Electrocatalytic Behavior of an Amide Functionalized Mn(II) Coordination Polymer on ORR, OER and HER
Abstract
1. Introduction
2. Experimental Section
2.1. Materials and Methods
2.2. Synthesis and Characterization
2.2.1. Synthesis of 4-(Pyridin-4-ylcarbamoyl) Benzoic Acid (HL)
2.2.2. Synthesis of [Mn(L)(HCOO)]n (Mn-CP)
2.2.3. Crystal Structure Determination
2.2.4. Electrochemical Measurements
3. Results and Discussion
3.1. Synthesis and Characterisation
3.2. Crystal Structure Analysis
3.3. Thermogravimetric Analysis of Mn-CP
3.4. Surface Area Analysis Using BET Absorption/Desorption Isotherm
3.5. Electrochemical Analysis of Mn-CP
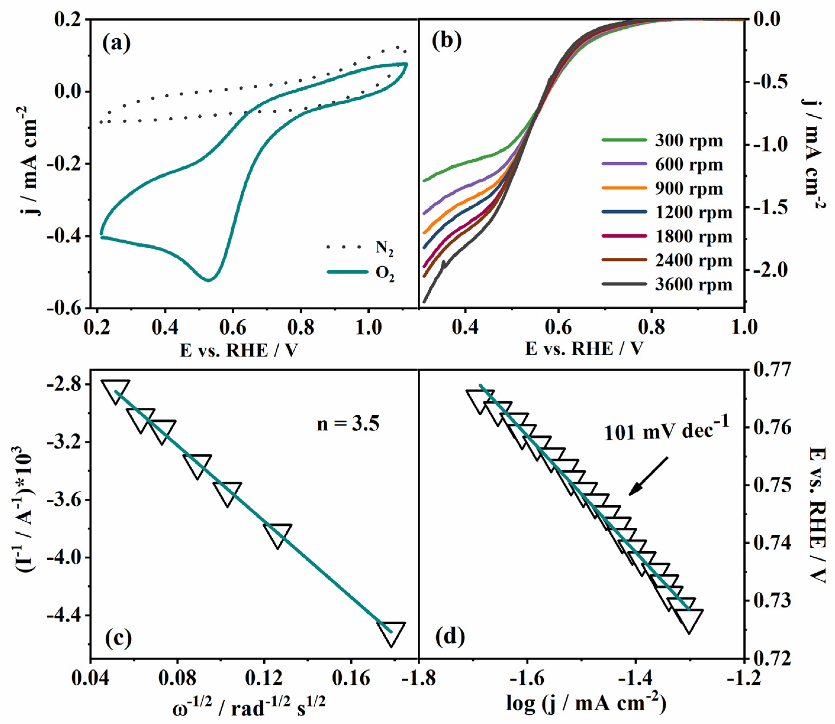
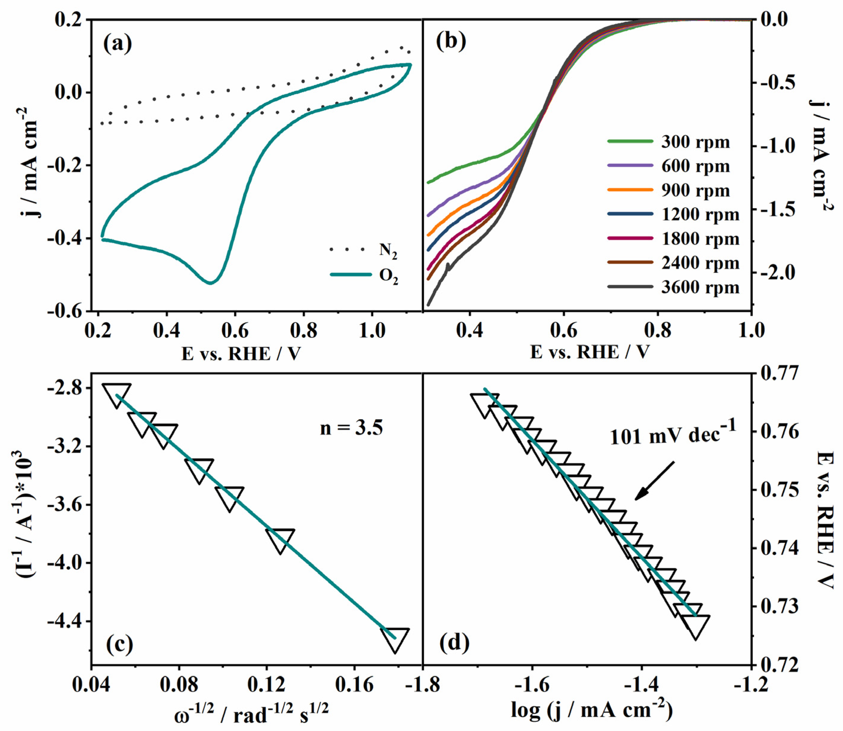
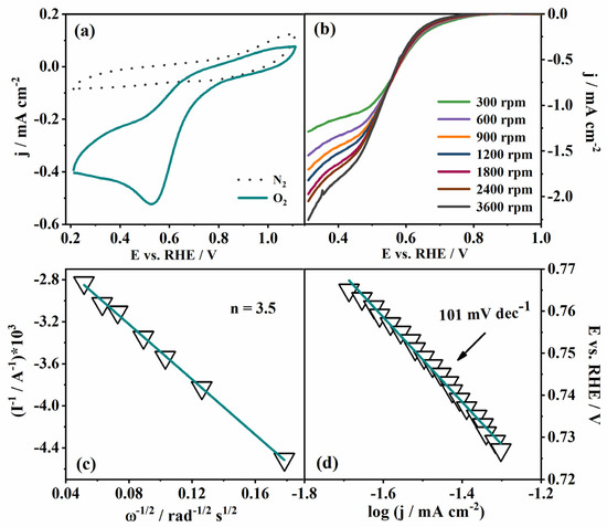
3.6. Catalyst Activity of Mn-CP toward ORR, OER and HER in Alkaline Media
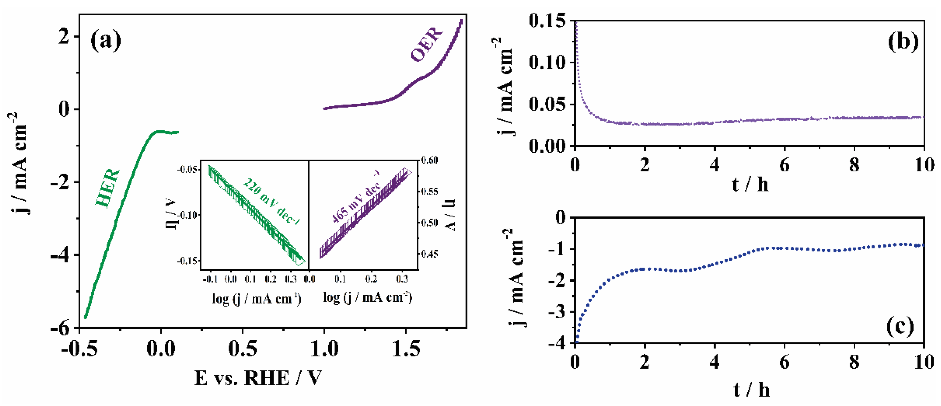
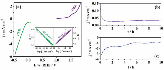
3.7. Catalytic Activity of Mn-CP toward ORR, OER and HER in Acidic Media
4. Conclusions
Supplementary Materials
Author Contributions
Funding
Institutional Review Board Statement
Informed Consent Statement
Data Availability Statement
Acknowledgments
Conflicts of Interest
Sample Availability
References
- Zdolšek, N.; Rocha, R.P.; Krstić, J.; Trtić-Petrović, T.; Šljukić, B.; Figueiredo, J.L.; Vujković, M.J. Electrochemical Investigation of Ionic Liquid-Derived Porous Carbon Materials for Supercapacitors: Pseudocapacitance versus Electrical Double Layer. Electrochim. Acta 2019, 298, 541–551. [Google Scholar] [CrossRef]
- Mladenović, D.; Santos, D.M.F.; Bozkurt, G.; Soylu, G.S.P.; Yurtcan, A.B.; Miljanić, Š.; Šljukić, B. Tailoring Metal-Oxide-Supported PtNi as Bifunctional Catalysts of Superior Activity and Stability for Unitised Regenerative Fuel Cell Applications. Electrochem. Commun. 2021, 124, 106963. [Google Scholar] [CrossRef]
- Gao, R.; Dai, Q.; Du, F.; Yan, D.; Dai, L. C60-Adsorbed Single-Walled Carbon Nanotubes as Metal-Free, PH-Universal, and Multifunctional Catalysts for Oxygen Reduction, Oxygen Evolution, and Hydrogen Evolution. J. Am. Chem. Soc. 2019, 141, 11658–11666. [Google Scholar] [CrossRef] [PubMed]
