The Kinetics of Sorption–Desorption Phenomena: Local and Non-Local Kinetic Equations
Abstract
1. Introduction
2. Local Kinetic Equations
2.1. No Saturation:
2.2. Linear Saturation:
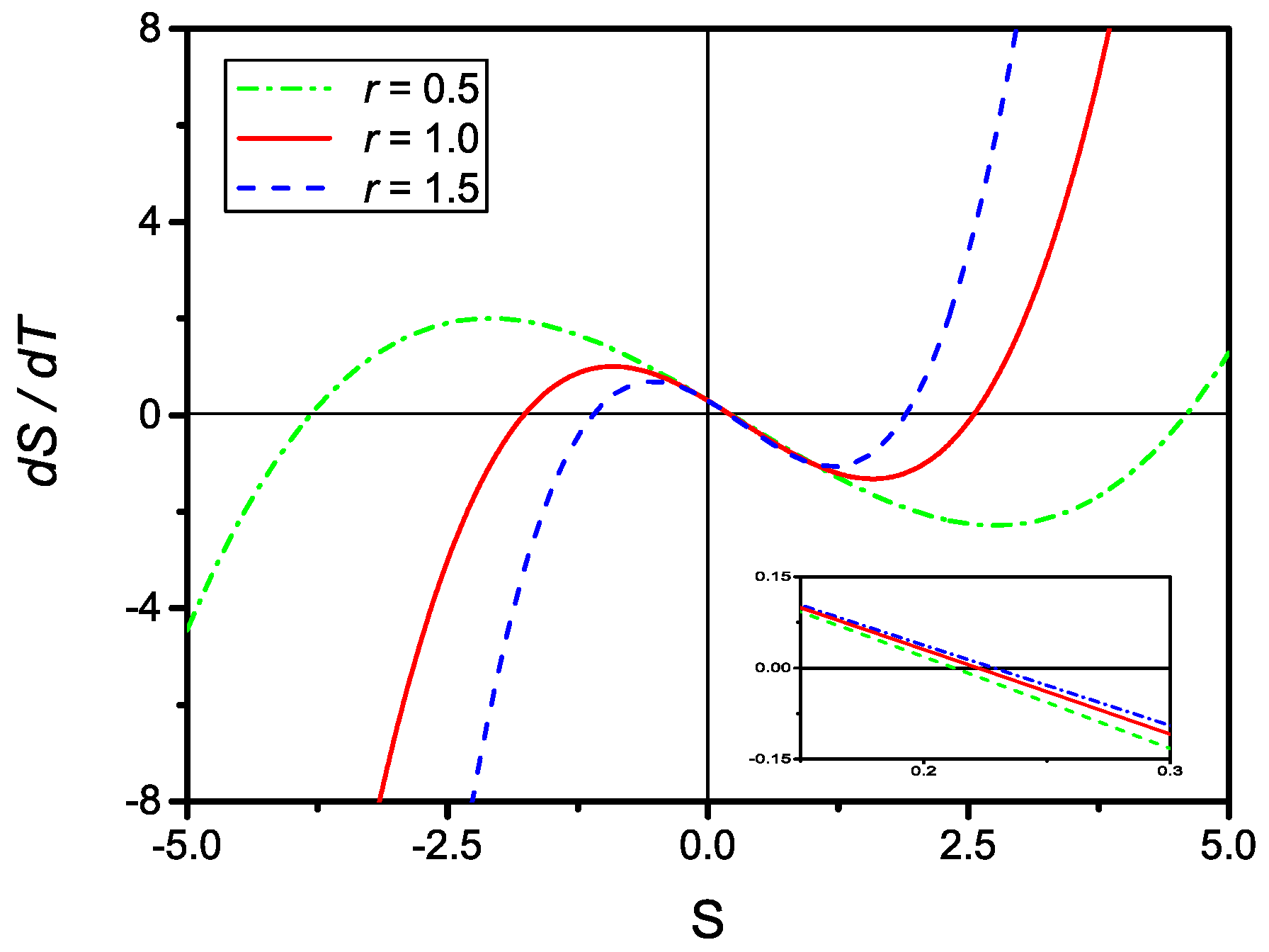
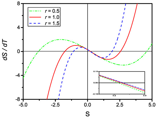
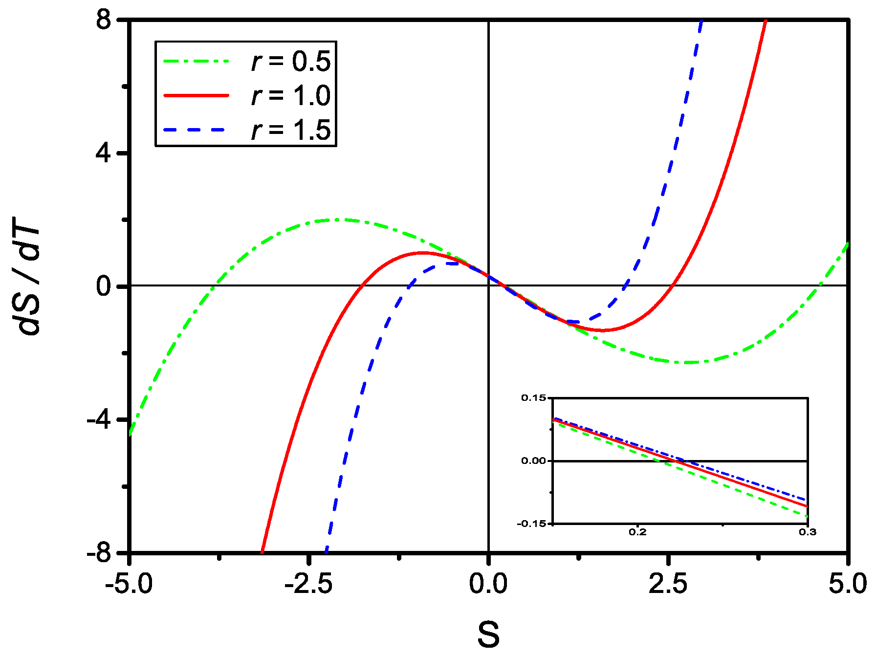
2.3. Quadratic Saturation:
3. Non-Local Kinetic Equations
4. Conclusions
Author Contributions
Funding
Data Availability Statement
Acknowledgments
Conflicts of Interest
Abbreviations
| d | Thickness of the cell [m]. |
| D | Diffusion coefficient [m/s]. |
| Delay time [s]. | |
| Dimensionless delay time. | |
| Adsorption coefficient [m/s]. | |
| Bulk density of adsorbable particles [1/m]. | |
| Bulk density of adsorbable particles in thermodynamic | |
| equilibrium in the absence of adsorption [1/m]. | |
| Equilibrium bulk density of particles | |
| in the presence of adsorption [1/m]. | |
| Reduced bulk density of particles. | |
| Reduced equilibrium bulk density of particles | |
| in the presence of adsorption | |
| Maximum density of adsorbed particles, , | |
| in units of surface density of adsorption sites, . | |
| Reduced surface density of particles. | |
| Reduced equilibrium surface density of particles | |
| in the presence of adsorption. | |
| Surface density of adsorbed particles [1/m]. | |
| Equilibrium value of the surface density of adsorbed | |
| particles [1/m]. | |
| Maximum density of adsorbable particles [1/m]. | |
| Surface density of adsorbing sites [1/m]. | |
| Desorption time [s]. | |
| Diffusion time [s]. | |
| Intrinsic adsorption time [s]. | |
| Effective relaxation time [s]. | |
| Dimensionless time. | |
| Desorption time, , in units of intrinsic adsorption time, . |
References
- Garrod, C. Statistical Mechanics and Thermodynamics; Oxford University Press: Oxford, UK, 1995. [Google Scholar]
- Lyklema, J. Fundamentals of Interface and Colloid Surfaces; Academic Press: London, UK, 1993. [Google Scholar]
- Atkins, P.W. Physical Chemistry; Oxford University Press: Oxford, UK, 1982. [Google Scholar]
