Phenylpropanoid Derivatives from the Tuber of Asparagus cochinchinensis with Anti-Inflammatory Activities
Abstract
1. Introduction
2. Results and Discussion
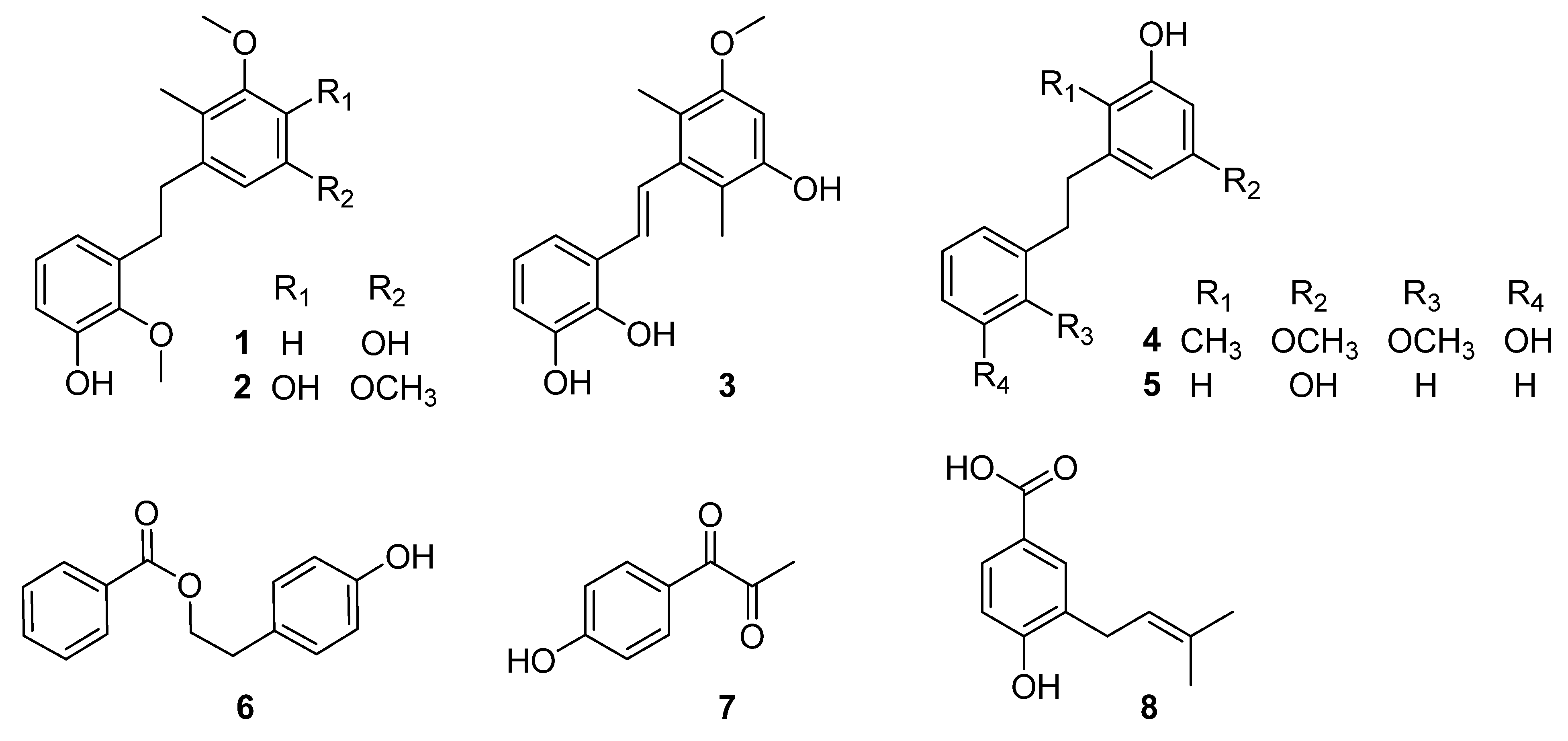
2.1. Structure Elucidation
2.2. Inhibitory Effects of Compounds 1–8 on NO Production of LPS-Activated RAW 264.7 Cells
2.3. Inhibitory Effects of New Compound 2 on LPS-Enhanced Inflammatory Mediators
3. Materials and Methods
3.1. General Experimental Procedures
3.2. Plant Materials
3.3. Extraction and Isolation
3.4. Cell Culture and NO Production Measurements
3.5. Western Blot Analysis
4. Conclusions
Supplementary Materials
Author Contributions
Funding
Institutional Review Board Statement
Informed Consent Statement
Data Availability Statement
Conflicts of Interest
References
- Dong, B.J.; An, L.J.; Yang, X.Y.; Zhang, X.K.; Zhang, J.; Tuerhong, M.; Jin, D.Q.; Ohizumi, Y.; Lee, D.O.; Xu, J. Withanolides from Physalis peruviana showing nitric oxide inhibitory effects and affinities with iNOS. Bioorg. Chem. 2019, 87, 585–593. [Google Scholar] [CrossRef]
- Lee, Y.G.; Lee, H.; Ryuk, J.A.; Hwang, J.T.; Kim, H.G.; Lee, D.S.; Kim, Y.J.; Yang, D.C.; Ko, B.S.; Baek, N.I. 6-Methoxyflavonols from the aerial parts of Tetragonia tetragonoides (Pall.) Kuntze and their anti-inflammatory activity. Bioorg. Chem. 2019, 88, 102922. [Google Scholar] [CrossRef] [PubMed]
- Sharma, J.N.; Al-Omran, A.; Parvathy, S.S. Role of nitric oxide in inflammatory diseases. Inflammopharmacology 2007, 15, 252–259. [Google Scholar] [CrossRef] [PubMed]
- Mathew, S.; Zhou, X.; Munch, G.; Bodkin, F.; Wallis, M.; Li, F.; Raju, R. Tristaenone A: A New Anti-Inflammatory Compound Isolated from the Australian Indigenous Plant Tristaniopsis laurina. Molecules 2022, 27, 6592. [Google Scholar] [CrossRef] [PubMed]
- Zhang, F.; Zhang, Y.Y.; Sun, Y.S.; Ma, R.H.; Thakur, K.; Zhang, J.G.; Wei, Z.J. Asparanin A from Asparagus officinalis L. Induces G0/G1 Cell Cycle Arrest and Apoptosis in Human Endometrial Carcinoma Ishikawa Cells via Mitochondrial and PI3K/AKT Signaling Pathways. J. Agr. Food Chem. 2020, 68, 213–224. [Google Scholar] [CrossRef]
- Guo, Q.B.; Wang, N.F.; Liu, H.H.; Li, Z.J.; Lu, L.F.; Wang, C.L. The bioactive compounds and biological functions of Asparagus officinalis L.—A review. J. Funct. Foods 2021, 145, 105013. [Google Scholar] [CrossRef]