- Wang, J.; Cui, W.; Liu, Q.; Xing, Z.; Asiri, A.M.; Sun, X. Recent Progress in Cobalt-Based Heterogeneous Catalysts for Electrochemical Water Splitting. Adv. Mater. 2016, 28, 215–230. [Google Scholar] [CrossRef] [PubMed]
- Qian, Z.; Chen, Y.; Tang, Z.; Liu, Z.; Wang, X.; Tian, Y.; Gao, W. Hollow Nanocages of NixCo1−xSe for Efficient Zinc–Air Batteries and Overall Water Splitting. Nano-Micro Lett. 2019, 11, 28. [Google Scholar] [CrossRef]
- Milikić, J.; Balčiūnaitė, A.; Sukackienė, Z.; Mladenović, D.; Santos, D.M.F.; Tamašauskaitė-Tamašiūnaitė, L.; Šljukić, B. Bimetallic Co-Based (Com, m = Mo, Fe, Mn) Coatings for High-Efficiency Water Splitting. Materials 2021, 14, 92. [Google Scholar] [CrossRef]
- Wang, J.; Wang, J.; Qi, S.; Zhao, M. Stable Multifunctional Single-Atom Catalysts Resulting from the Synergistic Effect of Anchored Transition-Metal Atoms and Host Covalent-Organic Frameworks. J. Phys. Chem. C 2020, 124, 17675–17683. [Google Scholar] [CrossRef]
- Zheng, Y.; Jiao, Y.; Li, L.H.; Xing, T.; Chen, Y.; Jaroniec, M.; Qiao, S.Z. Toward Design of Synergistically Active Carbon-Based Catalysts for Electrocatalytic Hydrogen Evolution. ACS Nano 2014, 8, 5290–5296. [Google Scholar] [CrossRef]
- Zhong, Y.; Xia, X.H.; Shi, F.; Zhan, J.Y.; Tu, J.P.; Fan, H.J. Transition Metal Carbides and Nitrides in Energy Storage and Conversion. Adv. Sci. 2015, 3, 1500286. [Google Scholar] [CrossRef]
- Wang, J.; Zhang, Z.; Ding, J.; Zhong, C.; Deng, Y.; Han, X.; Hu, W. Recent Progresses of Micro-Nanostructured Transition Metal Compound-Based Electrocatalysts for Energy Conversion Technologies. Sci. China Mater. 2021, 64, 1–26. [Google Scholar] [CrossRef]
- Wang, J.; Kong, H.; Zhang, J.; Hao, Y.; Shao, Z.; Ciucci, F. Carbon-Based Electrocatalysts for Sustainable Energy Applications. Prog. Mater. Sci. 2021, 116, 100717. [Google Scholar] [CrossRef]
- Liu, D.; Dai, L.; Lin, X.; Chen, J.F.; Zhang, J.; Feng, X.; Müllen, K.; Zhu, X.; Dai, S. Chemical Approaches to Carbon-Based Metal-Free Catalysts. Adv. Mater. 2019, 31, 1804863. [Google Scholar] [CrossRef] [PubMed]
- Guo, J.; Gadipelli, S.; Yang, Y.; Li, Z.; Lu, Y.; Brett, D.J.L.; Guo, Z. An Efficient Carbon-Based ORR Catalyst from Low-Temperature Etching of ZIF-67 with Ultra-Small Cobalt Nanoparticles and High Yield. J. Mater. Chem. A 2019, 7, 3544–3551. [Google Scholar] [CrossRef]
