Advances in Research on Bioactivity, Toxicity, Metabolism, and Pharmacokinetics of Usnic Acid In Vitro and In Vivo
Abstract
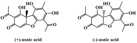
1. Introduction
2. Biological Activity
2.1. Anti-Inflammatory Effects
2.2. Antibacterial and Antiviral Effects
2.3. Antitumor Effects
| Cell Lines | Mechanism | IC50 | Year | Reference |
|---|---|---|---|---|
| Human gastric carcinoma cell lines BGC823 | Suppress the proliferation of human gastric carcinoma cells by inducing cycle phase arrest, cell apoptosis, and autophagy. | 236.55 µM | 2018 | [81] |
| Human gastric carcinoma cell lines SGC7901 | 618.82 µM | 2018 | [81] | |
| Human lung carcinoma A549 cells | Inhibit cell growth involving G0/G1 phase cell-cycle arrest and induce cell death via mitochondrial membrane depolarization and induction of apoptosis in human lung carcinoma cells. | NA | 2013 | [20] |
| Human breast cancer cell line MCF7 | Selective cytotoxic effects on HDBC and HDPC cells without damaging normal cells and inducing apoptotic cell death and G0/G1 cell-cycle arrest. | 71.4 µM | 2018 | [82] |
| Human prostate cancer cell line LNCaP | 77.5 µM | 2018 | [82] | |
| Human colon carcinoma wild-type p53 HCT-116 p53+/+ cells | Effective anti-cancer against a wide range of various cell lines originating from different tissues. It can accumulate cells in S-phase at the expense of the G1/G0-phase. Promote apoptosis. | 157.2 µM | 2011 | [83] |
| Human colon carcinoma wild-type p53 HCT-116 p53−/− cells | 143.1 µM | 2011 | [83] | |
| Human leukemia cell line U937 | The proliferation can be inhibited in a dose-dependent and time-dependent feature. The apoptosis of U937 cell induced by usnic acid is related to Caspase-dependent mitochondrial pathway. | 90.90 μmol/L (24 h), 54.08 μmol/L (48 h) | 2020 | [84] |
| Human osteosarcoma cell line MG-63 | 103.00 μmol/L (24 h), 90.48 μmol/L (48 h) | 2020 | [84] | |
| Human melanoma cell line A375 | 139.48 μmol/L (24 h), 65.39 μmol/L (48 h) | 2020 | [84] | |
| Human prostate cancer cells PC-3M | Inhibition of DNA replication and RNA transcription of tumor cells, interfering with DNA synthesis, which eventually lead to the slowdown of proliferation rate of prostate cancer cells or accelerating the apoptosis of tumor cells. | NA | 2005 | [85] |
| Human lung carcinoma A549 cells | Inhibit PD-L1 protein synthesis by reducing STAT3 and RAS pathways cooperatively, induce MiT/TFE nuclear translocation through the suppression of mTOR signaling pathways, and promote the biogenesis of lysosomes and the translocation of PD-L1 to the lysosomes for proteolysis; Inhibit cell proliferation, angiogenesis, migration, and invasion, respectively, by downregulating PD-L1, thereby inhibiting tumor growth. | NA | 2021 | [86] |
| Human cervical cancer HeLa cells | NA | 2021 | [86] | |
| Human cervical cancer SiHa cells | NA | 2021 | [86] | |
| Human cervical cancer CaSKi cells | NA | 2021 | [86] | |
| Mouse hepatocellular carcinoma cell line H22 | Inhibitory effect on usnic acid on VEGF and bFGF. | NA | 2016 | [87] |
| Human umbilical vascular endothelial cells | Suppress Bcap-37 breast tumor growth and angiogenesis without affecting mice body weight in mouse xenograft tumor model; Inhibit endothelial cell proliferation, migration and tube formation. Induce morphological changes and apoptosis in endothelial cells in vitro; Block vascular endothelial growth factor receptor (VEGFR) 2 mediated extracellular signal-regulated protein kinases 1 and 2 (ERK1/2) and AKT/P70S6K signaling pathways in endothelial cells. | NA | 2012 | [88] |
| Human breast tumor cell line Bcap-37 | NA | 2012 | [88] | |
| Lewis lung carcinoma cells | / | NA | 1975 | [89] |
| S180 Bearing Mice | / | Inhibition rate: 75.1% (50 mg/kg) 66.6% (80 mg/kg) 69.1% (120 mg/kg) | 1996 | [90] |
| Human colorectal cancer HT-29 cells | / | 55 µM | 2013 | [91] |
| Murine lymphocytic leukaemia L1210 (ATCC CCL 219) | The cytotoxic activity of usnic acid against cancer cell lines can be improved by its conjugation to a polyamine chain. The amine conjugation may not alter fundamentally the mode of action of usnic acid since both the parent compound and its derivative appeared to be apoptosis-inducing agents. | 26.4 µM | 2008 | [92] * |
| Murine lymphocytic leukaemia L1210 (ATCC CCL 219) | Usnic acid was the only compound to display a moderate cytotoxic activity on various cancer cell lines. It was shown to induce apoptosis of murine leukaemia L1210 cells in a dose-and time-dependent manner. | 6 μg/mL | 2004 | [93] |
| Lewis lung carcinoma | / | NA | 1979 | [94] |
| Murine leukemia P388 cells | NA | 1979 | [94] |
2.4. Antioxidant and Photoprotection Effects
2.5. Wound Healing
2.6. Others
3. Toxicity
3.1. Hepatotoxicity
3.1.1. Liver Injury and Mechanism
3.1.2. Dose Dependence and Species Differences in Hepatotoxicity
3.2. Contact Dermatitis
4. Metabolism and Pharmacokinetics of Usnic Acid In Vivo and In Vitro
5. Conclusions
Author Contributions
Funding
Institutional Review Board Statement
Informed Consent Statement
Data Availability Statement
Conflicts of Interest
References
- Choudhary, M.I.; Azizuddin; Jalil, S.; Atta-Ur-Rahman. Bioactive phenolic compounds from a medicinal lichen, Usnea longissima. Phytochemistry 2005, 66, 2346–2350. [Google Scholar] [CrossRef]
- Guo, L.; Shi, Q.; Fang, J.L.; Mei, N.; Ali, A.A.; Lewis, S.M.; Leakey, J.E.; Frankos, V.H. Review of usnic acid and Usnea barbata toxicity. J. Environ. Sci. Health, Part C Environ. Carcinog. Ecotoxicol. Rev. 2008, 26, 317–338. [Google Scholar] [CrossRef]
- Zang, M.; Li, X. Dictionary of the Families and Genera of Chinese Cryptogamic (Spore) Plants; Higher Education Press: Beijing, China, 2011; p. 868. [Google Scholar]
