A Bridge-Linked Phosphorus-Containing Flame Retardant for Endowing Vinyl Ester Resin with Low Fire Hazard
Abstract
:1. Introduction
2. Result and Discussion
2.1. Characterization of PBDOO
2.2. Morphologies and Mechanical Properties of the VE Composites
2.3. Thermal Stability
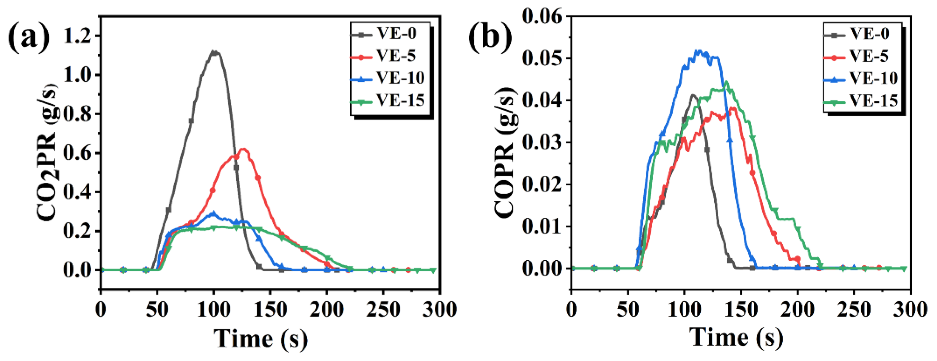
2.4. Flame-Retardant Properties of the VE Composites
2.5. Flame-Retardant Mechanism
2.5.1. Condensed Phase Analysis
2.5.2. Pyrolysis Behaviors of the VE Composites
3. Experimental
3.1. Materials
3.2. Synthesis of PBDOO
3.3. Preparation of the VE Composites
3.4. Characterization
4. Conclusions
Author Contributions
Funding
Institutional Review Board Statement
Informed Consent Statement
Data Availability Statement
Conflicts of Interest
Sample Availability
References
- Pham, S.; Burchill, P.J. Toughening of vinyl ester resins with modified polybutadienes. Polymer 1995, 36, 3279–3285. [Google Scholar] [CrossRef]
- Agarwal, N.; Singh, A.; Varma, I.K.; Choudhary, V. Effect of structure on mechanical properties of vinyl ester resins and their glass fiber-reinforced composites. J. Appl. Polym. Sci. 2008, 108, 1942–1948. [Google Scholar] [CrossRef]
- Da Silva, A.L.N.; Teixeira, S.C.S.; Widal, A.C.C.; Coutinho, F. Mechanical properties of polymer composites based on commercial epoxy vinyl ester resin and glass fiber. Polym. Test. 2001, 20, 895–899. [Google Scholar] [CrossRef]
- Manring, L.E. Thermal degradation of poly (methyl methacrylate). 4. Random side-group scission. Macromolecules 1991, 24, 3304–3309. [Google Scholar] [CrossRef]
- Wu, C.S.; Liu, Y.L.; Chiu, Y.C.; Chiu, Y.S. Thermal stability of epoxy resins containing flame retardant components: An evaluation with thermogravimetric analysis. Polym. Degrad. Stab. 2002, 78, 41–48. [Google Scholar] [CrossRef]
- Shen, D.; Xu, Y.J.; Long, J.W.; Shi, X.H.; Chen, L.; Wang, Y. Epoxy resin flame-retarded via a novel melamine-organophosphinic acid salt: Thermal stability, flame retardance and pyrolysis behavior. J. Anal. Appl. Pyrolysis 2017, 128, 54–63. [Google Scholar] [CrossRef]
- Prabhakar, M.N.; Song, J. Influence of chitosan-centered additives on flammable properties of vinyl ester matrix composites. Cellulose 2020, 27, 8087–8103. [Google Scholar] [CrossRef]
- XU, C. Flame Retard Modification of Vinyl Ester Resin with Phosphorous Polymer Type Flame Retardant. Chin. J. Mater. Res. 2021, 35, 843–849. [Google Scholar]
- Han, X.; Zhang, X.H.; Zhang, S.L.; Zhou, H. Study on flame retardancy and thermal properties of phosphorus-containing POSS modified vinyl resin. Chin. Chem. Bull. 2021, 84, 1066–1073. [Google Scholar]
- Li, H.; Feng, S.Y.; Jin, Z.M. Study on impact composites of glass fiber reinforced vinyl ester Resin. Eng. Plast. Appl. 2006, 34, 17–20. [Google Scholar]