- Kasibhatta, K.R.D.; Madakannu, I.; Prasanthi, I. Hetero Atom Doped Graphene Nanoarchitectonics as Electrocatalysts Towards the Oxygen Reduction and Evolution Reactions in Acidic Medium. J. Inorg. Organomet. Polym. Mater. 2021, 31, 1859–1876. [Google Scholar] [CrossRef]
- Hu, C.; Liu, D.; Xiao, Y.; Dai, L. Functionalization of Graphene Materials by Heteroatom-Doping for Energy Conversion and Storage. Prog. Nat. Sci. Mater. Int. 2018, 28, 121–132. [Google Scholar] [CrossRef]
- Jiao, Y.; Zheng, Y.; Davey, K.; Qiao, S.Z. Activity Origin and Catalyst Design Principles for Electrocatalytic Hydrogen Evolution on Heteroatom-Doped Graphene. Nat. Energy 2016, 1, 16130. [Google Scholar] [CrossRef]
- Qiu, T.; Gao, S.; Liang, Z.; Wang, D.G.; Tabassum, H.; Zhong, R.; Zou, R. Pristine Hollow Metal–Organic Frameworks: Design, Synthesis and Application. Angew. Chem.-Int. Ed. 2021, 60, 17314–17336. [Google Scholar] [CrossRef]
- Paul, A.; Das, K.; Karmakar, A.; Guedes Da Silva, M.F.C.; Pombeiro, A.J.L. A Mechanistic Insight into the Rapid and Selective Removal of Congo Red by an Amide Functionalised Zn(Ii) Coordination Polymer. Dalton Trans. 2020, 49, 12970–12984. [Google Scholar] [CrossRef]
- Paul, A.; Upadhyay, K.K.; Backović, G.; Karmakar, A.; Vieira Ferreira, L.F.; Šljukić, B.; Montemor, M.F.; Guedes Da Silva, M.F.C.; Pombeiro, A.J.L. Versatility of Amide-Functionalized Co(II) and Ni(II) Coordination Polymers: From Thermochromic-Triggered Structural Transformations to Supercapacitors and Electrocatalysts for Water Splitting. Inorg. Chem. 2020, 59, 16301–16318. [Google Scholar] [CrossRef]
- Paul, A.; Martins, L.M.D.R.S.; Karmakar, A.; Kuznetsov, M.L.; Novikov, A.S.; Guedes da Silva, M.F.C.; Pombeiro, A.J.L. Environmentally Benign Benzyl Alcohol Oxidation and C-C Coupling Catalysed by Amide Functionalized 3D Co(II) and Zn(II) Metal Organic Frameworks. J. Catal. 2020, 385, 324–337. [Google Scholar] [CrossRef]
- Li, Y.; Wang, Y.; Fan, W.; Sun, D. Flexible Metal–Organic Frameworks for Gas Storage and Separation. Dalton Trans. 2022, 51, 4608–4618. [Google Scholar] [CrossRef] [PubMed]