- Laxineimujila; Bao, H.; Tu, L. Advance in studies on chemical constituents and pharmacological activity of lichens in Usnea genus. China J. Chin. Mater. Med. 2013, 38, 539–545. [Google Scholar]
- Huang, Z.; Huang, L.; Zhang, Y.; Lin, Y. The Illustration of Common Medicinal Plants in Taiwan Vol. I; the Committee on Chinese Medicine and Pharmacy Department of Health, Executive Yuan: Taiwan, China, 2009. [Google Scholar]
- Prateeksha; Paliya, B.S.; Bajpai, R.; Jadaun, V.; Kumar, J.; Kumar, S.; Upreti, D.K.; Singh, B.R.; Nayaka, S.; Joshi, Y.; et al. The genus Usnea: A potent phytomedicine with multifarious ethnobotany, phytochemistry and pharmacology. RSC Adv. 2016, 26, 21672–21696. [Google Scholar] [CrossRef]
- Shukla, V.; Rawat, G. Lichens as a potential natural source of bioactive compounds: A review. Phytochem. Rev. 2010, 2, 303–314. [Google Scholar] [CrossRef]
- Srivastava, P.; Upreti, D.K.; Dhole, T.N.; Srivastava, A.K.; Nayak, M.T. Antimicrobial property of extracts of indian lichen against human pathogenic bacteria. Interdiscip. Perspect. Infect. Dis. 2013, 33, 4629–4635. [Google Scholar] [CrossRef]
- Jiangsu New Medical College. Chinese Materia Medica Dictionary (The First Volume); Shanghai People’s Press: Shanghai, China, 1977; pp. 1256–1258. [Google Scholar]
- Chinese Pharmacopoeia Committee. Drug Standards of the Ministry of Public Health of the People’s Republic of China (Uygur Pharmaceutical Section); Xinjiang Scientific Technology and Health Science Press: Urumchi, China, 1999; p. 56. [Google Scholar]
- Chinese Herbalism Editorial Board. State administration of traditional chinese medicine of the people’s republic of china. In Chinese Materia Medica • Mongolian Medicine; Science and Technology Press: Shanghai, China, 2004; p. 153. [Google Scholar]
- Brown, A.C. Liver toxicity related to herbs and dietary supplements: Online table of case reports. Part 2 of 5 series. Food Chem. Toxicol. 2017, 107, 472–501. [Google Scholar] [CrossRef] [PubMed]
- Avigan, M.I.; Mozersky, R.P.; Seeff, L.B. Scientific and regulatory perspectives in herbal and dietary supplement associated hepatotoxicity in the United States. Int. J. Mol. Sci. 2016, 17, 331. [Google Scholar] [CrossRef] [PubMed]
- Felix, S.; Sara, D.; Eleonora, P.; Katja, B.; Beat, A.; Stephen, L.L. Severe hepatotoxicity following ingestion of Herbalife® nutritional supplements contaminated with Bacillus subtilis. J. Hepatol. 2009, 50, 111–117. [Google Scholar]
- Honda, N.K.; Pavan, F.R.; Coelho, R.G.; de Andrade, L.S.; Micheletti, A.C.; Lopes, T.I.; Misutsu, M.Y.; Beatriz, A.; Brum, R.L.; Leite, C.Q. Antimycobacterial activity of lichen substances. Phytomedicine 2010, 17, 328–332. [Google Scholar] [CrossRef]
- Ramos, D.F.; Almeida, D.S.P. Antimycobacterial activity of usnic acid against resistant and susceptible strains of Mycobacterium tuberculosis and non-tuberculous mycobacteria. Pharm. Biol. 2010, 48, 260–263. [Google Scholar] [CrossRef] [PubMed]
- Okuyama, E.; Umeyama, K.; Yamazaki, M.; Kinoshita, Y.; Yamamoto, Y. Usnic acid and diffractaic acid as analgesic and antipyretic components of Usnea diffracta. Planta Med. 1995, 61, 113–115. [Google Scholar] [CrossRef] [PubMed]
- Vijayakumar, C.S.; Viswanathan, S.; Reddy, M.K.; Parvathavarthini, S.; Kundu, A.B.; Sukumar, E. Anti-inflammatory activity of (+)-usnic acid. Fitoterapia 2000, 71, 564–566. [Google Scholar] [CrossRef]
- Backorova, M.; Jendzelovsky, R.; Kello, M.; Backor, M.; Mikes, J.; Fedorocko, P. Lichen secondary metabolites are responsible for induction of apoptosis in HT-29 and A2780 human cancer cell lines. Toxicol. Vitr. 2012, 26, 462–468. [Google Scholar] [CrossRef]
- Singh, N.; Nambiar, D.; Kale, R.K.; Singh, R.P. Usnic acid inhibits growth and induces cell cycle arrest and apoptosis in human lung carcinoma A549 cells. Nutr. Cancer 2013, 65 (Suppl. 1), 36–43. [Google Scholar] [CrossRef] [PubMed]
- Shtro, A.A.; Zarubaev, V.V.; Luzina, O.A.; Sokolov, D.N.; Kiselev, O.I.; Salakhutdinov, N.F. Novel derivatives of usnic acid effectively inhibiting reproduction of influenza a virus. Bioorg. Med. Chem. 2014, 22, 6826–6836. [Google Scholar] [CrossRef]
- Sokolov, D.N.; Zarubaev, V.V.; Shtro, A.A.; Polovinka, M.P.; Luzina, O.A.; Komarova, N.I.; Salakhutdinov, N.F.; Kiselev, O.I. Anti-viral activity of (−)- and (+)-usnic acids and their derivatives against influenza virus A(H1N1)2009. Bioorg. Med. Chem. Lett. 2012, 22, 7060–7064. [Google Scholar] [CrossRef]
- Bruno, M.; Trucchi, B.; Burlando, B.; Ranzato, E.; Martinotti, S.; Akkol, E.K.; Suntar, I.; Keles, H.; Verotta, L. (+)-Usnic acid enamines with remarkable cicatrizing properties. Bioorg. Med. Chem. 2013, 21, 1834–1843. [Google Scholar] [CrossRef]
- Burlando, B.; Ranzato, E.; Volante, A.; Appendino, G.; Pollastro, F.; Verotta, L. Antiproliferative effects on tumour cells and promotion of keratinocyte wound healing by different lichen compounds. Planta Med. 2009, 75, 607–613. [Google Scholar] [CrossRef]
- Zhang, Z.H.; Zheng, Y.; Huibai, Y.L.; Ma, T.; Song, X.; Zhao, J.; Gao, L. The effects of sodium usnic acid by topical application on skin wound healing in rats. Biomed. Pharmacother. 2018, 97, 587–593. [Google Scholar] [CrossRef]
- Lohezic-Le, D.F.; Legouin, B.; Couteau, C.; Boustie, J.; Coiffard, L. Lichenic extracts and metabolites as UV filters. J. Photochem. Photobiol. B 2013, 120, 17–28. [Google Scholar] [CrossRef] [PubMed]
- Kwong, S.P.; Wang, H.X.; Shi, L.; Huang, Z.L.; Lu, B.; Cheng, X.M.; Chou, G.X.; Ji, L.L.; Wang, C.H. Identification of photodegraded derivatives of usnic acid with improved toxicity profile and UVA/UVB protection in normal human L02 hepatocytes and epidermal melanocytes. J. Photochem. Photobiol. B 2020, 205, 111814. [Google Scholar] [CrossRef]
