Visible Light-Induced Aerobic Oxidative Dehydrogenation of C–N/C–O to C=N/C=O Bonds Using Metal-Free Photocatalysts: Recent Developments
Abstract
:1. Introduction
2. Oxidative Dehydrogenation of C–N Bonds
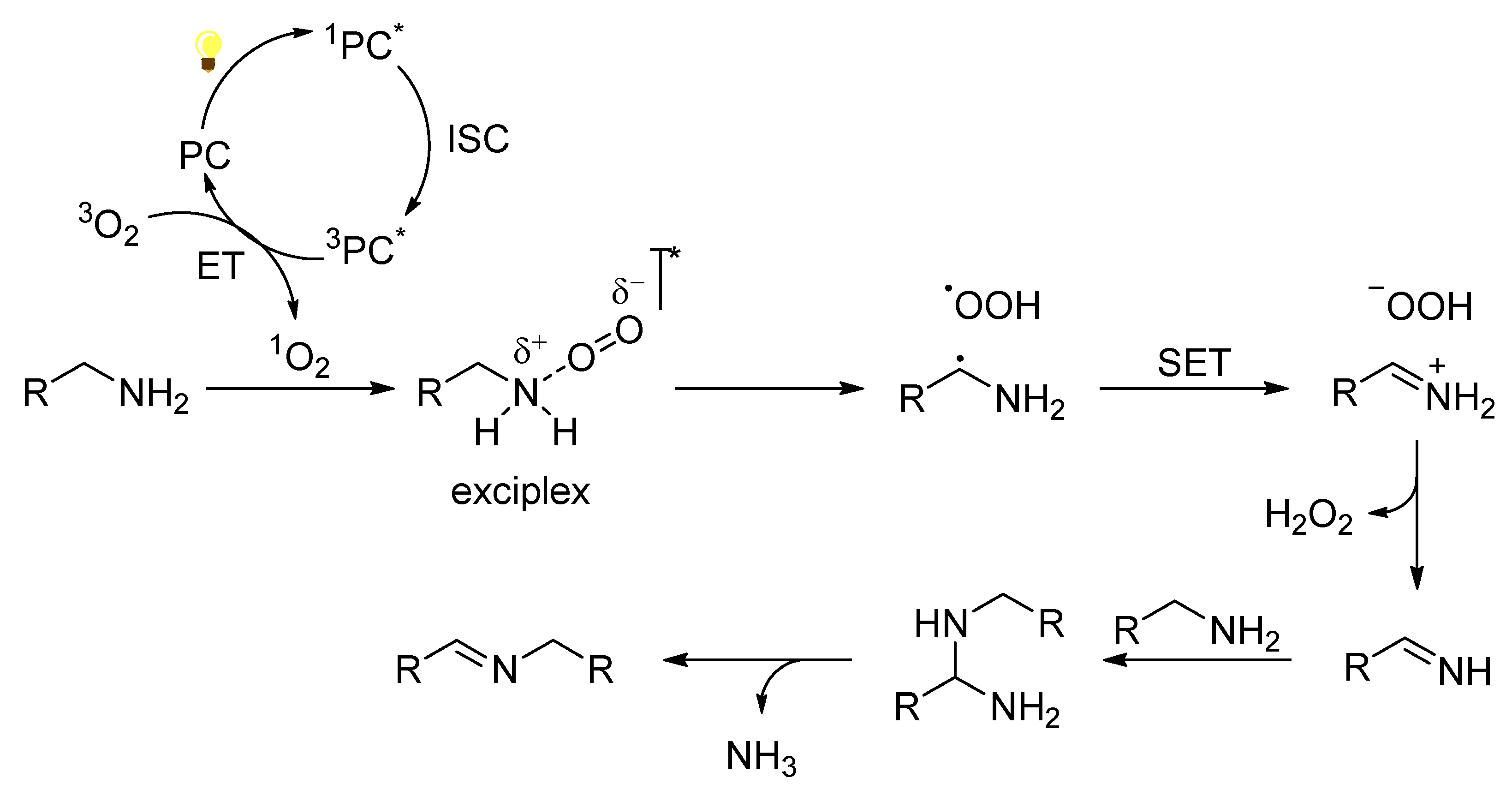
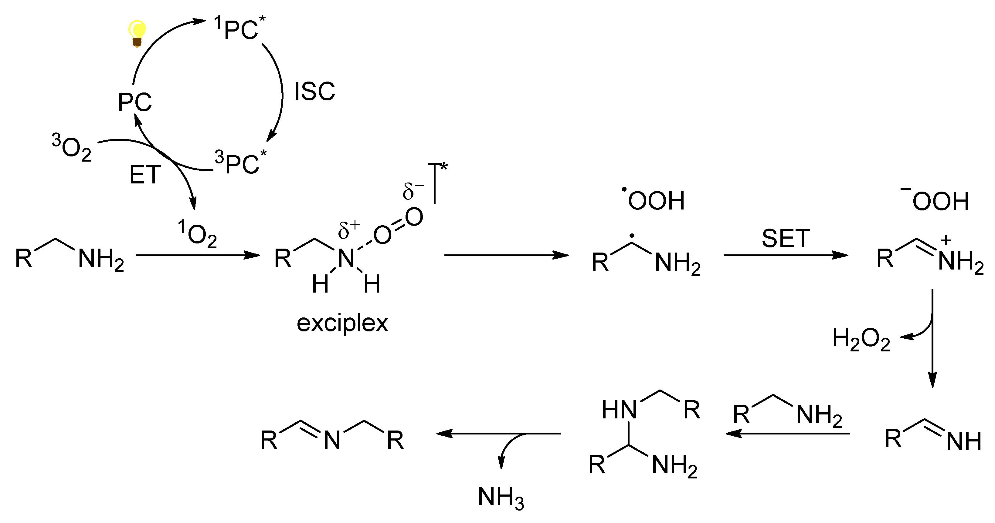
2.1. Homogeneous Oxidative Dehydrogenation of C–N Bonds
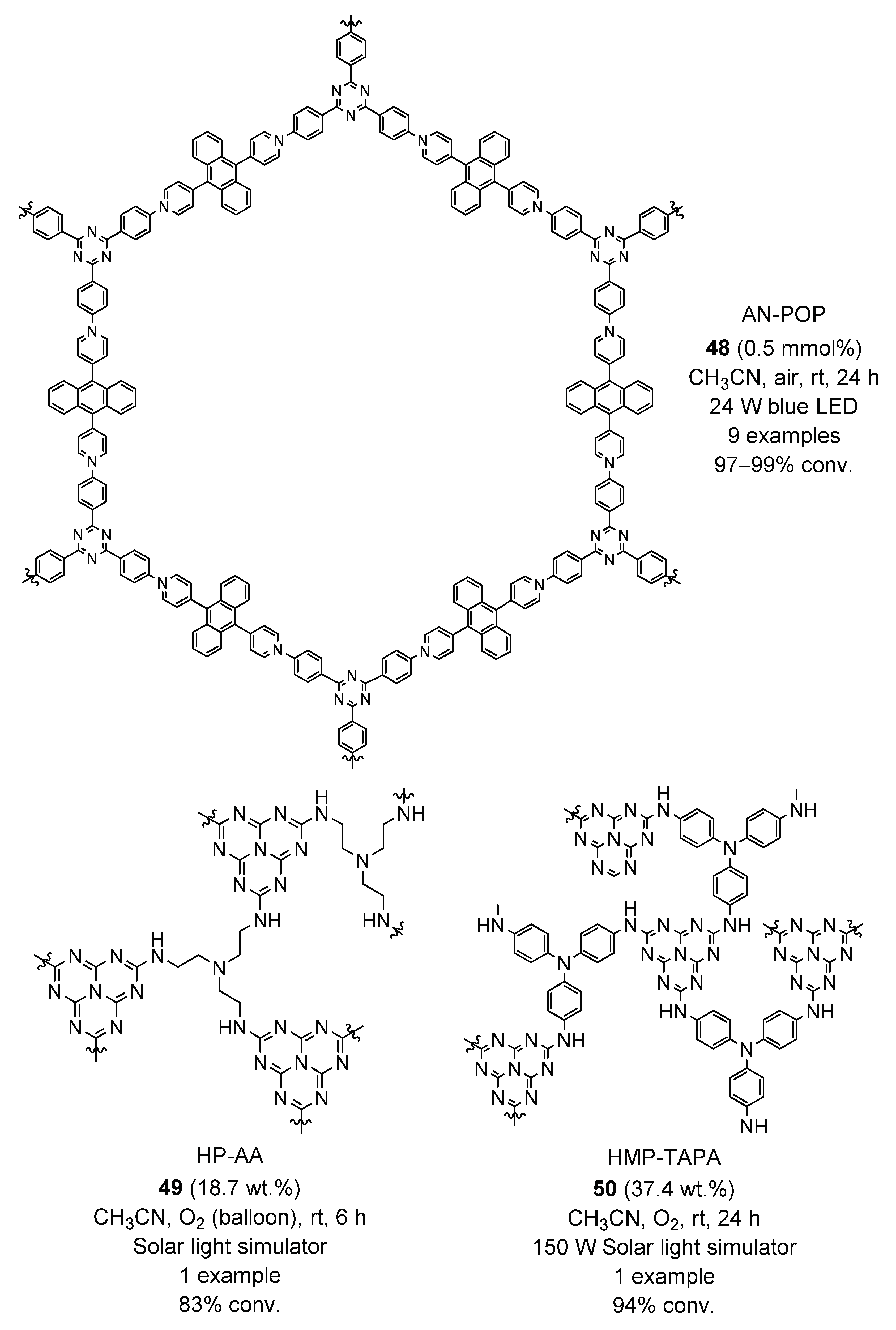
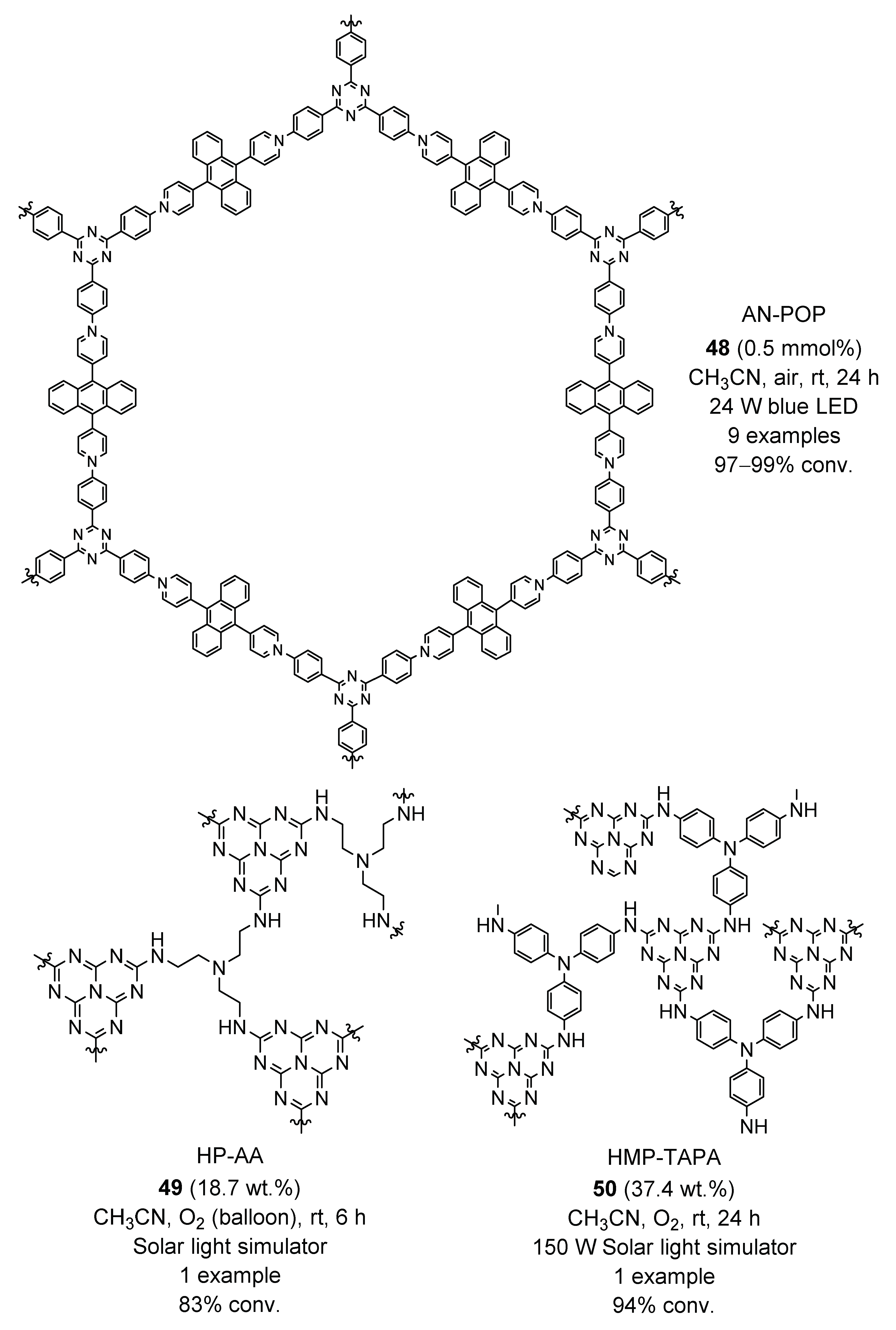
2.2. Heterogeneous Oxidative Dehydrogenation of C–N Bonds
3. Oxidative Dehydrogenation of C–O Bonds
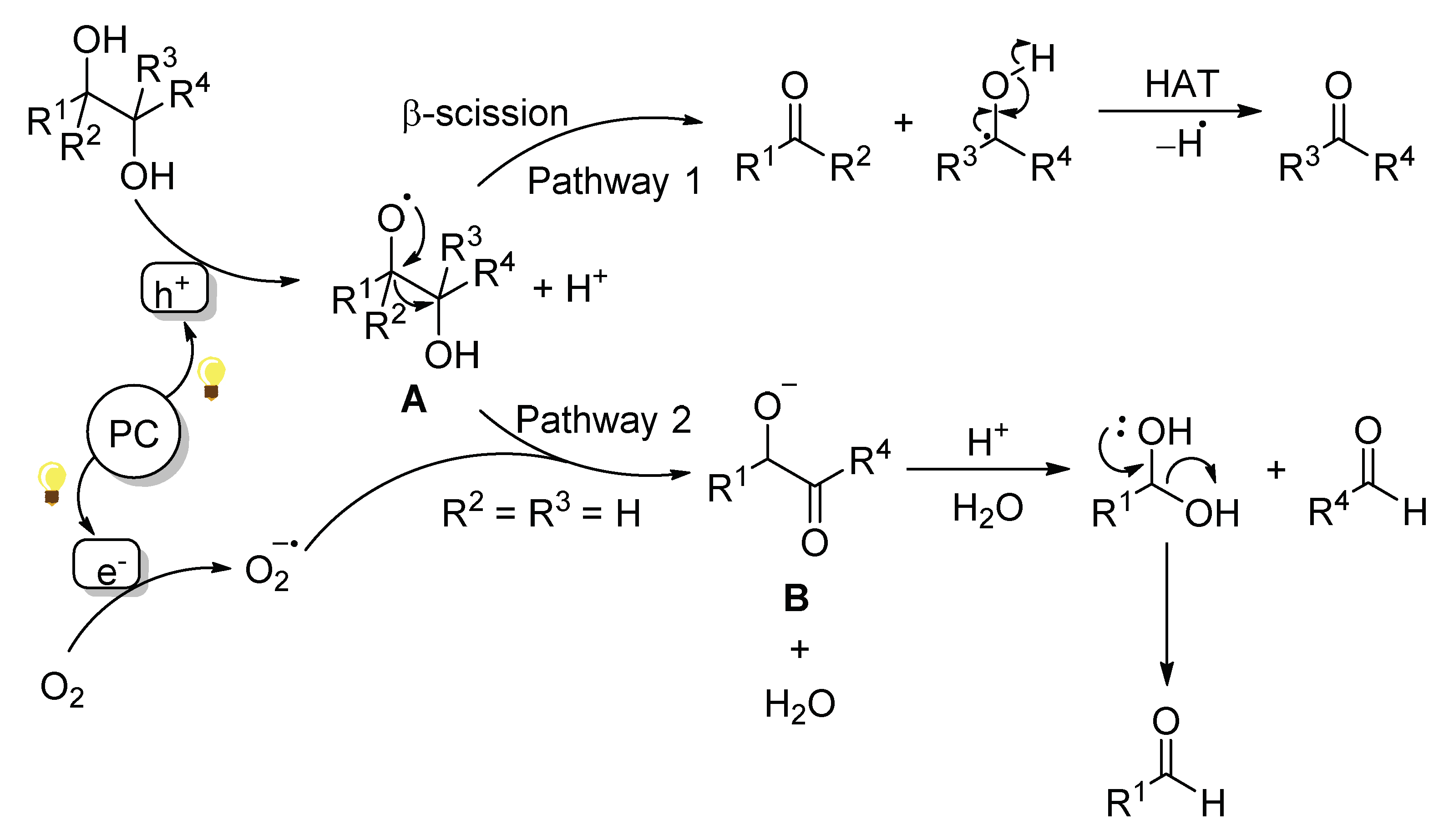
3.1. Homogeneous Oxidative Dehydrogenation of C–O Bonds
