Metal-Free Synthesis of Carbamoylated Chroman-4-Ones via Cascade Radical Annulation of 2-(Allyloxy)arylaldehydes with Oxamic Acids
Abstract
1. Introduction
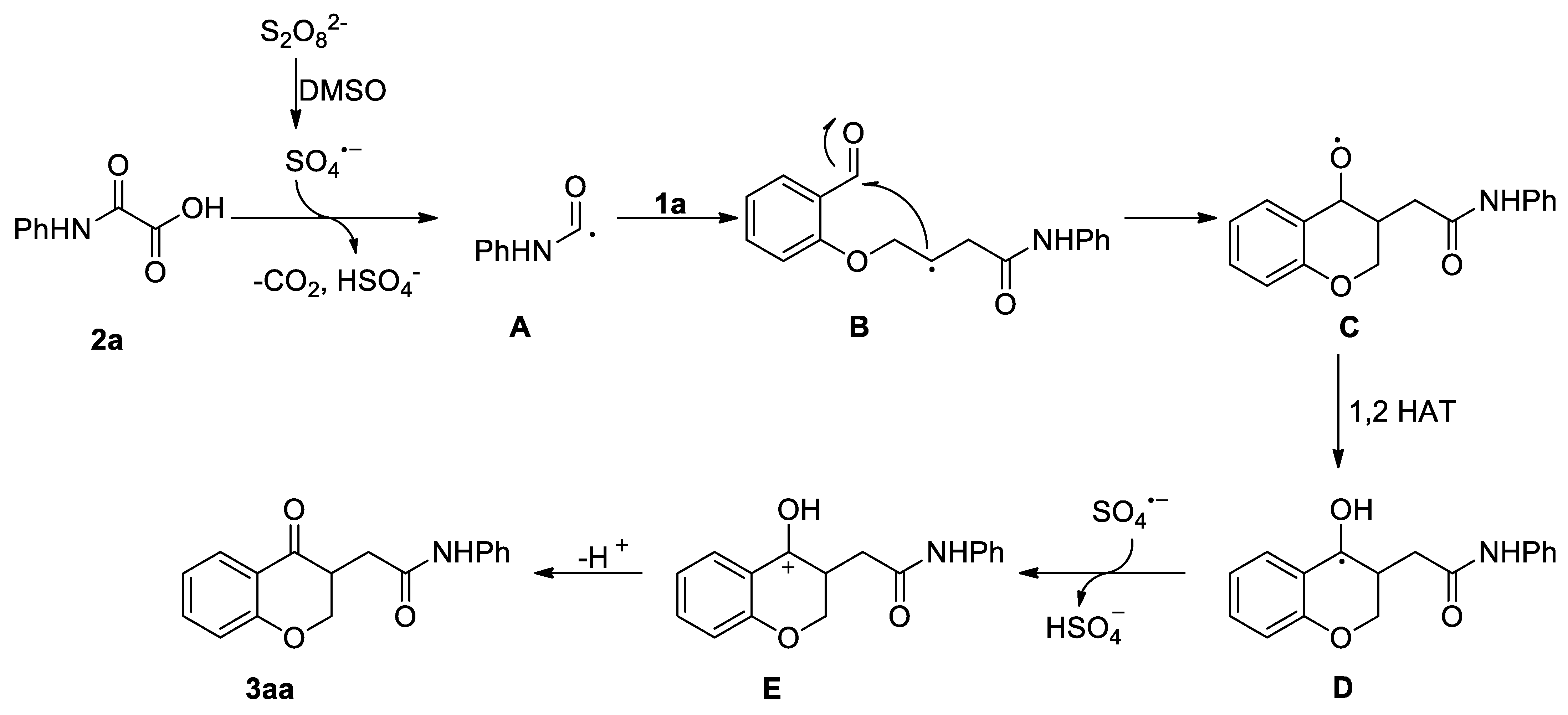
2. Results and Discussion
3. Materials and Methods
3.1. General Information
3.2. General Procedure for the Preparation of Carbamoylated Chroman-4-Ones
3.3. Gram-Scale Synthesis of 3aa
3.4. Characterization Data of Products 3aa–3qa and 3ab–3an
4. Conclusions
Supplementary Materials
Author Contributions
Funding
Institutional Review Board Statement
Informed Consent Statement
Data Availability Statement
Conflicts of Interest
Sample Availability
References
- Gaspar, A.; Matos, M.J.; Garrido, J.; Uriarte, E.; Borges, F. Chromone: A Valid Scaffold in Medicinal Chemistry. Chem. Rev. 2014, 114, 4960–4992. [Google Scholar] [CrossRef] [PubMed]
- Kumar, D.; Sharma, P.; Singh, H.; Nepali, K.; Gupta, G.K.; Jain, S.K.; Ntie-Kang, F. The value of pyrans as anticancer scaffolds in medicinal chemistry. RSC Adv. 2017, 7, 36977–36999. [Google Scholar] [CrossRef]
- Reis, J.; Gaspar, A.; Milhazes, N.; Borges, F. Chromone as a Privileged Scaffold in Drug Discovery: Recent Advances. J. Med. Chem. 2017, 60, 7941–7957. [Google Scholar] [CrossRef] [PubMed]
- Seifert, T.; Malo, M.; Kokkola, T.; Engen, K.; Fridén-Saxin, M.; Wallén, E.A.A.; Lahtela-Kakkonen, M.; Jarho, E.M.; Luthman, K. Chroman-4-one- and Chromone-Based Sirtuin 2 Inhibitors with Antiproliferative Properties in Cancer Cells. J. Med. Chem. 2014, 57, 9870–9888. [Google Scholar] [CrossRef] [PubMed]
- Diana, E.J.; Kanchana, U.S.; Mathew, T.V. Current developments in the synthesis of 4-chromanone-derived compounds. Org. Biomol. Chem. 2021, 19, 7995–8008. [Google Scholar] [CrossRef] [PubMed]
- Xiong, L.; Hu, H.; Wei, C.-W.; Yu, B. Radical Reactions for the Synthesis of 3-Substituted Chroman-4-ones. Eur. J. Org. Chem. 2020, 2020, 1588–1597. [Google Scholar] [CrossRef]
- Biju, A.T.; Wurz, N.E.; Glorius, F. N-Heterocyclic Carbene-Catalyzed Cascade Reaction Involving the Hydroacylation of Unactivated Alkynes. J. Am. Chem. Soc. 2010, 132, 5970–5971. [Google Scholar] [CrossRef]
- Du, Z.; Ng, H.; Zhang, K.; Zeng, H.; Wang, J. Ionic liquid mediated Cu-catalyzed cascade oxa-Michael-oxidation: Efficient synthesis of flavones under mild reaction conditions. Org. Biomol. Chem. 2011, 9, 6930–6933. [Google Scholar] [CrossRef]
