Catalysts 2020, 10, 366. [Google Scholar] [CrossRef]
- Roy, T.; Agarwal, A.K.; Chandra, Y. A cleaner route of biodiesel production from waste frying oil using novel potassium tin oxide catalyst: A smart liquid-waste management. Waste Manag. 2021, 135, 243–255. [Google Scholar] [CrossRef] [PubMed]
- Encinar, J.M.; Nogales, S.; González, J.F. Biodiesel and biolubricant production from different vegetable oils through transesterification. Eng. Rep. 2020, 2, e12190. [Google Scholar] [CrossRef]
- Cecilia, J.A.; Plata, D.B.; Maria, R.; Saboya, A.; Murilo, F.; Luna, T.D.; Cavalcante, C.L.; Rodríguez-castellón, E. An Overview of the Biolubricant Production Process: Challenges and Future Perspectives. Processes 2020, 8, 257. [Google Scholar] [CrossRef]
- Aini, N.; Bello, U.; Sya, M.; Ruslan, H. Heliyon The role of antioxidants in improving biodiesel ’ s oxidative stability, poor cold fl ow properties, and the effects of the duo on engine performance: A review. Heliyon 2022, 8, e09846. [Google Scholar] [CrossRef]
- Mulyatun, M.; Prameswari, J.; Istadi, I.; Widayat, W. Production of non-food feedstock based biodiesel using acid-base bifunctional heterogeneous catalysts: A review. Fuel 2022, 314, 122749. [Google Scholar] [CrossRef]
- Ameen, M.; Ahmad, M.; Zafar, M.; Munir, M.; Abbas, M.M.; Sultana, S.; Elkhatib, S.E.; Soudagar, M.E.M.; Kalam, M.A. Prospects of Catalysis for Process Sustainability of Eco-Green Biodiesel Synthesis via Transesterification: A State-of-the-Art Review. Sustainability 2022, 14, 7032. [Google Scholar] [CrossRef]
- Nogales-Delgado, S.; Encinar Martín, J.M.; Sánchez Ocaña, M. Use of mild reaction conditions to improve quality parameters and sustainability during biolubricant production. Biomass Bioenergy 2022, 161, 106456. [Google Scholar] [CrossRef]
- Jemima Romola, C.V.; Meganaharshini, M.; Rigby, S.P.; Ganesh Moorthy, I.; Shyam Kumar, R.; Karthikumar, S. A comprehensive review of the selection of natural and synthetic antioxidants to enhance the oxidative stability of biodiesel. Renew. Sustain. Energy Rev. 2021, 145, 111109. [Google Scholar] [CrossRef]
- Serrano, M.; Martínez, M.; Aracil, J. Long term storage stability of biodiesel: Influence of feedstock, commercial additives and purification step. Fuel Process. Technol. 2013, 116, 135–141. [Google Scholar] [CrossRef]
- Hosseinzadeh-Bandbafha, H.; Kumar, D.; Singh, B.; Shahbeig, H.; Lam, S.S.; Aghbashlo, M.; Tabatabaei, M. Biodiesel antioxidants and their impact on the behavior of diesel engines: A comprehensive review. Fuel Process. Technol. 2022, 232, 107264. [Google Scholar] [CrossRef]
- Nogales-Delgado, S.; Encinar, J.M.; González, J.F. Safflower biodiesel: Improvement of its oxidative stability by using BHA and TBHQ. Energies 2019, 12, 1940. [Google Scholar] [CrossRef]
- Nogales-Delgado, S.; Guiberteau, A.; Encinar, J.M. Effect of tert-butylhydroquinone on biodiesel properties during extreme oxidation conditions. Fuel 2022, 310, 122339. [Google Scholar] [CrossRef]
- Varatharajan, K.; Pushparani, D.S. Screening of antioxidant additives for biodiesel fuels. Renew. Sustain. Energy Rev. 2018, 82, 2017–2028. [Google Scholar] [CrossRef]
- Nogales-Delgado, S.; Encinar, J.M.; Guiberteau, A.; Márquez, S. The Effect of Antioxidants on Corn and Sunflower Biodiesel Properties under Extreme Oxidation Conditions. JAOCS J. Am. Oil Chem. Soc. 2019, 97, 201–212. [Google Scholar] [CrossRef]
- Encinar, J.M.; Nogales-Delgado, S.; Álvez-Medina, C.M. High oleic safflower biolubricant through double transesterification with methanol and pentaerythritol: Production, characterization, and antioxidant addition. Arab. J. Chem. 2022, 15, 103796. [Google Scholar] [CrossRef]
- De Araujo, T.A.; Barbosa, A.M.J.; Viana, L.H.; Ferreira, V.S. Electroanalytical determination of TBHQ, a synthetic antioxidant, in soybean biodiesel samples. Fuel 2011, 90, 707–712. [Google Scholar] [CrossRef]
