Immobilization of Penicillin G Acylase on Vinyl Sulfone-Agarose: An Unexpected Effect of the Ionic Strength on the Performance of the Immobilization Process
Abstract
1. Introduction
2. Results
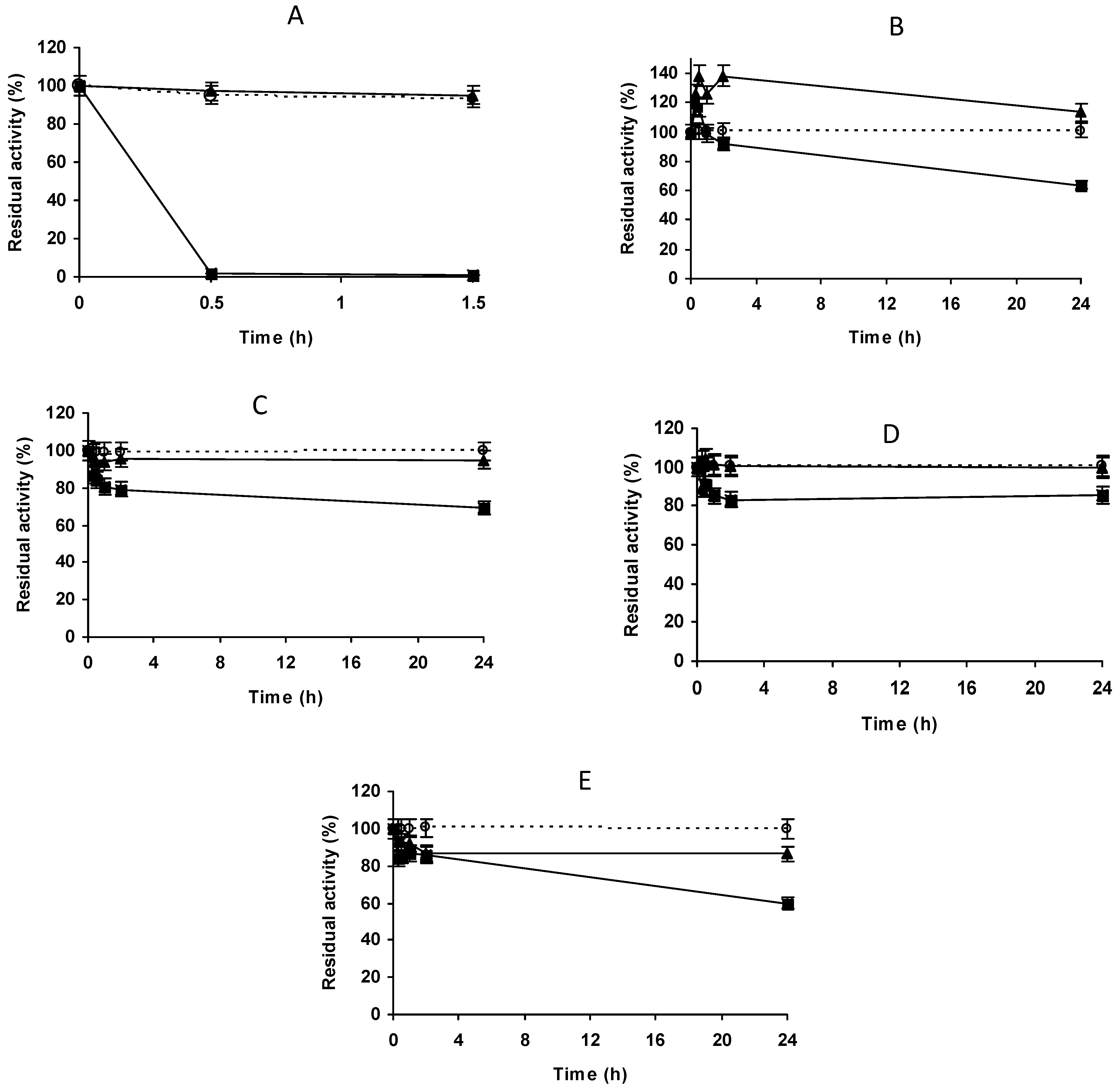
2.1. Immobilization of PGA on VS Agarose Beads
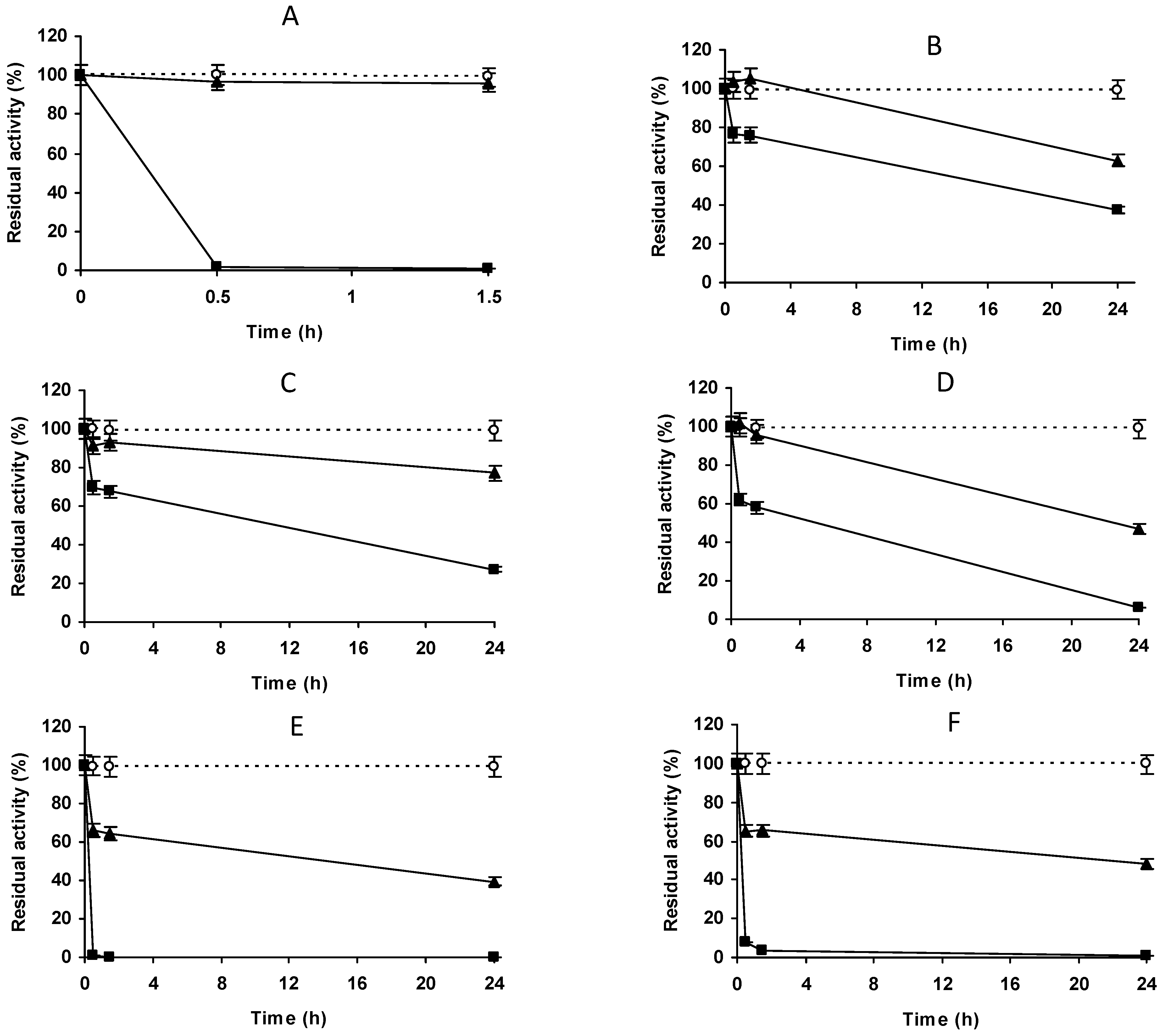
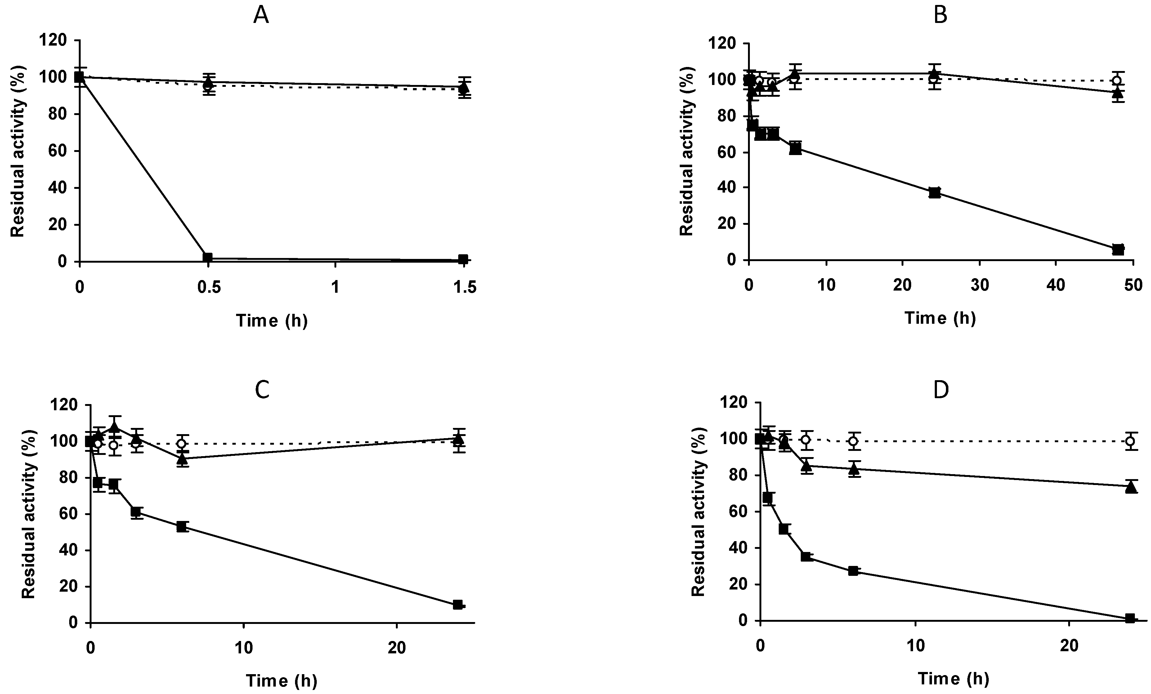
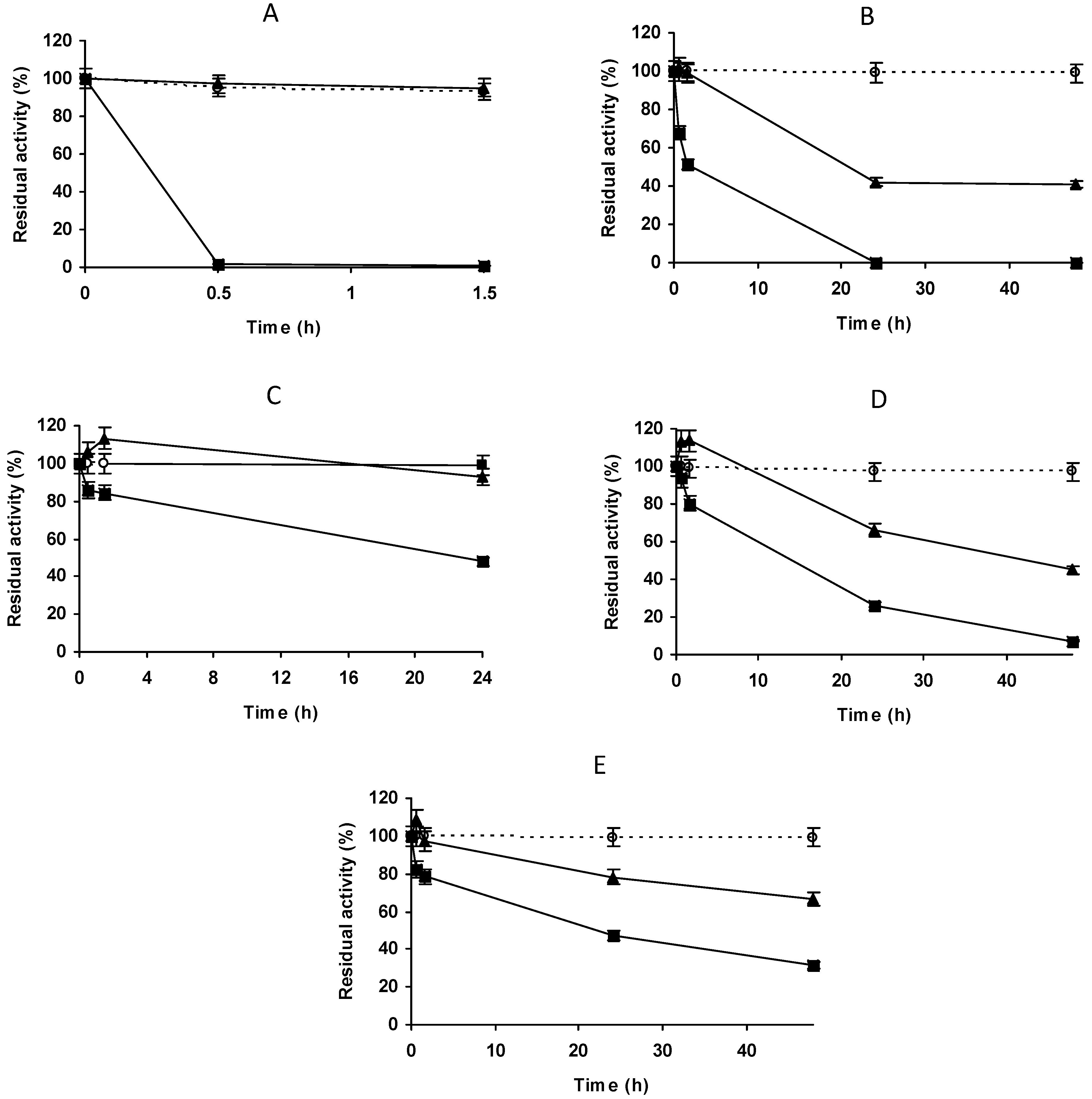
2.2. Effect of the Ion Strength on PGA Immobilization on Vinyl Sulfone Agarose Beads
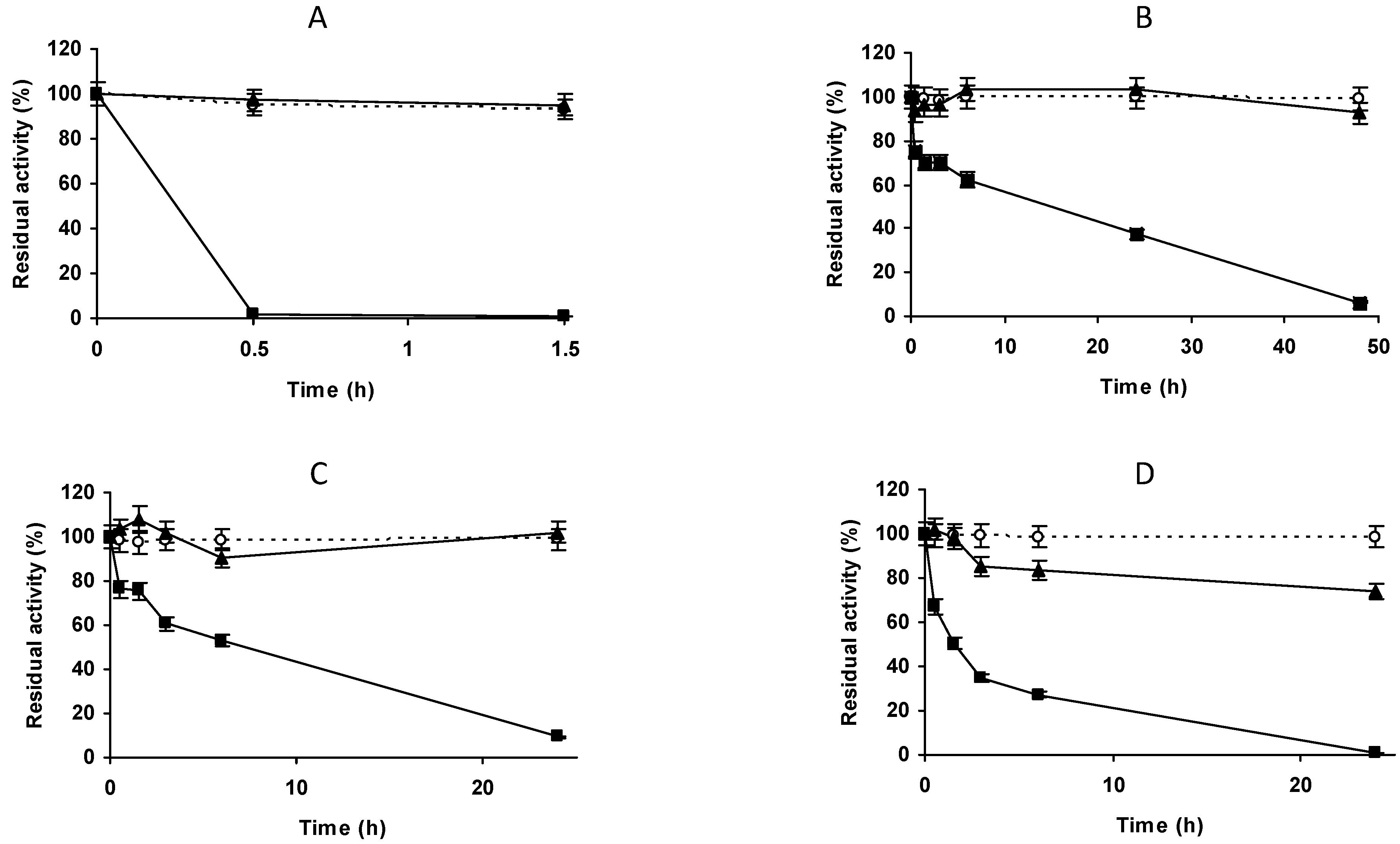
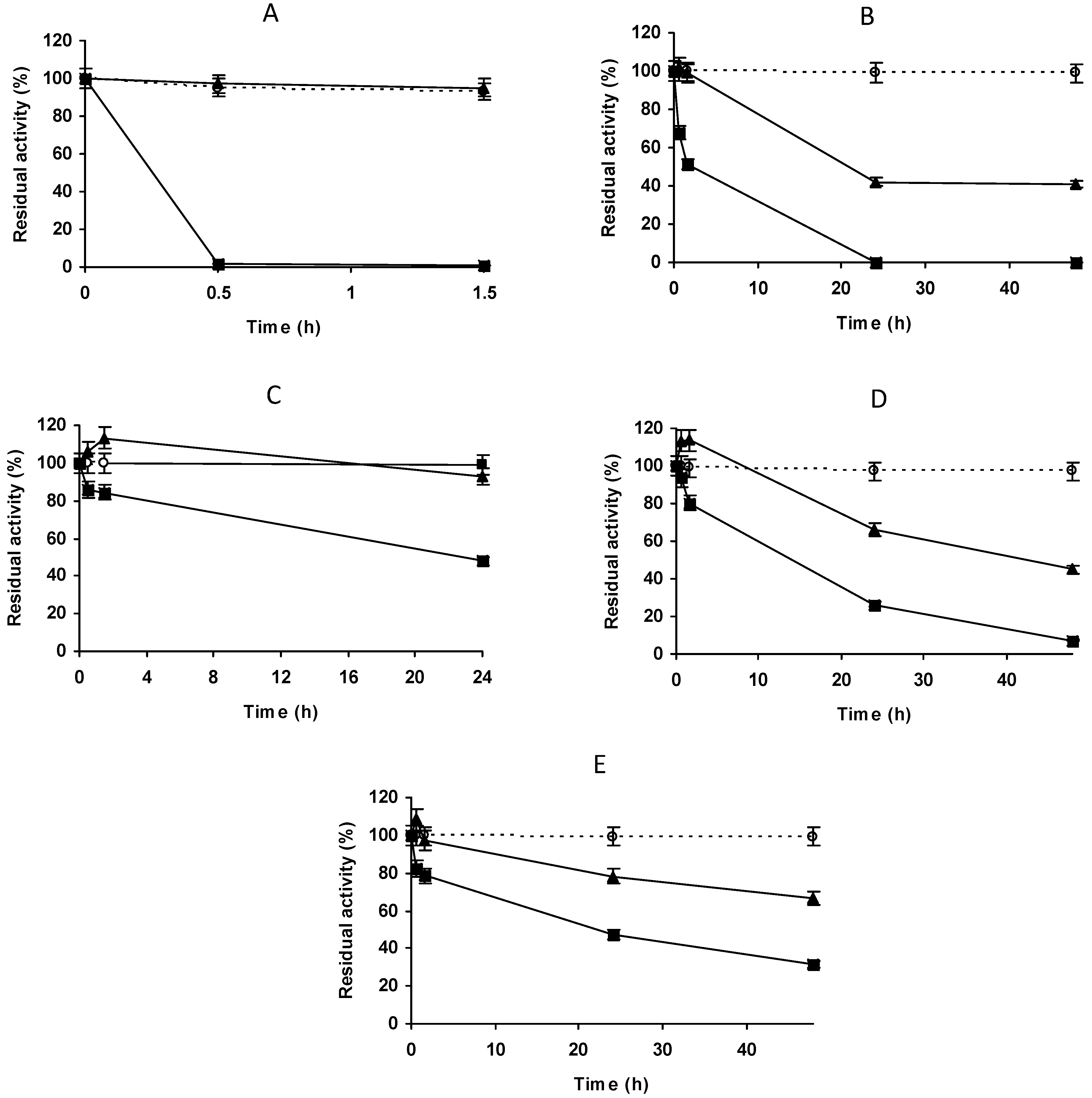
2.3. Effect of Different Experimental Conditions of the Different Steps of the PGA-VS-Agarose Biocatalyst Preparation oniIts Final Features
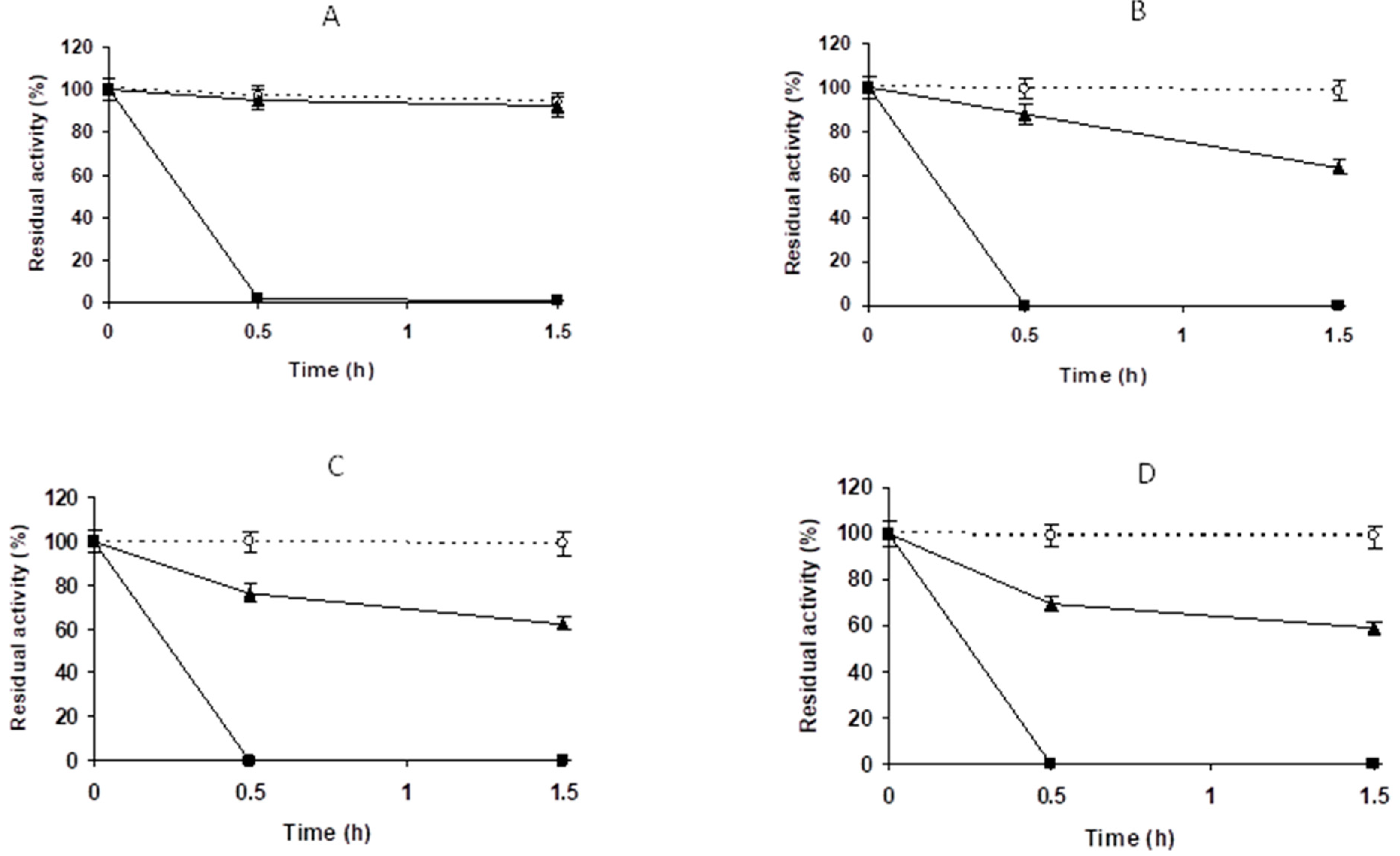
2.3.1. Effect of the Immobilization pH
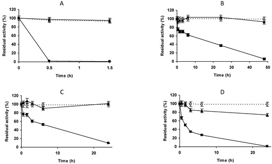
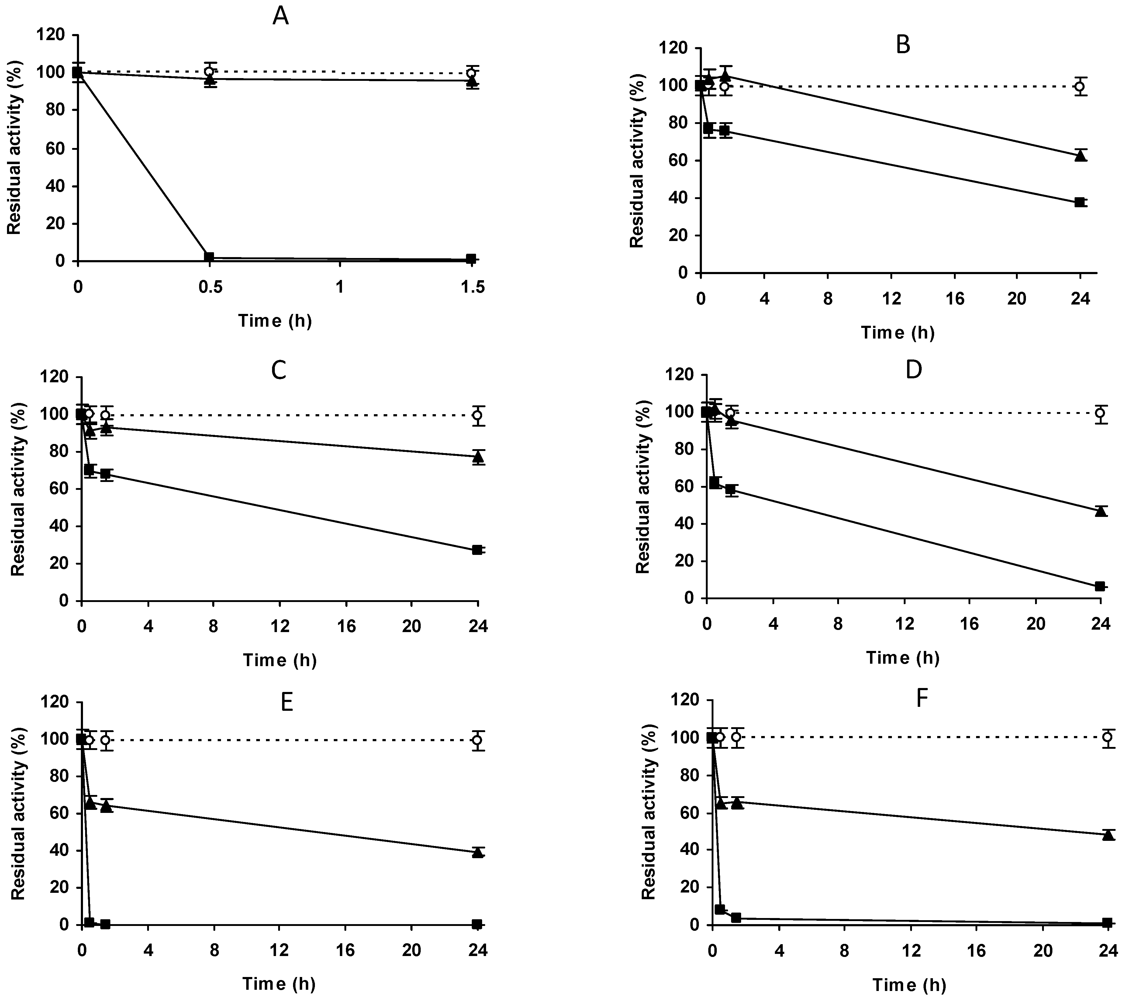
2.3.2. Effect of Incubation Conditions
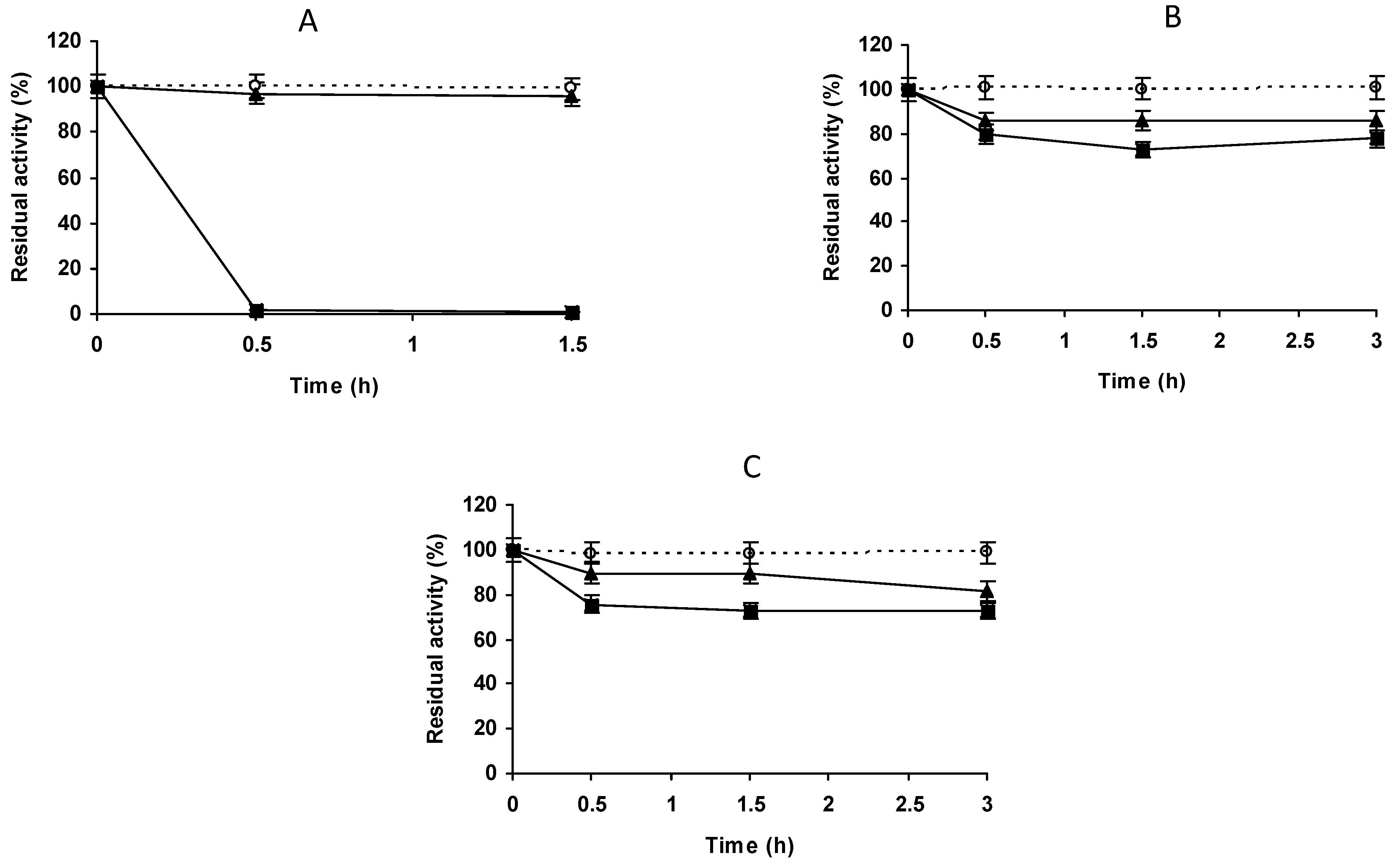
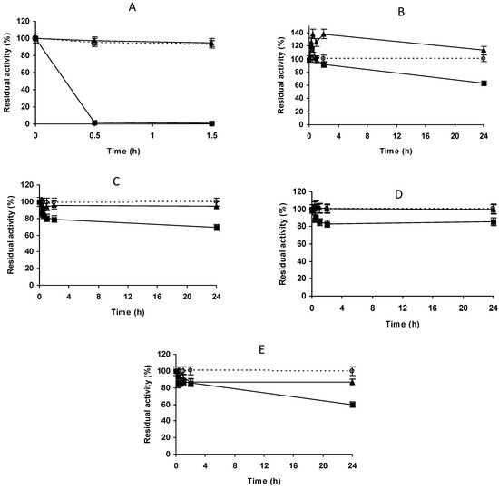
2.3.3. Effect of the Blocking Step
3. Materials and Methods
3.1. Materials
3.2. Methods
3.2.1. Preparation of VS Agarose Beads
3.2.2. Determination of Protein Concentration
3.2.3. Enzyme Activity Assay
3.2.4. PGA Immobilization on Vinyl Sulfone Agarose Beads
3.2.5. Thermal Inactivation of the Different Biocatalysts
4. Conclusions
Author Contributions
Funding
Institutional Review Board Statement
Informed Consent Statement
Data Availability Statement
Acknowledgments
Conflicts of Interest
Sample Availability
References
- Sheldon, R.A.; Woodley, J.M. Role of biocatalysis in sustainable chemistry. Chem. Rev. 2018, 118, 801–838. [Google Scholar] [CrossRef] [PubMed]
- Woodley, J.M. Ensuring the sustainability of biocatalysis. ChemSusChem 2022, 202102683, 1–5. [Google Scholar] [CrossRef] [PubMed]
- Woodley, J.M. New frontiers in biocatalysis for sustainable synthesis. Curr. Opin. Green Sustain. Chem. 2020, 21, 22–26. [Google Scholar] [CrossRef]
- Alcántara, A.R.; Domínguez de María, P.; Littlechild, J.A.; Schürmann, M.; Sheldon, R.A.; Wohlgemuth, R. Biocatalysis as key to sustainable industrial chemistry. ChemSusChem 2022, 15, 202102709. [Google Scholar]
- Sheldon, R.A.; Brady, D. Green chemistry, biocatalysis, and the chemical industry of the future. ChemSusChem 2022, 15, 202102628. [Google Scholar] [CrossRef]
- Ren, C.; Wen, X.; Mencius, J.; Quan, S. Selection and screening strategies in directed evolution to improve protein stability. Bioresour. Bioprocess. 2019, 6, 53. [Google Scholar] [CrossRef]
- Socha, R.D.; Tokuriki, N. Modulating protein stability-directed evolution strategies for improved protein function. FEBS J. 2013, 280, 5582–5595. [Google Scholar] [CrossRef]
- Mateljak, I.; Monza, E.; Lucas, M.F.; Guallar, V.; Aleksejeva, O.; Ludwig, R.; Leech, D.; Shleev, S.; Alcalde, M. Increasing redox potential, redox mediator activity, and stability in a fungal laccase by computer-guided mutagenesis and directed evolution. ACS Catal. 2019, 9, 4561–4572. [Google Scholar] [CrossRef]
- Fan, L.-Q.; Li, M.-W.; Qiu, Y.; Chen, Q.; Jiang, S.-J.; Shang, Y.-J.; Zhao, L.-M. Increasing thermal stability of glutamate decarboxylase from Escherichia coli by site-directed saturation mutagenesis and its application in GABA production. J. Biotechnol. 2018, 278, 1–9. [Google Scholar] [CrossRef]
