Design, Synthesis, and Antiproliferative Activity of Novel Neocryptolepine–Rhodanine Hybrids
Abstract
1. Introduction
2. Results
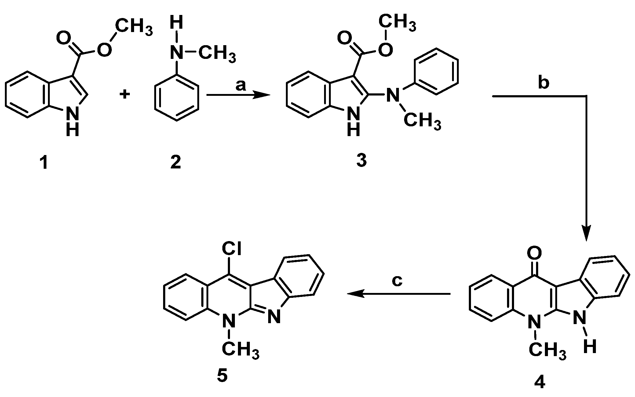
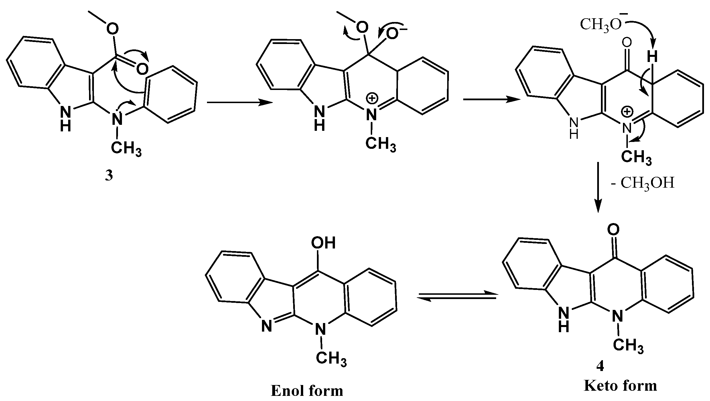
2.1. Chemistry
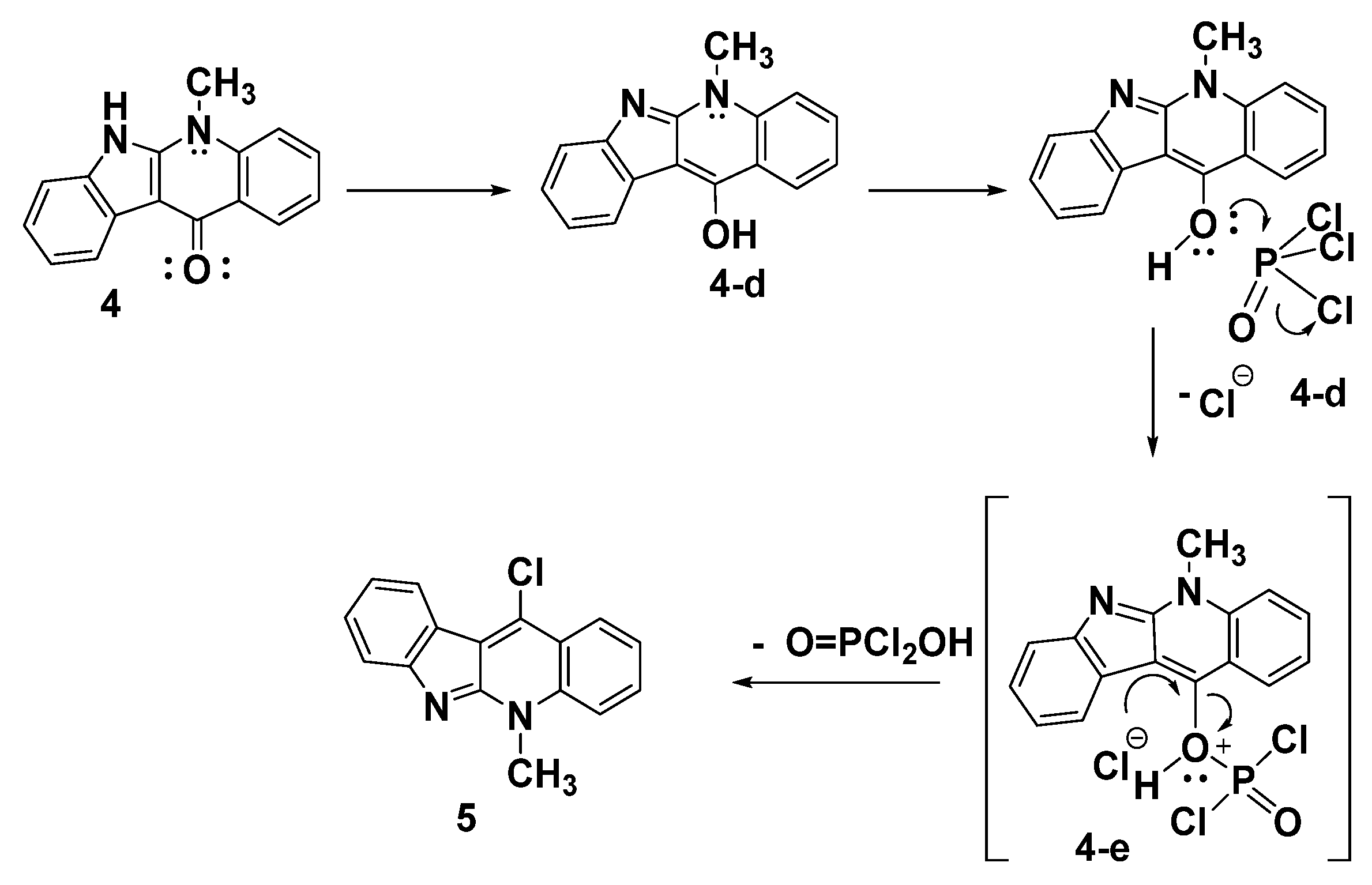
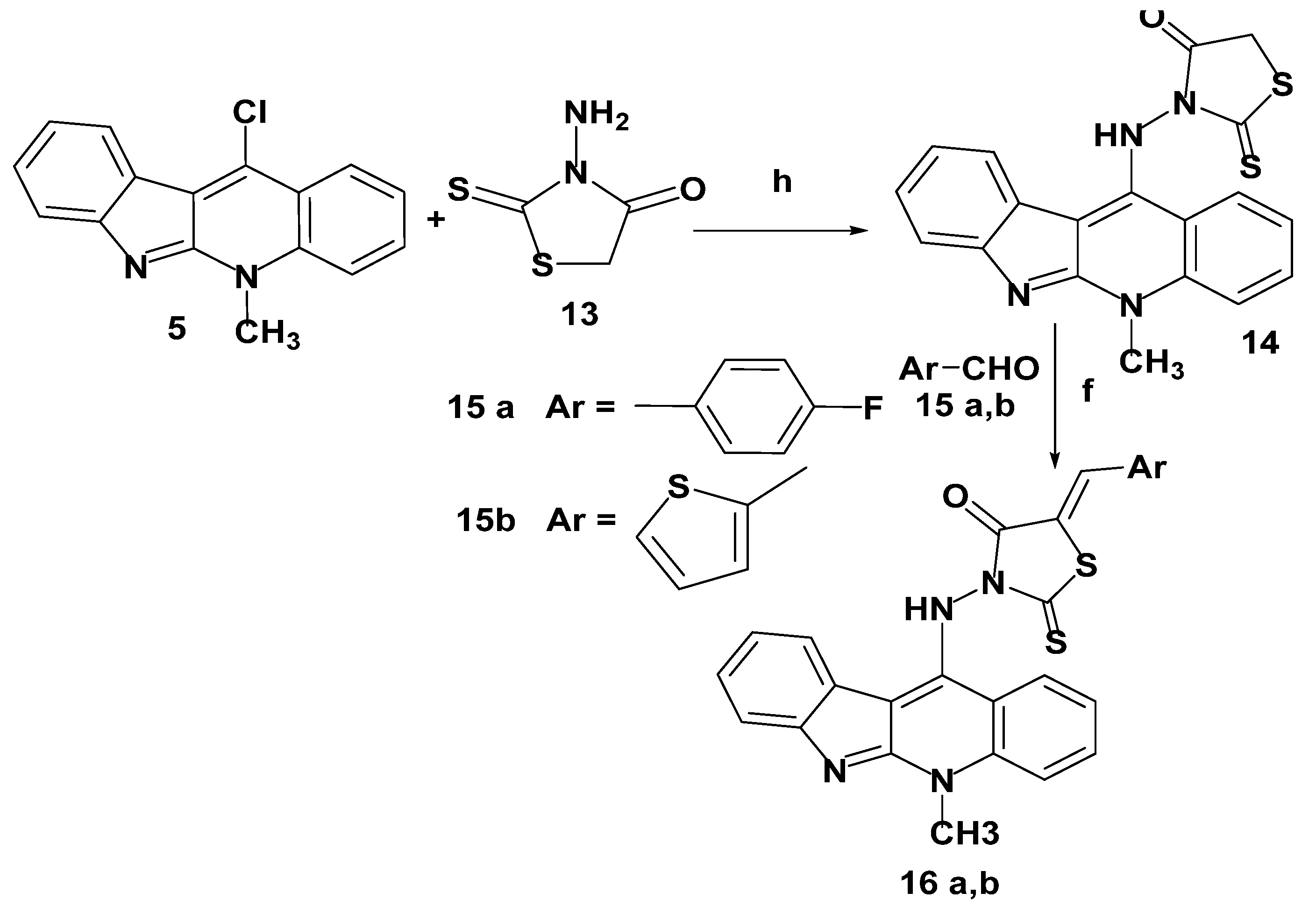
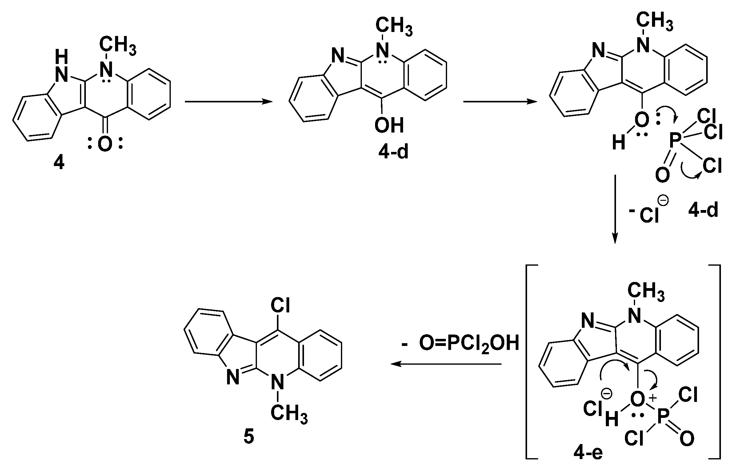
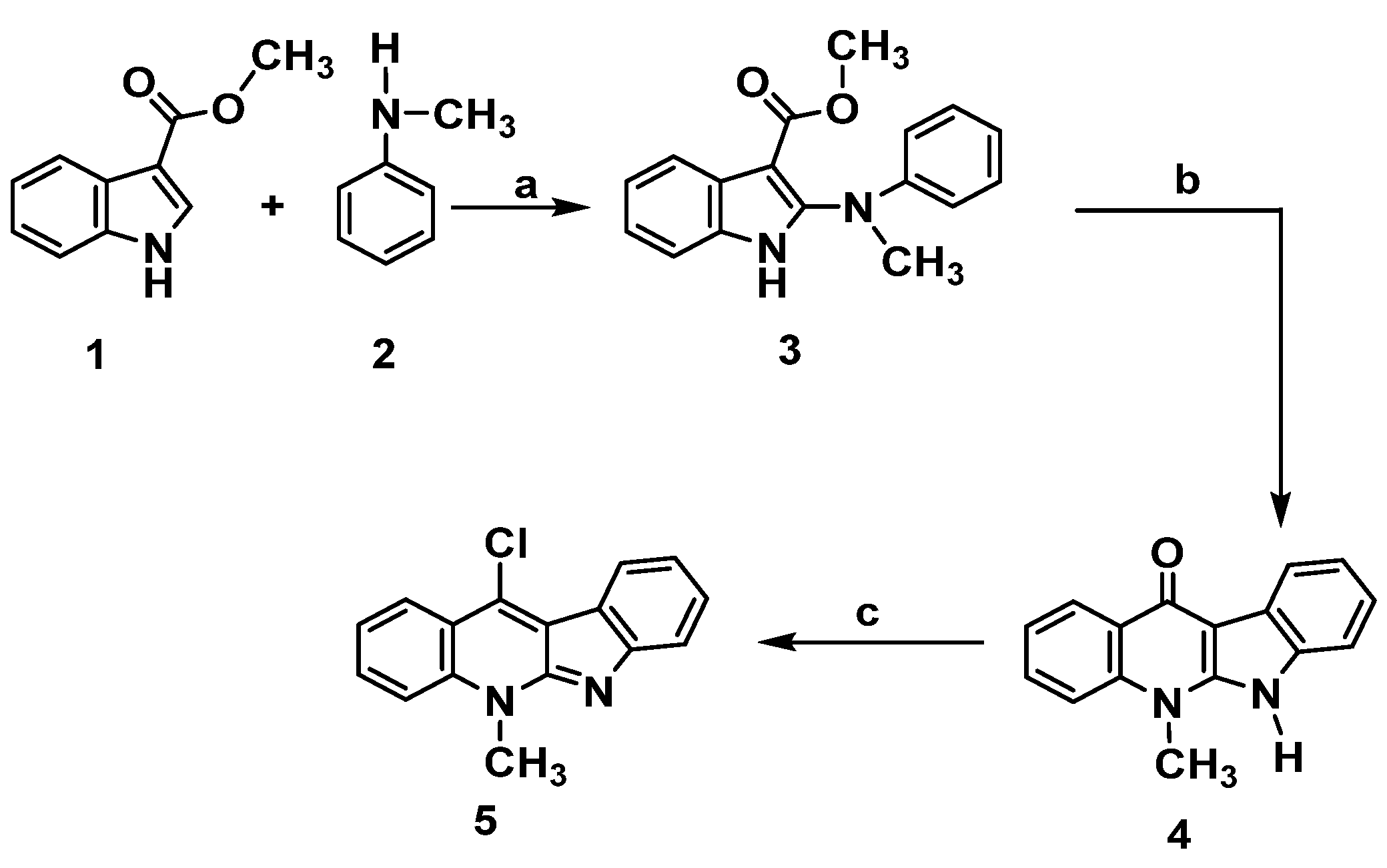
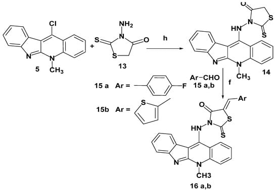
2.1.1. Synthesis of 11-Chloroneocryptolepine 5
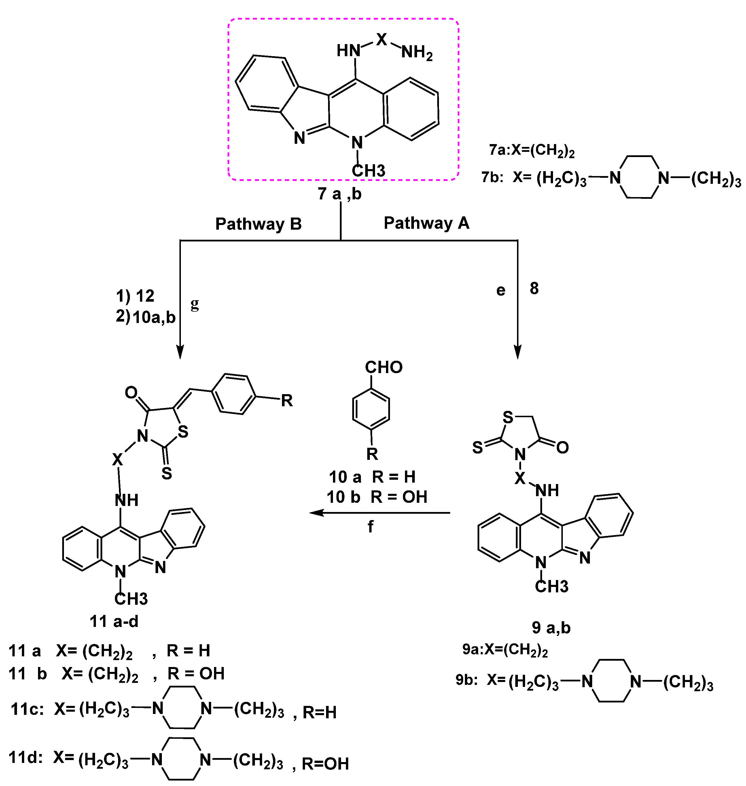
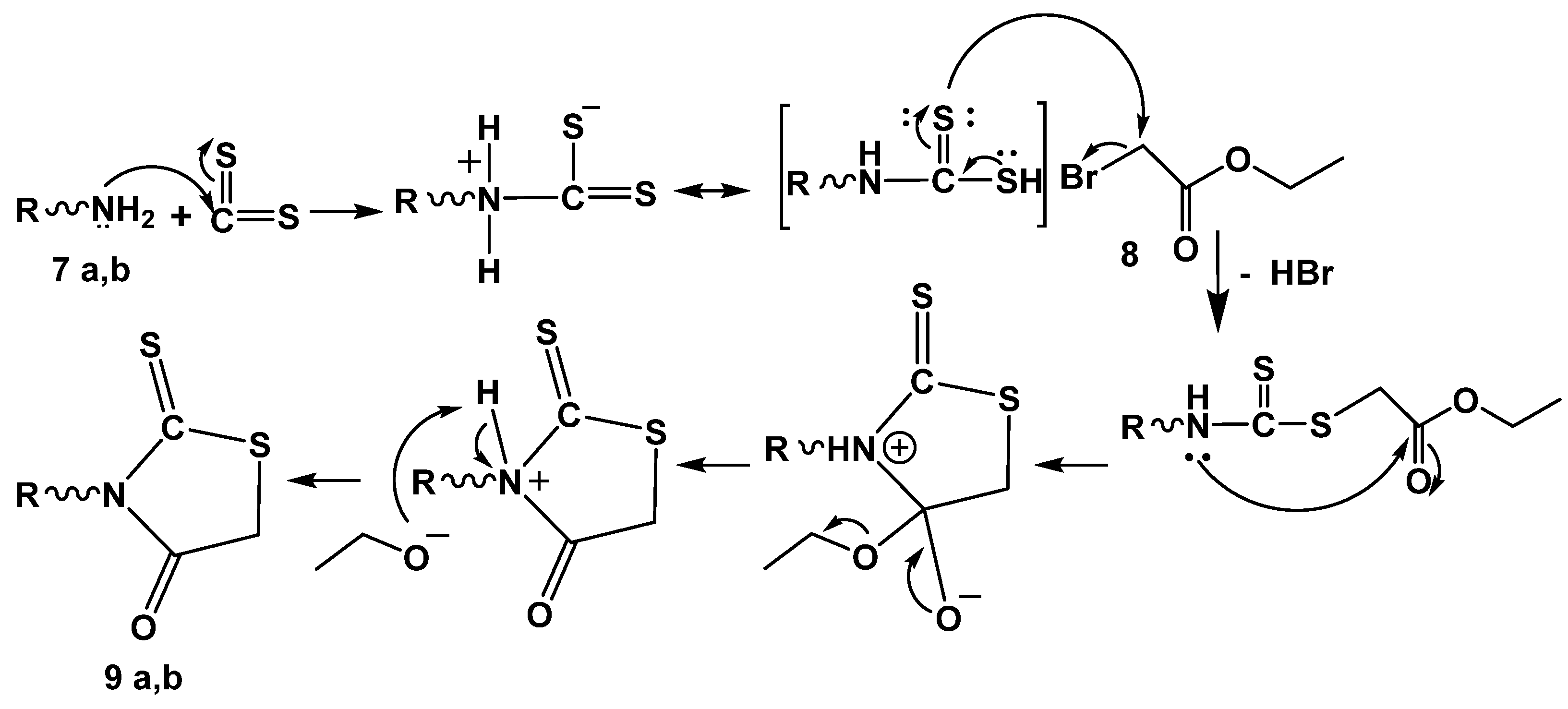
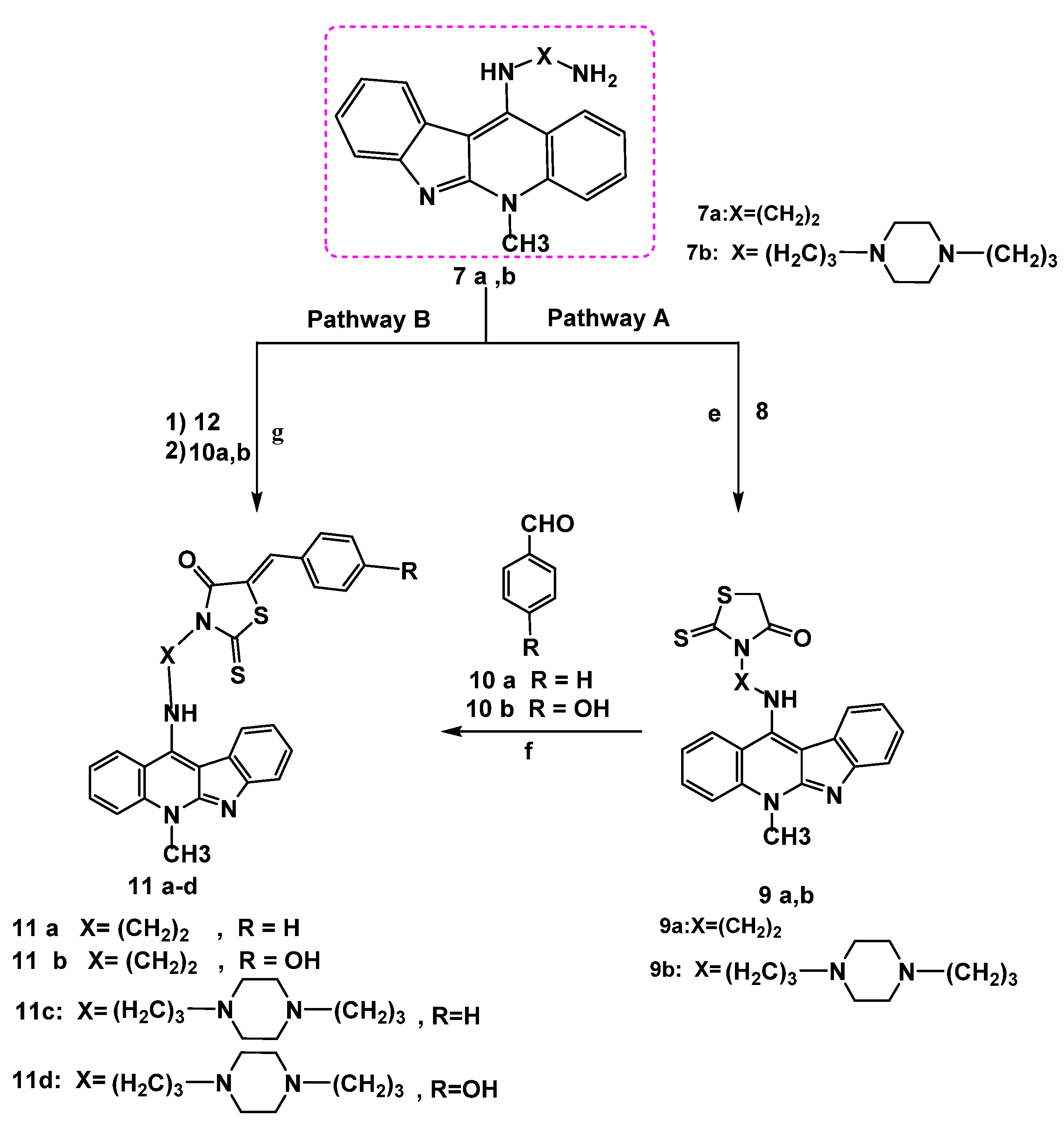
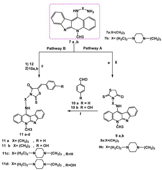
2.1.2. Synthesis of 11-Aminoalkyleneamino Neocryptolepines 7a,b
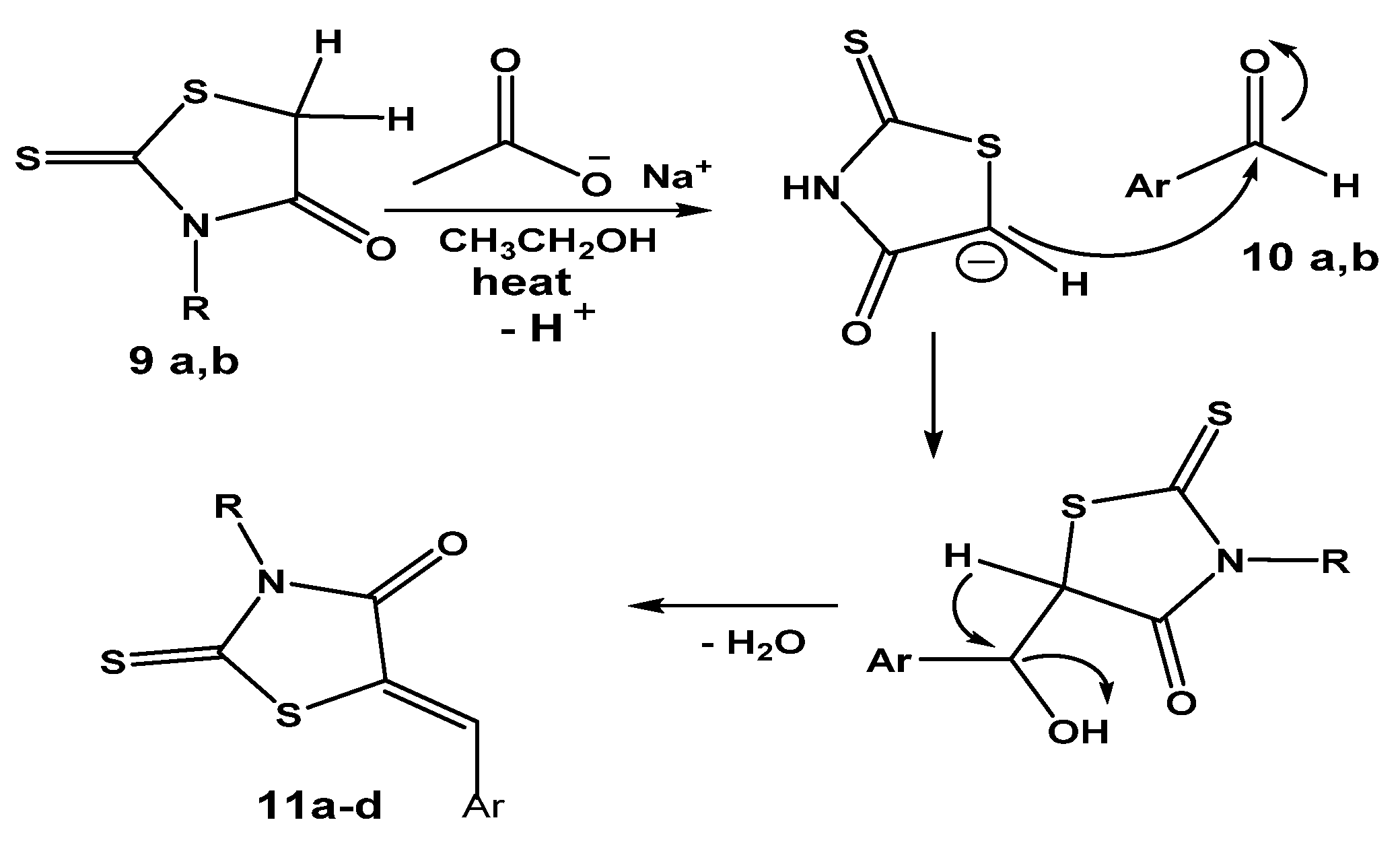
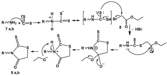
2.1.3. Synthesis of Neocryptolepine–Rhodanine Hybrids
2.1.4. Synthesis of 11-Aminoneocryptolepine–Rhodanine Hybrids 16a,b
2.2. Cytotoxicity Screening
2.2.1. Cell-Cycle Analysis
2.2.2. Apoptosis Assay
2.3. Molecular Docking
2.3.1. Analysis of 1t8i Crystal Structure
2.3.2. Molecular Hydrophobic Potential Analysis
2.3.3. Insilico Pharmacokinetics Evaluation and Drug Likeness
3. Materials and Methods
3.1. Chemistry
3.2. General Procedure for the Synthesis of 11-Aminoalkylene Amino Neocryptolepine Derivatives 7a,b
3.3. Synthesis of Neocryptolepine–rhodanine Hybrids 9a,b
3.4. Representative General Procedure for the Synthesis of Compounds 11a–d
3.4.1. Pathway A
3.4.2. Pathway B: One-Pot Reaction Procedure for the Synthesis of 11a–d
4. Synthesis of 11-Amino Rhodanine Neocryptolepine Hybrid 14
5. General Procedure for the Synthesis of 16a,b
5.1. Molecular Docking
5.2. Molecular Hydrophobic Potential Analysis
6. Conclusions
Supplementary Materials
Author Contributions
Funding
Institutional Review Board Statement
Informed Consent Statement
Data Availability Statement
Acknowledgments
Conflicts of Interest
Sample Availability
References
- Sporn, M.B.; Liby, K.T. Chemoprevention of Cancer: Scientific Promise, Clinical Uncertainty. Nat. Clin. Pract. Oncol. 2005, 2, 518–522. [Google Scholar] [CrossRef] [PubMed]
- Lee, K.H. Discovery and development of natural product-derived chemotherapeutic agents based on a medicinal chemistry approach. J. Nat. Prod. 2010, 73, 500–516. [Google Scholar] [CrossRef] [PubMed]