- Hamdi, A.; Jaramillo-Carmona, S.; Rodriguez-Arcos, R.; Jimenez-Araujo, A.; Lachaal, M.; Karray-Bouraoui, N.; Guillen-Bejarano, R. Phytochemical Characterization and Bioactivity of Asparagus acutifolius: A Focus on Antioxidant, Cytotoxic, Lipase Inhibitory and Antimicrobial Activities. Molecules 2021, 26, 3328. [Google Scholar] [CrossRef]
- Singh, R.; Geetanjali. Asparagus racemosus: A review on its phytochemical and therapeutic potential. Nat. Prod. Res. 2016, 30, 1896–1908. [Google Scholar] [CrossRef]
- Zhang, H.X.; Birch, J.; Pei, J.J.; Ma, Z.F.; Bekhit, A.E.-D. Phytochemical compounds and biological activity in Asparagus roots: A review. Int. J. Food Sci. Tech. 2019, 54, 966–977. [Google Scholar] [CrossRef]
- Li, X.N.; Chu, C.; Cheng, D.P.; Tong, S.Q.; Yan, J.Z. Norlignans from Asparagus cochinchinensis. Nat. Prod. Commun. 2012, 7, 1357–1358. [Google Scholar] [CrossRef]
- Li, X.N.; Chu, C.; Cheng, D.P.; Tong, S.Q.; Yan, J.Z. Two Alkaloids from Asparagus cochinchinensis. Chem. Nat. Comp. 2014, 50, 326–328. [Google Scholar] [CrossRef]
- Yang, Y.Y.; Wang, Z.X. Isolation and identification of chemical constituents from the rhizome of Asparagus cochinchinensis. Shenyang Pharm. Univ. 2009, 26, 796–799. [Google Scholar] [CrossRef]
- Liu, B.; Li, B.X.; Zhou, D.; Wen, X.Y.; Wang, Y.J.; Chen, G.; Li, N. Steroidal saponins with cytotoxic effects from the rhizomes of Asparagus cochinchinensis. Bioorg. Chem. 2021, 115, 105273. [Google Scholar] [CrossRef] [PubMed]
- Cai, B.X.; Yue, J.Y.; Xu, T.; Wang, J.T.; Yu, Y. Novel Benzofuranoid Norlignans from the Aerial Parts of Asparagus cochinchinensis and Their Biological Activity. Heterocycles 2022, 104, 2046–2052. [Google Scholar] [CrossRef]
- Zhou, X.M.; Zheng, C.J.; Gan, L.S.; Chen, G.Y.; Zhang, X.P.; Song, X.P.; Li, G.N.; Sun, C.G. Bioactive phenanthrene and bibenzyl derivatives from the stems of Dendrobium nobile. J. Nat. Prod. 2016, 79, 1791–1797. [Google Scholar] [CrossRef] [PubMed]
- Pacher, T.; Seger, C.; Engelmeier, D.; Vajrodaya, S.; Hofer, O.; Greger, H. Antifungal stilbenoids from Stemona collinsae. J. Nat. Prod. 2002, 65, 820–827. [Google Scholar] [CrossRef]