- Akbarzadeh, A.; Pourzardosht, N.; Dehnavi, E.; Ranaei Siadat, S.O.; Zamani, M.R.; Motallebi, M.; Nikzad Jamnani, F.; Aghaeepoor, M.; Barshan Tashnizi, M. Disulfide bonds elimination of endoglucanase II from Trichoderma reesei by site-directed mutagenesis to improve enzyme activity and thermal stability: An experimental and theoretical approach. Int. J. Biol. Macromol. 2018, 120, 1572–1580. [Google Scholar] [CrossRef]
- Zheng, F.; Tu, T.; Wang, X.; Wang, Y.; Ma, R.; Su, X.; Xie, X.; Yao, B.; Luo, H. Enhancing the catalytic activity of a novel GH5 cellulase GtCel5 from Gloeophyllum trabeum CBS 900.73 by site-directed mutagenesis on loop 6. Biotechnol. Biofuels 2018, 11, 76. [Google Scholar] [CrossRef] [PubMed]
- Wu, X.; Tian, Z.; Jiang, X.; Zhang, Q.; Wang, L. Enhancement in catalytic activity of Aspergillus niger XynB by selective site-directed mutagenesis of active site amino acids. Appl. Microbiol. Biotechnol. 2018, 102, 249–260. [Google Scholar] [CrossRef] [PubMed]
- Han, C.; Li, W.; Hua, C.; Sun, F.; Bi, P.; Wang, Q. Enhancement of catalytic activity and thermostability of a thermostable cellobiohydrolase from Chaetomium thermophilum by site-directed mutagenesis. Int. J. Biol. Macromol. 2018, 116, 691–697. [Google Scholar] [CrossRef] [PubMed]
- Lee, J.K.; Jeong, E.; Lee, J.; Jung, M.; Shin, E.; Kim, Y.; Lee, K.; Jung, I.; Kim, D.; Kim, S.; et al. Directed evolution of CRISPR-Cas9 to increase its specificity. Nat. Commun. 2018, 9, 3048. [Google Scholar] [CrossRef] [PubMed]
- Zhao, H.-Y.; Feng, H. Engineering Bacillus pumilus alkaline serine protease to increase its low-temperature proteolytic activity by directed evolution. BMC Biotechnol. 2018, 18, 34. [Google Scholar] [CrossRef]
- Alonso, S.; Santiago, G.; Cea-Rama, I.; Fernandez-Lopez, L.; Coscolín, C.; Modregger, J.; Ressmann, A.K.; Martínez-Martínez, M.; Marrero, H.; Bargiela, R.; et al. Genetically engineered proteins with two active sites for enhanced biocatalysis and synergistic chemo- and biocatalysis. Nat. Catal. 2020, 3, 319–328. [Google Scholar] [CrossRef]
- Santiago, G.; Martínez-Martínez, M.; Alonso, S.; Bargiela, R.; Coscolín, C.; Golyshin, P.N.; Guallar, V.; Ferrer, M. Rational engineering of multiple active sites in an ester hydrolase. Biochemistry 2018, 57, 2245–2255. [Google Scholar] [CrossRef]
- Roda, S.; Fernandez-Lopez, L.; Benedens, M.; Bollinger, A.; Thies, S.; Schumacher, J.; Coscolín, C.; Kazemi, M.; Santiago, G.; Gertzen, C.G.W.; et al. A plurizyme with transaminase and hydrolase activity catalyzes cascade reactions. Angew. Chemie Int. Ed. 2022, 61, e202207344. [Google Scholar] [CrossRef]
- Di Cosimo, R.; Mc Auliffe, J.; Poulose, A.J.; Bohlmann, G. Industrial use of immobilized enzymes. Chem. Soc. Rev. 2013, 42, 6437–6474. [Google Scholar] [CrossRef]
- Iyer, P.V.; Ananthanarayan, L. Enzyme stability and stabilization-Aqueous and non-aqueous environment. Process Biochem. 2008, 43, 1019–1032. [Google Scholar] [CrossRef]
- Bolivar, J.M.; Woodley, J.M.; Fernandez-Lafuente, R. Is enzyme immobilization a mature discipline? Some critical considerations to capitalize on the benefits of immobilization. Chem. Soc. Rev. 2022, 51, 6251–6290. [Google Scholar] [CrossRef] [PubMed]
- Rodrigues, R.C.; Berenguer-Murcia, Á.; Carballares, D.; Morellon-Sterling, R.; Fernandez-Lafuente, R. Stabilization of enzymes via immobilization: Multipoint covalent attachment and other stabilization strategies. Biotechnol. Adv. 2021, 52, 107821. [Google Scholar] [CrossRef] [PubMed]