- Liu, J.; Chen, Y.; Feng, X.; Dong, R. Conductive 2D Conjugated Metal–Organic Framework Thin Films: Synthesis and Functions for (Opto-)Electronics. Small Struct. 2022, 3, 2100210. [Google Scholar] [CrossRef]
- Jia, Y.; Xue, Z.; Li, Y.; Li, G. Recent Progress of Metal Organic Frameworks-Based Electrocatalysts for Hydrogen Evolution, Oxygen Evolution, and Oxygen Reduction Reaction. Energy Environ. Mater. 2022, 1–19. [Google Scholar] [CrossRef]
- Imran, M.; Ikram, M.; Dilpazir, S.; Naseem, B.; Lin, Y.; Pan, J. Functionality and Design of Co-MOFs: Unique Opportunities in Electrocatalysts for Oxygen Reduction Reaction. Catal. Sci. Technol. 2022, 12, 17230–17240. [Google Scholar] [CrossRef]
- Wang, J.; Fan, Y.; Qi, S.; Li, W.; Zhao, M. Bifunctional HER/OER or OER/ORR Catalytic Activity of Two-Dimensional TM3(HITP)2 with TM = Fe-Zn. J. Phys. Chem. C 2020, 124, 9350–9359. [Google Scholar] [CrossRef]
- Zhang, T.; Zhang, B.; Peng, Q.; Zhou, J.; Sun, Z. Mo2B2MBene-Supported Single-Atom Catalysts as Bifunctional HER/OER and OER/ORR Electrocatalysts. J. Mater. Chem. A 2021, 9, 433–441. [Google Scholar] [CrossRef]
- Abazari, R.; Sanati, S.; Morsali, A.; Slawin, A.M.Z.; Carpenter-Warren, C.L.; Chen, W.; Zheng, A. Ultrafast Post-Synthetic Modification of a Pillared Cobalt(Ii)-Based Metal-Organic Framework: Via Sulfurization of Its Pores for High-Performance Supercapacitors. J. Mater. Chem. A 2019, 7, 11953–11966. [Google Scholar] [CrossRef]
- Gong, Y.; Li, J.; Jiang, P.G.; Li, Q.F.; Lin, J.H. Novel Metal(Ii) Coordination Polymers Based on N,N′-Bis-(4-Pyridyl) Phthalamide as Supercapacitor Electrode Materials in an Aqueous Electrolyte. Dalton Trans. 2013, 42, 1603–1611. [Google Scholar] [CrossRef]
- Paul, A.; Karmakar, A.; Guedes Da Silva, M.F.C.; Pombeiro, A.J.L. Amide Functionalized Metal Organic Frameworks for Diastereoselective Nitroaldol (Henry) Reaction in Aqueous Medium. RSC Adv. 2015, 5, 87400–87410. [Google Scholar] [CrossRef]
- Blatov, V.A.; O’Keeffe, M.; Proserpio, D.M. Vertex-, Face-, Point-, Schläfli-, and Delaney-Symbols in Nets, Polyhedra and Tilings: Recommended Terminology. CrystEngComm 2010, 12, 44–48. [Google Scholar] [CrossRef]