- Evangelista, L.R.; Barbero, G. Statistical interpretation of the kinetic equation in the adsorption problem. Eur. Phys. J. E 2004, 15, 3–8. [Google Scholar] [CrossRef] [PubMed]
- Umoren, S.A.; Etim, U.J.; Israel, A.U. Adsorption of methylene blue from industrial effluent using poly (vinyl alcohol). J. Mater. Environ. Sci. 2013, 4, 75–86. [Google Scholar]
- Chen, S.; Zhou, M.; Wang, H.-F.; Wang, T.; Wang, X.-S.; Hou, H.-B.; Song, B.-Y. Adsorption of Reactive Brilliant Red X-3B in Aqueous Solutions on Clay-Biochar Composites from Bagasse and Natural Attapulgite. Water 2018, 10, 703. [Google Scholar] [CrossRef]
- Darwish, A.A.A.; Rashada, M.; L-Aoh, H.A.A. Methyl orange adsorption comparison on nanoparticles: Isotherm, kinetics, and thermodynamic studies. Dyes Pigm. 2019, 160, 563–571. [Google Scholar] [CrossRef]
- Shahin, S.A.; Mossad, M.; Fouad, M. Evaluation of copper removal efficiency using water treatment sludge. Water Sci. Eng. 2019, 12, 37–44. [Google Scholar] [CrossRef]
- Mossad, M.; Zou, L. Evaluation of the salt removal efficiency of capacitive deionisation: Kinetics, isotherms and thermodynamics. Chem. Eng. J. 2013, 223, 704–713. [Google Scholar] [CrossRef]
- Wimalasiri, Y.; Mossad, M.; Zou, L. Thermodynamics and kinetics of adsorption of ammonium ions by graphene laminate electrodes in capacitive deionization. Desalination 2015, 357, 178–188. [Google Scholar] [CrossRef]
- Yang, W.; Han, H.; Zhou, M.; Yang, J. Simultaneous electricity generation and tetracycline removal in continuous flow electrosorption driven by microbial fuel cells. RSC Adv. 2015, 5, 49513–49520. [Google Scholar] [CrossRef]
- Zhang, S.; Zhang, Q.; Wang, H.; Ni, Y.; Zhu, Z. Absorption behaviors study on doped Li4SiO4 under a humidified atmosphere with low CO2 concentration. Int. J. Hydrogen Energy 2014, 39, 17913–17920. [Google Scholar] [CrossRef]
- Wang, T.; Liang, H.; Bai, L.; Zhu, X.; Gan, Z.; Xing, J.; Li, G.; Aminabhavi, T.M. Adsorption behavior of powdered activated carbon to control capacitive deionization fouling of organic matter. Chem. Eng. J. 2020, 384, 123277. [Google Scholar] [CrossRef]