- Mateo, C.; Palomo, J.M.; Fernandez-Lorente, G.; Guisan, J.M.; Fernandez-Lafuente, R. Improvement of enzyme activity, stability and selectivity via immobilization techniques. Enzym. Microb. Technol. 2007, 40, 1451–1463. [Google Scholar] [CrossRef]
- Bilal, M.; Asgher, M.; Cheng, H.; Yan, Y.; Iqbal, H.M.N. Multi-point enzyme immobilization, surface chemistry, and novel platforms: A paradigm shift in biocatalyst design. Crit. Rev. Biotechnol. 2019, 39, 202–219. [Google Scholar] [CrossRef] [PubMed]
- Wahab, R.A.; Elias, N.; Abdullah, F.; Ghoshal, S.K. On the taught new tricks of enzymes immobilization: An all-inclusive overview. React. Funct. Polym. 2020, 152, 104613. [Google Scholar] [CrossRef]
- Schmid-Dannert, C.; López-Gallego, F. Advances and opportunities for the design of self-sufficient and spatially organized cell-free biocatalytic systems. Curr. Opin. Chem. Biol. 2019, 49, 97–104. [Google Scholar] [CrossRef]
- Bolivar, J.M.; López-Gallego, F. Characterization and evaluation of immobilized enzymes for applications in flow reactors. Curr. Opin. Green Sustain. Chem. 2020, 25, 100349. [Google Scholar] [CrossRef]
- Rodrigues, R.C.; Ortiz, C.; Berenguer-Murcia, Á.; Torres, R.; Fernández-Lafuente, R. Modifying enzyme activity and selectivity by immobilization. Chem. Soc. Rev. 2013, 42, 6290–6307. [Google Scholar] [CrossRef]
- Garcia-Galan, C.; Berenguer-Murcia, Á.; Fernandez-Lafuente, R.; Rodrigues, R.C. Potential of different enzyme immobilization strategies to improve enzyme performance. Adv. Synth. Catal. 2011, 353, 2885–2904. [Google Scholar] [CrossRef]
- Barbosa, O.; Ortiz, C.; Berenguer-Murcia, Á.; Torres, R.; Rodrigues, R.C.; Fernandez-Lafuente, R. Strategies for the one-step immobilization-purification of enzymes as industrial biocatalysts. Biotechnol. Adv. 2015, 33, 435–456. [Google Scholar] [CrossRef]
- Liese, A.; Hilterhaus, L. Evaluation of immobilized enzymes for industrial applications. Chem. Soc. Rev. 2013, 42, 6236–6249. [Google Scholar] [CrossRef] [PubMed]
- Self, D.A.; Kay, G.; Lilly, M.D.; Dunnill, P. The conversion of benzyl penicillin to 6-aminopenicillanic acid using an insoluble derivative of penicillin amidase. Biotechnol. Bioeng. 1969, 11, 337–348. [Google Scholar] [CrossRef] [PubMed]
- Matsumoto, K. Production of 6-APA, 7-ACA, and 7-ADCA by immobilized penicillin and cephalosporin amidases. Bioprocess Technol. 1993, 16, 67–88. [Google Scholar] [PubMed]
- Warburton, D.; Dunnill, P.; Lilly, M.D. Conversion of benzylpenicillin to 6-aminopenicillanic acid in a batch reactor and continuous feed stirred tank reactor using immobilized penicillin amidase. Biotechnol. Bioeng. 1973, 15, 13–25. [Google Scholar] [CrossRef]
- Valle, F.; Balba’s, P.; Merino, E.; Bollvar, F. The role of penicillin amidases in nature and in industry. Trends Biochem. Sci. 1991, 16, 36–40. [Google Scholar] [CrossRef]
- Zmijewski, M.J.; Briggs, B.S.; Thompson, A.R.; Wright, I.G. Enantioselective acylation of a beta-lactam intermediate in the synthesis of loracarbef using penicillin G amidase. Tetrahedron Lett. 1991, 32, 1621–1622. [Google Scholar] [CrossRef]
- Volpato, G.; Rodrigues, R.C.; Fernandez-Lafuente, R. Use of enzymes in the production of semi-synthetic penicillins and cephalosporins: Drawbacks and perspectives. Curr. Med. Chem. 2010, 17, 3855–3873. [Google Scholar] [CrossRef]