- Zhai, X.Y.; Xiao, W.; Yang, B.; Meng, Z.Q.; Wang, Z.Z.; Huang, W.Z.; Wang, K.J. Study on chemical constituents from seed of Oroxylum indicum. China J. Chin. Mater. Med. 2015, 40, 3013–3016. [Google Scholar] [CrossRef]
- De la Goutte, J.T.; Khan, J.A.; Vulfson, E.N. Identification of novel polyphenol oxidase inhibitors by enzymatic one-pot synthesis and deconvolution of combinatorial libraries. Biotechnol. Bioeng. 2001, 75, 93–99. [Google Scholar] [CrossRef]
- Deng, Y.; He, J.B.; Guan, K.Y.; Zhu, H.J. Studies on chemical constituents of Cynanchum auriculatum. Nat. Prod. Res. Dev. 2013, 25, 729–732. [Google Scholar] [CrossRef]
- Hayashi, K.; Komura, S.; Isaji, N.; Ohishi, N.; Yagi, K. Isolation of antioxidative compounds from Brazilian propolis: 3,4-dihydroxy-5-prenylcinnamic acid, a novel potent antioxidant. Chem. Pharm. Bull. 1999, 47, 1521–1524. [Google Scholar] [CrossRef][Green Version]
- Yue, J.Y.; Wang, R.; Xu, T.; Wang, J.T.; Yu, Y.; Cai, B.X. Novel phenolic metabolites isolated from plant endophytic fungus Fusarium guttiforme. Nat. Prod. Res. 2022, 1–5. [Google Scholar] [CrossRef]
- Xue, G.M.; Li, X.Q.; Chen, C.; Chen, K.; Wang, X.B.; Gu, Y.C.; Luo, J.G.; Kong, L.Y. Highly Oxidized Guaianolide Sesquiterpenoids with Potential Anti-inflammatory Activity from Chrysanthemum indicum. J. Nat. Prod. 2018, 81, 378–386. [Google Scholar] [CrossRef] [PubMed]
- Lee, D.Y.; Choo, B.K.; Yoon, T.; Cheon, M.S.; Lee, H.W.; Lee, A.Y.; Kim, H.K. Anti-inflammatory effects of Asparagus cochinchinensis extract in acute and chronic cutaneous inflammation. J. Ethnopharmacol. 2009, 121, 28–34. [Google Scholar] [CrossRef] [PubMed]
- Choi, J.Y.; Kim, J.E.; Park, J.J.; Lee, M.R.; Song, B.R.; Park, J.W.; Kang, M.J.; Lee, H.S.; Son, H.J.; Hong, J.T.; et al. The Anti-Inflammatory Effects of Fermented Herbal Roots of Asparagus cochinchinensis in an Ovalbumin-Induced Asthma Model. J. Clin. Med. 2018, 7, 377. [Google Scholar] [CrossRef] [PubMed]
- Lee, H.A.; Koh, E.K.; Sung, J.E.; Kim, J.E.; Song, S.H.; Kim, D.S.; Son, H.J.; Lee, C.Y.; Lee, H.S.; Bae, C.J.; et al. Ethyl acetate extract from Asparagus cochinchinensis exerts anti-inflammatory effects in LPS-stimulated RAW264.7 macrophage cells by regulating COX-2/iNOS, inflammatory cytokine expression, MAP kinase pathways, the cell cycle and anti-oxidant activity. Mol. Med. Rep. 2017, 15, 1613–1623. [Google Scholar] [CrossRef]