- Enders, D.; Breuer, K.; Runsink, J.; Teles, J.H. The First Asymmetric Intramolecular Stetter Reaction. Preliminary Communication. Helv. Chim. Acta 1996, 79, 1899–1902. [Google Scholar] [CrossRef]
- Fridén-Saxin, M.; Pemberton, N.; da Silva Andersson, K.; Dyrager, C.; Friberg, A.; Grøtli, M.; Luthman, K. Synthesis of 2-Alkyl-Substituted Chromone Derivatives Using Microwave Irradiation. J. Org. Chem. 2009, 74, 2755–2759. [Google Scholar] [CrossRef]
- Hirano, K.; Biju, A.T.; Piel, I.; Glorius, F. N-Heterocyclic Carbene-Catalyzed Hydroacylation of Unactivated Double Bonds. J. Am. Chem. Soc. 2009, 131, 14190–14191. [Google Scholar] [CrossRef] [PubMed]
- Yatabe, T.; Jin, X.; Yamaguchi, K.; Mizuno, N. Gold Nanoparticles Supported on a Layered Double Hydroxide as Efficient Catalysts for the One-Pot Synthesis of Flavones. Angew. Chem. Int. Ed. 2015, 54, 13302–13306. [Google Scholar] [CrossRef] [PubMed]
- Zhong, S.; Liu, Y.; Cao, X.; Wan, J.-P. KIO3-Catalyzed Domino C(sp2)−H Bond Sulfenylation and C−N Bond Oxygenation of Enaminones toward the Synthesis of 3-Sulfenylated Chromones. ChemCatChem 2017, 9, 465–468. [Google Scholar] [CrossRef]
- Zhou, N.; Wu, M.; Zhang, M.; Zhou, X. Visible-Light-Induced Difluoroacetylation of O-(Allyloxy)Aryl-Aldehydes: Access to Difluoroacetylated Chroman-4-ones. Asian J. Org. Chem. 2019, 8, 828–831. [Google Scholar] [CrossRef]
- Sheng, J.; Liu, J.; Chen, L.; Zhang, L.; Zheng, L.; Wei, X. Silver-catalyzed cascade radical cyclization of 2-(allyloxy)arylaldehydes with cyclopropanols: Access to chroman-4-one derivatives. Org. Chem. Front. 2019, 6, 1471–1475. [Google Scholar] [CrossRef]
- Liu, M.-C.; Liu, W.; Wu, H.-Y.; Zhou, Y.-B.; Ding, Q.; Peng, Y. Transition-metal-free synthesis of CMe2CF3-containing chroman-4-ones via decarboxylative trifluoroalkylation. Org. Chem. Front. 2020, 7, 487–491. [Google Scholar] [CrossRef]
- Huang, H.-L.; Du, J.-Y.; Li, Q.-L.; Gao, F.; Ma, C.-L. Visible-Light-Promoted Cascade Radical Cyclization: Synthesis of Chroman-4-ones and Dihydroquinolin-4-ones. J. Org. Chem. 2020, 85, 3963–3972. [Google Scholar] [CrossRef]
- Hu, H.; Chen, X.; Sun, K.; Wang, J.; Liu, Y.; Liu, H.; Fan, L.; Yu, B.; Sun, Y.; Qu, L.; et al. Silver-Catalyzed Radical Cascade Cyclization toward 1,5-/1,3-Dicarbonyl Heterocycles: An Atom-/Step-Economical Strategy Leading to Chromenopyridines and Isoxazole-/Pyrazole-Containing Chroman-4-Ones. Org. Lett. 2018, 20, 6157–6160. [Google Scholar] [CrossRef]