- Giordano, R.C.; Ribeiro, M.P.A.; Giordano, R.L.C. Kinetics of β-lactam antibiotics synthesis by penicillin G acylase (PGA) from the viewpoint of the industrial enzymatic reactor optimization. Biotechnol. Adv. 2006, 24, 27–41. [Google Scholar] [CrossRef]
- Kasche, V.; Haufler, U.; Zöllner, R. Kinetic studies on the mechanism of the penicillin amidase-catalysed synthesis of ampicillin and benzylpenicillin. Hoppe-Seyler’s Z. Für Physiol. Chem. 1984, 365, 1435–1444. [Google Scholar] [CrossRef]
- Kasche, V.; Galunsky, B. Ionic strength and pH effects in the kinetically controlled synthesis of benzylpenicillin by nucleophilic deacylation of pree and immobilized phenyl-acetyl-penicillin amidase with 6-aminopenicillanic acid. Biochem. Biophys. Res. Commun. 1982, 104, 1215–1222. [Google Scholar] [CrossRef]
- Bruggink, A.; Roos, E.C.; de Vroom, E. Penicillin acylase in the industrial production of β-lactam antibiotics. Org. Process Res. Dev. 1998, 2, 128–133. [Google Scholar] [CrossRef]
- Arroyo, M.; de la Mata, I.; Acebal, C.; Pilar Castillón, M. Biotechnological applications of penicillin acylases: State-of-the-art. Appl. Microbiol. Biotechnol. 2003, 60, 507–514. [Google Scholar] [CrossRef]
- Schumacher, G.; Sizmann, D.; Haug, H.; Buckel, P.; Böck, A. Penicillin acylase from E. coli: Unique gene-protein relation. Nucleic Acids Res. 1986, 14, 5713–5727. [Google Scholar] [CrossRef] [PubMed][Green Version]
- Chandel, A.K.; Rao, L.V.; Narasu, M.L.; Singh, O.V. The realm of penicillin G acylase in β-lactam antibiotics. Enzym. Microb. Technol. 2008, 42, 199–207. [Google Scholar] [CrossRef]
- Kasche, V.; Lummer, K.; Nurk, A.; Piotraschke, E.; Rieks, A.; Stoeva, S.; Voelter, W. Intramolecular autoproteolysis initiates the maturation of penicillin amidase from Escherichia coli. Biochim. Biophys. Acta-Protein Struct. Mol. Enzymol. 1999, 1433, 76–86. [Google Scholar] [CrossRef]
- Duggleby, H.J.; Tolley, S.P.; Hill, C.P.; Dodson, E.J.; Dodson, G.; Moody, P.C.E. Penicillin acylase has a single-amino-acid catalytic centre. Nature 1995, 373, 264–268. [Google Scholar] [CrossRef] [PubMed]
- Done, S.H.; Brannigan, J.A.; Moody, P.C.E.; Hubbard, R.E. Ligand-induced conformational change in penicillin acylase. J. Mol. Biol. 1998, 284, 463–475. [Google Scholar] [CrossRef]
- Kallenberg, A.I.; van Rantwijk, F.; Sheldon, R.A. Immobilization of penicillin G acylase: The key to optimum performance. Adv. Synth. Catal. 2005, 347, 905–926. [Google Scholar] [CrossRef]
- Sheldon, R.A. Enzyme immobilization: The quest for optimum performance. Adv. Synth. Catal. 2007, 349, 1289–1307. [Google Scholar] [CrossRef]
- Cao, L.; Van Rantwijk, F.; Sheldon, R.A. Cross-linked enzyme aggregates: A simple and effective method for the immobilization of penicillin acylase. Org. Lett. 2000, 2, 1361–1364. [Google Scholar] [CrossRef]
- Guisán, J. Aldehyde-agarose gels as activated supports for immobilization-stabilization of enzymes. Enzym. Microb. Technol. 1988, 10, 375–382. [Google Scholar] [CrossRef]
- Alvaro, G.; Fernandez-Lafuente, R.; Blanco, R.M.; Guisán, J.M. Immobilization-stabilization of penicillin G acylase from Escherichia coli. Appl. Biochem. Biotechnol. 1990, 26, 181–195. [Google Scholar] [CrossRef] [PubMed]
