Influence of Degree of Polymerization of Low-Molecular-Weight Chitosan Oligosaccharides on the α-Glucosidase Inhibition
Abstract
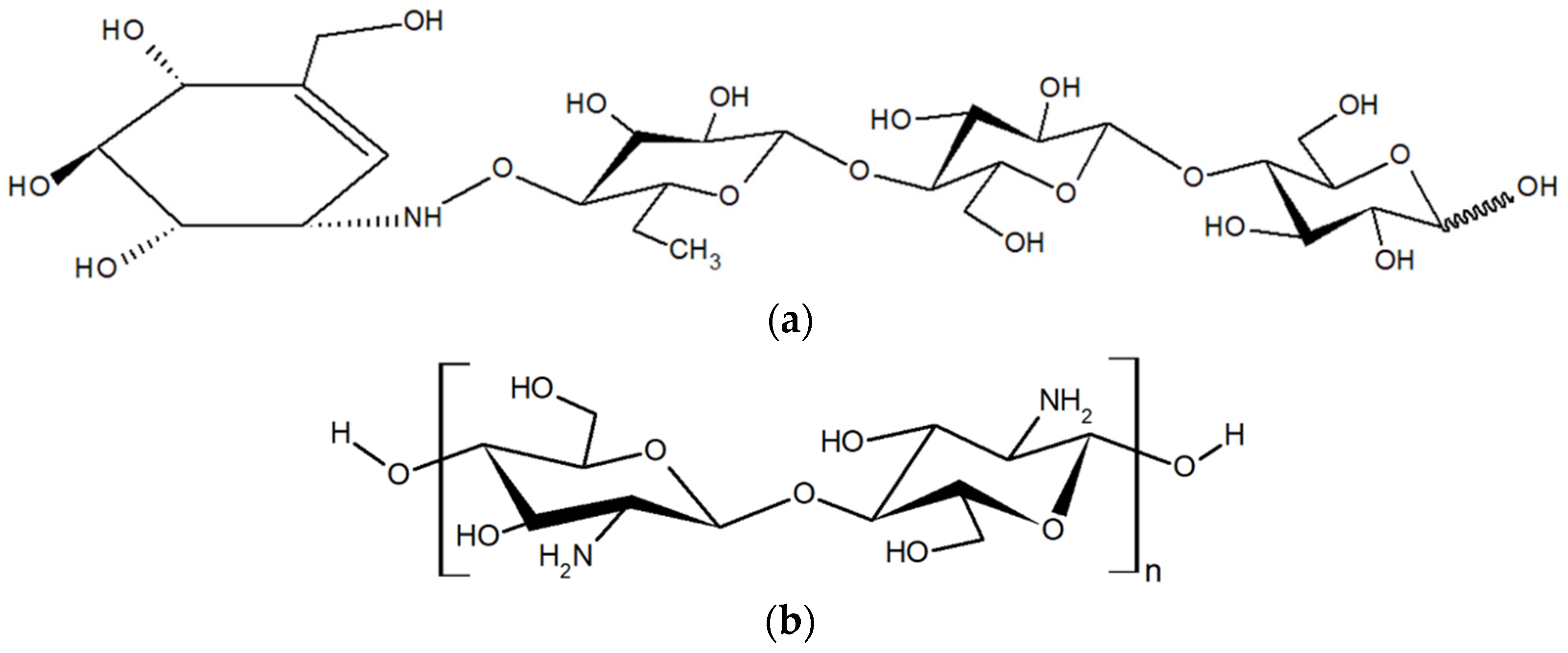
1. Introduction
2. Results and Discussion
2.1. COS Molecular Weight Distribution
2.2. Evaluation of α-Glucosidase Inhibitory Activity
2.3. Inhibition Kinetic of α-Glucosidase Activity
3. Materials and Methods
3.1. Materials and Chemicals
3.2. HPLC Analysis of COS
3.3. α-Glucosidase Inhibitory Assay for IC50 Determination
3.4. Inhibition Kinetic of α-Glucosidase
3.5. Statistical Analysis
4. Conclusions
Supplementary Materials
Author Contributions
Funding
Institutional Review Board Statement
Informed Consent Statement
Data Availability Statement
Conflicts of Interest
Sample Availability
Abbreviations
References
- Galicia-Garcia, U.; Benito-Vicente, A.; Jebari, S.; Larrea-Sebal, A.; Siddiqi, H.; Uribe, K.B.; Ostolaza, H.; Martin, C. Pathophysiology of Type 2 Diabetes Mellitus. Int. J. Mol. Sci. 2020, 21, 6275. [Google Scholar] [CrossRef]
- Krentz, A.J.; Bailey, C.J. Oral Antidiabetic Agents Current Role in Type 2 Diabetes Mellitus. Drugs 2005, 65, 385–411. [Google Scholar] [CrossRef]
- Yang, E.-J.; Kim, J.-G.; Kim, J.-Y.; Kim, S.; Lee, N.; Hyun, C.-G. Anti-inflammatory effect of chitosan oligosaccharides in RAW 264.7 cells. Open Life Sci. 2010, 5, 95–102. [Google Scholar] [CrossRef]
- Kim, S.; Rajapakse, N. Enzymatic production and biological activities of chitosan oligosaccharides (COS): A review. Carbohydr. Polym. 2005, 62, 357–368. [Google Scholar] [CrossRef]
- Mourya, V.K.; Inamdar, N.N.; Choudhari, Y.M. Chitooligosaccharides: Synthesis, characterization, and applications. Polym. Sci. Ser. A 2011, 53, 583–612. [Google Scholar] [CrossRef]
- Zhao, L.; Sun, T.; Wang, L. Chitosan oligosaccharide improves the therapeutic efficacy of sitagliptin for the therapy of Chinese elderly patients with type 2 diabetes mellitus. Ther. Clin. Risk Manag. 2017, 13, 739–750. [Google Scholar] [CrossRef]
- Shang, W.; Si, X.; Zhou, Z.; Wang, J.; Strappe, P.; Blanchard, C. Studies on the unique properties of resistant starch and chito-oligosaccharide complexes for reducing high-fat diet-induced obesity and dyslipidemia in rats. J. Funct. Foods 2017, 38, 20–27. [Google Scholar] [CrossRef]