- Vuorela, P.; Leinonen, M.; Saikku, P.; Tammela, P.; Rauhad, J.-P.; Wennberg, T.; Vuorela, H. Natural products in the process of finding new drug candidates. Curr. Med. Chem. 2004, 11, 1375–1389. [Google Scholar] [CrossRef] [PubMed]
- Sharaf, M.H.H.; Schiff, P.L.; Tackie, J.A.N.; Phoebe, C.H.; Johnson, J.R.L.; Minick, D.; Andrews, C.W.; Crouch, R.C.; Martin, G.E. The isolation and structure determination of cryptomisrine, a novel indolo[3,2-b]quinoline dimeric alkaloid from CryptolePis sanguinolenta. J. Heterocycl. Chem. 1996, 33, 789–797. [Google Scholar] [CrossRef]
- Boye, G.L.; Ampofo, O. Clinical uses of CryptolePis sanguinolenta (AsclePiadaceae). In Proceedings of the 1st International Seminar on CryptolePine, University of Science and Technology, Kumasi, Ghana; 1983; pp. 37–40. [Google Scholar]
- Osafo, N.; Mensah, K.B.; Yeboah, O.K. Phytochemical and Pharmacological Review of CryptolePis sanguinolenta (Lindl.) Schlechter. Adv. Pharmacol. Sci. 2017, 2017, 3026370. [Google Scholar] [CrossRef]
- Ajayi, A.; Akhigbe, R. Antifertility activity of CryptolePis sanguinolenta leaf ethanolic extract in male rats. J. Hum. Reprod. Sci. 2012, 5, 43–47. [Google Scholar]
- Wang, N.; Switalska, M.; Wang, L.; Shaban, E.; Hossain, I.; El-Sayed, I.E.-T.; Wietrzyk, J.; Inokuchi, T. Structural Modifications of Nature-InsPired Indoloquinolines: A Mini Review of Their Potential Antiproliferative Activity. Molecules 2019, 24, 2121–2132. [Google Scholar] [CrossRef]
- El-Gokha, A.A.; Boshta, N.M.; Abo Hussein, M.K.; El Sayed, I.E.T. Synthesis and structure-activity relationships of novel neocryptolepine derivatives. Chem. Res. Chin. Univ. 2017, 33, 373–377. [Google Scholar] [CrossRef]
- Wang, N.; Wicht, J.; Wang, L.; Lu, W.-J.; Misumi, R.; Wang, M.; El Gokha, A.A.; Kaiser, M.; El Sayed, I.E.T.; Egan, J.; et al. Synthesis and in Vitro Testing of Antimalarial Activity of Non-natural-Type Neocryptolepines: Structure–Activity Relationship Study of 2,11- and 9,11-Disubstituted 6-Methylindolo[2,3-b]quinolones. Chem. Pharm. Bull. 2013, 61, 1282–1290. [Google Scholar] [CrossRef]
- El Ashry, E.S.H.; Awada, L.F.; El Sayed, I.; Bdeewya, O.K.H. Microwave irradiation for accelerating the synthesis of acridine and xanthene derivatives from dimedone. Arkivoc 2006, 2, 178–186. [Google Scholar] [CrossRef]