- Zhang, H.; Wang, Q.; Zhang, J.; Chen, G.; Wang, Z.; Wu, Z. Development of novel ZnZr-COOH/CNT composite electrode for selectively removing phosphate by capacitive deionization. Chem. Eng. J. 2022, 439, 135527. [Google Scholar] [CrossRef]
- Wang, K.; Zhao, Y.; Clough, P.T.; Zhao, P.; Anthony, E.J. Structural and kinetic analysis of CO2 sorption on NaNO2-promoted MgO at moderate temperatures. Chem. Eng. J. 2019, 372, 886–895. [Google Scholar] [CrossRef]
- Cui, H.; Zhang, Q.; Hu, Y.; Peng, C.; Fang, X.; Cheng, Z.; Galvita, V.V.; Zhou, Z. Ultrafast and Stable CO2 Capture Using Alkali Metal Salt-Promoted MgO–CaCO3 Sorbents. ACS Appl. Mater. Interfaces 2018, 10, 20611–20620. [Google Scholar] [CrossRef] [PubMed]
- Barbero, G.; Evangelista, L.R. Adsorption Phenomena and Anchoring Energy in Nematic Liquid Crystals; CRC Press: Boca Raton, FL, USA, 2006. [Google Scholar]
- Barbero, G.; Evangelista, L.R.; Lelidis, I. Effective adsorption energy and generalization of the Frumkin-Fowler-Guggenheim isotherm. J. Mol. Liq. 2021, 327, 114795. [Google Scholar] [CrossRef]
- Zola, R.S.; Lenzi, E.K.; Evangelista, L.R.; Barbero, G. Memory effect in the adsorption phenomena of neutral particles. Phys. Rev. E 2007, 75, 042601. [Google Scholar] [CrossRef]
- Adamson, A.W.; Gast, A.P. Physical Chemistry of Surfaces; Wiley: New York, NY, USA, 1997. [Google Scholar]
- Cosgrove, T.; Prestidge, C.A.; Vincent, B. Chemisorption of linear and cyclic polymethylsiloxanes on alumina studied by Fourier-transform infrared spectroscopy. J. Chem. Soc. Faraday Trans. 1990, 86, 1377–1382. [Google Scholar] [CrossRef]
- Patrylak, K.I.; Taranooka, O.M. On the Phenomenon of Oscillations by Adsorption. Zeolites 1997, 18, 7–9. [Google Scholar] [CrossRef]
- Masel, R.I. Principles of Adsorption and Reaction on Solid Surfaces; Wiley: New York, NY, USA, 1996. [Google Scholar]