- Kohlhardt-Floehr, C.; Boehm, F.; Troppens, S.; Lademann, J.; Truscott, T.G. Prooxidant and antioxidant behaviour of usnic acid from lichens under UVB-light irradiation--studies on human cells. J. Photochem. Photobiol. B 2010, 101, 97–102. [Google Scholar] [CrossRef]
- Rancan, F.; Rosan, S.; Boehm, K.; Fernandez, E.; Hidalgo, M.E.; Quihot, W.; Rubio, C.; Boehm, F.; Piazena, H.; Oltmanns, U. Protection against UVB irradiation by natural filters extracted from lichens. J. Photochem. Photobiol. B 2002, 68, 133–139. [Google Scholar] [CrossRef]
- Bayir, Y.; Odabasoglu, F.; Cakir, A.; Aslan, A.; Suleyman, H.; Halici, M.; Kazaz, C. The inhibition of gastric mucosal lesion, oxidative stress and neutrophil-infiltration in rats by the lichen constituent diffractaic acid. Phytomedicine 2006, 13, 584–590. [Google Scholar] [CrossRef]
- Rabelo, T.K.; Zeidan-Chulia, F.; Vasques, L.M. Redox characterization of usnic acid and its cytotoxic effect on human neuron-like cells (SH-SY5Y). Toxicol. Vitr. 2012, 26, 304–314. [Google Scholar] [CrossRef] [PubMed]
- Halici, M.; Odabasoglu, F.; Suleyman, H.; Cakir, A.; Aslan, A.; Bayir, Y. Effects of water extract of Usnea longissima on antioxidant enzyme activity and mucosal damage caused by indomethacin in rats. Phytomedicine 2005, 12, 656–662. [Google Scholar] [CrossRef]
- Salgado, F.; Albornoz, L.; Cortez, C.; Stashenko, E.; Urrea-Vallejo, K.; Nagles, E.; Galicia-Virviescas, C.; Cornejo, A.; Ardiles, A.; Simirgiotis, M.; et al. Secondary metabolite profiling of species of the genus usnea by UHPLC-ESI-OT-MS-MS. Molecules 2017, 23, 54. [Google Scholar] [CrossRef] [PubMed]
- Araujo, A.A.; de Melo, M.G.; Rabelo, T.K.; Nunes, P.S.; Santos, S.L.; Serafini, M.R.; Santos, M.R.; Quintans-Junior, L.J.; Gelain, D.P. Review of the biological properties and toxicity of usnic acid. Nat. Prod. Res. 2015, 29, 2167–2180. [Google Scholar] [CrossRef]
- Ingolfsdottir, K. Usnic acid. Phytochemistry 2002, 61, 729–736. [Google Scholar] [CrossRef]
- Romagni, J.G.; Meazza, G.; Nanayakkara, N.P.; Dayan, F.E. The phytotoxic lichen metabolite, usnic acid, is a potent inhibitor of plant p-hydroxyphenylpyruvate dioxygenase. FEBS Lett. 2000, 480, 301–305. [Google Scholar] [CrossRef]
- Sweetman, S.C. Martindale: The Complete Drug Reference; Pharmaceutical Press: London, UK, 2009; pp. 2409–2410. [Google Scholar]
- Vartia, K.O. The Lichens; Academic Press: New York, USA, 1973; pp. 547–561. [Google Scholar]
- Rafanelli, S.; Bacchilega, R.; Stanganelli, I.; Rafanelli, A. Contact dermatitis from usnic acid in vaginal ovules. Contact Dermat. 1995, 33, 271–272. [Google Scholar] [CrossRef] [PubMed]
- Yellapu, R.K.; Mittal, V.; Grewal, P.; Fiel, M.; Schiano, T. Acute liver failure caused by ‘fat burners’ and dietary supplements: A case report and literature review. Can. J. Gastroenterol. 2011, 25, 157–160. [Google Scholar]
- Sanchez, W.; Maple, J.T.; Burgart, L.J.; Kamath, P.S. Severe hepatotoxicity associated with use of a dietary supplement containing usnic acid. Mayo Clin. Proc. 2006, 81, 541–544. [Google Scholar] [CrossRef]
- Durazo, F.A.; Lassman, C.; Han, S.H.; Saab, S.; Lee, N.P.; Kawano, M.; Saggi, B.; Gordon, S.; Farmer, D.G.; Yersiz, H.; et al. Fulminant liver failure due to usnic acid for weight loss. Am. J. Gastroenterol. 2004, 99, 950–952. [Google Scholar] [CrossRef] [PubMed]
- Favreau, J.T.; Ryu, M.L.; Braunstein, G.; Orshansky, G.; Park, S.S.; Coody, G.L.; Love, L.A.; Fong, T.L. Severe hepatotoxicity associated with the dietary supplement LipoKinetix. Ann. Intern. Med. 2002, 136, 590–595. [Google Scholar] [CrossRef]
- Frankos, V. NTP Nomination for Usnic Acid and Usnea barbata Herb. Available online: https://ntp.niehs.nih.gov/ntp/htdocs/chem_background/exsumpdf/usnicacid_508.pdf (accessed on 3 May 2022).
- Stickel, F.; Shouval, D. Hepatotoxicity of herbal and dietary supplements: An update. Arch. Toxicol. 2015, 89, 851–865. [Google Scholar] [CrossRef]
- ‘Dietary supplement’ warning. FDA Consum. 2002, 36, 4.
- Caldwell, J.P.; Kim, N.D. The response of the Intoxilyzer 5000 to five potential interfering substances. J. Forensic Sci. 1997, 42, 1080–1087. [Google Scholar] [CrossRef]
- Kirkpatrick, R. Ecology and Behavior of the Yunnan Snub-Nosed Langur (Rhinopithecus Bieti, Colobinae). Ph.D. Thesis, University of California, Los Angeles, CA, USA, 1996. [Google Scholar]
- Mu, W.; Yang, D. Preliminary observation on Rhinopithecus Bieti group, movement route and feeding habits of Yunnan snub-nosed monkey on the eastern slope of Baima Snow Mountain. Acta Theriol. Sin. 1982, 2, 125–131. [Google Scholar]
- Zhao, W.; Yang, P.; Shen, Y.; He, X.; He, S.; Si, N.; Su, M.; Shi, F. Survey on the feeding habits and food resources of Yunnan snub-nosed monkey in Tacheng area in the south of Baima Snow Mountain Nature Reserve. Chin. J. Zool. 2009, 44, 49–56. [Google Scholar]
- Xiang, Z.F.; Huo, S.; Xiao, W.; Quan, R.C.; Grueter, C.C. Diet and feeding behavior of Rhinopithecus bieti at Xiaochangdu, Tibet: Adaptations to a marginal environment. Am. J. Primatol. 2007, 69, 1141–1158. [Google Scholar] [CrossRef] [PubMed]
- Wei, D.; Zhao, Q. Rhinopithecus bieti at Tacheng, Yunnan: Diet and Daytime Activities. Int. J. Primatol. 2004, 25, 583–598. [Google Scholar]
- Li, D.Y. Study on Activity Time Allocation, Nocturnal Behavior and Feeding Habits of Yunnan Snub-Nosed Monkey (Rhinopithecus Bieti) in Baima Snow Mountain Nature Reserve. Ph.D. Thesis, Northwest University, Xi’an, China, 2010. [Google Scholar]