- De Araújo, T.A.; Barbosa, A.M.J.; Viana, L.H.; Ferreira, V.S. Voltammetric determination of tert-butylhydroquinone in biodiesel using a carbon paste electrode in the presence of surfactant. Colloids Surf. B Biointerfaces 2010, 79, 409–414. [Google Scholar] [CrossRef]
- Tormin, T.F.; Cunha, R.R.; Richter, E.M.; Munoz, R.A.A. Fast simultaneous determination of BHA and TBHQ antioxidants in biodiesel by batch injection analysis using pulsed-amperometric detection. Talanta 2012, 99, 527–531. [Google Scholar] [CrossRef] [PubMed]
- Caramit, R.P.; de Freitas Andrade, A.G.; Gomes de Souza, J.B.; de Araujo, T.A.; Viana, L.H.; Trindade, M.A.G.; Ferreira, V.S. A new voltammetric method for the simultaneous determination of the antioxidants TBHQ and BHA in biodiesel using multi-walled carbon nanotube screen-printed electrodes. Fuel 2013, 105, 306–313. [Google Scholar] [CrossRef]
- Goulart, L.A.; Teixeira, A.R.L.; Ramalho, D.A.; Terezo, A.J.; Castilho, M. Development of an analytical method for the determination of tert-butylhydroquinone in soybean biodiesel. Fuel 2014, 115, 126–131. [Google Scholar] [CrossRef]
- Squissato, A.L.; Richter, E.M.; Munoz, R.A.A. Voltammetric determination of copper and tert-butylhydroquinone in biodiesel: A rapid quality control protocol. Talanta 2019, 201, 433–440. [Google Scholar] [CrossRef] [PubMed]
- Huang, Y.; Li, F.; Bao, G.; Xiao, Q.; Wang, H. Modeling the effects of biodiesel chemical composition on iodine value using novel machine learning algorithm. Fuel 2022, 316, 123348. [Google Scholar] [CrossRef]
- Knothe, G.; Razon, L.F. Biodiesel fuels. Prog. Energy Combust. Sci. 2017, 58, 36–59. [Google Scholar] [CrossRef]
- Zhang, W.; Ji, H.; Song, Y.; Ma, S.; Xiong, W.; Chen, C.; Chen, B.; Zhang, X. Green preparation of branched biolubricant by chemically modifying waste cooking oil with lipase and ionic liquid. J. Clean. Prod. 2020, 274, 122918. [Google Scholar] [CrossRef]
- Cavalcante, I.M.; Rocha, N.R.D.C.; Maier, M.E.; de Lima, A.P.D.; Andrade Neto, D.M.; de Brito, D.H.A.; Petzhold, C.L.; Schanz, M.T.G.F.; Ricardo, N.M.P.S. Synthesis and characterization of new esters of oleic acid and glycerol analogues as potential lubricants. Ind. Crop. Prod. 2014, 62, 453–459. [Google Scholar] [CrossRef]
- Khan, S.; Das, P.; Abdul, M.; Thaher, M.; Nagappan, S.; Mahata, C.; Hawari, A.H.; Al, H. Science of the Total Environment A comparative physicochemical property assessment and techno-economic analysis of biolubricants produced using chemical modi fi cation and additive-based routes. Sci. Total. Environ. 2022, 847, 157648. [Google Scholar] [CrossRef]
- Nogales-Delgado, S. Polyphenoloxidase (PPO): Effect, Current Determination and Inhibition Treatments in Fresh-Cut Produce. Appl. Sci. 2021, 11, 7813. [Google Scholar] [CrossRef]
- Oms-Oliu, G.; Rojas-Graü, M.A.; González, L.A.; Varela, P.; Soliva-Fortuny, R.; Hernando, M.I.H.; Munuera, I.P.; Fiszman, S.; Martín-Belloso, O. Recent approaches using chemical treatments to preserve quality of fresh-cut fruit: A review. Postharvest Biol. Technol. 2010, 57, 139–148. [Google Scholar] [CrossRef]
- Zhou, J.; Xiong, Y.; Shi, Y. Antioxidant Consumption Kinetics and Shelf-Life Prediction for Biodiesel Stabilized with Antioxidants Using the Rancimat Method. Energy Fuels 2016, 30, 10534–10542. [Google Scholar] [CrossRef]
- McCormick, R.L.; Westbrook, S.R. Storage stability of biodiesel and biodiesel blends. Energy Fuels 2010, 24, 690–698. [Google Scholar] [CrossRef]
- UNE-EN ISO 12966-2:2011; Animal and Vegetable Fats and Oils—Gas Chromatography of Fatty Acid Methyl Esters—Part 2: Preparation of Methyl Esters of Fatty Acids. International Organization for Standardization: Geneva, Switzerland, 2011.