- Huo, S.; Wang, J.; Yang, S.; Cai, H.; Zhang, B.; Chen, X.; Wu, Q.; Yang, L. Synthesis of a novel reactive flame retardant containing phosphaphenanthrene and triazine-trione groups and its application in unsaturated polyester resin. Mater. Res. Express 2018, 5, 035306. [Google Scholar] [CrossRef]
- Zhang, C.; Huang, J.Y.; Liu, S.M.; Zhao, J.Q. The synthesis and properties of a reactive flame-retardant unsaturated polyester resin from a phosphorus-containing diacid. Polym. Adv. Technol. 2011, 22, 1768–1777. [Google Scholar] [CrossRef]
- Bai, Z.; Song, L.; Hu, Y.; Gong, X.; Yuen, R.K. Investigation on flame retardancy, combustion and pyrolysis behavior of flame retarded unsaturated polyester resin with a star-shaped phosphorus-containing compound. J. Anal. Appl. Pyrolysis 2014, 105, 317–326. [Google Scholar] [CrossRef]
- Lin, Y.; Yu, B.; Jin, X.; Song, L.; Hu, Y. Study on thermal degradation and combustion behavior of flame retardant unsaturated polyester resin modified with a reactive phosphorus containing monomer. RSC Adv. 2016, 6, 49633–49642. [Google Scholar] [CrossRef]
- Jin, S.; Qian, L.; Qiu, Y.; Chen, Y.; Xin, F. High-efficiency flame retardant behavior of bi-DOPO compound with hydroxyl group on epoxy resin. Polym. Degrad. Stab. 2019, 166, 344–352. [Google Scholar] [CrossRef]
- Duan, H.; Ji, S.; Yin, T.; Tao, X.; Chen, Y.; Ma, H. Phosphorus–nitrogen-type fire-retardant vinyl ester resin with good comprehensive properties. J. Appl. Polym. Sci. 2019, 136, 47997. [Google Scholar] [CrossRef]
- Yang, S.; Hu, Y.; Zhang, Q. Synthesis of a phosphorus–nitrogen-containing flame retardant and its application in epoxy resin. High Perform. Polym. 2019, 31, 186–196. [Google Scholar] [CrossRef]
- Tao, X.X.; Duan, H.J.; Dong, W.J.; Wang, X. Synthesis of TGICA-DOPO, novel phosphorus and nitrogen flame retardant and its effect on flame retardant properties of vinyl ester resin. AMCS 2018, 35, 1731–1737. [Google Scholar]
- Salmeia, K.A.; Gaan, S. An overview of some recent advances in DOPO-derivatives: Chemistry and flame retardant applications. Polym. Degrad. Stab. 2015, 113, 119–134. [Google Scholar] [CrossRef]
- Huang, W.; He, W.; Long, L.; Yan, W.; He, M.; Qin, S.; Yu, J. Thermal degradation kinetics of flame-retardant glass-fiber-reinforced polyamide 6T composites based on bridged DOPO derivatives. Polym. Bull. 2019, 76, 2061–2080. [Google Scholar] [CrossRef]
- Fang, Y.; Zhou, X.; Xing, Z.; Wu, Y. Flame retardant performance of a carbon source containing DOPO derivative in PET and epoxy. J. Appl. Polym. Sci. 2017, 133, 44639. [Google Scholar] [CrossRef]
