Surface Functionalization of Face Masks with Cold Plasma and Its Effect in Anchoring Polyphenols Extracted from Agri-Food
Abstract
1. Introduction
2. Results and Discussion
2.1. Plasma Treatment of NWF-PP
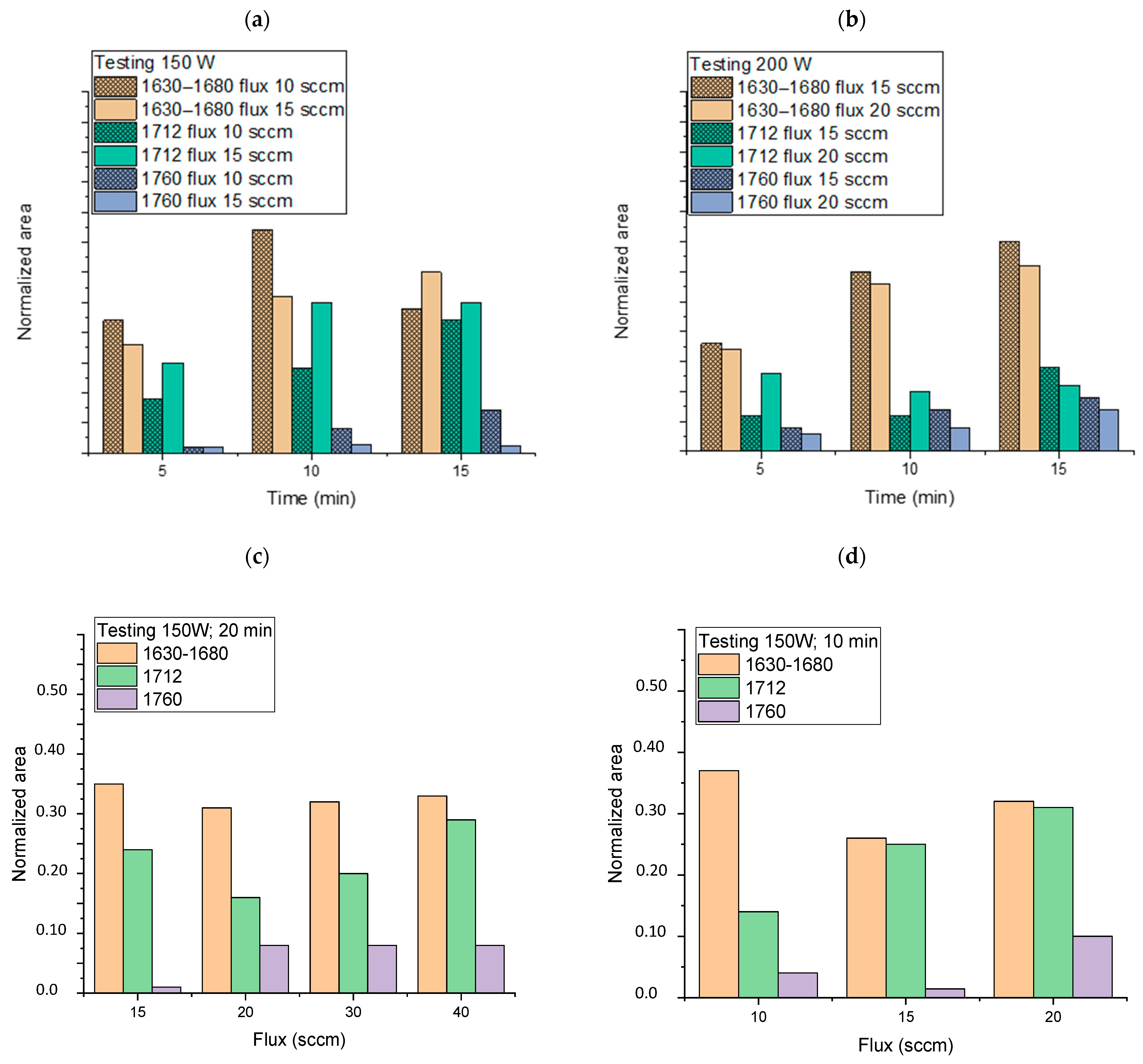
2.1.1. Spectroscopic Characterizations
2.1.2. Crystal Violet (CV) Retention
2.1.3. Plasma-Treated NWF-PP Reactions with TEMPO Derivatives
2.1.4. Morphology and Mechanical Features
2.2. Plasma-Activated NWF-PP Surface Treatment with Cloves Extract
2.2.1. Spectroscopic and Morphological Characterizations
2.2.2. Antioxidant Capability
3. Materials and Methods
3.1. Materials
3.2. Samples Preparation and Characterization
3.3. Instrumentations
3.3.1. FTIR Analysis
3.3.2. FTIR Imaging
3.3.3. UV-vis Analysis
3.3.4. Fluorescence Analysis
3.3.5. Differential Scanning Calorimetry (DSC)
3.3.6. Oxidative-Induction Time (OIT) Measurements
3.3.7. Thermogravimetric Analysis (TGA)
3.3.8. X-ray Photoelectron Spectroscopy (XPS)
3.3.9. SEM Analysis
3.3.10. Stress–Strain Measurements
4. Conclusions
Supplementary Materials
Author Contributions
Funding
Data Availability Statement
Conflicts of Interest
Sample Availability
Abbreviations
| ATR-FTIR | Attenuated total reflectance Fourier transform infrared spectroscopy |
| BzO-TEMPO | 4-benzoyloxy-2,2,6,6-tetramethylpiperidine-1-oxyl |
| CV | Crystal Violet: Hexamethyl-p-rosaniline chloride |
| DBD | dielectric barrier discharge |
| DSC | Differential scanning calorimetry |
| LMWOM | Low Molecular Weight Oxidized Materials |
| NfO-TEMPO | 4-(1-naphthoate)-2,2,6,6-tetramethylpiperidine-1-oxyl |
| NWF-PP | Polypropylene nonwoven fabrics |
| OIT | Oxidation Induction Time |
| SEM | scanning electron microscopy |
| UV-Vis | Ultraviolet Visible spectroscopy |
| XPS | X-ray photoelectron spectroscopy |
References
- Zille, A. Plasma Technology in Fashion and Textiles. In Sustainable Technologies for Fashion and Textiles; Elsevier: Amsterdam, The Netherlands, 2020; pp. 117–142. [Google Scholar]
- Saitaer, X.; Sanbhal, N.; Qiao, Y.; Li, Y.; Gao, J.; Brochu, G.; Guidoin, R.; Khatri, A.; Wang, L. Polydopamine-Inspired Surface Modification of Polypropylene Hernia Mesh Devices via Cold Oxygen Plasma: Antibacterial and Drug Release Properties. Coatings 2019, 9, 164. [Google Scholar] [CrossRef]
- Sanbhal, N.; Mao, Y.; Sun, G.; Xu, R.F.; Zhang, Q.; Wang, L. Surface modification of polypropylene mesh devices with cyclodextrin via cold plasma for hernia repair: Characterization and antibacterial properties. Appl. Surf. Sci. 2018, 439, 749–759. [Google Scholar] [CrossRef]