3.2. Heterogeneous Oxidative Dehydrogenation of C–O Bond
4. Conclusions
Author Contributions
Funding
Institutional Review Board Statement
Informed Consent Statement
Conflicts of Interest
References
- Ameta, R.; Ameta, S.C. Photocatalysis: Principles and Applications, 1st ed.; CRC Press: Boca Raton, FL, USA, 2016. [Google Scholar]
- König, B. Photocatalysis in Organic Synthesis—Past, Present, and Future. Eur. J. Org. Chem. 2017, 1979–1981. [Google Scholar] [CrossRef] [Green Version]
- Sideri, I.K.; Voutyritsa, E.; Kokotos, C.G. Photoorganocatalysis, Small Organic Molecules and Light for Organic Synthesis: The Awakening of a Sleeping Giant. Org. Biomol. Chem. 2018, 16, 4596–4614. [Google Scholar] [CrossRef] [PubMed]
- Zhang, J.; Tian, B.; Wang, L.; Xing, M.; Lei, J. Photocatalysis: Fundamentals, Materials and Applications, 1st ed.; Springer: Singapore, 2018. [Google Scholar]
- Schroll, P. Early Pioneers of Organic Photochemistry. In Chemical Photocatalysis; König, B., Ed.; De Gruyter: Berlin, Germany, 2013; pp. 3–18. [Google Scholar]
- Narayanam, J.M.R.; Stephenson, C.R.J. Visible Light Photoredox Catalysis: Applications in Organic Synthesis. Chem. Soc. Rev. 2011, 40, 102–113. [Google Scholar] [CrossRef]
- Chen, J.; Cen, J.; Xu, X.; Li, X. The Application of Heterogeneous Visible Light Photocatalysts in Organic Synthesis. Catal. Sci. Technol. 2016, 6, 349–362. [Google Scholar] [CrossRef]
- Liu, Q.; Wu, L.-Z. Recent Advances in Visible-Light-Driven Organic Reactions. Natl. Sci. Rev. 2017, 4, 359–380. [Google Scholar] [CrossRef] [Green Version]
- Festerbank, L.; Goddard, J.-P.; Ollivier, C. Visible-Light-Mediated Free Radical Synthesis. In Visible Light Photocatalysis in Organic Chemistry; Stephenson, C.R.J., Yoon, T.P., MacMillan, D.W.C., Eds.; Wiley-VCH: Weinheim, Germany, 2018; Available online: https://onlinelibrary.wiley.com/doi/10.1002/9783527674145.ch2 (accessed on 12 January 2022).