- Sheldrick, G.M. A Study to Develop Platinum( Iv ) Complex Chemistry for Peptide Disulfide Bond Formation. Acta Crystallogr. 2015, C71, 3–8. [Google Scholar]
- Farrugia, L.J. WinGX and ORTEP for Windows: An Update. J. Appl. Crystallogr. 2012, 45, 849–854. [Google Scholar] [CrossRef]
- Chen, M.S.; Hua, Q.; Bai, Z.S.; Okamura, T.A.; Su, Z.; Sun, W.Y.; Ueyama, N. Syntheses and Characterization of Inorganic-Organic Hybrids with 4-(Isonicotinamido)Phthalate and Some Divalent Metal Centers. Polyhedron 2010, 29, 2454–2461. [Google Scholar] [CrossRef]
- Chao, S.; Xia, Q.; Wang, Y.; Li, W.; Chen, W. Pristine S,N-Containing Mn-Based Metal Organic Framework Nanorods Enable Efficient Oxygen Reduction Electrocatalysis. Dalton Trans. 2020, 49, 4336–4342. [Google Scholar] [CrossRef]
- Paul, A.; Silva, T.A.R.; Soliman, M.M.A.; Karačić, J.; Šljukić, B.; Alegria, E.C.B.A.; Khan, R.A.; Guedes da Silva, M.F.C.; Pombeiro, A.J.L. Benzimidazole Schiff Base Copper(II) Complexes as Catalysts for Environmental and Energy Applications: VOC Oxidation, Oxygen Reduction and Water Splitting Reactions. Int. J. Hydrogen Energy 2022, 47, 23175–23190. [Google Scholar] [CrossRef]
- Wahab, A.; Iqbal, N.; Noor, T.; Ashraf, S.; Raza, M.A.; Ahmad, A.; Khan, U.A. Thermally Reduced Mesoporous Manganese MOF @reduced Graphene Oxide Nanocomposite as Bifunctional Electrocatalyst for Oxygen Reduction and Evolution. RSC Adv. 2020, 10, 27728–27742. [Google Scholar] [CrossRef]
- Gonen, S.; Lori, O.; Cohen-Taguri, G.; Elbaz, L. Metal Organic Frameworks as a Catalyst for Oxygen Reduction: An Unexpected Outcome of a Highly Active Mn-MOF-Based Catalyst Incorporated in Activated Carbon. Nanoscale 2018, 10, 9634–9641. [Google Scholar] [CrossRef]
- Chen, M.; Liu, J.; Zhou, W.; Lin, J.; Shen, Z. Nitrogen-Doped Graphene-Supported Transition-Metals Carbide Electrocatalysts for Oxygen Reduction Reaction. Sci. Rep. 2015, 5, 10389. [Google Scholar] [CrossRef]
- Lian, Y.; Yang, W.; Zhang, C.; Sun, H.; Deng, Z.; Xu, W.; Song, L.; Ouyang, Z.; Wang, Z.; Guo, J.; et al. Unpaired 3d Electrons on Atomically Dispersed Cobalt Centres in Coordination Polymers Regulate Both Oxygen Reduction Reaction (ORR) Activity and Selectivity for Use in Zinc–Air Batteries. Angew. Chem.-Int. Ed. 2020, 59, 286–294. [Google Scholar] [CrossRef]