- Sundset, M.A.; Kohn, A.; Mathiesen, S.D.; Praesteng, K.E. Eubacterium rangiferina, a novel usnic acid-resistant bacterium from the reindeer rumen. Naturwissenschaften 2008, 95, 741–749. [Google Scholar] [CrossRef]
- Sundset, M.A.; Barboza, P.S.; Green, T.K.; Folkow, L.P.; Blix, A.S.; Mathiesen, S.D. Microbial degradation of usnic acid in the reindeer rumen. Naturwissenschaften 2010, 97, 273–278. [Google Scholar] [CrossRef]
- Glad, T.; Barboza, P.; Mackie, R.I.; Wright, A.D.; Brusetti, L.; Mathiesen, S.D.; Sundset, M.A. Dietary supplementation of usnic acid, an antimicrobial compound in lichens, does not affect rumen bacterial diversity or density in reindeer. Curr. Microbiol. 2014, 68, 724–728. [Google Scholar] [CrossRef]
- Cook, W.E.; Raisbeck, M.F.; Cornish, T.E.; Williams, E.S.; Brown, B.; Hiatt, G.; Kreeger, T.J. Paresis and death in elk (Cervus elaphus) due to lichen intoxication in Wyoming. J. Wildl. Dis. 2007, 43, 498–503. [Google Scholar] [CrossRef]
- Zhao, Y.; Song, D.; Tao, J.; Zhang, T. Preliminary study on antibacterial and anti-inflammatory effects of raw material and self-microemulsion of usnic acid. J. Emerg. Tradit. Chin. Med. 2009, 18, 2029–2031. [Google Scholar]
- Jin, J.Q.; Li, C.Q.; He, L.C. Down-regulatory effect of usnic acid on nuclear factor-kappaB-dependent tumor necrosis factor-alpha and inducible nitric oxide synthase expression in lipopolysaccharide-stimulated macrophages RAW 264.7. Phytother. Res. 2008, 22, 1605–1609. [Google Scholar] [CrossRef]
- Huang, Z.; Zheng, G.; Tao, J.; Ruan, J. Anti-inflammatory effects and mechanisms of usnic acid. J. Wuhan Univ. Technol. Mater. Sci. Ed. 2011, 26, 955–959. [Google Scholar] [CrossRef]
- Lee, S.; Lee, Y.; Ha, S.; Chung, H.Y.; Kim, H.; Hur, J.S.; Lee, J. Anti-inflammatory effects of usnic acid in an MPTP-induced mouse model of Parkinson’s disease. Brain Res. 2020, 1730, 146642. [Google Scholar] [CrossRef]
- Shi, C.J.; Peng, W.; Zhao, J.H.; Yang, H.L.; Qu, L.L.; Wang, C.; Kong, L.Y.; Wang, X.B. Usnic acid derivatives as tau-aggregation and neuroinflammation inhibitors. Eur. J. Med. Chem. 2020, 187, 111961. [Google Scholar] [CrossRef]
- Sultana, N.; Afolayan, A.J. A new depsidone and antibacterial activities of compounds from Usnea undulata Stirton. J. Asian Nat. Prod. Res. 2011, 13, 1158–1164. [Google Scholar] [CrossRef] [PubMed]
- Lin, Y. Research status of usnea. China Pharm. 2011, 20, 84–86. [Google Scholar]
- Weckesser, S.; Engel, K.; Simon-Haarhaus, B.; Wittmer, A.; Pelz, K.; Schempp, C.M. Screening of plant extracts for antimicrobial activity against bacteria and yeasts with dermatological relevance. Phytomedicine 2007, 14, 508–516. [Google Scholar] [CrossRef]
- Lauterwein, M.; Oethinger, M.; Belsner, K.; Peters, T.; Marre, R. In vitro activities of the lichen secondary metabolites vulpinic acid, (+)-usnic acid, and (−)-usnic acid against aerobic and anaerobic microorganisms. Antimicrob. Agents Chemother. 1995, 39, 2541–2543. [Google Scholar] [CrossRef]
- Ingolfsdottir, K.; Chung, G.A.; Skulason, V.G.; Gissurarson, S.R.; Vilhelmsdottir, M. Antimycobacterial activity of lichen metabolites in vitro. Eur. J. Pharm. Sci. 1998, 6, 141–144. [Google Scholar] [CrossRef]
- Bazarnova, Y.; Politaeva, N.; Lyskova, N. Research for the lichen Usnea barbata metabolites. Z. Naturforsch. C J. Biosci. 2018, 73, 291–296. [Google Scholar] [CrossRef]
- Zhao, X. Study on Bacteriostasis of usnic acid. Food Sci. 2000, 21, 42–44. [Google Scholar]
- Gupta, V.K.; Verma, S.; Gupta, S.; Singh, A.; Pal, A.; Srivastava, S.K.; Srivastava, P.K.; Singh, S.C.; Darokar, M.P. Membrane-damaging potential of natural L-(−)-usnic acid in Staphylococcus aureus. Eur. J. Clin. Microbiol. Infect. Dis. 2012, 31, 3375–3383. [Google Scholar] [CrossRef]
- Maciag-Dorszynska, M.; Wegrzyn, G.; Guzow-Krzeminska, B. Antibacterial activity of lichen secondary metabolite usnic acid is primarily caused by inhibition of RNA and DNA synthesis. FEMS Microbiol. Lett. 2014, 353, 57–62. [Google Scholar] [CrossRef] [PubMed]
- Ramis, I.B.; Vianna, J.S.; Reis, A.J.; von Groll, A.; Ramos, D.F.; Viveiros, M.; Da, S.P. Antimicrobial and efflux inhibitor activity of usnic acid against mycobacterium abscessus. Planta Med. 2018, 84, 1265–1270. [Google Scholar] [CrossRef] [PubMed]
- Segatore, B.; Bellio, P.; Setacci, D.; Brisdelli, F.; Piovano, M.; Garbarino, J.A.; Nicoletti, M.; Amicosante, G.; Perilli, M.; Celenza, G. In vitro interaction of usnic acid in combination with antimicrobial agents against methicillin-resistant Staphylococcus aureus clinical isolates determined by FICI and DeltaE model methods. Phytomedicine 2012, 19, 341–347. [Google Scholar] [CrossRef]
- Scirpa, P.; Scambia, G.; Masciullo, V.; Battaglia, F.; Foti, E.; Lopez, R.; Villa, P.; Malecore, M.; Mancuso, S. A zinc sulfate and usnic acid preparation used as post-surgical adjuvant therapy in genital lesions by Human Papillomavirus. Minerva Ginecol. 1999, 51, 255–260. [Google Scholar] [PubMed]
- Yamamoto, Y.; Miura, Y.; Kinoshita, Y.; Higuchi, M.; Yamada, Y.; Murakami, A.; Ohigashi, H.; Koshimizu, K. Screening of tissue cultures and thalli of lichens and some of their active constituents for inhibition of tumor promoter-induced Epstein-Barr virus activation. Chem. Pharm. Bull. 1995, 43, 1388–1390. [Google Scholar] [CrossRef]
- Perry, N.B.; Benn, M.H.; Brennan, N.J.; Burgess, E.J.; Ellis, G.; Galloway, D.J.; Lorimer, S.D.; Tangney, R.S. Antimicrobial, antiviral and cytotoxic activity of New Zealand lichens. Lichenologist 1999, 31, 627–636. [Google Scholar] [CrossRef]
- Division of AIDS Anti-HIV/OI/TB Therapeutics Database. Available online: https://chemdb.niaid.nih.gov/CellularDetails.aspx?AIDSNO=028613&pn=1 (accessed on 3 May 2022).