- Wu, K.; Kandola, B.K.; Kandare, E.; Hu, Y. Flame retardant effect of polyhedral oligomeric silsesquioxane and triglycidyl isocyanurate on glass fibre-reinforced epoxy composites. Polym. Compos. 2011, 32, 378–389. [Google Scholar] [CrossRef]
- Mu, X.; Zhou, X.; Wang, W.; Xiao, Y.; Liao, C.; Longfei, H.; Kan, Y.; Song, L. Design of compressible flame retardant grafted porous organic polymer based separator with high fire safety and good electrochemical properties. Chem. Eng. J. 2021, 405, 126946. [Google Scholar] [CrossRef]
- Chang, Q.F.; Long, L.J.; He, W.T.; Xiang, Y.S.; Li, J.; Qing, S.H.; Yu, J. Synthesis of a bridge-chain DOPO derivative and flame retardant properties to poly(lactic acid). Polym. Mater. Sci. Eng. 2017, 33, 30–35. [Google Scholar]
- Chen, X.; Zhuo, J.; Jiao, C. Thermal degradation characteristics of flame retardant polylactide using TG-IR. Polym. Degrad. Stab. 2012, 97, 2143–2147. [Google Scholar] [CrossRef]
- Wang, P.; Yang, F.; Li, L.; Cai, Z. Flame retardancy and mechanical properties of epoxy thermosets modified with a novel DOPO-based oligomer. Polym. Degrad. Stab. 2016, 129, 156–167. [Google Scholar] [CrossRef]
- Xiao, Y.; Jiang, G.; Ma, C.; Zhou, X.; Wang, C.; Xu, Z.; Mu, X.; Song, L.; Hu, Y. Construction of multifunctional linear polyphosphazene and molybdenum diselenide hybrids for efficient fire retardant and toughening epoxy resins. Chem. Eng. J. 2021, 426, 131839. [Google Scholar] [CrossRef]
- Zou, B.; Qiu, S.; Ren, X.; Zhou, Y.; Zhou, F.; Xu, Z.; Zhao, Z.; Song, L.; Hu, Y.; Gong, X. Combination of black phosphorus nanosheets and MCNTs via phosphoruscarbon bonds for reducing the flammability of air stable epoxy resin nanocomposites. J. Hazard. Mater. 2020, 383, 121069. [Google Scholar] [CrossRef]
- Zhang, T.; Yan, H.; Shen, L.; Fang, Z.; Zhang, X.; Wang, J.; Zhang, B. A phosphorus-, nitrogen-and carbon-containing polyelectrolyte complex: Preparation, characterization and its flame retardant performance on polypropylene. RSC Adv. 2014, 4, 48285–48292. [Google Scholar] [CrossRef]
- Mu, X.; Jin, Z.; Chu, F.; Cai, W.; Zhu, Y.; Yu, B.; Song, L.; Hu, Y. High-performance flame-retardant polycarbonate composites: Mechanisms investigation and fire-safety evaluation systems establishment. Compos. Part B: Eng. 2022, 238, 109873. [Google Scholar] [CrossRef]
- Qian, L.; Qiu, Y.; Sun, N.; Xu, M.; Xu, G.; Xin, F.; Chen, Y. Pyrolysis route of a novel flame retardant constructed by phosphaphenanthrene and triazine-trione groups and its flame-retardant effect on epoxy resin. Polym. Degrad. Stab. 2014, 107, 98–105. [Google Scholar] [CrossRef]
- Mu, X.; Li, X.; Liao, C.; Yu, H.; Jin, Y.; Yu, B.; Han, L.; Chen, L.; Kan, Y.; Song, L.; et al. Phosphorus-Fixed Stable Interfacial Nonflammable Gel Polymer Electrolyte for Safe Flexible Lithium-Ion Batteries. Adv. Funct. Mater. 2022, 32, 2203006. [Google Scholar] [CrossRef]