- Learn, G.D.; Lai, E.J.; Von Recum, H.A. Nonthermal Plasma Treatment Improves Uniformity and Adherence of Cyclodextrin-Based Coatings on Hydrophobic Polymer Substrates. Coatings 2020, 10, 1056. [Google Scholar] [CrossRef]
- Urbaniak-Domagała, W.; Wrzosek, H.; Szymanowski, H.; Majchrzycka, K.; Brochocka, A. Plasma Modification of Filter Nonwovens Used for the Protection of Respiratory Tracts. Fibres Text. East. Eur. 2010, 83, 94–99. [Google Scholar]
- Wieland, F.; Bruch, R.; Bergmann, M.; Partel, S.; Urban, G.A.; Dincer, C. Enhanced Protein Immobilization on Polymers—A Plasma Surface Activation Study. Polymers 2020, 12, 104. [Google Scholar] [CrossRef] [PubMed]
- Tabares, F.; Junkar, I. Cold Plasma Systems and Their Application in Surface Treatments for Medicine. Molecules 2021, 26, 1903. [Google Scholar] [CrossRef]
- Los, A.; Ziuzina, D.; Boehm, D.; Han, L.; O’Sullivan, D.; O’Neill, L.; Bourke, P. Efficacy of Cold Plasma for Direct Deposition of Antibiotics as a Novel Approach for Localized Delivery and Retention of Effect. Front. Cell. Infect. Microbiol. 2019, 9, 428. [Google Scholar] [CrossRef]
- Mengjin, W.; Lixia, J.; Suling, L.; Zhigang, Q.; Sainan, W.; Ruosi, Y. Interfacial performance of high-performance fiber-reinforced composites improved by cold plasma treatment: A review. Surfaces Interfaces 2021, 24, 101077. [Google Scholar] [CrossRef]
- Iqbal, M.; Dinh, D.K.; Abbas, Q.; Imran, M.; Sattar, H.; Ul Ahmad, A. Controlled Surface Wettability by Plasma Polymer Surface Modification. Surfaces 2019, 2, 349–371. [Google Scholar] [CrossRef]
- Srisonphan, S.; Kasemsuwan, V. Field electron emission enhanced streamer cold plasma interaction on seed surface wettability. Surf. Interfaces 2021, 22, 100877. [Google Scholar] [CrossRef]
- Kikani, P.; Desai, B.; Prajapati, S.; Arun, P.; Chauhan, N.; Nema, S.K. Comparison of low and atmospheric pressure air plasma treatment of polyethylene. Surf. Eng. 2013, 29, 211–221. [Google Scholar] [CrossRef]
- Carrino, L.; Polini, W.; Sorrentino, L. Ageing time of wettability on polypropylene surfaces processed by cold plasma. J. Mater. Process. Technol. 2004, 153–154, 519–525. [Google Scholar] [CrossRef]
- Wei, P.; Lou, H.; Xu, X.; Xu, W.; Yang, H.; Zhang, W.; Zhang, Y. Preparation of PP non-woven fabric with good heavy metal adsorption performance via plasma modification and graft polymerization. Appl. Surf. Sci. 2021, 539, 148195. [Google Scholar] [CrossRef]
- Masaeli, E.; Morshed, M.; Tavanai, H. Study of the wettability properties of polypropylene nonwoven mats by low-pressure oxygen plasma treatment. Surf. Interface Anal. 2007, 39, 770–774. [Google Scholar] [CrossRef]