- Focke, W.W.; van der Westhuizen, I.; Oosthuysen, X. Biodiesel oxidative stability from Rancimat data. Thermochim. Acta 2016, 633, 116–121. [Google Scholar] [CrossRef]
- UNE-EN ISO 3104/AC:1999; Petroleum Products. Transparent and Opaque Liquids. Determination of Kinematic Viscosity and Calculation of Dynamic Viscosity (ISO 3104:1994). International Organization for Standardization: Geneva, Switzerland, 1999.
- ASTM-D2270-10; Standard Practice for Calculating Viscosity Index from Kinematic Viscosity at 40 °C and 100 °C. ASTM International: West Conshohocken, PA, USA, 2016.
- UNE-EN-12634:1999; Productos Petrolíferos Y Lubricantes. Determinación Del Índice De Ácido. Método De Valoración Potenciométrica En Un Medio No Acuoso. UNE normalizacion española: Madrid, Spain, 1999.
- UNE-EN 14111:2003; Fat and Oil Derivatives. Fatty Acid Methyl Esters (FAME). Determination of Iodine Value. BSI: London, UK, 2003.
- Wenchao, W.; Yuling, Z.; Fashe, L.; Ying, L. Application and analysis of rapid determination of oxidative degradation of biodiesel by surface tension and UV absorbance. Renew. Energy 2020, 152, 1431–1438. [Google Scholar] [CrossRef]
- Espinosa-Mansilla, A.; Muñoz de la Peña, A.; González Gómez, D. Using Univariate Linear Regression Calibration Software in the MATLAB Environment. Application to Chemistry Laboratory Practices. Chem. Educ. 2005, 10, 337–345. [Google Scholar] [CrossRef]
- UNE-EN-ISO 3675; Crude Petroleum and Liquid Petroleum Products. Laboratory Determination of Density. Hydrometer Method. BSI: London, UK, 1999.
- UNE-EN-ISO-12937:2000; Productos Petrolíferos. Determinación De Agua. Método De Karl Fischer Por Valoración Culombimétrica. AENOR: Madrid, Spain, 2001.
- UNE-EN 116:2015; Diesel and Domestic Heating Fuels—Determination of Cold Filter Plugging Point Stepwise Cooling Bath Method. NSAI: Dublin, Ireland, 2015.
- UNE-EN 51023:1990; Petroleum Products. Determination of Flash and Fire Points. Cleveland Open Cup Method. Energy Institute: London, UK, 1990.



