- Cai, B.X.; Song, L.X.; Hu, H.J.; Han, Z.Z.; Zhou, Y.; Wang, Z.T.; Yang, L. Structures and biological evaluation of phenylpropanoid derivatives from Dendrobium sonia. Nat. Prod. Res. 2021, 35, 5120–5124. [Google Scholar] [CrossRef]
- Chen, J.N.; de Mejia, E.G.; Wu, J.S.B. Inhibitory effect of a glycoprotein isolated from golden oyster mushroom (Pleurotus citrinopileatus) on the lipopolysaccharide-induced inflammatory reaction in RAW 264.7 Macrophage. J. Agric. Food Chem. 2011, 59, 7092–7097. [Google Scholar] [CrossRef]
- Hankittichai, P.; Buacheen, P.; Pitchakarn, P.; Takuathung, M.N.; Wikan, N.; Smith, D.R.; Potikanond, S.; Nimlamool, W. Arto carpus lakoocha extract inhibits LPS-induced inflammatory response in RAW 264.7 macrophage cells. Int. J. Mol. Sci. 2020, 21, 1355. [Google Scholar] [CrossRef]
- Asai, H.; Kato, K.; Suzuki, M.; Takahashi, M.; Miyata, E.; Aoi, M.; Kumazawa, R.; Nagashima, F.; Kurosaki, H.; Aoyagi, Y.; et al. Potential Anti-allergic Effects of Bibenzyl Derivatives from Liverworts, Radula perrottetii. Planta Med. 2022, 88, 1069–1077. [Google Scholar] [CrossRef]
- Sun, M.H.; Ma, X.J.; Shao, S.Y.; Han, S.W.; Jiang, J.W.; Zhang, J.J.; Li, S. Phenanthrene, 9,10-dihydrophenanthrene and bibenzyl enantiomers from Bletilla striata with their antineuroinflammatory and cytotoxic activities. Phytochemistry 2021, 182, 112609. [Google Scholar] [CrossRef]





| Position | 1 | 2 | 3 | |||
|---|---|---|---|---|---|---|
| δH (J in Hz) | δC | δH (J in Hz) | δC | δH (J in Hz) | δC | |
| 1 | - | 143.2, C | - | 132.2, C | - | 140.9, C |
| 2 | - | 116.1, C | - | 122.7, C | - | 116.2, C |
| 3 | - | 160.0, C | - | 147.4, C | - | 157.3, C |
| 4 | 6.24 (d, 2.1) | 97.6, CH | - | 138.5, C | 6.36 (s) | 98.4, CH |
| 5 | - | 156.7, C | - | 147.5, C | - | 154.5, C |
| 6 | 6.22 (d, 2.1) | 108.9, CH | 6.44 (s) | 109.8, CH | - | 115.2, C |
| 1″ | 2.74 (m) | 36.4, CH2 | 2.77 (m) | 35.8, CH2 | 7.05 (d, 16.7) | 128.3, CH |
| 2″ | 2.74 (m) | 32.5, CH2 | 2.77 (m) | 32.5, CH2 | 6.75 (d, 16.7) | 130.7, CH |
| 1′ | - | 136.8, C | - | 136.7, C | - | 126.2, C |