- Minko, S.; Voronov, A.; Pefferkorn, E. Oscillation Phenomenon at Polymer Adsorption. Langmuir 2000, 16, 7876–7878. [Google Scholar] [CrossRef]
- Jaksic, O.M.; Jaksic, K.; Rasljic, M.B.; Kolar-Anic, L.Z. On Oscillations and Noise in Multicomponent Adsorption: The Nature of Multiple Stationary States. Adv. Math. Phys. 2019, 2019, 7687643. [Google Scholar] [CrossRef]
- Ikezoe, Y.I.; Yui, S.I.H.; Fujinami, M.; Sawada, T. Chemical Oscillation with Periodic Adsorption and Desorption of Surfactant Ions at a Water/Nitrobenzene Interface. Anal. Sci. 2004, 20, 1509–1514. [Google Scholar] [CrossRef] [PubMed]
- Vanegas, M.J.; Fregoso-Israel, E.; Escamilla, P.; Pfeiffer, H. Kinetic and Reaction Mechanism of CO22 Sorption on Li4SiO4: Study of the Particle Size Effect. Ind. Eng. Chem. Res. 2007, 46, 2407–2412. [Google Scholar] [CrossRef]








Publisher’s Note: MDPI stays neutral with regard to jurisdictional claims in published maps and institutional affiliations. |
© 2022 by the authors. Licensee MDPI, Basel, Switzerland. This article is an open access article distributed under the terms and conditions of the Creative Commons Attribution (CC BY) license (https://creativecommons.org/licenses/by/4.0/).
Share and Cite
Barbero, G.; Scarfone, A.M.; Evangelista, L.R. The Kinetics of Sorption–Desorption Phenomena: Local and Non-Local Kinetic Equations. Molecules 2022, 27, 7601. https://doi.org/10.3390/molecules27217601
Barbero G, Scarfone AM, Evangelista LR. The Kinetics of Sorption–Desorption Phenomena: Local and Non-Local Kinetic Equations. Molecules. 2022; 27(21):7601. https://doi.org/10.3390/molecules27217601
Chicago/Turabian StyleBarbero, Giovanni, Antonio M. Scarfone, and Luiz R. Evangelista. 2022. "The Kinetics of Sorption–Desorption Phenomena: Local and Non-Local Kinetic Equations" Molecules 27, no. 21: 7601. https://doi.org/10.3390/molecules27217601
APA StyleBarbero, G., Scarfone, A. M., & Evangelista, L. R. (2022). The Kinetics of Sorption–Desorption Phenomena: Local and Non-Local Kinetic Equations. Molecules, 27(21), 7601. https://doi.org/10.3390/molecules27217601