- Mateo, C.; Abian, O.; Fernandez–Lafuente, R.; Guisan, J.M. Increase in conformational stability of enzymes immobilized on epoxy-activated supports by favoring additional multipoint covalent attachment. Enzym. Microb. Technol. 2000, 26, 509–515. [Google Scholar] [CrossRef]
- Mateo, C.; Abian, O.; Fernández-Lorente, G.; Pedroche, J.; Fernández-Lafuente, R.; Guisan, J.M.; Tam, A.; Daminati, M. Epoxy sepabeads: A novel epoxy support for stabilization of industrial enzymes via very intense multipoint covalent attachment. Biotechnol. Prog. 2002, 18, 629–634. [Google Scholar] [CrossRef]
- Abian, O.; Grazú, V.; Hermoso, J.; González, R.; García, J.L.; Fernández-Lafuente, R.; Guisán, J.M. Stabilization of penicillin G acylase from Escherichia coli: Site-directed mutagenesis of the protein surface to increase multipoint covalent attachment. Appl. Environ. Microbiol. 2004, 70, 1249–1251. [Google Scholar] [CrossRef]
- Grazú, V.; López-Gallego, F.; Montes, T.; Abian, O.; González, R.; Hermoso, J.A.; García, J.L.; Mateo, C.; Guisán, J.M. Promotion of multipoint covalent immobilization through different regions of genetically modified penicillin G acylase from E. coli. Process Biochem. 2010, 45, 390–398. [Google Scholar] [CrossRef]
- Montes, T.; Grazú, V.; López-Gallego, F.; Hermoso, J.A.; García, J.L.; Manso, I.; Galán, B.; González, R.; Fernández-Lafuente, R.; Guisán, J.M. Genetic modification of the penicillin G acylase surface to improve its reversible immobilization on ionic exchangers. Appl. Environ. Microbiol. 2007, 73, 312–319. [Google Scholar] [CrossRef] [PubMed]
- Grazu, V.; López-Gallego, F.; Guisán, J.M. Tailor-made design of penicillin G acylase surface enables its site-directed immobilization and stabilization onto commercial mono-functional epoxy supports. Process Biochem. 2012, 47, 2538–2541. [Google Scholar] [CrossRef]
- Fernandez-Lafuente, R.; Rosell, C.M.; Guisán, J. Enzyme reaction engineering: Synthesis of antibiotics catalysed by stabilized penicillin G acylase in the presence of organic cosolvents. Enzym. Microb. Technol. 1991, 13, 898–905. [Google Scholar] [CrossRef]
- Rosell, C.M.; Terreni, M.; Fernandez-Lafuente, R.; Guisan, J.M. A criterion for the selection of monophasic solvents for enzymatic synthesis. Enzym. Microb. Technol. 1998, 23, 64–69. [Google Scholar] [CrossRef]
- Fernandez-Lafuente, R.; Rosell, C.M.; Guisan, J.M. Dynamic reaction design of enzymic biotransformations in organic media: Equilibrium-controlled synthesis of antibiotics by penicillin G acylase. Biotechnol. Appl. Biochem. 1996, 24, 139–143. [Google Scholar] [PubMed]
- Dos Santos, J.C.S.; Rueda, N.; Barbosa, O.; Fernández-Sánchez, J.F.; Medina-Castillo, A.L.; Ramón-Márquez, T.; Arias-Martos, M.C.; Millán-Linares, M.C.; Pedroche, J.; Yust, M.D.M.; et al. Characterization of supports activated with divinyl sulfone as a tool to immobilize and stabilize enzymes via multipoint covalent attachment. Application to chymotrypsin. RSC Adv. 2015, 5, 20639–20649. [Google Scholar] [CrossRef]
- Turková, J.; Bláha, K.; Malaníková, M.; Vančurová, D.; Švec, F.; Kálal, J. Methacrylate gels with epoxide groups as supports for immobilization of enzymes in pH range 3–12. Biochim. Biophys. Acta-Enzymol. 1978, 524, 162–169. [Google Scholar] [CrossRef]