- El-khabiry, S.; Wicht, K.J.; Wang, N.; Mei, Z.-W.; Hayashi, I.; El Gokha, A.A.; Kaiser, M.; El Sayed, I.E.T.; Egan, T.J.; Inokuchi, T. Synthesis and Antimalarial Activity of Some Neocryptolepine Analogues Carrying A Multifunctional Linear and Branched Carbon-Side Chains. Heterocycles 2014, 89, 1055–1064. [Google Scholar]
- Peng, W.; Świtalska, M.; Mei, Z.-W.; Edazawa, Y.; Pang, C.-Q.; El Sayed, I.E.T.; Wietrzyk, J.; Inokuchi, T. Synthesis and in Vitro Antiproliferative Activity of new 11-Aminoalkylamino-Substituted Chromeno[2,3-b]indoles. Eur. J. Med. Chem. 2012, 58, 441–451. [Google Scholar] [CrossRef] [PubMed]
- Altwaijry, N.; El Ghlban, S.I.; El Sayed, I.E.-T.; El-Bahnsawye, M.; Bayomi, A.I.; Samaka, R.M.; Elkhabiry, S.; Elmongy, E.I.; El-Masry, A.; Ahmed, H.M.A.; et al. In Vitro and In Vivo Antitumor Activity of Indolo[2,3-b]quinolines, Natural Product Analogues from Neocryptolepine Alkaloid. Molecules 2021, 26, 754. [Google Scholar] [CrossRef]
- El Sayed, I.E.T.; Ramzy, F.; William, S.; El Bahanasawy, M.; Abdel-Staar, M.M. Neocryptolepine Analogues Containing N-Substituted Side-Chains at C-11: Synthesis and Antischistosomicidal Activity. Med. Chem. Res. 2012, 21, 4219–4229. [Google Scholar]
- El Sayed, I.E.T.; Van der Veken, P.; Dhooghe, L.; Hostyn, S.; Van Baelen, G.; Lemière, G.; Maes, B.U.W.; Cos, P.; Maes, L.; Joossens, J.; et al. Synthesis and Antiplasmodial Activity of Aminoalkyl- aminosubstituted Neocryptolepine Derivatives. J. Med. Chem. 2009, 52, 2979–2988. [Google Scholar] [CrossRef] [PubMed]
- El Bardicy, S.; El Sayed, I.E.T.; Yousif, F.; El Bahansawye, M.; Van der Veken, P.; Haemers, A.; Augustyns, K.; Pieters, L. Schistosomicidal and Molluscicidal Activities of Aminoalkylamino Substituted Neo- and Norneocryptolepine Derivatives. Pharm. Biol. 2012, 50, 134–140. [Google Scholar] [CrossRef] [PubMed][Green Version]
- Murugana, R.; Anbazhagan, S.; Narayanan, S.S. Synthesis and in vivo antidiabetic activity of novel disPiropyrrolidines through [3 + 2] cycloaddition reactions with a thiazolidinedione and rhodanine derivatives. Eur. J. Med. Chem. 2009, 44, 3272–3279. [Google Scholar] [CrossRef] [PubMed]
- Bergman, J.; Engavist, R.; Stalhandskec, C.; Wallberg, H. Studies of the reactions between indole-2,3-diones (isatins) and 2-aminobenzylamine. Tetrahedron 2003, 59, 1033–1048. [Google Scholar] [CrossRef]