- Charan, S.; Sanjiv, K.; Singh, N.; Chien, F.C.; Chen, Y.F.; Nergui, N.N.; Huang, S.H.; Kuo, C.W.; Lee, T.C.; Chen, P. Development of chitosan oligosaccharide-modified gold nanorods for in vivo targeted delivery and noninvasive imaging by NIR irradiation. Bioconjug. Chem. 2012, 23, 2173–2182. [Google Scholar] [CrossRef]
- Lodhi, G.; Kim, Y.S.; Hwang, J.W.; Kim, S.K.; Jeon, Y.J.; Je, J.Y.; Ahn, C.B.; Moon, S.H.; Jeon, B.T.; Park, P.J. Chitooligosaccharide and its derivatives: Preparation and biological applications. Biomed. Res. Int. 2014, 2014, 654913. [Google Scholar] [CrossRef]
- Qu, D.; Han, J. Investigation of the antioxidant activity of chitooligosaccharides on mice with high-fat diet. Rev. Bras. Zootec. 2016, 45, 661–666. [Google Scholar] [CrossRef]
- Mengibar, M.; Mateos-Aparicio, I.; Miralles, B.; Heras, A. Influence of the physico-chemical characteristics of chito-oligosaccharides (COS) on antioxidant activity. Carbohydr. Polym. 2013, 97, 776–782. [Google Scholar] [CrossRef]
- Jia, S.; Lu, Z.; Gao, Z.; An, J.; Wu, X.; Li, X.; Dai, X.; Zheng, Q.; Sun, Y. Chitosan oligosaccharides alleviate cognitive deficits in an amyloid-beta1–42-induced rat model of Alzheimer’s disease. Int. J. Biol. Macromol. 2016, 83, 416–425. [Google Scholar] [CrossRef]
- Benhabiles, M.S.; Salah, R.; Lounici, H.; Drouiche, N.; Goosen, M.F.A.; Mameri, N. Antibacterial activity of chitin, chitosan and its oligomers prepared from shrimp shell waste. Food Hydrocoll. 2012, 29, 48–56. [Google Scholar] [CrossRef]
- Yousef, M.; Pichyangkura, R.; Soodvilai, S.; Chatsudthipong, V.; Muanprasat, C. Chitosan oligosaccharide as potential therapy of inflammatory bowel disease: Therapeutic efficacy and possible mechanisms of action. Pharmacol. Res. 2012, 66, 66–79. [Google Scholar] [CrossRef]
- Pan, Z.; Cheng, D.D.; Wei, X.J.; Li, S.J.; Guo, H.; Yang, Q.C. Chitooligosaccharides inhibit tumor progression and induce autophagy through the activation of the p53/mTOR pathway in osteosarcoma. Carbohydr. Polym. 2021, 258, 117596. [Google Scholar] [CrossRef]
- Fernandes, J.C.; Sereno, J.; Garrido, P.; Parada, B.; Cunha, M.F.; Reis, F.; Pintado, M.E.; Santos-Silva, A. Inhibition of bladder tumor growth by chitooligosaccharides in an experimental carcinogenesis model. Mar. Drugs 2012, 10, 2661–2675. [Google Scholar] [CrossRef]
- Ngo, D.-N.; Qian, Z.-J.; Je, J.-Y.; Kim, M.-M.; Kim, S.-K. Aminoethyl chitooligosaccharides inhibit the activity of angiotensin converting enzyme. Process Biochem. 2008, 43, 119–123. [Google Scholar] [CrossRef]