- Mateo, C.; Abian, O.; Bernedo, M.; Cuenca, E.; Fuentes, M.; Fernandez-Lorente, G.; Palomo, J.M.; Grazu, V.; Pessela, B.C.C.; Giacomini, C.; et al. Some special features of glyoxyl supports to immobilize proteins. Enzym. Microb. Technol. 2005, 37, 456–462. [Google Scholar] [CrossRef]
- Dos Santos, J.C.S.; Rueda, N.; Barbosa, O.; Millán-Linares, M.D.C.; Pedroche, J.; Del Mar Yuste, M.; Gonçalves, L.R.B.; Fernandez-Lafuente, R. Bovine trypsin immobilization on agarose activated with divinylsulfone: Improved activity and stability via multipoint covalent attachment. J. Mol. Catal. B Enzym. 2015, 117, 38–44. [Google Scholar] [CrossRef]
- Albuquerque, T.L.D.; Rueda, N.; Dos Santos, J.C.S.; Barbosa, O.; Ortiz, C.; Binay, B.; Özdemir, E.; Gonçalves, L.R.B.; Fernandez-Lafuente, R. Easy stabilization of interfacially activated lipases using heterofunctional divinyl sulfone activated-octyl agarose beads. Modulation of the immobilized enzymes by altering their nanoenvironment. Process Biochem. 2016, 51, 865–874. [Google Scholar] [CrossRef]
- Dos Santos, J.C.S.; Rueda, N.; Torres, R.; Barbosa, O.; Gonçalves, L.R.B.; Fernandez-Lafuente, R. Evaluation of divinylsulfone activated agarose to immobilize lipases and to tune their catalytic properties. Process Biochem. 2015, 50, 918–927. [Google Scholar] [CrossRef]
- Dos Santos, J.C.S.; Rueda, N.; Sanchez, A.; Villalonga, R.; Gonçalves, L.R.B.; Fernandez-Lafuente, R. Versatility of divinylsulfone supports permits the tuning of CALB properties during its immobilization. RSC Adv. 2015, 5, 35801–35810. [Google Scholar] [CrossRef]
- dos Santos, J.C.S.; Rueda, N.; Gonçalves, L.R.B.; Fernandez-Lafuente, R. Tuning the catalytic properties of lipases immobilized on divinylsulfone activated agarose by altering its nanoenvironment. Enzym. Microb. Technol. 2015, 77, 1–7. [Google Scholar] [CrossRef]
- Paiva Souza, P.M.; Carballares, D.; Lopez-Carrobles, N.; Gonçalves, L.R.B.; Lopez-Gallego, F.; Rodrigues, S.; Fernandez-Lafuente, R. Enzyme-support interactions and inactivation conditions determine Thermomyces lanuginosus lipase inactivation pathways: Functional and florescence studies. Int. J. Biol. Macromol. 2021, 191, 79–91. [Google Scholar] [CrossRef]
- Verger, R. ‘Interfacial activation’ of lipases: Facts and artifacts. Trends Biotechnol. 1997, 15, 32–38. [Google Scholar] [CrossRef]
- Manoel, E.A.; dos Santos, J.C.S.; Freire, D.M.G.; Rueda, N.; Fernandez-Lafuente, R. Immobilization of lipases on hydrophobic supports involves the open form of the enzyme. Enzym. Microb. Technol. 2015, 71, 53–57. [Google Scholar] [CrossRef] [PubMed]
- Rodrigues, R.C.; Virgen-Ortíz, J.J.; dos Santos, J.C.S.; Berenguer-Murcia, Á.; Alcantara, A.R.; Barbosa, O.; Ortiz, C.; Fernandez-Lafuente, R. Immobilization of lipases on hydrophobic supports: Immobilization mechanism, advantages, problems, and solutions. Biotechnol. Adv. 2019, 37, 746–770. [Google Scholar] [CrossRef] [PubMed]
- Zucca, P.; Fernandez-Lafuente, R.; Sanjust, E. Agarose and its derivatives as supports for enzyme immobilization. Molecules 2016, 21, 1577. [Google Scholar] [CrossRef]
- da Rocha, T.N.; Carballares, D.; Guimarães, J.R.; Rocha-Martin, J.; Tardioli, P.W.; Gonçalves, L.R.B.; Fernandez-Lafuente, R. Determination of immobilized lipase stability depends on the substrate and activity determination condition: Stress inactivations and optimal temperature as biocatalysts stability indicators. Sustain. Chem. Pharm. 2022, 29, 100823. [Google Scholar] [CrossRef]