- Sebeka, A.A.H.; Osman, A.M.A.; El-Sayed, I.E.T.; El Bahanasawy, M.; Tantawy, M.M.A. Synthesis and Antiproliferative Activity of Novel Neocryptolepine-Hydrazides Hybrids. J. Appl. Pharm. Sci. 2017, 7, 9–15. [Google Scholar]
- Ahmad Khairul Daniel bin Ahmad Kamar, Lim Ju Yin, Chin Tze Liang, Gan Tjin Fung, Vasudeva Rao Avupati, Rhodanine scaffold: A review of antidiabetic potential and structure–activity relationships (SAR). Med. Drug Discov. 2022, 15, 100131. [CrossRef]
- Tintori, C.; Iovenitti, G.; Ceresola, E.R.; Ferrarese, R.; Zamperini, C.; Brai, A.; Poli, G.; Dreassi, E.; Cagno, V.; Lembo, D. Rhodanine derivatives as potent anti-HIV and anti-HSV microbicides. PLoS ONE 2018, 13, e0198478. [Google Scholar] [CrossRef] [PubMed]
- Rajamaki, S.; Innitzer, A.; Falciani, C.; Tintori, C.; Christ, F.; Witvrouw, M. Exploration of novel thiobarbituric acid, rhodanine- and thiohydantoin-based HIV-1 integrase inhibitors. Bioorg. Med. Chem. Lett. 2009, 19, 3615–3618. [Google Scholar] [CrossRef] [PubMed]
- El-Miligy, M.M.M.; Hazzaa, A.A.; El-Messmary, H.; Nassra, R.A.; El-Hawash, S.A.M. New hybrid molecules combining benzothiophene or benzofuran with rhodanine as dual COX-1/2 and 5-LOX inhibitors: Synthesis, biological evaluation and docking study. Bioorg. Chem. 2017, 72, 102–115. [Google Scholar] [CrossRef] [PubMed]
- Kerru, N.; Maddila, S.N.; Maddila, S.; Sobhanapuram, S.; Jonnalagadda, S.B. Synthesis and antimicrobial activity of novel thienopyrimidine linked rhodanine derivatives. Can. J. Chem. 2019, 97, 94–99. [Google Scholar] [CrossRef]
- Takasu, K.; Inoue, H.; Kim, H.S.; Suzuki, M.; Shishido, T.; Wataya, Y.; Ihara, M. Rhodacyanine dyes as antimalarials. 1. Preliminary evaluation of their activity and toxicity. J. Med. Chem. 2002, 45, 995–998. [Google Scholar] [CrossRef]
- Chauhan, K.; Sharma, M.; Singh, P.; Kumar, V.; Shukla, P.K.; Siddiqi, M.I.; Chauhan, P.M.S. Discovery of a new class of dithiocarbamates and rhodanine scaffolds as potent antifungal agents: Synthesis, biology and molecular docking. MedChemComm 2012, 3, 1104–1110. [Google Scholar] [CrossRef]
- Sortino, M.; Delgado, P.; Juarez, S.; Quiroga, J.; Abonıa, R.; Insuasty, B. Synthesis and antifungal activity of (Z)-5-arylidenerhodanines. Bioorg. Med. Chem. 2007, 15, 484–494. [Google Scholar] [CrossRef]
- Dayam, R.; Sanchez, T.; Neamati, N. β-Diketo acid pharmacophore. 1. Discovery of structurally diverse inhibitors of HIV-1 integrase inhibitors. J. Med. Chem. 2005, 48, 111–120. [Google Scholar] [CrossRef]