| 2′ | - | 147.2, C | - | 147.3, C | - | 144.4, C |
| 3′ | - | 151.2, C | - | 151.2, C | - | 146.4, C |
| 4′ | 6.68 (dd, 7.9, 1.0) | 115.6, CH | 6.68 (dd, 8.0, 1.5) | 115.5, CH | 6.69 (dd, 7.7, 1.9) | 114.8, CH |
| 5′ | 6.82 (t, 7.9) | 125.2, CH | 6.81 (t, 8.0) | 125.0, CH | 6.66 (t, 7.7) | 120.4, CH |
| 6′ | 6.62 (dd, 7.9, 1.0) | 121.9, CH | 6.59 (dd, 8.0, 1.5) | 122.1, CH | 7.02 (dd, 7.7, 1.9) | 118.3, CH |
| 2-CH3 | 2.06 (s) | 10.7, CH3 | 2.14 (s) | 11.3, CH3 | 2.09 (s) | 12.9, CH3 |
| 3-OCH3 | 3.73 (s) | 55.8, CH3 | 3.72 (s) | 60.4, CH3 | 3.74 (s) | 55.9, CH3 |
| 5-OCH3 | - | - | 3.74 (s) | 56.6, CH3 | - | - |
| 6-CH3 | - | - | - | - | 2.12 (s) | 13.0, CH3 |
| 2′-OCH3 | 3.75 (s) | 60.9, CH3 | 3.72 (s) | 60.8, CH3 | - | - |
| Compounds | IC50 (µM) |
|---|---|
| 1 | >50 |
| 2 | 21.7 ± 1.62 |
| 3 | >50 |
| 4 | >50 |
| 5 | 35.8 ± 2.01 |
| 6 | >50 |
| 7 | >50 |
| 8 | >50 |
| AH a | 18.4 ± 2.33 |
Publisher’s Note: MDPI stays neutral with regard to jurisdictional claims in published maps and institutional affiliations. |
© 2022 by the authors. Licensee MDPI, Basel, Switzerland. This article is an open access article distributed under the terms and conditions of the Creative Commons Attribution (CC BY) license (https://creativecommons.org/licenses/by/4.0/).
Share and Cite
Yue, J.; Zhang, N.; Xu, T.; Wang, J.; Cai, B.; Yu, Y. Phenylpropanoid Derivatives from the Tuber of Asparagus cochinchinensis with Anti-Inflammatory Activities. Molecules 2022, 27, 7676. https://doi.org/10.3390/molecules27227676
Yue J, Zhang N, Xu T, Wang J, Cai B, Yu Y. Phenylpropanoid Derivatives from the Tuber of Asparagus cochinchinensis with Anti-Inflammatory Activities. Molecules. 2022; 27(22):7676. https://doi.org/10.3390/molecules27227676
Chicago/Turabian StyleYue, Jingyi, Nan Zhang, Tao Xu, Jutao Wang, Baixiang Cai, and Yang Yu. 2022. "Phenylpropanoid Derivatives from the Tuber of Asparagus cochinchinensis with Anti-Inflammatory Activities" Molecules 27, no. 22: 7676. https://doi.org/10.3390/molecules27227676
APA StyleYue, J., Zhang, N., Xu, T., Wang, J., Cai, B., & Yu, Y. (2022). Phenylpropanoid Derivatives from the Tuber of Asparagus cochinchinensis with Anti-Inflammatory Activities. Molecules, 27(22), 7676. https://doi.org/10.3390/molecules27227676