- Reischauer, S.; Pieber, B. Emerging Concepts in Photocatalytic Organic Synthesis. iScience 2021, 24, 102209. [Google Scholar] [CrossRef] [PubMed]
- Prier, C.K.; Rankic, D.A.; MacMillan, D.W.C. Visible Light Photoredox Catalysis with Transition Metal Complexes: Applications in Organic Synthesis. Chem. Rev. 2013, 113, 5322–5363. [Google Scholar] [CrossRef] [Green Version]
- Twilton, J.; Le, C.; Zhang, P.; Shaw, M.H.; Evans, R.W.; MacMillan, D.W.C. The Merger of Transition Metal and Photocatalysis. Nat. Rev. Chem. 2017, 1, 0052. [Google Scholar] [CrossRef]
- Cheng, W.-M.; Shang, R. Transition Metal-Catalyzed Organic Reactions under Visible Light: Recent Developments and Future Perspectives. ACS Catal. 2020, 10, 9170–9196. [Google Scholar] [CrossRef]
- Shing Cheung, K.P.; Sarkar, S.; Gevorgyan, V. Visible Light-Induced Transition Metal Catalysis. Chem. Rev. 2021. [Google Scholar] [CrossRef]
- Nicewicz, D.A.; Nguyen, T.M. Recent Applications of Organic Dyes as Photoredox Catalysts in Organic Synthesis. ACS Catal. 2014, 4, 355–360. [Google Scholar] [CrossRef]
- Romero, N.A.; Nicewicz, D.A. Organic Photoredox Catalysis. Chem. Rev. 2016, 116, 10075–10166. [Google Scholar] [CrossRef] [PubMed]
- Ray, S.; Samanta, P.K.; Biswas, P. Recent Developments on Visible-Light Photoredox Catalysis by Organic Dyes for Organic Synthesis. In Visible Light-Active Photocatalysis: Nanostructured Catalyst Design, Mechanisms, and Applications; Ghosh, S., Ed.; Wiley-VCH: Weinheim, Germany, 2018; pp. 393–419. [Google Scholar]
- Zeitler, K. Metal-Free Photo(redox) Catalysis. In Visible Light Photocatalysis in Organic Chemistry; Stephenson, C.R.J., Yoon, T.P., MacMillan, D.W.C., Eds.; Wiley-VCH: Weinheim, Germany, 2018; pp. 159–232. Available online: https://onlinelibrary.wiley.com/doi/10.1002/9783527674145.ch6 (accessed on 12 January 2022).
- Amos, S.G.E.; Garreau, M.; Buzzetti, L.; Waser, J. Photocatalysis with Organic Dyes: Facile Access to Reactive Intermediates for Synthesis. Beilstein J. Org. Chem. 2020, 16, 1163–1187. [Google Scholar] [CrossRef] [PubMed]
- Franchi, D.; Amara, Z. Applications of Sensitized Semiconductors as Heterogeneous Visible-Light Photocatalysts in Organic Synthesis. ACS Sustain. Chem. Eng. 2020, 8, 15405–15429. [Google Scholar] [CrossRef]
- Han, G.; Sun, Y. Visible-Light-Driven Organic Transformations on Semiconductors. Mater. Today Phys. 2021, 16, 100297. [Google Scholar] [CrossRef]
- Gambarotti, C.; Melone, L.; Caronna, T.; Punta, C. O2-Mediated Photocatalytic Functionalization of Organic Compounds: Recent Advances Towards Greener Synthetic Routes. Curr. Org. Chem. 2013, 17, 2406–2419. [Google Scholar] [CrossRef]
- Zhang, Y.; Schilling, W.; Das, S. Metal-Free Photocatalysts for C−H Bond Oxygenation Reactions with Oxygen as the Oxidant. ChemSusChem 2019, 12, 2898–2910. [Google Scholar] [CrossRef]
- Yang, X.; Zhang, S.; Li, P.; Gao, S.; Cao, R. Visible-Light-Driven Photocatalytic Selective Organic Oxidation Reactions. J. Mat. Chem. A 2020, 8, 20897–20924. [Google Scholar] [CrossRef]
- Xiong, L.; Tang, J. Strategies and Challenges on Selectivity of Photocatalytic Oxidation of Organic Substances. Adv. Energy Mater. 2021, 11, 2003216. [Google Scholar] [CrossRef]
- Cheng, B.; König, B. Benzylic Photooxidation by Flavins. In Flavin-Based Catalysis: Principles and Applications, 1st ed.; Cibulka, R., Fraaije, M., Eds.; Wiley-VCH: Weinheim, Germany, 2021; pp. 245–264. [Google Scholar]
- Morris, S.; Nguyen, T.; Zheng, N. Visible Light Mediated Cycloaddition Reactions. In Visible Light Photocatalysis in Organic Chemistry; Stephenson, C.R.J., Yoon, T.P., MacMillan, D.W.C., Eds.; Wiley-VCH: Weinheim, Germany, 2018; pp. 129–158. Available online: https://onlinelibrary.wiley.com/doi/10.1002/9783527674145.ch5 (accessed on 12 January 2022).