- Shinde, S.S.; Lee, C.H.; Jung, J.Y.; Wagh, N.K.; Kim, S.H.; Kim, D.H.; Lin, C.; Lee, S.U.; Lee, J.H. Unveiling Dual-Linkage 3D Hexaiminobenzene Metal-Organic Frameworks towards Long-Lasting Advanced Reversible Zn-Air Batteries. Energy Environ. Sci. 2019, 12, 727–738. [Google Scholar] [CrossRef]
- Singh, K.; Guillen Campos, J.D.J.; Dinic, F.; Hao, Z.; Yuan, T.; Voznyy, O. Manganese MOF Enables Efficient Oxygen Evolution in Acid. ACS Mater. Lett. 2020, 2, 798–800. [Google Scholar] [CrossRef]
- Wang, A.; Cheng, L.; Shen, X.; Zhu, W.; Li, L. Mechanistic Insight on Porphyrin Based Porous Titanium Coordination Polymer as Efficient Bifunctional Electrocatalyst for Hydrogen and Oxygen Evolution Reactions. Dyes Pigment. 2020, 181, 108568. [Google Scholar] [CrossRef]
- Zheng, Q.M.; Liu, J.L.; Qin, L.; Hu, Q.; Zheng, Y.; Yang, X.; Zhang, M.D. Hydrogen Evolution Reaction of One 2D Cobalt Coordination Polymer with Coordinated Sulfate Ion. J. Solid State Chem. 2021, 299, 122191. [Google Scholar] [CrossRef]







| Sl. No. | Catalyst | Tafel Slope (mV dec−1) | jd (mA cm−2) | n | jk (mA cm−2) | Cdl (mF cm−2) | E1/2 (V) | Ref. |
|---|---|---|---|---|---|---|---|---|
| 1 | Mn-CP | 101 | −1.64 | 3.5 | −0.46 | 0.11 | 0.58 | This work |
| 2 | MnBDC | 138 | - | - | - | - | 0.91 | [36] |
| 3 | MnBDC@75% rGO | 93.5 | ≈−2.1 | - | - | - | 0.94 | [36] |
| 4 | MnII[(Tdc)(4,4′-Bpy)]n | 95 | ≈−5.7 at 1600 rpm | 3.65 | - | - | 0.79 | [34] |
| 5 | Mn-HIB-MOF | - | −4.08 | - | - | - | 0.74 | [40] |
| 6 | Ni3HITP2 | 237 | - | 2.46 | - | - | 0.66 | [39] |
| 7 | Co3HITP2 | 89 | 5.52 | 3.97 | - | - | 0.80 | [39] |
| 8 | Co0.73Ni2.27HITP2 | 180 | - | - | - | - | 0.72 | [39] |
| 9 | Co01.27Ni1.73HITP2 | 148 | - | - | - | - | 0.75 | [39] |
| 10 | Co02.14Ni0.86HITP2 | 102 | - | - | - | - | 0.78 | [39] |
| Catalyst | Reaction | Electrolyte | Tafel Slope (mV dec−1) | j0 (mA cm−2) | jη (mAcm−2) | Eonset (V) | Ref. |
|---|---|---|---|---|---|---|---|
| Mn-CP | HER | 0.5 M H2SO4 | 220 | −0.628 | −4.808 (0.4 V) | −0.03 | This work |
| Mn-CP | OER | 0.5 M H2SO4 | 465 | 0.277 | 0.948 (0.4 V) | 1.59 | This work |