- Fernandez-Lafuente, R.; Rosell, C.M.; Rodriguez, V.; Santana, C.; Soler, G.; Bastida, A.; Guisán, J.M. Preparation of activated supports containing low pK amino groups. A new tool for protein immobilization via the carboxyl coupling method. Enzym. Microb. Technol. 1993, 15, 546–550. [Google Scholar] [CrossRef]
- Zaak, H.; Sassi, M.; Fernandez-Lafuente, R. A new heterofunctional amino-vinyl sulfone support to immobilize enzymes: Application to the stabilization of β-galactosidase from Aspergillus oryzae. Process Biochem. 2018, 64, 200–205. [Google Scholar] [CrossRef]
- Fernández-Lafuente, R.; Rosell, C.M.; Guisán, J.M. The presence of methanol exerts a strong and complex modulation of the synthesis of different antibiotics by immobilized penicillin G acylase. Enzym. Microb. Technol. 1998, 23, 305–310. [Google Scholar] [CrossRef]
- Abian, O.; Wilson, L.; Mateo, C.; Fernández-Lorente, G.; Palomo, J.M.; Fernández-Lafuente, R.; Guisán, J.M.; Re, D.; Tam, A.; Daminatti, M. Preparation of artificial hyper-hydrophilic micro-environments (polymeric salts) surrounding enzyme molecules: New enzyme derivatives to be used in any reaction medium. J. Mol. Catal. B Enzym. 2002, 19–20, 295–303. [Google Scholar] [CrossRef]
- Pedroche, J.; del Mar Yust, M.; Mateo, C.; Fernández-Lafuente, R.; Girón-Calle, J.; Alaiz, M.; Vioque, J.; Guisán, J.M.; Millán, F. Effect of the support and experimental conditions in the intensity of the multipoint covalent attachment of proteins on glyoxyl-agarose supports: Correlation between enzyme-support linkages and thermal stability. Enzym. Microb. Technol. 2007, 40, 1160–1166. [Google Scholar] [CrossRef]
- Barbosa, O.; Torres, R.; Ortiz, C.; Berenguer-Murcia, Á.; Rodrigues, R.C.; Fernandez-Lafuente, R. Heterofunctional supports in enzyme immobilization: From traditional immobilization protocols to opportunities in tuning enzyme properties. Biomacromolecules 2013, 14, 2433–2462. [Google Scholar] [CrossRef] [PubMed]
- Rosell, C.M.; Fernandez-Lafuente, R.; Guisan, J.M. Modification of enzyme properties by the use of inhibitors during their stabilisation by multipoint covalent attachment. Biocatal. Biotransformation 1995, 12, 67–76. [Google Scholar] [CrossRef]
- Morellon-Sterling, R.; Carballares, D.; Arana-Peña, S.; Siar, E.-H.; Braham, S.A.; Fernandez-Lafuente, R. Advantages of supports activated with divinyl sulfone in enzyme coimmobilization: Possibility of multipoint covalent immobilization of the most stable enzyme and immobilization via ion exchange of the least stable enzyme. ACS Sustain. Chem. Eng. 2021, 9, 7508–7518. [Google Scholar] [CrossRef]
- Bradford, M.M. A rapid and sensitive method for the quantitation of microgram quantities of protein utilizing the principle of protein-dye binding. Anal. Biochem. 1976, 72, 248–254. [Google Scholar] [CrossRef]
- Kutzbach, C.; Rauenbusch, E. Preparation and general properties of crystalline penicillin acylase from Escherichia coli ATCC 11 105. Hoppe-Seyler’s Z. Für Physiol. Chem. 1974, 355, 45–53. [Google Scholar] [CrossRef] [PubMed]
- Boudrant, J.; Woodley, J.M.; Fernandez-Lafuente, R. Parameters necessary to define an immobilized enzyme preparation. Process Biochem. 2020, 90, 66–80. [Google Scholar] [CrossRef]











| Relative Activity (%) | |||