- Akishev, Y.; Grushin, M.; Dyatko, N.; Kochetov, I.; Napartovich, A.; Trushkin, N.; Duc, T.M.; Descours, S. Studies on cold plasma–polymer surface interaction by example of PP- and PET-films. J. Phys. D Appl. Phys. 2008, 41, 235203. [Google Scholar] [CrossRef]
- Garcia, D.; Fenollar, O.; Lopez, R.; Sanchis, R.; Balart, R. Durability of the wettability properties of a polypropylene film with a low-pressure CH4-O2plasma treatment. J. Appl. Polym. Sci. 2008, 110, 1201–1207. [Google Scholar] [CrossRef]
- Zanini, S.; Riccardi, C.; Grimoldi, E.; Colombo, C.; Villa, A.M.; Natalello, A.; Gatti-Lafranconi, P.; Lotti, M.; Doglia, S.M. Plasma-induced graft-polymerization of polyethylene glycol acrylate on polypropylene films: Chemical characterization and evaluation of the protein adsorption. J. Colloid Interface Sci. 2010, 341, 53–58. [Google Scholar] [CrossRef]
- Mortazavi, S.H.; Ghoranneviss, M.; Sari, A.H. Effect of Low Pressure Nitrogen–Oxygen (N2/O2) Plasma Treatment on Surface Properties of Polypropylene Films. J. Fusion Energy 2011, 30, 48–52. [Google Scholar] [CrossRef]
- Lopez, R.; Pascual, M.; Garcia-Sanoguera, D.; Sánchez-Nacher, L.; Balart, R. Improvement of liquid absorption properties of nonwoven polypropylene substrates by low pressure plasma treatment with CH4-O2 mixture gas. Fibers Polym. 2012, 13, 1139–1144. [Google Scholar] [CrossRef]
- Mandolfino, C. Polypropylene surface modification by low pressure plasma to increase adhesive bonding: Effect of process parameters. Surf. Coatings Technol. 2019, 366, 331–337. [Google Scholar] [CrossRef]
- Mandolfino, C.; Lertora, E.; Gambaro, C.; Pizzorni, M. Functionalization of Neutral Polypropylene by Using Low Pressure Plasma Treatment: Effects on Surface Characteristics and Adhesion Properties. Polymers 2019, 11, 202. [Google Scholar] [CrossRef]
- Wibowo, N.; Wang, M.J.; Chang, C.C.; Lee, C.K. The Design of Novel Scaffolds by Integrating Microbial Cellulose onto Plasma Treated Polypropylene. Adv. Mater. Res. 2008, 47–50, 1371–1374. [Google Scholar] [CrossRef]
- Mangindaan, D.; Kuo, W.-H.; Kurniawan, H.; Wang, M.-J. Creation of biofunctionalized plasma polymerized allylamine gradients. J. Polym. Sci. Part B Polym. Phys. 2013, 51, 1361–1367. [Google Scholar] [CrossRef]
- Mangindaan, D.; Kuo, W.-H.; Wang, M.-J. Two-dimensional amine-functionality gradient by plasma polymerization. Biochem. Eng. J. 2013, 78, 198–204. [Google Scholar] [CrossRef]
- Huang, F.; Wei, Q.; Wang, X.; Xu, W. Dynamic contact angles and morphology of PP fibres treated with plasma. Polym. Test. 2006, 25, 22–27. [Google Scholar] [CrossRef]