- Pinto, R.; Herold, S.; Cakarova, L.; Hoegner, K.; Lohmeyer, J.; Planz, O.; Pleschka, S. Inhibition of influenza virus-induced NF-kappaB and Raf/MEK/ERK activation can reduce both virus titers and cytokine expression simultaneously in vitro and in vivo. Antivir. Res. 2011, 92, 45–56. [Google Scholar] [CrossRef]
- Oh, E.; Wang, W.; Park, K.H.; Park, C.; Cho, Y.; Lee, J.; Kang, E.; Kang, H. (+)-Usnic acid and its salts, inhibitors of SARS-CoV-2, identified by using in silico methods and in vitro assay. Sci. Rep. 2022, 12, 13118. [Google Scholar] [CrossRef]
- Ingelfinger, R.; Henke, M.; Roser, L.; Ulshofer, T.; Calchera, A.; Singh, G.; Parnham, M.J.; Geisslinger, G.; Furst, R.; Schmitt, I.; et al. Unraveling the pharmacological potential of lichen extracts in the context of cancer and inflammation with a broad screening approach. Front. Pharmacol. 2020, 11, 1322. [Google Scholar] [CrossRef]
- Geng, X.; Zhang, X.; Zhou, B.; Zhang, C.; Tu, J.; Chen, X.; Wang, J.; Gao, H.; Qin, G.; Pan, W. Usnic acid induces cycle arrest, apoptosis, and autophagy in gastric cancer cells in vitro and in vivo. Med. Sci. Monit. 2018, 24, 556–566. [Google Scholar] [CrossRef]
- Eryilmaz, I.E.; Guney, E.G.; Egeli, U.; Yurdacan, B.; Cecener, G.; Tunca, B. In vitro cytotoxic and antiproliferative effects of usnic acid on hormone-dependent breast and prostate cancer cells. J. Biochem. Mol. Toxicol. 2018, 32, e22208. [Google Scholar] [CrossRef]
- Backorova, M.; Backor, M.; Mikes, J.; Jendzelovsky, R.; Fedorocko, P. Variable responses of different human cancer cells to the lichen compounds parietin, atranorin, usnic acid and gyrophoric acid. Toxicol. Vitr. 2011, 25, 37–44. [Google Scholar] [CrossRef]
- Yu, D.Y.; Guo, X.L.; Gao, H.Y.; Cao, H.; Shi, L.Y. Effects of usnic acid on proliferation and apoptosis of three cancer cell lines. J. Tianjin Norm. Univ. 2020, 40, 39–43. [Google Scholar]
- Sun, Y.; Wang, H.J.; Zhang, W.; Wu, Y.; Zhang, Z.Q.; Feng, L.; Wang, L.Q.; Wu, Y.M. Preliminary study on the inhibition effect of usnic acid on proliferation prostate cancer PC-3M cells. Chin. J. Cancer Biother. 2005, 12, 289–291. [Google Scholar]
- Sun, T.X.; Li, M.Y.; Zhang, Z.H.; Wang, J.Y.; Xing, Y.; Ri, M.; Jin, C.H.; Xu, G.H.; Piao, L.X.; Jin, H.L.; et al. Usnic acid suppresses cervical cancer cell proliferation by inhibiting PD-L1 expression and enhancing T-lymphocyte tumor-killing activity. Phytother. Res. 2021, 35, 3916–3935. [Google Scholar] [CrossRef]
- Hao, K.H.; Han, T.; Hu, P.B. Study on inhibitory effect and mechanism of usnic acid on H22 Tumor in mice. China Pharm. 2016, 19, 29–32. [Google Scholar]
- Song, Y.; Dai, F.; Zhai, D.; Dong, Y.; Zhang, J.; Lu, B.; Luo, J.; Liu, M.; Yi, Z. Usnic acid inhibits breast tumor angiogenesis and growth by suppressing VEGFR2-mediated AKT and ERK1/2 signaling pathways. Angiogenesis 2012, 15, 421–432. [Google Scholar] [CrossRef] [PubMed]
- Kupchan, S.M.; Kopperman, H.L. L-usnic acid: Tumor inhibitor isolated from lichens. Experientia 1975, 31, 625. [Google Scholar] [CrossRef]
- Jin, J.Q.; Ding, D.N.; Ouyang, X.Y.; Yan, B.Q. Study on extraction and anticancer activity of usnic acid. Northwest Pharm. J. 1996, 11, 211–212. [Google Scholar]
- Millot, M.; Kaouadji, M.; Champavier, Y.; Gamond, A.L.; Simon, A.; Chulia, A.J. Usnic acid derivatives from Leprocaulon microscopicum. Phytochem. Lett. 2013, 6, 31–35. [Google Scholar] [CrossRef]
- Bazin, M.A.; Le Lamer, A.C.; Delcros, J.G.; Rouaud, I.; Uriac, P.; Boustie, J.; Corbel, J.C.; Tomasi, S. Synthesis and cytotoxic activities of usnic acid derivatives. Bioorg. Med. Chem. 2008, 16, 6860–6866. [Google Scholar] [CrossRef]
- Bezivin, C.; Tomasi, S.; Rouaud, I.; Delcros, J.G.; Boustie, J. Cytotoxic activity of compounds from the lichen: Cladonia Convoluta. Planta Med. 2004, 70, 874–877. [Google Scholar] [CrossRef]
- Takai, M.; Uehara, Y.; Beisler, J.A. Usnic acid derivatives as potential antineoplastic agents. J. Med. Chem. 1979, 22, 1380–1384. [Google Scholar] [CrossRef]
- Fernández-Moriano, C.; Divakar, P.K.; Crespo, A.; Gómez-Serranillos, M.P. Protective effects of lichen metabolites evernic and usnic acids against redox impairment-mediated cytotoxicity in central nervous system-like cells. Food Chem. Toxicol. 2017, 105, 262–277. [Google Scholar] [CrossRef]
- Erfani, S.; Valadbeigi, T.; Aboutaleb, N.; Karimi, N.; Moghimi, A.; Khaksari, M. Usnic acid improves memory impairment after cerebral ischemia/reperfusion injuries by anti-neuroinflammatory, anti-oxidant, and anti-apoptotic properties. Iran. J. Basic Med. Sci. 2020, 23, 1225–1231. [Google Scholar] [PubMed]
- Odabasoglu, F.; Cakir, A.; Suleyman, H.; Aslan, A.; Bayir, Y.; Halici, M.; Kazaz, C. Gastroprotective and antioxidant effects of usnic acid on indomethacin-induced gastric ulcer in rats. J. Ethnopharmacol. 2006, 103, 59–65. [Google Scholar] [CrossRef] [PubMed]
- Odabasoglu, F.; Aslan, A.; Cakir, A.; Suleyman, H.; Karagoz, Y.; Halici, M.; Bayir, Y. Comparison of antioxidant activity and phenolic content of three lichen species. Phytother. Res. 2004, 18, 938–941. [Google Scholar] [CrossRef]
- Jin, J.Q.; Dong, Y.L.; He, L.C. Experimental study on the effect of sodium usnic acid on skin wound healing. J. Chin. Med. Mater. 2005, 28, 109–111. [Google Scholar]
- Pagano, C.; Ceccarini, M.R.; Calarco, P.; Scuota, S.; Conte, C.; Primavilla, S.; Ricci, M.; Perioli, L. Bioadhesive polymeric films based on usnic acid for burn wound treatment: Antibacterial and cytotoxicity studies. Colloids Surf. B 2019, 178, 488–499. [Google Scholar] [CrossRef]
- O’Leary, R.; Wood, E.J.; Guillou, P.J. Pathological scarring: Strategic interventions. Eur. J. Surg. 2002, 168, 523–534. [Google Scholar] [PubMed]