- Amador, A.G.; Scholz, S.O.; Skubi, K.L.; Yoon, T.P. Photocatalytic Cycloadditions. In Photocatalysis in Organic Synthesis, 1st ed.; König, B., Ed.; Thieme: Stuttgart, Germany, 2019; pp. 467–516. Available online: https://science-of-synthesis.thieme.com/app/view/pdf/sos-5225190964754192936.pdf (accessed on 12 January 2022).
- Zhang, T.; Zhang, Y.; Das, S. Deal Photoredox Catalysis for the Cycloaddition Reactions. ChemCatChem 2020, 12, 6173–6185. [Google Scholar] [CrossRef]
- Sicignano, M.; Rodríguez, R.I.; Alemán, J. Recent Visible Light and Metal Free Strategies in [2+2] and [4+2] Photocycloadditions. Eur. J. Org. Chem. 2021, 3303–3321. [Google Scholar] [CrossRef] [PubMed]
- Qin, Q.; Jiang, H.; Hu, Z.; Ren, D.; Yu, S. Functionalization of C-H Bonds by Photoredox Catalysis. Chem. Rec. 2017, 17, 754–774. [Google Scholar] [CrossRef] [PubMed]
- Revathi, L.; Ravindar, L.; Fang, W.-Y.; Rakesh, K.P.; Qin, H.-L. Visible Light-Induced C−H Bond Functionalization: A Critical Review. Adv. Synth. Catal. 2018, 360, 4652–4698. [Google Scholar] [CrossRef]
- Uygur, M.; García Mancheño, O. Visible Light-Mediated Organophotocatalyzed C–H Bond Functionalization Reactions. Org. Biomol. Chem. 2019, 17, 5475–5489. [Google Scholar] [CrossRef] [PubMed]
- Guillemard, L.; Wencel-Delord, J. When Metal-Catalyzed C–H Functionalization Meets Visible-Light Photocatalysis. Beilstein J. Org. Chem. 2020, 16, 1754–1804. [Google Scholar] [CrossRef]
- Tucker, J.W.; Stephenson, C.R.J. Shining Light on Photoredox Catalysis: Theory and Synthetic Applications. J. Org. Chem. 2012, 77, 1617–1622. [Google Scholar] [CrossRef]
- Xuan, J.; Xiao, W.-J. Visible-Light Photoredox Catalysis. Angew. Chem. Int. Ed. 2012, 51, 6828–6838. [Google Scholar] [CrossRef] [PubMed]
- Angnes, R.A.; Li, Z.; Correia, C.R.D.; Hammond, G.B. Recent Synthetic Additions to the Visible Light Photoredox Catalysis Toolbox. Org. Biomol. Chem. 2015, 13, 9152–9167. [Google Scholar] [CrossRef] [PubMed] [Green Version]
- Lang, X.; Zhao, J.; Chen, X. Cooperative Photoredox Catalysis. Chem. Soc. Rev. 2016, 45, 3026–3038. [Google Scholar] [CrossRef]
- Shaw, M.H.; Twilton, J.; MacMillan, D.W.C. Photoredox Catalysis in Organic Chemistry. J. Org. Chem. 2016, 81, 6898–6926. [Google Scholar] [CrossRef]
- Marzo, L.; Pagire, S.K.; Reiser, O.; König, B. Visible-Light Photocatalysis: Does It Make a Difference in Organic Synthesis? Angew. Chem. Int. Ed. 2018, 57, 10034–10072. [Google Scholar] [CrossRef] [PubMed]
- Zeitler, K.; Neumann, M. Synergistic Visible Light Photoredox Catalysis. Phys. Sci. Rev. 2020, 5, 20170173. [Google Scholar] [CrossRef]
- Xu, G.-Q.; Xu, P.-F. Visible Light Organic Photoredox Catalytic Cascade Reactions. Chem. Commun. 2021, 57, 12914–12935. [Google Scholar] [CrossRef]
- Mastandrea, M.M.; Pericàs, M.A. Photoredox Dual Catalysis: A Fertile Playground for the Discovery of New Reactivities. Eur. J. Inorg. Chem. 2021, 3421–3431. [Google Scholar] [CrossRef]
- Brimioulle, R.; Lenhart, D.; Maturi, M.M.; Bach, T. Enantioselective Catalysis of Photochemical Reactions. Angew. Chem. Int. Ed. 2015, 54, 3872–3890. [Google Scholar] [CrossRef] [PubMed]
- Silvi, M.; Melchiorre, P. Enhancing the Potential of Enantioselective Organocatalysis with Light. Nature 2018, 554, 41–49. [Google Scholar] [CrossRef] [PubMed]
- Zou, Y.-Q.; Hörmann, F.M.; Bach, T. Iminium and Enamine Catalysis in Enantioselective Photochemical Reactions. Chem. Soc. Rev. 2018, 47, 278–290. [Google Scholar] [CrossRef] [Green Version]
- Coote, S.C.; Bach, T. Enantioselective Photocatalysis. In Visible Light Photocatalysis in Organic Chemistry; Stephenson, C.R.J., Yoon, T.P., MacMillan, D.W.C., Eds.; Wiley-VCH: Weinheim, Germany, 2018; pp. 335–361. Available online: https://onlinelibrary.wiley.com/doi/pdf/10.1002/9783527674145.ch11 (accessed on 12 January 2022).