- Das, S.; Parida, S.K.; Mandal, T.; Sing, L.; De Sarkar, S.; Murarka, S. Organophotoredox-Catalyzed Cascade Radical Annulation of 2-(Allyloxy)arylaldehydes with N-(acyloxy)phthalimides: Towards Alkylated Chroman-4-one Derivatives. Chem. Asian J. 2020, 15, 568–572. [Google Scholar] [CrossRef]
- Xiao, Y.-M.; Liu, Y.; Mai, W.-P.; Mao, P.; Yuan, J.-W.; Yang, L.-R. A Novel and Facile Synthesis of Chroman-4-one Derivatives via Cascade Radical Cyclization Under Metal-free Condition. ChemistrySelect 2019, 4, 1939–1942. [Google Scholar] [CrossRef]
- He, X.-K.; Cai, B.-G.; Yang, Q.-Q.; Wang, L.; Xuan, J. Visible-Light-Promoted Cascade Radical Cyclization: Synthesis of 1,4-Diketones Containing Chroman-4-One Skeletons. Chem. Asian J. 2019, 14, 3269–3273. [Google Scholar] [CrossRef] [PubMed]
- Tang, L.; Yang, Z.; Chang, X.; Jiao, J.; Ma, X.; Rao, W.; Zhou, Q.; Zheng, L. K2S2O8-Mediated Selective Trifluoromethylacylation and Trifluoromethylarylation of Alkenes under Transition-Metal-Free Conditions: Synthetic Scope and Mechanistic Studies. Org. Lett. 2018, 20, 6520–6525. [Google Scholar] [CrossRef] [PubMed]
- Liu, Z.; Bai, Y.; Zhang, J.; Yu, Y.; Tan, Z.; Zhu, G. Copper-catalyzed acyltrifluoromethylation of alkenes: Rapid access to trifluoroethyl indanones and related compounds. Chem. Commun. 2017, 53, 6440–6443. [Google Scholar] [CrossRef]
- Zhao, J.; Li, P.; Li, X.; Xia, C.; Li, F. Straightforward synthesis of functionalized chroman-4-ones through cascade radical cyclization-coupling of 2-(allyloxy)arylaldehydes. Chem. Commun. 2016, 52, 3661–3664. [Google Scholar] [CrossRef] [PubMed]
- Liu, Q.; Lu, W.; Xie, G.; Wang, X. Metal-free synthesis of phosphinoylchroman-4-ones via a radical phosphinoylation–cyclization cascade mediated by K2S2O8. Beilstein J. Org. Chem. 2020, 16, 1974–1982. [Google Scholar] [CrossRef] [PubMed]
- Mei, Y.; Zhao, L.; Liu, Q.; Ruan, S.; Wang, L.; Li, P. Synthesis of sulfone-functionalized chroman-4-ones and chromans through visible-light-induced cascade radical cyclization under transition-metal-free conditions. Green Chem. 2020, 22, 2270–2278. [Google Scholar] [CrossRef]
- Li, G.-H.; Han, Q.-Q.; Sun, Y.-Y.; Chen, D.-M.; Wang, Z.-L.; Xu, X.-M.; Yu, X.-Y. Visible-light induced cascade radical cyclization of sulfinic acids and o-(allyloxy)arylaldehydes towards functionalized chroman-4-ones. Chin. Chem. Lett. 2020, 31, 3255–3258. [Google Scholar] [CrossRef]