- Wang, P.; Jiang, L.Z.; Xue, B. Recombinant human endostatin reduces hypertrophic scar formation in rabbit ear model through down-regulation of VEGF and TIMP-1. Afr. Health Sci. 2016, 16, 542–553. [Google Scholar] [CrossRef] [PubMed][Green Version]
- Kwak, D.H.; Bae, T.H.; Kim, W.S.; Kim, H.K. Anti-Vascular endothelial growth factor (Bevacizumab) therapy reduces hypertrophic scar formation in a rabbit ear wounding model. Arch. Plast. Surg. 2016, 43, 491–497. [Google Scholar] [CrossRef] [PubMed]
- Zheng, J.; Song, F.; Lu, S.L.; Wang, X.Q. Dynamic hypoxia in scar tissue during human hypertrophic scar progression. Dermatol. Surg. 2014, 40, 511–518. [Google Scholar] [CrossRef]
- Song, Y.; Yu, Z.; Song, B.; Guo, S.; Lei, L.; Ma, X.; Su, Y. Usnic acid inhibits hypertrophic scarring in a rabbit ear model by suppressing scar tissue angiogenesis. Biomed. Pharmacother. 2018, 108, 524–530. [Google Scholar] [CrossRef]
- Koparal, A.T. Anti-angiogenic and antiproliferative properties of the lichen substances (−)-usnic acid and vulpinic acid. Z. Naturforsch. C J. Biosci. 2015, 70, 159–164. [Google Scholar] [CrossRef]
- Verotta, L.; Appendino, G.; Bombardelli, E.; Brun, R. In vitro antimalarial activity of hyperforin, a prenylated acylphloroglucinol. A structure-activity study. Bioorganic Med. Chem. Lett. 2007, 17, 1544–1548. [Google Scholar] [CrossRef]
- Bruno, M.; Trucchi, B.; Monti, D.; Romeo, S.; Kaiser, M.; Verotta, L. Synthesis of a potent antimalarial agent through natural products conjugation. Chem. Med. Chem. 2013, 8, 221–225. [Google Scholar] [CrossRef] [PubMed]
- Liver Doctor Editorial Department. The mortality of drug induced liver disease ranked at the fifth in the world. Liver Doctor 2006, 5, 68–69. [Google Scholar]
- Abo-Khatwa, A.N.; Al-Robai, A.A.; Al-Jawhari, D.A. Lichen acids as uncouplers of oxidative phosphorylation of mouse-liver mitochondria. Nat. Toxins 1996, 4, 96–102. [Google Scholar] [CrossRef]
- Pramyothin, P.; Janthasoot, W.; Pongnimitprasert, N.; Phrukudom, S.; Ruangrungsi, N. Hepatotoxic effect of (+)usnic acid from Usnea siamensis Wainio in rats, isolated rat hepatocytes and isolated rat liver mitochondria. J. Ethnopharmacol. 2004, 90, 381–387. [Google Scholar] [CrossRef]
- Liu, Q.; Zhao, X.; Lu, X.; Fan, X.; Wang, Y. Proteomic study on usnic-acid-induced hepatotoxicity in rats. J. Agric. Food Chem. 2012, 60, 7312–7317. [Google Scholar] [CrossRef] [PubMed]
- Lu, X.; Zhao, Q.; Tian, Y.; Xiao, S.; Jin, T.; Fan, X. A metabonomic characterization of (+)-usnic acid-induced liver injury by gas chromatography-mass spectrometry-based metabolic profiling of the plasma and liver in rat. Int. J. Toxicol. 2011, 30, 478–491. [Google Scholar] [CrossRef]
- Han, D.; Matsumaru, K.; Rettori, D.; Kaplowitz, N. Usnic acid-induced necrosis of cultured mouse hepatocytes: Inhibition of mitochondrial function and oxidative stress. Biochem. Pharmacol. 2004, 67, 439–451. [Google Scholar] [CrossRef]
- Chen, S.; Zhang, Z.; Qing, T.; Ren, Z.; Yu, D.; Couch, L.; Ning, B.; Mei, N.; Shi, L.; Tolleson, W.H.; et al. Activation of the Nrf2 signaling pathway in usnic acid-induced toxicity in HepG2 cells. Arch. Toxicol. 2017, 91, 1293–1307. [Google Scholar] [CrossRef]
- Kwong, S.P.; Huang, Z.; Ji, L.; Wang, C. PORIMIN: The key to (+)-Usnic acid-induced liver toxicity and oncotic cell death in normal human L02 liver cells. J. Ethnopharmacol. 2021, 270, 113873. [Google Scholar] [CrossRef] [PubMed]
- Shi, Q.; Greenhaw, J.; Salminen, W.F. Inhibition of cytochrome P450s enhances (+)-usnic acid cytotoxicity in primary cultured rat hepatocytes. J. Appl. Toxicol. 2014, 34, 835–840. [Google Scholar] [CrossRef]
- Emmerich, R.; Giez, I.; Lange, O.L.; Proksch, P. Toxicity and antifeedant activity of lichen compounds against the polyphagous herbivorous insect Spodoptera littoralis. Phytochemistry 1993, 33, 1389–1394. [Google Scholar] [CrossRef]
- Cetin, H.; Tufan-Cetin, O.; Turk, A.O.; Tay, T.; Candan, M.; Yanikoglu, A.; Sumbul, H. Insecticidal activity of major lichen compounds, (−)- and (+)-usnic acid, against the larvae of house mosquito. Culex pipiens L. Parasitol. Res. 2008, 102, 1277–1279. [Google Scholar] [CrossRef] [PubMed]
- Hesbacher, S.; Baur, B.; Baur, A.; Proksch, P. Sequestration of lichen compounds by three species of terrestrial snails. J. Chem. Ecol. 1995, 21, 233–246. [Google Scholar] [CrossRef] [PubMed]
- Roach, J.A.; Musser, S.M.; Morehouse, K.; Woo, J.Y. Determination of usnic acid in lichen toxic to elk by liquid chromatography with ultraviolet and tandem mass spectrometry detection. J. Agric. Food Chem. 2006, 54, 2484–2490. [Google Scholar] [CrossRef]
- Dailey, R.N.; Montgomery, D.L.; Ingram, J.T.; Siemion, R.; Vasquez, M.; Raisbeck, M.F. Toxicity of the lichen secondary metabolite (+)-usnic acid in domestic sheep. Vet. Pathol. 2008, 45, 19–25. [Google Scholar] [CrossRef]
- Long, Y.; Kirkpatrick, C.R.; Tai, Z.; Lin, X. Report on the distribution, population, and ecology of the yunnan snub-nosed monkey (Rhinopithecus bieti). Primates 1994, 35, 241–250. [Google Scholar] [CrossRef]
- Grueter, C.C.; Li, D.; Ren, B.; Wei, F.; Xiang, Z.; van Schaik, C.P. Fallback foods of temperate-living primates: A case study on snub-nosed monkeys. Am. J. Phys. Anthr. 2009, 140, 700–715. [Google Scholar] [CrossRef] [PubMed]
- Huo, S. Diet and Habitat Use of Rhinopithecus Bieti at Mt Longma, Yunnan, and Phylogeny of the Family Viverridae in China. Ph.D. Thesis, Chinese Academy of Sciences, Kunming Institute of Zoology, Kunming, China, 2005. [Google Scholar]
- Xiang, Z. The Ecology and Behavior of Black-and-White Snub-Nosed Monkeys (Rhinopithecus Bieti, Colobinae) at Xiaochangdu in Honglaxueshan National Nature Reserve, Tibet, China. Ph.D. Thesis, Chinese Academy of Sciences, Kunming Institute of Zoology, Kunming, China, 2005. [Google Scholar]