| Parameter | Units | Results | UNE-EN 14214 Limits | |
|---|---|---|---|---|
| Lower | Upper | |||
| FAME content | % | 97.10 | 96.5 | n.a.* |
| Density | kg·m−3 | 886.30 | 860 | 900 |
| Viscosity at 40 °C | mm2·s−1 | 4.59 | 3.50 | 5.00 |
| Acid number | mg KOH·g−1 | 0.12 | n.a. | 0.50 |
| Oxidation stability | h | 2.68 | 8.00 | n.a |
| Iodine number | g I2·100 g−1 | 99 | n.a. | 120 |
| C. F. P. P. 1 | °C | −1 | −20 | 5 |
| Flash point | °C | 180 | 120 | n.a. |
| Combustion point | °C | 190 | n.a. | n.a. |
| Moisture | mg·kg−1 | 230 | n.a. | 500 |
| Parameter | Units | Results |
|---|---|---|
| Conversion | % | 92.60 |
| Density | kg·m−3 | 919 |
| Viscosity at 40 °C | mm2·s−1 | 68.5 |
| Viscosity at 100 °C | mm2·s−1 | 10.64 |
| Viscosity index | n.a. * | 144 |
| Acid number | mg KOH·g−1 | 0.44 |
| Oxidation stability | h | 2.07 |
| Flash point | °C | 253 |
| Combustion point | °C | 267 |
| Moisture | mg·kg−1 | 600 |
| Dispersive Microextraction | Emulsion Medium | |||
|---|---|---|---|---|
| TBHQ, mg·L−1 | DPV | CV | DPV | CV |
| 0 | 581.7 | 960.0 | 555.2 | 1319.0 |
| 4.98 | 914.0 | 1913.0 | 1012.0 | 1938.0 |
| 9.96 | 1508.0 | 2263.0 | 1432.0 | 2933.0 |
| 14.94 | 1613.0 | 3069.0 | 1465.0 | 3625.0 |
| 19.92 | 1874.0 | 3266.0 | 2211.0 | 4222.0 |
| Replicates | Added TBHQ, mg·L−1 | Recovered TBHQ, mg·L−1 | Standard Deviation |
|---|---|---|---|
| 2 | 588 | 417.25 | ±30 |
| 2 | 1044 | 887.50 | ±8 |
| Replicates | Recovered TBHQ (mg·L−1) |
|---|---|
| 2 | 865.0 |
| 2 | 999.0 |
| Standard deviation | ±81 |
| Oxidation Time, h | Antioxidant Content in FOBL Op. THBQ, mg·L−1 |
|---|---|
| 0 | 1732 ± 18 |
| 1 | 310 ± 36 |
| 3 | 144 ± 30 |
| 5 | 140 ± 27 |
| 8 | 161 ± 7 |
| Parameter | Control Sample | TBHQ Sample |
|---|---|---|
| Viscosity | +527% | +20% |
| Acid number | +720% | +21% |
| Absorbance at 230 nm | +400% | +19% |
| TBHQ content * | -- | −93% |
| Parameter | Units | Value |
|---|---|---|
| Reaction temperature | °C | 160 |
| Reaction time | min | 120 |
| Stirring rate | rpm | 350 |
| Catalyst concentration | % | 1.0 |
| FAME/PE mole ratio | n.a. * | 3 |
| Pressure | mmHg | 260 |
Publisher’s Note: MDPI stays neutral with regard to jurisdictional claims in published maps and institutional affiliations. |
© 2022 by the authors. Licensee MDPI, Basel, Switzerland. This article is an open access article distributed under the terms and conditions of the Creative Commons Attribution (CC BY) license (https://creativecommons.org/licenses/by/4.0/).
Share and Cite
Nogales-Delgado, S.; Cabanillas, A.G.; Romero, Á.G.; Encinar Martín, J.M. Monitoring tert-Butylhydroquinone Content and Its Effect on a Biolubricant during Oxidation. Molecules 2022, 27, 8931. https://doi.org/10.3390/molecules27248931
Nogales-Delgado S, Cabanillas AG, Romero ÁG, Encinar Martín JM. Monitoring tert-Butylhydroquinone Content and Its Effect on a Biolubricant during Oxidation. Molecules. 2022; 27(24):8931. https://doi.org/10.3390/molecules27248931
Chicago/Turabian StyleNogales-Delgado, Sergio, Agustina Guiberteau Cabanillas, Ángela García Romero, and José María Encinar Martín. 2022. "Monitoring tert-Butylhydroquinone Content and Its Effect on a Biolubricant during Oxidation" Molecules 27, no. 24: 8931. https://doi.org/10.3390/molecules27248931
APA StyleNogales-Delgado, S., Cabanillas, A. G., Romero, Á. G., & Encinar Martín, J. M. (2022). Monitoring tert-Butylhydroquinone Content and Its Effect on a Biolubricant during Oxidation. Molecules, 27(24), 8931. https://doi.org/10.3390/molecules27248931