- Choi, E.H.; Yang, H.P.; Chun, H.S. Chitooligosaccharide ameliorates diet-induced obesity in mice and affects adipose gene expression involved in adipogenesis and inflammation. Nutr. Res. 2012, 32, 218–228. [Google Scholar] [CrossRef]
- Huang, L.; Chen, J.; Cao, P.; Pan, H.; Ding, C.; Xiao, T.; Zhang, P.; Guo, J.; Su, Z. Anti-obese effect of glucosamine and chitosan oligosaccharide in high-fat diet-induced obese rats. Mar. Drugs 2015, 13, 2732–2756. [Google Scholar] [CrossRef]
- Kumar, S.G.; Rahman, M.A.; Lee, S.H.; Hwang, H.S.; Kim, H.A.; Yun, J.W. Plasma proteome analysis for anti-obesity and anti-diabetic potentials of chitosan oligosaccharides in ob/ob mice. Proteomics 2009, 9, 2149–2162. [Google Scholar] [CrossRef]
- Yu, S.-Y.; Kwon, Y.-I.; Lee, C.; Apostolidis, E.; Kim, Y.-C. Antidiabetic effect of chitosan oligosaccharide (GO2KA1) is mediated via inhibition of intestinal alpha-glucosidase and glucose transporters and PPARgamma expression. Biofactors 2017, 43, 90–99. [Google Scholar] [CrossRef]
- Lee, H.W.; Park, Y.S.; Choi, J.W.; Yi, S.Y.; Shin, W.S. Antidiabetic effects of chitosan oligosaccharides in neonatal streptozotocin-induced noninsulin-dependent diabetes mellitus in rats. Biol. Pharm. Bull. 2003, 26, 1100–1103. [Google Scholar] [CrossRef]
- Sanchez, A.; Mengibar, M.; Rivera-Rodriguez, G.; Moerchbacher, B.; Acosta, N.; Heras, A. The effect of preparation processes on the physicochemical characteristics and antibacterial activity of chitooligosaccharides. Carbohydr. Polym. 2017, 157, 251–257. [Google Scholar] [CrossRef]
- Cabrera, J.C.; Van Cutsem, P. Preparation of chitooligosaccharides with degree of polymerization higher than 6 by acid or enzymatic degradation of chitosan. Biochem. Eng. J. 2005, 25, 165–172. [Google Scholar] [CrossRef]
- Wang, Q.Z.; Chen, X.G.; Liu, N.; Wang, S.X.; Liu, C.S.; Meng, X.H.; Liu, C.G. Protonation constants of chitosan with different molecular weight and degree of deacetylation. Carbohydr. Polym. 2006, 65, 194–201. [Google Scholar] [CrossRef]
- Doan, C.T.; Tran, T.N.; Nguyen, V.B.; Nguyen, A.D.; Wang, S.L. Production of a thermostable chitosanase from shrimp heads via Paenibacillus mucilaginosus TKU032 conversion and its application in the preparation of bioactive chitosan oligosaccharides. Mar. Drugs 2019, 17, 217. [Google Scholar] [CrossRef]