- Shepeta, Y.; Lozynskyi, A.; Tomkiv, Z.; Grellie, P.; Lesyk, R. Synthesis and evaluation of the biological activity of rhodanine-pyrazoline hybrid molecules with 2-(2,6-dichlorophenylamino)-phenylacetamide fragment. Biopolym. Cell 2020, 36, 133–145. [Google Scholar] [CrossRef]
- Coulibaly, W.K.; Paquin, L.; Bénie, A.; Békro, Y.-A.; Le Guével, R.; Ravache, M.; Corlu, A.; Bazureau, J.P. Prospective study directed to the synthesis of unsymmetrical linked bis-5-arylidene rhodanine derivatives via “one-pot two steps” reactions under microwave irradiation with their antitumor activity. Med. Chem. Res. 2015, 24, 1653–1661. [Google Scholar] [CrossRef]
- Li, W.; Zhai, X.; Zhong, Z.; Li, G.; Pu, Y.; Gong, P. Design, synthesis and evaluation of novel rhodanine-containing sorafenib analogs as potential antitumor agents. Arch. Pharm. 2011, 344, 349–357. [Google Scholar] [CrossRef] [PubMed]
- Guiheneuf, S.; Paquin, L.; Carreaux, F.; Durieu, E.; Benedetti, H.; Le Guevel, R. Dispacamide A Derivatives Bearing a Thiazolinone Platform, Biological Assays on Inhibition of Protein Kinases and Cell Effects. Curr. Microw. Chem. 2014, 1, 33–40. [Google Scholar] [CrossRef]
- Xia, Z.; Knaak, C.; Ma, J.; Beharry, Z.; McInnes, M.C.; Wang, W.; Kraft, A.S.; Smith, C.D. Synthesis and evaluation of novel inhibitors of Pim-1 and Pim-2 protein kinases. J. Med. Chem. 2009, 52, 74–86. [Google Scholar] [CrossRef] [PubMed]
- Xie, S.O.; Chen, Y.S.; Wand, G.Q.; Duan, N.N.; Wen, X.Y.; Cao, T.Y.; Yin, J.; Wang, W.; Hu, G.Q.; Huang, W.L. Synthesis and antitumor evaluation of s-triazolothiadiazines and pyrazolo s-triazoles derived from ciprofloxacin. Acta Pharm. Sin 2012, 47, 66–71. [Google Scholar]
- Zidar, N.; Tomasic, T.; Sink, R.; Rupnik, V.; Kovac, A.; Turk, S.; Patin, D.; Blanot, D.; Contreras-Martel, C.; Dessen, A. Discovery of novel 5-benzylidenerhodanine and 5-benzylidenethiazolidine-2,4-dione inhibitors of MurD ligase. J. Med. Chem. 2010, 53, 6584–6594. [Google Scholar] [CrossRef]
- Khatun, M.; Ray, R.; Ray, B.R. chapter Three—Hepatic C virus associated hepatocellular carcinoma. Adv. Cancer Res. 2021, 149, 103–142. [Google Scholar]
- Siegel, R.L.; Miller, K.D.; Jemal, A. Cancer Statistics. CA Cancer J. Clin. 2020, 70, 7–30. [Google Scholar] [CrossRef]