| Wavenumber (cm−1) | Corresponding Chemical Groups |
|---|---|
| 3058 | C-H stretching vibration peak of the aromatic ring |
| 1594 | P-Ar stretching vibration peak |
| 1475 | P-Ph absorption peak |
| 1280 | O=P-O absorption peak of the benzene ring structure |
| 1235 | P=O vibration absorption peak |
| 1199, 933 | P-O-Ph vibration absorption peak |
| Sample | N2 | Air | |||||
|---|---|---|---|---|---|---|---|
| T5% | Tmax | Residue | T5% | Tmax1 | Tmax2 | Residue | |
| (°C) | (°C) | (wt%) | (°C) | (°C) | (°C) | (wt%) | |
| PBDOO | 352 | 405 | 4.9 | 344 | 388 | -- | 7.2 |
| VE-0 | 316 | 420 | 6.8 | 356 | 422 | 546 | 0.0 |
| VE-5 | 338 | 414 | 13.8 | 358 | 414 | 561 | 0.6 |
| VE-10 | 319 | 414 | 9.1 | 334 | 415 | 562 | 0.7 |
| VE-15 | 304 | 414 | 9.7 | 317 | 413 | 561 | 1.3 |
| Sample | VE (g) | BPO (g) | PBDOO (g) | LOI (%) | UL-94 |
|---|---|---|---|---|---|
| VE-0 | 50.00 | 1.50 | 0.00 | 22.00 | V-2 |
| VE-5 | 47.50 | 1.43 | 2.50 | 24.50 | V-1 |
| VE-10 | 45.00 | 1.35 | 5.00 | 25.50 | V-1 |
| VE-15 | 42.50 | 1.28 | 7.50 | 31.50 | V-0 |
| Sample | TTI | PHRR | THR | CO2 PR | COPR |
|---|---|---|---|---|---|
| (s) | (Kw/m2) | (MJ/m2) | (g/s) | (g/s) | |
| VE-0 | 59 | 1455 | 80.4 | 1.12 | 0.041 |
| VE-5 | 66 | 822 | 66.0 | 0.62 | 0.038 |
| VE-10 | 64 | 385 | 39.1 | 0.29 | 0.052 |
| VE-15 | 67 | 339 | 47.9 | 0.22 | 0.044 |
Publisher’s Note: MDPI stays neutral with regard to jurisdictional claims in published maps and institutional affiliations. |
© 2022 by the authors. Licensee MDPI, Basel, Switzerland. This article is an open access article distributed under the terms and conditions of the Creative Commons Attribution (CC BY) license (https://creativecommons.org/licenses/by/4.0/).
Share and Cite
Xu, Z.; Zhan, J.; Xu, Z.; Mao, L.; Mu, X.; Tao, R. A Bridge-Linked Phosphorus-Containing Flame Retardant for Endowing Vinyl Ester Resin with Low Fire Hazard. Molecules 2022, 27, 8783. https://doi.org/10.3390/molecules27248783
Xu Z, Zhan J, Xu Z, Mao L, Mu X, Tao R. A Bridge-Linked Phosphorus-Containing Flame Retardant for Endowing Vinyl Ester Resin with Low Fire Hazard. Molecules. 2022; 27(24):8783. https://doi.org/10.3390/molecules27248783
Chicago/Turabian StyleXu, Zihui, Jing Zhan, Zhirong Xu, Liangchen Mao, Xiaowei Mu, and Ran Tao. 2022. "A Bridge-Linked Phosphorus-Containing Flame Retardant for Endowing Vinyl Ester Resin with Low Fire Hazard" Molecules 27, no. 24: 8783. https://doi.org/10.3390/molecules27248783
APA StyleXu, Z., Zhan, J., Xu, Z., Mao, L., Mu, X., & Tao, R. (2022). A Bridge-Linked Phosphorus-Containing Flame Retardant for Endowing Vinyl Ester Resin with Low Fire Hazard. Molecules, 27(24), 8783. https://doi.org/10.3390/molecules27248783