- Li, D.; Ren, B.; He, X.; Hu, G.; Li, B.; Li, M. Feeding habits of Yunnan snub-nosed monkey in Baima Snow Mountain Nature Reserve. Acta Theriol. Sin. 2011, 31, 338–346. [Google Scholar]
- Yu, X.L. Study on the Differences of Intestinal Microbial Community Structure between Male and Female Yunnan Snub-Nosed Monkeys in Different Seasons. Master’s Thesis, China West Normal University, Nanchong, China, 2020. [Google Scholar]
- Klein, D.R. Fire, lichens, and caribou. J. Range Manag. 1982, 35, 390. [Google Scholar] [CrossRef]
- Aagnes, T.; Mathiesen, S. Food and snow intake, body mass and rumen function in reindeer fed lichen and subsequently starved for 4 days. Rangifer 1994, 14, 33–37. [Google Scholar] [CrossRef]
- Horand, R. Mains de crocodile dermatose professionelle produite par le bois de chataignier. Gaz. Hop. Civ. Mil. 1907, 80, 255–258. [Google Scholar]
- Aalto-Korte, K.; Lauerma, A.; Alanko, K. Occupational allergic contact dermatitis from lichens in present-day Finland. Contact Dermat. 2005, 52, 36–38. [Google Scholar] [CrossRef]
- Mitchell, J.C.; Chan-Yeung, M. Contact allergy from Frullania and respiratory allergy from Thuja. Can. Med. Assoc. J. 1974, 110, 653–654. [Google Scholar] [PubMed]
- Rademaker, M. Allergy to lichen acids in a fragrance. Australas. J. Dermatol. 2000, 41, 50–51. [Google Scholar] [CrossRef]
- Heine, A.; Tarnick, M. Allergic contact eczema caused by usnic acid in deoderant sprays. Dermatol. Mon. 1987, 173, 221–225. [Google Scholar]
- Sheu, M.; Simpson, E.L.; Law, S.V.; Storrs, F.J. Allergic contact dermatitis from a natural deodorant: A report of 4 cases associated with lichen acid mix allergy. J. Am. Acad. Dermatol. 2006, 55, 332–337. [Google Scholar] [CrossRef]
- Hausen, B.M.; Emde, L.; Marks, V. An investigation of the allergenic constituents of Cladonia stellaris (Opiz) Pous & Vezda (‘silver moss’, ‘reindeer moss’ or ‘reindeer lichen’). Contact Dermat. 1993, 28, 70–76. [Google Scholar]
- Ling, G. Occupational airborne allergic contact dermatitis to usnic acid in an office-based dentis. J. Am. Acad. Dermatol. 2018, 79, B208. [Google Scholar]
- Krishna, D.R.; Ramana, D.V.; Mamidi, N.V. In vitro protein binding and tissue distribution of D(+) usnic acid. Drug Metabol. Drug Interact. 1995, 12, 53–63. [Google Scholar] [CrossRef]
- Foti, R.S.; Dickmann, L.J.; Davis, J.A.; Greene, R.J.; Hill, J.J.; Howard, M.L.; Pearson, J.T.; Rock, D.A.; Tay, J.C.; Wahlstrom, J.L.; et al. Metabolism and related human risk factors for hepatic damage by usnic acid containing nutritional supplements. Xenobiotica 2008, 38, 264–280. [Google Scholar] [CrossRef] [PubMed]
- Hou, L.; Jin, Y.; Sun, W.; Guan, S.; Xu, H.; Wang, Q.; Zhang, L.; Du, Y. Metabolites identification of (+)-usnic acid in vivo by ultra-high-performance liquid chromatography coupled with quadrupole time-of-flight mass spectrometry. Fitoterapia 2019, 133, 85–95. [Google Scholar] [CrossRef] [PubMed]
- Mitchell, J.R.; Jollow, D.J.; Potter, W.Z.; Davis, D.C.; Gillette, J.R.; Brodie, B.B. Acetaminophen-induced hepatic necrosis. I. Role of drug metabolism. J. Pharmacol. Exp. Ther. 1973, 187, 185–194. [Google Scholar]
- Nakayama, S.; Atsumi, R.; Takakusa, H.; Kobayashi, Y.; Kurihara, A.; Nagai, Y.; Nakai, D.; Okazaki, O. A zone classification system for risk assessment of idiosyncratic drug toxicity using daily dose and covalent binding. Drug Metab. Dispos. 2009, 37, 1970–1977. [Google Scholar] [CrossRef]
- Piska, K.; Galanty, A.; Koczurkiewicz, P.; Zmudzki, P.; Potaczek, J.; Podolak, I.; Pekala, E. Usnic acid reactive metabolites formation in human, rat, and mice microsomes. Implication for hepatotoxicity. Food Chem. Toxicol. 2018, 120, 112–118. [Google Scholar] [CrossRef]
- Venkataramana, D.; Krishna, D.R. Pharmacokinetics of d(+)-usnic acid in rabbits after intravenous administration. Eur. J. Drug Metab. Pharmacokinet. 1993, 18, 161–163. [Google Scholar] [CrossRef] [PubMed]
- Krishna, D.R.; Venkataramana, D. Pharmacokinetics of D(+)-usnic acid in rabbits after intravenous and oral administration. Drug Metab. Dispos. 1992, 20, 909–911. [Google Scholar] [PubMed]
- Wang, H.X.; Yang, T.; Cheng, X.M.; Kwong, S.P.; Liu, C.H.; An, R.; Li, G.W.; Wang, X.H.; Wang, C.H. Simultaneous determination of usnic, diffractaic, evernic and barbatic acids in rat plasma by ultra-high-performance liquid chromatography-quadrupole exactive Orbitrap mass spectrometry and its application to pharmacokinetic studies. Biomed. Chromatogr. 2018, 32, e4123. [Google Scholar] [CrossRef]
- Fang, W.; Wang, K.P.; Han, D.E. Preparation and in vivo pharmacokinetic study of usnic acid nanosuspension. Chin. Tradit. Pat. Med. 2022, 44, 689–694. [Google Scholar]
- Song, T.; Song, D.; Guan, H.Y.; Ding, R.; Zeng, Z.; Xu, X.Y.; Zhao, Y. Study on pharmacokinetics and tissue distribution of usnic acid phospholipid complex in rats. Chin. Tradit. Herb. Drugs 2018, 49, 1358–1364. [Google Scholar]


| Model | Mechanism or Effect | Concentration | Year | References |
|---|---|---|---|---|
| Acute and chronic inflammation rat models | Reduce the swelling of rat foot induced by carrageenan in dose dependent. Only effect at 100 mg/kg. | 25 mg/kg, 50 mg/kg, 100 mg/kg, p.o. | 2000 | [18] |
| Lipopolysaccharide (LPS) activated RAW264.7 macrophages | Inhibit the express of TNF-α and iNOS, possibly through suppression of nuclear translocation of NF-κB p65 and I-κBα degradation; Inhibit LPS-induced TNF-α accumulation and NO production in a dose-dependent manner. | 0.5–400 μM; IC50: 4.7 μM (TNF-α), 12.8 μM (NO) | 2008 | [59] |
| Lipopolysaccharide (LPS) activated RAW264.7 macrophages | Down-regulating iNOS, COX-2, IL-1β, IL-6 and TNF-α, COX-2 gene expression through the suppression of NF-κB activation and increasing anti-inflammatory cytokine IL-10 and anti-inflammatory mediator HO-1 production. | 10 μg/mL, 50 μg/mL and 100 μg/mL | 2011 | [60] |