- Frey, P.A. Low-Barrier Hydrogen Bonds. In Encyclopedia of Biological Chemistry, 2nd ed.; Academic Press: Cambridge, MA, USA, 2013. [Google Scholar]
- Frey, P.A. Low-barrier hydrogen bonds. Science 1995, 268, 189. [Google Scholar] [CrossRef]
- Arthur, D.E.; Uzairu, A. Molecular Docking Studies on the Interaction of NCI Anticancer Analogues with Human Phosphatidylinositol 4,5-Bisphosphate 3-Kinase Catalytic Subunit. J. King Saud Univ. Sci. 2019, 31, 1151–1166. [Google Scholar] [CrossRef]
- Novotný, J.; Bazzi, S.; Marek, R.; Kozelka, J. Lone-Pair-π Interactions: Analysis of the Physical Origin and Biological Implications. Phys. Chem. Chem. Phys. 2016, 18, 19472–19481. [Google Scholar] [CrossRef]
- Daina, A.; Michielin, O.; Zoete, V. SwissADME: A free web tool to evaluate pharmacokinetics, drug-likeness and medicinal chemistry friendliness of small molecules. Sci. Rep. 2017, 7, 42717. [Google Scholar] [CrossRef] [PubMed]
- Elmongy, E.I.; Attallah, N.G.M.; Altwaijry, N.; AlKahtani, M.M.; Henidi, H.A. Design and synthesis of new thiophene/thieno [2,3d]pyrimidines along with their cytotoxic biological evaluation as tyrosine kinase inhibitors in addition to their apoptotic and autophagic induction. Molecules 2021, 27, 123. [Google Scholar] [CrossRef] [PubMed]
- Gupta, M.; Lee, H.J.; Barden, C.J.; Weaver, D.F. The Blood–Brain barrier (BBB) score. J. Med. Chem. 2019, 62, 9824–9836. [Google Scholar] [CrossRef] [PubMed]
- Elmongy, E.I.; Altwaijry, N.; Attallah, N.G.M.; AlKahtani, M.M.; Henidi, H.A. In-Silico Screening of Novel Synthesized Thienopyrimidines Targeting Fms Related Receptor Tyrosine Kinase-3 and Their In-Vitro Biological Evaluation. Pharmaceuticals 2022, 15, 170. [Google Scholar] [CrossRef] [PubMed]
- Emam, A.N.; Loutfy, S.A.; Mostafa, A.A.; Awad, H.M.; Mohamed, M.B. Cyto-toxicity, biocompatibility and cellular response of carbon dots–plasmonic based nano-hybrids for bioimaging. RSC Adv. 2017, 7, 23502–23514. [Google Scholar] [CrossRef]
- Flefel, E.M.; El-Sayed, W.A.; Mohamed, A.M.; El-Sofany, W.I.; Awad, H.M. Synthesis and anticancer activity of new 1-thia-4-azasPiro[4.5]decane, their derived thiazolopyrimidine and 1,3,4-thiadiazole thioglycosides. Molecules 2017, 22, 170. [Google Scholar] [CrossRef]
- Staker, B.L.; Feese, M.D.; Cushman, M.; Pommier, Y.; Zembower, D.; Stewart, L.; Burgin, A.B. Structures of Three Classes of Anticancer Agents Bound to the Human Topoisomerase I−DNA Covalent Complex. J. Med. Chem. 2005, 48, 2336–2345. [Google Scholar] [CrossRef]