- Jo, S.H.; Ha, K.S.; Moon, K.S.; Kim, J.G.; Oh, C.G.; Kim, Y.C.; Apostolidis, E.; Kwon, Y.I. Molecular weight dependent glucose lowering effect of low molecular weight Chitosan Oligosaccharide (GO2KA1) on postprandial blood glucose level in SD rats’ model. Int. J. Mol. Sci. 2013, 14, 14214–14224. [Google Scholar] [CrossRef]
- Kim, H.J.; Ahn, H.Y.; Kwak, J.H.; Shin, D.Y.; Kwon, Y.I.; Oh, C.G.; Lee, J.H. The effects of chitosan oligosaccharide (GO2KA1) supplementation on glucose control in subjects with prediabetes. Food Funct. 2014, 5, 2662–2669. [Google Scholar] [CrossRef]
- Jo, S.-H.; Ha, K.-S.; Lee, J.-W.; Kim, Y.-C.; Apostolidis, E.; Kwon, Y.-I. The reduction effect of low molecular weight chitosan oligosaccharide (GO2KA1) on postprandial blood glucose levels in healthy individuals. Food Sci. Biotechnol. 2014, 23, 971–973. [Google Scholar] [CrossRef]
- Rosak, C.; Mertes, G. Critical evaluation of the role of acarbose in the treatment of diabetes: Patient considerations. Diabetes Metab. Syndr. Obes. 2012, 5, 357–367. [Google Scholar] [CrossRef]
- Kim, M.J.; Lee, S.B.; Lee, H.S.; Lee, S.Y.; Baek, J.S.; Kim, D.; Moon, T.W.; Robyt, J.F.; Park, K.H. Comparative Study of the Inhibition of α-Glucosidase, α-Amylase, and Cyclomaltodextrin Glucanosyltransferase by Acarbose, Isoacarbose, and Acarviosine–Glucose. Arch. Biochem. Biophys. 1999, 371, 277–283. [Google Scholar] [CrossRef]
- Yamamoto, K.; Nakayama, A.; Yamamoto, Y.; Tabata, S. Val216 decides the substrate specificity of alpha-glucosidase in Saccharomyces cerevisiae. Eur. J. Biochem. 2004, 271, 3414–3420. [Google Scholar] [CrossRef] [PubMed]
- Caspary, W.F.; Graf, S. Inhibition of Human Intestinal a-Glucosidehydrolases by a New Complex Oligosaccharide. Res. Exp. Med. 1979, 175, 1–6. [Google Scholar] [CrossRef] [PubMed]
- Son, H.U.; Lee, S.H. Comparison of alpha-glucosidase inhibition by Cudrania tricuspidata according to harvesting time. Biomed. Rep. 2013, 1, 624–628. [Google Scholar] [CrossRef]
- Apostolidis, E.; Kwon, Y.I.; Shetty, K. Inhibitory potential of herb, fruit, and fungal-enriched cheese against key enzymes linked to type 2 diabetes and hypertension. Innov. Food Sci. Emerg. Technol. 2007, 8, 46–54. [Google Scholar] [CrossRef]
- Dong, H.; Wang, Y.; Zhao, L.; Zhou, J.; Xia, Q.; Jiang, L.; Fan, L. Purification of DP6 to 8 chitooligosaccharides by nanofiltration from the prepared chitooligosaccharides syrup. Bioresour. Bioprocess. 2014, 1, 20. [Google Scholar] [CrossRef][Green Version]