| 1-methyl-4-phenyl-1,2,3,6-tetrahydropyridine (MPTP) induced Parkinson’s disease model in Male C57BL/6 mice | Inhibit MPP+-induced glial activation in primary astrocytes by blocking NF-κB activation. | 5 or 25 mg/kg dissolved in phosphate buffered saline (PBS) containing 5% Tween-80 (i.p.) | 2020 | [61] |
| Tau protein derived hexapeptide AcPHF6 model | Inhibit the aggregation of full-length 2N4R tau protein by a heparin-induced mechanism. | 10 μM | 2020 | [62] * |
| Human neuroblastoma SK-N-SH cell line (SH-SY5Y) | Exert no significant hepatotoxicity, showed low hepatotoxicity at 40 μM. | 10–40 μM | 2020 | [62] * |
| Human hepatocyte cells (LO2) cells | Exert no significant hepatotoxicity, showed low hepatotoxicity at 40 μM. | 10–40 μM | 2020 | [62] * |
| Murine microglial BV2 cells | Reduce NO release in Lipopolysaccharide-stimulated mouse microglia BV2 cells. | 10–40 μM | 2020 | [62] * |
| Adult male SD rats | Enhance the cognitive ability of okadiac acid induced AD model rats. | 5 mg/kg, 10 mg/kg | 2020 | [62] * |
| Bacterial Strain | MIC or Others | Year | Reference |
|---|---|---|---|
| Mycobacterium tuberculosis H37Rv ATCC 27294 | 12.25 µg/mL | 2010 | [16] |
| Isoniazid resistant Mycobacterium tuberculosis | 1.56 µg/mL | 2010 | [16] |
| Rifampicin resistant Mycobacterium tuberculosis | 12.5 µg/mL | 2010 | [16] |
| Streptomycin resistant Mycobacterium tuberculosis | 6.25 µg/mL | 2010 | [16] |
| Mycobacterium fortuitum ATCC 35931 | 50 µg/mL | 2010 | [16] |
| Mycobacterium chelonae ATCC 946 | 25 µg/mL | 2010 | [16] |
| Mycobacterium kansasii ATCC 12478 | 12.5 µg/mL | 2010 | [16] |
| Mycobacterium avium | 100 µg/mL | 2010 | [16] |
| Staphylococcus aureus ATCC 25923 | 6.2 µg/mL | 2009 | [58] |
| Pneumococcus | 12.5 µg/mL | 2009 | [58] |
| Pseudomonas aeruginosa | / | 2009 | [58] |
| Bacillus coli ATCC 35218 | / | 2009 | [58] |
| Bacillus subtilis | 8 μg/mL | 2011 | [63] |
| Bacillus cereus | 8 μg/mL | 2011 | [63] |
| Staphylococcus aureus | 31 μg/mL | 2011 | [63] |
| Escherichia coli | 31 μg/mL | 2011 | [63] |
| Propionibacterium acnes FR 024/12-10 | 1 μg/mL | 2007 | [65] |
| Propionibacterium acnes | 2 μg/mL | 1995 | [66] |
| Methicillin-susceptible Staphylococcus aureus | 2–>16 μg/mL | 1995 | [66] |
| Methicillin-resistant, mupirocin-susceptible Staphylococcus aureus | 4–16 μg/mL | 1995 | [66] |
| Methicillin-resistant, mupirocin-resistant Staphylococcus aureus | 4–16 μg/mL | 1995 | [66] |
| Mycobacterium aurum | 32 μg/mL | 1998 | [67] |
| Bacillus subtilis 78A | NA | 2018 | [68] * |
| Pseudomonas fluorescens BKM CR-330 | NA | 2018 | [68] * |
| Aspergillus flavus | NA | 2000 | [69] |
| Aspergillus niger | NA | 2000 | [69] |
| Blue mould | NA | 2000 | [69] |
| Rhizopus | NA | 2000 | [69] |
| Bacillus subtilis | NA | 2000 | [69] |
| Bacillus coli | NA | 2000 | [69] |
| Staphylococcus albus | NA | 2000 | [69] |
| Lactobacilli | NA | 2000 | [69] |
| Baker’s yeast | NA | 2000 | [69] |
| Rhodotorula | NA | 2000 | [69] |
| Staphylococcus aureus MTCC-96 | 25 μg/mL | 2012 | [70] |
| Methicillin-resistant Staphylococcus aureus | 25–50 μg/mL | 2012 | [70] |
| Escherichia coli | 20 μg/mL | 2014 | [71] |
| Vibrio harveyi | 20 μg/mL | 2014 | [71] |
| Bacillus subtilis | 0.5 μg/mL | 2014 | [71] |
| Staphylococcus aureus | 1.0 μg/mL | 2014 | [71] |
| Mycobacterium abscessus ATCC 19977 | 18.15 µM | 2018 | [72] |
| Mycobacterium abscessus subsp. Abscessus AT 07 | 9.07 µM | 2018 | [72] |
| Mycobacterium abscessus subsp. Abscessus AT 46 | 9.07 µM | 2018 | [72] |
| Mycobacterium abscessus subsp. bolletii AT 52 | 9.07 µM | 2018 | [72] |
| Methicillin-resistant Staphylococcus aureus ATCC 43300, AQ 004, AQ 006, AQ 007, AQ 012 | 1–8 μg/mL | 2012 | [73] |
| Herpes simplex type 1 virus | 7.5 μg per disc leads to over 4 mm inhibite zone | 1999 | [76] |
| Polio type 1 virus | 30 μg per disc leads to over 4 mm inhibite zone | 1999 | [76] |
| Human immunodeficiency virus RF | / | NA | [77] |
| H1N1 influenza virus pdm09 | ED50: 51.7 μM | 2012 | [22] |
| SARS-CoV-2 original strain | IC50: 7.99 μM | 2022 | [79] |
| SARS-CoV-2 alpha variant (UK, B.1.1.7) | IC50: 6.05 μM | 2022 | [79] |
| SARS-CoV-2 beta variant (South Africa, B.1.351) | IC50: 2.92 μM | 2022 | [79] |
| SARS-CoV-2 delta variant (India, B.1.617.2) | IC50: 7.17 μM | 2022 | [79] |
Publisher’s Note: MDPI stays neutral with regard to jurisdictional claims in published maps and institutional affiliations. |
© 2022 by the authors. Licensee MDPI, Basel, Switzerland. This article is an open access article distributed under the terms and conditions of the Creative Commons Attribution (CC BY) license (https://creativecommons.org/licenses/by/4.0/).
Share and Cite
Wang, H.; Xuan, M.; Huang, C.; Wang, C. Advances in Research on Bioactivity, Toxicity, Metabolism, and Pharmacokinetics of Usnic Acid In Vitro and In Vivo. Molecules 2022, 27, 7469. https://doi.org/10.3390/molecules27217469
Wang H, Xuan M, Huang C, Wang C. Advances in Research on Bioactivity, Toxicity, Metabolism, and Pharmacokinetics of Usnic Acid In Vitro and In Vivo. Molecules. 2022; 27(21):7469. https://doi.org/10.3390/molecules27217469
Chicago/Turabian StyleWang, Hanxue, Min Xuan, Cheng Huang, and Changhong Wang. 2022. "Advances in Research on Bioactivity, Toxicity, Metabolism, and Pharmacokinetics of Usnic Acid In Vitro and In Vivo" Molecules 27, no. 21: 7469. https://doi.org/10.3390/molecules27217469
APA StyleWang, H., Xuan, M., Huang, C., & Wang, C. (2022). Advances in Research on Bioactivity, Toxicity, Metabolism, and Pharmacokinetics of Usnic Acid In Vitro and In Vivo. Molecules, 27(21), 7469. https://doi.org/10.3390/molecules27217469