- Han, Q.-Q.; Li, G.-H.; Sun, Y.-Y.; Chen, D.-M.; Wang, Z.-L.; Yu, X.-Y.; Xu, X.-M. Silver-catalyzed cascade radical cyclization of sodium sulfinates and o-(allyloxy)arylaldehydes towards functionalized chroman-4-ones. Tetrahedron Lett. 2020, 61, 151704. [Google Scholar] [CrossRef]
- Yang, W.-C.; Dai, P.; Luo, K.; Ji, Y.-G.; Wu, L. Aldehydes as Carbon Radical Acceptors: Silver Nitrate Catalyzed Cascade Decarboxylation and Oxidative Cyclization toward Dihydroflavonoid Derivatives. Adv. Synth. Catal. 2017, 359, 2390–2395. [Google Scholar]
- Hu, H.; Chen, X.; Sun, K.; Wang, J.; Liu, Y.; Liu, H.; Yu, B.; Sun, Y.; Qu, L.; Zhao, Y. Silver-catalyzed decarboxylative cascade radical cyclization of tert-carboxylic acids and o-(allyloxy)arylaldehydes towards chroman-4-one derivatives. Org. Chem. Front. 2018, 5, 2925–2929. [Google Scholar] [CrossRef]
- Zhou, Y.; Xiong, Z.; Qiu, J.; Kong, L.; Zhu, G. Visible light photocatalytic acyldifluoroalkylation of unactivated alkenes for the direct synthesis of gem-difluorinated ketones. Org. Chem. Front. 2019, 6, 1022–1026. [Google Scholar] [CrossRef]
- Tangallapally, R.P.; Yendapally, R.; Lee, R.E.; Lenaerts, A.J.M.; Lee, R.E. Synthesis and Evaluation of Cyclic Secondary Amine Substituted Phenyl and Benzyl Nitrofuranyl Amides as Novel Antituberculosis Agents. J. Med. Chem. 2005, 48, 8261–8269. [Google Scholar] [CrossRef] [PubMed]
- Dunetz, J.R.; Magano, J.; Weisenburger, G.A. Large-Scale Applications of Amide Coupling Reagents for the Synthesis of Pharmaceuticals. Org. Process Res. Dev. 2016, 20, 140–177. [Google Scholar] [CrossRef]
- de Figueiredo, R.M.; Suppo, J.-S.; Campagne, J.-M. Nonclassical Routes for Amide Bond Formation. Chem. Rev. 2016, 116, 12029–12122. [Google Scholar] [CrossRef]
- Cheng, R.P.; Gellman, S.H.; DeGrado, W.F. β-Peptides: From Structure to Function. Chem. Rev. 2001, 101, 3219–3232. [Google Scholar] [CrossRef] [PubMed]
- Li, Y.; Hu, Y.; Wu, X.-F. Non-noble metal-catalysed carbonylative transformations. Chem. Soc. Rev. 2018, 47, 172–194. [Google Scholar] [CrossRef] [PubMed]
- Bednarek, C.; Wehl, I.; Jung, N.; Schepers, U.; Bräse, S. The Staudinger Ligation. Chem. Rev. 2020, 120, 4301–4354. [Google Scholar] [CrossRef]
- Allen, C.L.; Williams, J.M.J. Metal-catalysed approaches to amide bond formation. Chem. Soc. Rev. 2011, 40, 3405–3415. [Google Scholar] [CrossRef]
- Ojeda-Porras, A.; Gamba-Sánchez, D. Recent Developments in Amide Synthesis Using Nonactivated Starting Materials. J. Org. Chem. 2016, 81, 11548–11555. [Google Scholar] [CrossRef]