- Flores-Bocanegra, L.; Perez-Vasquez, A.; Torres-Piedra, M.; Bye, R.; Linares, E.; Mata, R. α-Glucosidase inhibitors from Vauquelinia corymbosa. Molecules 2015, 20, 15330–15342. [Google Scholar] [CrossRef]
- Prinz, H. Hill coefficients, dose-response curves and allosteric mechanisms. J. Chem. Biol. 2010, 3, 37–44. [Google Scholar] [CrossRef]
- Kim, J.H.; Kim, H.Y.; Yang, S.Y.; Kim, J.B.; Jin, C.H.; Kim, Y.H. Inhibitory activity of (-)-epicatechin-3,5-O-digallate on alpha-glucosidase and in silico analysis. Int. J. Biol. Macromol. 2018, 107, 1162–1167. [Google Scholar] [CrossRef]
- Shen, B.; Shangguan, X.; Yin, Z.; Wu, S.; Zhang, Q.; Peng, W.; Li, J.; Zhang, L.; Chen, J. Inhibitory effect of fisetin on α-glucosidase activity: Kinetic and molecular docking studies. Molecules 2021, 26, 5306. [Google Scholar] [CrossRef]





| COS Mixture | Concentration (mM) | Average Molecular Weight (Da) | |||
|---|---|---|---|---|---|
| Chitobiose (DP2) | Chitotriose (DP3) | Chitotetraose (DP4) | Chitopentaose (DP5) | ||
| S-TU-COS | 4.10 | 4.20 | 1.80 | - | 566 |
| (DP2–4) | |||||
| L-TU-COS (DP2–5) | 0.8 | 4.20 | 2.40 | 1.50 | 713 |
| Substrate Concentration (mM) | S-TU-COS (mM) | L-TU-COS (mM) | Acarbose (mM) |
|---|---|---|---|
| 0.075 | 12.54 ± 0.04 A,b | 20.42 ± 0.19 A,a | 0.1638 ± 0.0072 C,c |
| 0.1 | 12.53 ± 0.19 A,b | 20.22 ± 0.22 A,a | 0.1694 ± 0.0015 C,c |
| 0.2 | 12.44 ± 0.13 A,B,b | 18.64 ± 0.17 B,a | 0.1719 ± 0.0029 B,C,c |
| 0.25 | 12.19 ± 0.07 B,b | 18.39 ± 0.14 B,a | 0.1796 ± 0.0016 A,B,c |
| 0.3 | 11.84 ± 0.15 C,b | 17.75 ± 0.13 C,a | 0.1835 ± 0.0015 A,c |
| Compound | Inhibitor Concentration (mM) | Vmax (µM/min) | Km (mM) | Vmax/Km (mM/min) | R2 | Ki or Kii (mM) | Type of Inhibition |
|---|---|---|---|---|---|---|---|
| Control | 0 | 4.50 10−6 ± 3.89 10−7 a | 0.24 ± 0.033 a | 1.87 10−5 ± 9.21 10−7 a | 0.973 | - | - |
| S-TU-COS | 3 | 3.07 10−6 ± 1.66 10−8 b | 0.19 ± 0.00082 a | 1.61 10−5 ± 1.57 10−7 b | 0.965 | Ki = 3.34 ± 0.64 b Kii = 2.94 ± 0.62 c | Non-competitive |
| 5 | 2.49 10−6 ± 1.08 10−7 c | 0.17 ± 0.015 a | 1.51 10−5 ± 7.80 10−7 b | 0.963 | |||
| 10 | 1.99 10−6 ± 3.75 10−8 d | 0.18 ± 0.0069 a | 1.11 10−5 ± 2.17 10−7 c | 0.979 | |||
| 15 | 1.27 10−6 ± 1.40 10−7 e | 0.19 ± 0.029 a | 6.85 10−6 ± 2.98 10−7 d | 0.974 | |||
| 19 | 7.06 10−7 ± 6.03 10−8 f | 0.18 ± 0.025 a | 4.00 10−6 ± 2.51 10−7 e | 0.985 | |||
| L-TU-COS | 7 | 2.84 10−6 ± 6.70 10−8 b | 0.17 ± 0.0080 b | 1.71 10−5 ± 4.29 10−7 b | 0.969 | Kii = 5.84 ± 0.99 a | Uncompetitive |