- Holt, P.A.; Chaires, J.B.; Trent, J. Molecular Docking of Intercalators and Groove-Binders to Nucleic Acids Using Autodock and Surflex. J. Chem. Inf. Model 2008, 48, 1602–1615. [Google Scholar] [CrossRef]
- Morris, G.M.; Huey, R.; Lindstrom, W.; Sanner, M.F.; Belew, R.K.; Goodsell, D.S.; Olson, A.J. AutoDock4 and AutoDockTools 4: Automated Docking with Selective Receptor Flexibility. J. Comput. Chem. 2009, 30, 2785–2791. [Google Scholar] [CrossRef]
- Forli, S.; Huey, R.; Pique, M.E.; Sanner, M.F.; Goodsell, D.S.; Olson, A.J. Computational Protein–Ligand Docking and Virtual Drug Screening with the AutoDock Suite. Nat. Protoc. 2016, 11, 905–919. [Google Scholar] [CrossRef]
- Pettersen, E.F.; Goddard, T.D.; Huang, C.C.; Couch, G.S.; Greenblatt, D.M.; Meng, E.C.; Ferrin, T.E. UCSF Chimera—A Visualization System for Exploratory Research and Analysis. J. Comput. Chem. 2004, 25, 1605–1612. [Google Scholar] [CrossRef] [PubMed]
- Moemen, Y.S.; El-nahas, A.M.; Helmy, A.; Hassan, E.; Abdel-azeim, S.; El-bialy, S.A.A. Docking and 3D-QSAR Studies on Some HCV NS5b Inhibitors. J. Drug Des. Med. Chem. 2017, 3, 49–59. [Google Scholar]
- Khaerunnisa, S.; Kurniawan, H.; Awaluddin, R.; Suhartati, S. Potential Inhibitor of COVID-19 Main Protease (Mpro) from Several Medicinal Plant Compounds by Molecular Docking Study. Preprints 2020, 2020030226. [Google Scholar]
- Meshram, R.J.; Baladhye, V.B.; Gacche, R.; Karale, N.B.K.; Gaikar, R.B. Pharmacophore MapPing Approach for Drug Target Identification: A Chemical Synthesis and in Silico Study on Novel Thiadiazole Compounds. J. Clin. Diagnostic Res. 2017, 11, KF01–KF08. [Google Scholar] [CrossRef] [PubMed]
- Pantos, A.; Tsogas, I.; Paleos, C.M. Guanidinium Group: A Versatile Moiety Inducing Transport and Multi compartmentalization in Complementary Membranes. Biochim. Biophys. Acta 2008, 1778, 811–823. [Google Scholar] [CrossRef]















| Compound Code | IC50 (µM) ± SD | |
|---|---|---|
| MDA-MB-231 | HepG-2 | |
| 9a | 37.7 ± 3.9 | 27.7± 3.8 |
| 9b | 30.0 ± 3.8 | 36.1 ± 4.2 |
| 11c | 22.7 ± 3.1 | 35.6 ± 4.1 |
| 11d | 25.3 ± 3.1 | 25.4± 3.3 |
| 14 | 29.9 ± 3.6 | 23.6 ± 3.8 |
| 16a | 38.8 ± 4.3 | 24.6± 3.3 |
| 16b | 31.9 ± 3.8 | 25.6 ± 3.1 |
| 5-Fluorouracil | 12.0 ± 2.5 | 28.0 ± 2.3 |