- Lundberg, H.; Tinnis, F.; Selander, N.; Adolfsson, H. Catalytic amide formation from non-activated carboxylic acids and amines. Chem. Soc. Rev. 2014, 43, 2714–2742. [Google Scholar] [CrossRef]
- Yuan, J.-W.; Zhu, J.-L.; Zhu, H.-L.; Peng, F.; Yang, L.-Y.; Mao, P.; Zhang, S.-R.; Li, Y.-C.; Qu, L.-B. Transition-metal free direct C–H functionalization of quinoxalin-2(1H)-ones with oxamic acids leading to 3-carbamoyl quinoxalin-2(1H)-ones. Org. Chem. Front. 2020, 7, 273–285. [Google Scholar] [CrossRef]
- Yuan, J.-W.; Chen, Q.; Li, C.; Zhu, J.-L.; Yang, L.-R.; Zhang, S.-R.; Mao, P.; Xiao, Y.-M.; Qu, L.-B. Silver-catalyzed direct C–H oxidative carbamoylation of quinolines with oxamic acids. Org. Biomol. Chem. 2020, 18, 2747–2757. [Google Scholar] [CrossRef] [PubMed]
- Liu, Q.; Wang, L.; Liu, J.; Ruan, S.; Li, P. Facile synthesis of carbamoylated benzimidazo[2,1-a]isoquinolin-6(5H)-ones via radical cascade cyclization under metal-free conditions. Org. Biomol. Chem. 2021, 19, 3489–3496. [Google Scholar] [CrossRef]
- Bhat, V.S.; Lee, A. Direct C3 Carbamoylation of 2H-Indazoles. Eur. J. Org. Chem. 2021, 2021, 3382–3385. [Google Scholar] [CrossRef]
- Zhang, Z.; Jia, C.; Kong, X.; Hussain, M.; Liu, Z.; Liang, W.; Jiang, L.; Jiang, H.; Ma, J. Sustainable Approach to Azaheterocyclic Acetamides by Decarboxylative Aminoformylation. ACS Sustain. Chem. Eng. 2020, 8, 16463–16468. [Google Scholar] [CrossRef]
- Wu, Y.; Jiang, C.; Wu, D.; Gu, Q.; Luo, Z.-Y.; Luo, H.-B. Palladium-catalyzed C–H bond carboxylation of acetanilides: An efficient usage of N,N-dimethyloxamic acid as the carboxylate source. Chem. Commun. 2016, 52, 1286–1289. [Google Scholar] [CrossRef] [PubMed]
- Petersen, W.F.; Taylor, R.J.K.; Donald, J.R. Photoredox-catalyzed procedure for carbamoyl radical generation: 3,4-dihydroquinolin-2-one and quinolin-2-one synthesis. Org. Biomol. Chem. 2017, 15, 5831–5845. [Google Scholar] [CrossRef] [PubMed]
- Minisci, F.; Fontana, F.; Coppa, F.; Yan, Y.M. Reactivity of Carbamoyl Radicals. A New, General, Convenient Free-Radical Synthesis of Isocyanates from Monoamides of Oxalic Acid. J. Org. Chem. 1995, 60, 5430–5433. [Google Scholar] [CrossRef]
- Mai, W.-P.; Sun, G.-C.; Wang, J.-T.; Song, G.; Mao, P.; Yang, L.-R.; Yuan, J.-W.; Xiao, Y.-M.; Qu, L.-B. Silver-Catalyzed Radical Tandem Cyclization: An Approach to Direct Synthesis of 3-Acyl-4-arylquinolin-2(1H)-ones. J. Org. Chem. 2014, 79, 8094–8102. [Google Scholar] [CrossRef] [PubMed]