- Rey, Y.P.; Hepburn, H.B.; Melchiorre, P. Organocatalysis with Amines in Photocatalysis. In Photocatalysis in Organic Synthesis, 1st ed.; König, B., Ed.; Thieme: Stuttgart, Germany, 2019; Available online: https://science-of-synthesis.thieme.com/app/view/pdf/sos-3283989787971243663.pdf (accessed on 12 January 2022).
- Prentice, C.; Morrisson, J.; Smith, A.D.; Zysman-Colman, E. Recent Developments in Enantioselective photocatalysis. Beilstein J. Org. Chem. 2020, 16, 2363–2441. [Google Scholar] [CrossRef]
- Saha, D. Catalytic Enantioselective Radical Transformations Enabled by Visible Light. Chem. Asian J. 2020, 15, 2129–2152. [Google Scholar] [CrossRef]
- Hong, B.-C. Enantioselective Synthesis Enabled by Visible Light Photocatalysis. Org. Biomol. Chem. 2020, 18, 4298–4353. [Google Scholar] [CrossRef]
- Han, N.; Liu, P.; Jiang, J.; Ai, L.; Shao, Z.; Liu, S. Recent Advances in Nanostructured Metal Nitrides for Water Splitting. J. Mat. Chem. A 2018, 6, 19912–19933. [Google Scholar] [CrossRef]
- Han, N.; Race, M.; Zhang, W.; Marotta, R.; Zhang, C.; Bokhari, A.; Klemeš, J.J. Perovskite and Related Oxide Based Electrodes for Water Splitting. J. Clean. Prod. 2021, 318, 128544. [Google Scholar] [CrossRef]
- Li, M.; Han, N.; Zhang, X.; Wang, S.; Jiang, M.; Bokhari, A.; Zhang, W.; Race, M.; Shen, Z.; Chen, R.; et al. Perovskite Oxide for Emerging Photo(electro)catalysis in Energy and Environment. Environ. Res. 2022, 205, 112544. [Google Scholar] [CrossRef] [PubMed]
- Caron, S.; Dugger, R.W.; Ruggeri, S.G.; Ragan, J.A.; Ripin, D.H.B. Large-Scale Oxidations in the Pharmaceutical Industry. Chem. Rev. 2006, 106, 2943–2989. [Google Scholar] [CrossRef] [PubMed]
- Hazra, S.; Malik, E.; Nair, A.; Tiwari, V.; Dolui, P.; Elias, A.J. Catalytic Oxidation of Alcohols and Amines to Value-Added Chemicals using Water as the Solvent. Chem. Asian J. 2020, 15, 1916–1936. [Google Scholar] [CrossRef] [PubMed]
- Mejía, E. Catalytic Aerobic Oxidations; The Royal Society of Chemistry: Croydon, UK, 2020. [Google Scholar]
- Shi, Z.; Zhang, C.; Tang, C.; Jiao, N. Recent Advances in Transition-Metal Catalyzed Reactions Using Molecular Oxygen as the Oxidant. Chem. Soc. Rev. 2012, 41, 3381–3430. [Google Scholar] [CrossRef]
- Roduner, E.; Kaim, W.; Sarkar, B.; Urlacher, V.B.; Pleiss, J.; Gläser, R.; Einicke, W.-D.; Sprenger, G.A.; Beifuß, U.; Klemm, E.; et al. Selective Catalytic Oxidation of C-H Bonds with Molecular Oxygen. ChemCatChem 2013, 5, 82–112. [Google Scholar] [CrossRef]
- Li, Q.; Li, F.-t. Recent Advances in Molecular Oxygen Activation Via Photocatalysis and its Application in Oxidation Reactions. Chem. Eng. J. 2021, 421, 129915. [Google Scholar] [CrossRef]
- Zhang, X.; Rakesh, K.P.; Ravindar, L.; Qin, H.-L. Visible-Light Initiated Aerobic Oxidations: A Critical Review. Green Chem. 2018, 20, 4790–4833. [Google Scholar] [CrossRef]
- Chen, L.; Tang, J.; Song, L.-N.; Chen, P.; He, J.; Au, C.-T.; Yin, S.-F. Heterogeneous Photocatalysis for Selective Oxidation of Alcohols and Hydrocarbons. Appl. Catal. B 2019, 242, 379–388. [Google Scholar] [CrossRef]
- Stroyuk, A.L.; Raevskaya, A.E.; Kuchmy, S.Y. Photocatalytic Selective Oxidation of Organic Compounds in Graphitic Carbon Nitride Systems: A Review. Theor. Exp. Chem. 2019, 55, 147–172. [Google Scholar] [CrossRef]