| MnTPA/C | OER | 0.05 M H2SO4 | - | - | 10 (0.539 V) | - | [41] |
| MnBDC@75% rGO | OER | 1 M KOH | 83 | - | - | ≈1.75 | [36] |
| Mn-HIB-MOF | OER | 0.1 M KOH | - | - | 10 (0.40 V) | - | [40] |
| Mn/Fe-HIB-MOF | OER | 0.1 M KOH | 45 | 10 (0.28 V) | 1.33 | [40] | |
| Mn/Co-HIB-MOF | OER | 0.1 M KOH | 10 (0.40 V) | 1.46 | [40] | ||
| Mn/Ni-HIB-MOF | OER | 0.1 M KOH | 10 (0.39 V) | 1.40 | [40] | ||
| Mn/Ru-HIB-MOF | OER | 0.1 M KOH | 10 (0.38 V) | 1.43 | [40] | ||
| TiCP-PCP | HER | 0.5 M H2SO4 | 142 | - | ≈−17 | [42] | |
| TiCP-PCP | OER | 1 M KOH | 117 | - | - | [42] |
Publisher’s Note: MDPI stays neutral with regard to jurisdictional claims in published maps and institutional affiliations. |
© 2022 by the authors. Licensee MDPI, Basel, Switzerland. This article is an open access article distributed under the terms and conditions of the Creative Commons Attribution (CC BY) license (https://creativecommons.org/licenses/by/4.0/).
Share and Cite
Paul, A.; Radinović, K.; Hazra, S.; Mladenović, D.; Šljukić, B.; Khan, R.A.; Guedes da Silva, M.F.C.; Pombeiro, A.J.L. Electrocatalytic Behavior of an Amide Functionalized Mn(II) Coordination Polymer on ORR, OER and HER. Molecules 2022, 27, 7323. https://doi.org/10.3390/molecules27217323
Paul A, Radinović K, Hazra S, Mladenović D, Šljukić B, Khan RA, Guedes da Silva MFC, Pombeiro AJL. Electrocatalytic Behavior of an Amide Functionalized Mn(II) Coordination Polymer on ORR, OER and HER. Molecules. 2022; 27(21):7323. https://doi.org/10.3390/molecules27217323
Chicago/Turabian StylePaul, Anup, Kristina Radinović, Susanta Hazra, Dušan Mladenović, Biljana Šljukić, Rais Ahmad Khan, Maria Fátima C. Guedes da Silva, and Armando J. L. Pombeiro. 2022. "Electrocatalytic Behavior of an Amide Functionalized Mn(II) Coordination Polymer on ORR, OER and HER" Molecules 27, no. 21: 7323. https://doi.org/10.3390/molecules27217323
APA StylePaul, A., Radinović, K., Hazra, S., Mladenović, D., Šljukić, B., Khan, R. A., Guedes da Silva, M. F. C., & Pombeiro, A. J. L. (2022). Electrocatalytic Behavior of an Amide Functionalized Mn(II) Coordination Polymer on ORR, OER and HER. Molecules, 27(21), 7323. https://doi.org/10.3390/molecules27217323