- Li, M.; Wang, C.; Fang, P.; Ge, H. Pd(ii)-catalyzed decarboxylative cross-coupling of oxamic acids with potassium phenyltrifluoroborates under mild conditions. Chem. Commun. 2011, 47, 6587–6589. [Google Scholar] [CrossRef]






| Entry | Oxidant | Solvent | Temp | Yield of 3aa b |
|---|---|---|---|---|
![]() | ||||
| 1 | (NH4)2S2O8 | DMSO | 70 | 78% |
| 2 | (NH4)2S2O8 | CH3CN | 70 | 0% |
| 3 | (NH4)2S2O8 | DMF | 70 | 0% |
| 4 | (NH4)2S2O8 | DCE | 70 | 0% |
| 5 | (NH4)2S2O8 | THF | 70 | 0% |
| 6 | (NH4)2S2O8 | H2O | 70 | 0% |
| 7 | (NH4)2S2O8 | Acetone | 70 | 0% |
| 8 | K2S2O8 | DMSO | 70 | 0% |
| 9 | Na2S2O8 | DMSO | 70 | 0% |
| 10 | TBHP | DMSO | 70 | 0% |
| 11 | Selectfluor | DMSO | 70 | 0% |
| 12 | PhI(OAc)2 | DMSO | 70 | 0% |
| 13 | (NH4)2S2O8 | DMSO | 60 | 81% |
| 14 | (NH4)2S2O8 | DMSO | 50 | 53% |
| 15 | (NH4)2S2O8 | DMSO | 80 | 72% |
| 16 c | (NH4)2S2O8 | DMSO | 60 | 67% |
| 17 d | (NH4)2S2O8 | DMSO | 60 | 71% |
| 18 e | (NH4)2S2O8 | DMSO | 60 | 68% |
| 19 | DMSO | 60 | 0% | |
Publisher’s Note: MDPI stays neutral with regard to jurisdictional claims in published maps and institutional affiliations. |
© 2022 by the authors. Licensee MDPI, Basel, Switzerland. This article is an open access article distributed under the terms and conditions of the Creative Commons Attribution (CC BY) license (https://creativecommons.org/licenses/by/4.0/).
Share and Cite
Xie, L.-Y.; Peng, S.; Yang, L.-H.; Liu, X.-W. Metal-Free Synthesis of Carbamoylated Chroman-4-Ones via Cascade Radical Annulation of 2-(Allyloxy)arylaldehydes with Oxamic Acids. Molecules 2022, 27, 7049. https://doi.org/10.3390/molecules27207049
Xie L-Y, Peng S, Yang L-H, Liu X-W. Metal-Free Synthesis of Carbamoylated Chroman-4-Ones via Cascade Radical Annulation of 2-(Allyloxy)arylaldehydes with Oxamic Acids. Molecules. 2022; 27(20):7049. https://doi.org/10.3390/molecules27207049
Chicago/Turabian StyleXie, Long-Yong, Sha Peng, Li-Hua Yang, and Xiao-Wen Liu. 2022. "Metal-Free Synthesis of Carbamoylated Chroman-4-Ones via Cascade Radical Annulation of 2-(Allyloxy)arylaldehydes with Oxamic Acids" Molecules 27, no. 20: 7049. https://doi.org/10.3390/molecules27207049
APA StyleXie, L.-Y., Peng, S., Yang, L.-H., & Liu, X.-W. (2022). Metal-Free Synthesis of Carbamoylated Chroman-4-Ones via Cascade Radical Annulation of 2-(Allyloxy)arylaldehydes with Oxamic Acids. Molecules, 27(20), 7049. https://doi.org/10.3390/molecules27207049