|---|---|---|---|
| Biocatalyst (Immobilization pH Value) | Immobilization | Incubation | Blocking |
| pH 7 | 88.60 ± 4.41 | 70.50 ± 3.87 | 75.25 ± 3.26 |
| pH 8 | 77.53 ± 3.87 | 63.13 ± 3.16 | 70.32 ± 3.51 |
| pH 9 | 67.56 ± 3.37 | 57.02 ± 2.85 | 66.41 ± 2.82 |
| Relative Activity (%) | |||
|---|---|---|---|
| Biocatalyst | Immobilization | Incubation | Blocking |
| pH 7 | 92.46 ± 4.62 | 69.37 ± 3.46 | 75.54 ± 3.13 |
| pH 8 | 85.86 ± 4.29 | 69.49 ± 3.47 | 72.66 ± 3.10 |
| pH 9 | 87.51 ± 4.37 | 55.36 ± 2.96 | 61.82 ± 2.59 |
| pH 10 | 88.57 ± 4.42 | 35.33 ± 1.76 | 52.69 ± 1.88 |
| Relative Activity (%) | |||
|---|---|---|---|
| Biocatalyst | Immobilization | Incubation | Blocking |
| 1 h | 71.96 ± 3.59 | 40.38 ± 1.52 | 69.14 ± 3.46 |
| 3 h | 90.22 ± 4.51 | 38.85 ± 1.44 | 55.08 ± 3.40 |
| 5 h | 80.21 ± 4.01 | 29.55 ± 1.18 | 50.35 ± 2.76 |
| 24 h | 70.67 ± 3.53 | 26.03 ± 1.30 | 46.42 ± 2.82 |
| 48 h | 83.03 ± 4.15 | 25.44 ± 1.27 | 45.95 ± 3.09 |
| 72 h | 79.15 ± 3.95 | 26.62 ± 1.33 | 45.90 ± 3.35 |
| Relative Activity (%) | |||
|---|---|---|---|
| Biocatalyst | Immobilization | Incubation | Block |
| Glycine | 74.79 ± 3.74 | 40.37 ± 0.72 | 55.75 ± 1.93 |
| Ethanolamine | 75.62 ± 3.78 | 39.67 ± 0.78 | 57.24 ± 2.86 |
| Cysteíne | 82.44 ± 4.12 | 38.95 ± 0.74 | 30.03 ± 1.50 |
| Aspartic | 74.32 ± 3.72 | 40.31 ± 0.76 | 3.40 ± 0.17 |
| Ethylenediamine | 76.67 ± 3.83 | 40.25 ± 0.71 | 40.05 ± 2.01 |
| Glucose | 78.91 ± 3.95 | 41.66 ± 0.78 | 44.87 ± 2.24 |
| β-mercaptoethanol | 73.49 ± 3.67 | 38.02 ± 0.70 | 9.42 ± 0.47 |
Publisher’s Note: MDPI stays neutral with regard to jurisdictional claims in published maps and institutional affiliations. |
© 2022 by the authors. Licensee MDPI, Basel, Switzerland. This article is an open access article distributed under the terms and conditions of the Creative Commons Attribution (CC BY) license (https://creativecommons.org/licenses/by/4.0/).
Share and Cite
da Rocha, T.N.; Morellon-Sterlling, R.; Rocha-Martin, J.; Bolivar, J.M.; Gonçalves, L.R.B.; Fernandez-Lafuente, R. Immobilization of Penicillin G Acylase on Vinyl Sulfone-Agarose: An Unexpected Effect of the Ionic Strength on the Performance of the Immobilization Process. Molecules 2022, 27, 7587. https://doi.org/10.3390/molecules27217587
da Rocha TN, Morellon-Sterlling R, Rocha-Martin J, Bolivar JM, Gonçalves LRB, Fernandez-Lafuente R. Immobilization of Penicillin G Acylase on Vinyl Sulfone-Agarose: An Unexpected Effect of the Ionic Strength on the Performance of the Immobilization Process. Molecules. 2022; 27(21):7587. https://doi.org/10.3390/molecules27217587
Chicago/Turabian Styleda Rocha, Thays N., Roberto Morellon-Sterlling, Javier Rocha-Martin, Juan M. Bolivar, Luciana R. B. Gonçalves, and Roberto Fernandez-Lafuente. 2022. "Immobilization of Penicillin G Acylase on Vinyl Sulfone-Agarose: An Unexpected Effect of the Ionic Strength on the Performance of the Immobilization Process" Molecules 27, no. 21: 7587. https://doi.org/10.3390/molecules27217587
APA Styleda Rocha, T. N., Morellon-Sterlling, R., Rocha-Martin, J., Bolivar, J. M., Gonçalves, L. R. B., & Fernandez-Lafuente, R. (2022). Immobilization of Penicillin G Acylase on Vinyl Sulfone-Agarose: An Unexpected Effect of the Ionic Strength on the Performance of the Immobilization Process. Molecules, 27(21), 7587. https://doi.org/10.3390/molecules27217587