- Masaeli, E.; Morshed, M.; Tavanai, H.; Ashrafizadeh, F. Effect of process variables on surface properties of low-pressure plasma treated polypropylene fibers. Fibers Polym. 2008, 9, 461–466. [Google Scholar] [CrossRef]
- López, R.; Sanchis, R.; García, D.; Fenollar, O.; Balart, R. Surface characterization of hydrophilic coating obtained by low-pressure CH4-O2plasma treatment on a polypropylene film. J. Appl. Polym. Sci. 2009, 111, 2992–2997. [Google Scholar] [CrossRef]
- Ren, W.; Cheng, C.; Wang, R.; Li, X. Effect of fiber surface morphology on the hydrophilicity modification of cold plasma-treated polypropylene nonwoven fabrics. J. Appl. Polym. Sci. 2010, 116, 2480–2486. [Google Scholar] [CrossRef]
- Carrino, L.; Moroni, G.; Polini, W. Cold plasma treatment of polypropylene surface: A study on wettability and adhesion. J. Mater. Process. Technol. 2002, 121, 373–382. [Google Scholar] [CrossRef]
- Thibodeaux, N.; Guerrero, D.E.; Lopez, J.L.; Bandelt, M.J.; Adams, M.P. Effect of Cold Plasma Treatment of Polymer Fibers on the Mechanical Behavior of Fiber-Reinforced Cementitious Composites. Fibers 2021, 9, 62. [Google Scholar] [CrossRef]
- Kehrer, M.; Duchoslav, J.; Hinterreiter, A.; Mehic, A.; Stehrer, T.; Stifter, D. Surface functionalization of polypropylene using a cold atmospheric pressure plasma jet with gas water mixtures. Surf. Coatings Technol. 2020, 384, 125170. [Google Scholar] [CrossRef]
- Shaw, D.; West, A.; Bredin, J.; Wagenaars, E. Mechanisms behind surface modification of polypropylene film using an atmospheric-pressure plasma jet. Plasma Sources Sci. Technol. 2016, 25, 065018. [Google Scholar] [CrossRef]
- Seyrek, Y.; Felekoğlu, K.T. Selection of proper matrix with plasma-treated HTPP fiber reinforced cementitious composites in terms of flexural toughness. J. Build. Eng. 2022, 45, 103632. [Google Scholar] [CrossRef]
- Passaglia, E.; Campanella, B.; Coiai, S.; Cicogna, F.; Carducci, A.; Verani, M.; Federigi, I.; Casini, B.; Tuvo, B.; Bramanti, E. Agri-Food Extracts Effectiveness in Improving Antibacterial and Antiviral Properties of Face Masks: A Proof-of-Concept Study. ChemistrySelect 2021, 6, 2288–2297. [Google Scholar] [CrossRef] [PubMed]
- Kostov, K.; Nishime, T.; Hein, L.; Toth, A. Study of polypropylene surface modification by air dielectric barrier discharge operated at two different frequencies. Surf. Coatings Technol. 2013, 234, 60–66. [Google Scholar] [CrossRef]
- IR Spectroscopy and Scanning Electron Microscopy Studies of Natural Ageing of Polypropylene. Int. J. Eng. Res. Technol. 2015, 4, 205–2010.