| Molecule | M.Wt | HBA | HBD | MR | TPSA | GI absorption | BBB | iLogP | Bioavailability | Drug Likeness |
|---|---|---|---|---|---|---|---|---|---|---|
| 9a | 406.52 | 2 | 1 | 124.82 | 107.55 | High | 3.64 | 2.98 | 0.55 | 0.41 |
| 9b | 546.75 | 4 | 1 | 174.78 | 114.03 | High | 3.62 | 4.49 | 0.55 | 1.26 |
| 11c | 406.52 | 2 | 1 | 124.82 | 107.55 | High | 2.99 | 5.62 | 0.55 | 1.03 |
| 11d | 650.86 | 5 | 2 | 206.42 | 134.26 | Low | 2.16 | 5.05 | 0.55 | 1.07 |
| 14 | 378.47 | 2 | 1 | 115.21 | 107.55 | High | 3.74 | 2.64 | 0.55 | 0.22 |
| 16a | 484.57 | 3 | 1 | 144.78 | 107.55 | Low | 3.34 | 4.07 | 0.55 | 0.32 |
| 16b | 472.61 | 2 | 1 | 142.69 | 135.79 | Low | 3.39 | 3.76 | 0.55 | −0.02 |
Publisher’s Note: MDPI stays neutral with regard to jurisdictional claims in published maps and institutional affiliations. |
© 2022 by the authors. Licensee MDPI, Basel, Switzerland. This article is an open access article distributed under the terms and conditions of the Creative Commons Attribution (CC BY) license (https://creativecommons.org/licenses/by/4.0/).
Share and Cite
El-Bahnsawye, M.; Hussein, M.K.A.; Elmongy, E.I.; Awad, H.M.; Tolan, A.A.E.-K.; Moemen, Y.S.; El-Shaarawy, A.; El-Sayed, I.E.-T. Design, Synthesis, and Antiproliferative Activity of Novel Neocryptolepine–Rhodanine Hybrids. Molecules 2022, 27, 7599. https://doi.org/10.3390/molecules27217599
El-Bahnsawye M, Hussein MKA, Elmongy EI, Awad HM, Tolan AAE-K, Moemen YS, El-Shaarawy A, El-Sayed IE-T. Design, Synthesis, and Antiproliferative Activity of Novel Neocryptolepine–Rhodanine Hybrids. Molecules. 2022; 27(21):7599. https://doi.org/10.3390/molecules27217599
Chicago/Turabian StyleEl-Bahnsawye, Mohamed, Mona K. Abo Hussein, Elshaymaa I. Elmongy, Hanem Mohamed Awad, Aliaa Abd El-Kader Tolan, Yasmine Shafik Moemen, Ahmed El-Shaarawy, and Ibrahim El-Tantawy El-Sayed. 2022. "Design, Synthesis, and Antiproliferative Activity of Novel Neocryptolepine–Rhodanine Hybrids" Molecules 27, no. 21: 7599. https://doi.org/10.3390/molecules27217599
APA StyleEl-Bahnsawye, M., Hussein, M. K. A., Elmongy, E. I., Awad, H. M., Tolan, A. A. E.-K., Moemen, Y. S., El-Shaarawy, A., & El-Sayed, I. E.-T. (2022). Design, Synthesis, and Antiproliferative Activity of Novel Neocryptolepine–Rhodanine Hybrids. Molecules, 27(21), 7599. https://doi.org/10.3390/molecules27217599