| 14 | 1.96 10−6 ± 3.58 10−8 c | 0.14 ± 0.0046 b | 1.45 10−5 ± 2.60 10−7 c | 0.965 | |||
| 17 | 1.29 10−6 ± 1.40 10−8 d | 0.087 ± 0.0035 c | 1.48 10−5 ± 5.29 10−7 c | 0.962 | |||
| 19 | 1.09 10−6 ± 7.14 10−8 d | 0.080 ± 0.012 c | 1.38 10−5 ± 1.27 10−6 c | 0.962 | |||
| 21 | 8.55 10−7 ± 1.94 10−8 d | 0.062 ± 0.0039 c | 1.37 10−5 ± 5.78 10−7 c | 0.970 | |||
| Acarbose | 0.03 | 4.37 10−6 ± 1.57 10−7 a | 0.37 ± 0.022 b | 1.20 10−5 ± 2.95 10−7 b | 0.985 | Ki = 0.061± 0.0082 d | Competitive |
| 0.15 | 4.03 10−6 ± 9.70 10−7 a | 0.55 ± 0.17 a,b | 7.43 10−6 ± 4.20 10−7 c | 0.991 | |||
| 0.20 | 3.45 10−6 ± 5.60 10−7 a | 0.74 ± 0.16 a,b | 4.73 10−6 ± 3.23 10−7 d | 0.997 | |||
| 0.25 | 3.23 10−6 ± 4.42 10−7 a | 0.98 ± 0.16 a,b | 3.31 10−6 ± 7.88 10−8 e | 0.998 | |||
| 0.30 | 3.27 10−6 ± 1.37 10−6 a | 1.31 ± 0.68 a | 2.58 10−6 ± 2.27 10−7 e | 0.997 |
Publisher’s Note: MDPI stays neutral with regard to jurisdictional claims in published maps and institutional affiliations. |
© 2022 by the authors. Licensee MDPI, Basel, Switzerland. This article is an open access article distributed under the terms and conditions of the Creative Commons Attribution (CC BY) license (https://creativecommons.org/licenses/by/4.0/).
Share and Cite
Khaisaat, S.; Chancharoensin, S.; Wipatanawin, A.; Suphantharika, M.; Payongsri, P. Influence of Degree of Polymerization of Low-Molecular-Weight Chitosan Oligosaccharides on the α-Glucosidase Inhibition. Molecules 2022, 27, 8129. https://doi.org/10.3390/molecules27238129
Khaisaat S, Chancharoensin S, Wipatanawin A, Suphantharika M, Payongsri P. Influence of Degree of Polymerization of Low-Molecular-Weight Chitosan Oligosaccharides on the α-Glucosidase Inhibition. Molecules. 2022; 27(23):8129. https://doi.org/10.3390/molecules27238129
Chicago/Turabian StyleKhaisaat, Supharada, Saovanee Chancharoensin, Angkana Wipatanawin, Manop Suphantharika, and Panwajee Payongsri. 2022. "Influence of Degree of Polymerization of Low-Molecular-Weight Chitosan Oligosaccharides on the α-Glucosidase Inhibition" Molecules 27, no. 23: 8129. https://doi.org/10.3390/molecules27238129
APA StyleKhaisaat, S., Chancharoensin, S., Wipatanawin, A., Suphantharika, M., & Payongsri, P. (2022). Influence of Degree of Polymerization of Low-Molecular-Weight Chitosan Oligosaccharides on the α-Glucosidase Inhibition. Molecules, 27(23), 8129. https://doi.org/10.3390/molecules27238129