- Kovács, R.L.; Csontos, M.; Gyöngyösi, S.; Elek, J.; Parditka, B.; Deák, G.; Kuki, Á; Kéki, S.; Erdélyi, Z. Surface characterization of plasma-modified low density polyethylene by attenuated total reflectance fourier-transform infrared (ATR-FTIR) spectroscopy combined with chemometrics. Polym. Test. 2021, 96, 107080. [Google Scholar] [CrossRef]
- Bertoldo, M.; Bronco, S.; Cappelli, C.; Gragnoli, T.; Andreotti, L. Combining Theory and Experiment to Study the Photooxidation of Polyethylene and Polypropylene. J. Phys. Chem. B 2003, 107, 11880–11888. [Google Scholar] [CrossRef]
- Passaglia, E.; Coiai, S.; Cicogna, F.; Ciardelli, F. Some recent advances in polyolefin functionalization. Polym. Int. 2014, 63, 12–21. [Google Scholar] [CrossRef]
- Coiai, S.; Augier, S.; Pinzino, C.; Passaglia, E. Control of degradation of polypropylene during its radical functionalisation with furan and thiophene derivatives. Polym. Degrad. Stab. 2010, 95, 298–305. [Google Scholar] [CrossRef]
- Augier, S.; Coiai, S.; Gragnoli, T.; Passaglia, E.; Pradel, J.-L.; Flat, J.-J. Coagent assisted polypropylene radical functionalization: Monomer grafting modulation and molecular weight conservation. Polymer 2006, 47, 5243–5252. [Google Scholar] [CrossRef]
- Strobel, M.; Jones, V.; Lyons, C.S.; Ulsh, M.; Kushner, M.J.; Dorai, R.; Branch, M.C. A Comparison of Corona-Treated and Flame-Treated Polypropylene Films. Plasmas Polym. 2003, 8, 61–95. [Google Scholar] [CrossRef]
- Cicogna, F.; Coiai, S.; Javarone, S.; Onor, M.; Bernacchi, C.; Manariti, A.; Passaglia, E. Polypropylene Spheres Functionalized with Water-Soluble Vinyl Polymers by Photografting for Water Remediation. ACS Appl. Polym. Mater. 2022, 4, 5355–5367. [Google Scholar] [CrossRef]
- Cicogna, F.; Coiai, S.; Pinzino, C.; Ciardelli, F.; Passaglia, E. Fluorescent polyolefins by free radical post-reactor modification with functional nitroxides. React. Funct. Polym. 2012, 72, 695–702. [Google Scholar] [CrossRef]
- Cicogna, F.; Coiai, S.; Rizzarelli, P.; Carroccio, S.; Gambarotti, C.; Domenichelli, I.; Yang, C.; Dintcheva, N.T.; Filippone, G.; Pinzino, C.; et al. Functionalization of aliphatic polyesters by nitroxide radical coupling. Polym. Chem. 2014, 5, 5656–5667. [Google Scholar] [CrossRef]
- Cicogna, F.; Coiai, S.; Passaglia, E.; Tucci, I.; Ricci, L.; Ciardelli, F.; Batistini, A. Grafting of functional nitroxyl free radicals to polyolefins as a tool to postreactor modification of polyethylene-based materials with control of macromolecular architecture. J. Polym. Sci. Part A Polym. Chem. 2011, 49, 781–795. [Google Scholar] [CrossRef]
- Neupane, B.B.; Mainali, S.; Sharma, A.; Giri, B. Optical microscopic study of surface morphology and filtering efficiency of face masks. PeerJ 2019, 7, e7142. [Google Scholar] [CrossRef]
- Gonzalez-Rivera, J.; Duce, C.; Campanella, B.; Bernazzani, L.; Ferrari, C.; Tanzini, E.; Onor, M.; Longo, I.; Ruiz, J.C.; Tinè, M.R.; et al. In situ microwave assisted extraction of clove buds to isolate essential oil, polyphenols, and lignocellulosic compounds. Ind. Crop. Prod. 2021, 161, 113203. [Google Scholar] [CrossRef]
- Ulanowska, M.; Olas, B. Biological Properties and Prospects for the Application of Eugenol—A Review. Int. J. Mol. Sci. 2021, 22, 3671. [Google Scholar] [CrossRef]









| Entry | Run * | Plasma Generator Power (W) | Time (min) | Oxygen Flux (sccm) |
|---|---|---|---|---|
| 1 | PP_100_5_5 | 100 | 5 | 5 |
| 2 | PP_100_10_5 | 100 | 10 | 5 |
| 3 | PP_100_15_5 | 100 | 15 | 5 |
| 4 | PP_150_5_10 | 150 | 5 | 10 |
| 5 | PP_150_10_10 | 150 | 10 | 10 |
| 6 | PP_150_15_10 | 150 | 15 | 10 |
| 7 | PP_150_5_15 | 150 | 5 | 15 |
| 8 | PP_150_10_15 | 150 | 10 | 15 |
| 9 | PP_150_15_15 | 150 | 15 | 15 |
| 10 | PP_150_10_20 | 150 | 10 | 20 |
| 11 | PP_200_5_15 | 200 | 5 | 15 |
| 12 | PP_200_10_15 | 200 | 10 | 15 |
| 13 | PP_200_15_15 | 200 | 15 | 15 |
| 14 | PP_200_5_20 | 200 | 5 | 20 |
| 15 | PP_200_10_20 | 200 | 10 | 20 |
| 16 | PP_200_15_20 | 200 | 15 | 20 |
| 17 | PP_150_20_15 | 150 | 20 | 15 |
| 18 | PP_150_20_20 | 150 | 20 | 20 |
| 19 | PP_150_20_30 | 150 | 20 | 30 |
| 20 | PP_150_20_40 | 150 | 20 | 40 |
| Run | Tm (°C) a | ΔH (J g−1) a | Tonset (°C) b | Tinfl (°C) | e (%) c | s (MPa) c |
|---|---|---|---|---|---|---|
| NWF-PP | 161.4 | 100.4 | 424 | 468 | 65 ± 3 | 4.2 ± 1.5 |
| PP_150_10_20 | 158.9 | 92.8 | 406 | 469 | 35 ± 3 | 2.7 ± 0.6 |
| Sample | % Polyphenol (from TGA) a | OIT (min) |
|---|---|---|
| NWF-PP | 0 | 2 |
| PP_150_10_20 | 0 | <1 |
| NWF-PP_cloves | 20 | >50 |
| PP_150_10_20_cloves | 24 | >50 |
| NWF-PP_cloves (after extraction) | <1 | 4 |
| PP_150_10_20_cloves (after extraction) | 3.5 | 11 |
Publisher’s Note: MDPI stays neutral with regard to jurisdictional claims in published maps and institutional affiliations. |
© 2022 by the authors. Licensee MDPI, Basel, Switzerland. This article is an open access article distributed under the terms and conditions of the Creative Commons Attribution (CC BY) license (https://creativecommons.org/licenses/by/4.0/).
Share and Cite
Cicogna, F.; Bramanti, E.; Campanella, B.; Caporali, S.; Panariello, L.; Cristallini, C.; Ishak, R.; Barbani, N.; Passaglia, E.; Coiai, S. Surface Functionalization of Face Masks with Cold Plasma and Its Effect in Anchoring Polyphenols Extracted from Agri-Food. Molecules 2022, 27, 8632. https://doi.org/10.3390/molecules27238632
Cicogna F, Bramanti E, Campanella B, Caporali S, Panariello L, Cristallini C, Ishak R, Barbani N, Passaglia E, Coiai S. Surface Functionalization of Face Masks with Cold Plasma and Its Effect in Anchoring Polyphenols Extracted from Agri-Food. Molecules. 2022; 27(23):8632. https://doi.org/10.3390/molecules27238632
Chicago/Turabian StyleCicogna, Francesca, Emilia Bramanti, Beatrice Campanella, Stefano Caporali, Luca Panariello, Caterina Cristallini, Randa Ishak, Niccoletta Barbani, Elisa Passaglia, and Serena Coiai. 2022. "Surface Functionalization of Face Masks with Cold Plasma and Its Effect in Anchoring Polyphenols Extracted from Agri-Food" Molecules 27, no. 23: 8632. https://doi.org/10.3390/molecules27238632
APA StyleCicogna, F., Bramanti, E., Campanella, B., Caporali, S., Panariello, L., Cristallini, C., Ishak, R., Barbani, N., Passaglia, E., & Coiai, S. (2022). Surface Functionalization of Face Masks with Cold Plasma and Its Effect in Anchoring Polyphenols Extracted from Agri-Food. Molecules, 27(23), 8632. https://doi.org/10.3390/molecules27238632