- Alemán, J.; Mas-Ballesté, R. Photocatalytic Oxidation Reactions Mediated by Covalent Organic Frameworks and Related Extended Organic Materials. Front. Chem. 2021, 9, 708312. [Google Scholar] [CrossRef]
- Shen, Z.; Hu, Y.; Li, B.; Zou, Y.; Li, S.; Wilma Busser, G.; Wang, X.; Zhao, G.; Muhler, M. State-of-the-Art Progress in the Selective Photo-Oxidation of Alcohols. J. Energy Chem. 2021, 62, 338–350. [Google Scholar] [CrossRef]
- Baciocchi, E.; Del Giacco, T.; Lapi, A. Dual Pathways for the Desilylation of Silylamines by Singlet Oxygen. Org. Lett. 2006, 8, 1783–1786. [Google Scholar] [CrossRef] [PubMed]
- Baciocchi, E.; Del Giacco, T.; Lanzalunga, O.; Lapi, A. Singlet Oxygen Promoted Carbon-Heteroatom Bond Cleavage in Dibenzyl Sulfides and Tertiary Dibenzylamines. Structural Effects and the Role of Exciplexes. J. Org. Chem. 2007, 72, 9582–9589. [Google Scholar] [CrossRef] [PubMed]
- Berlicka, A.; König, B. Porphycene-Mediated Photooxidation of Benzylamines by Visible Light. Photochem. Photobiol. Sci. 2010, 9, 1359–1366. [Google Scholar] [CrossRef]
- Schweitzer, C.; Schmidt, R. Physical Mechanisms of Generation and Deactivation of Singlet Oxygen. Chem. Rev. 2003, 103, 1685–1757. [Google Scholar] [CrossRef]
- Okada, A.; Yuasa, H.; Fujiya, A.; Tada, N.; Miura, T.; Itoh, A. Aerobic Photooxidative Synthesis of Secondary Aldimines from Benzylamines by Using Methylene Blue. Synlett 2015, 26, 1705–1709. [Google Scholar] [CrossRef]
- Ushakov, D.B.; Plutschack, M.B.; Gilmore, K.; Seeberger, P.H. Factors Influencing the Regioselectivity of the Oxidation of Asymmetric Secondary Amines with Singlet Oxygen. Chem. Eur. J. 2015, 21, 6528–6534. [Google Scholar] [CrossRef] [PubMed]
- Kouridaki, A.; Huvaere, K. Singlet Oxygen Oxidations in Homogeneous Continuous Flow Using a Gas-Liquid Membrane Reactor. React. Chem. Eng. 2017, 2, 590–597. [Google Scholar] [CrossRef]
- Tibbetts, J.D.; Carbery, D.R.; Emanuelsson, E.A.C. An In-Depth Study of the Use of Eosin Y for the Solar Photocatalytic Oxidative Coupling of Benzylic Amines. ACS Sustain. Chem. Eng. 2017, 5, 9826–9835. [Google Scholar] [CrossRef] [Green Version]
- Dadwal, S.; Deol, H.; Kumar, M.; Bhalla, V. AIEE Active Nanoassemblies of Pyrazine Based Organic Photosensitizers as Efficient Metal-Free Supramolecular Photoredox Catalytic Systems. Sci. Rep. 2019, 9, 11142. [Google Scholar] [CrossRef] [PubMed] [Green Version]
- Unkel, L.-N.; Malcherek, S.; Schendera, E.; Hoffmann, F.; Rehbein, J.; Brasholz, M. Photoorganocatalytic Aerobic Oxidative Amine Dehydrogenation/Super Acid-Mediated Pictet-Spengler Cyclization: Synthesis of cis-1,3-Diaryl Tetrahydroisoquinolines. Adv. Synth. Catal. 2019, 361, 2870–2876. [Google Scholar] [CrossRef]
- Li, J.; Bao, W.; Tang, Z.; Guo, B.; Zhang, S.; Liu, H.; Huang, S.; Zhang, Y.; Rao, Y. Cercosporin-Bioinspired Selective Photooxidation Reactions Under Mild Conditions. Green Chem. 2019, 21, 6073–6081. [Google Scholar] [CrossRef]
- Wang, H.; Man, Y.; Wang, K.; Wan, X.; Tong, L.; Li, N.; Tang, B. Hydrogen Bond Directed Aerobic Oxidation of Amines Via Photoredox Catalysis. Chem. Commun. 2018, 54, 10989–10992. [Google Scholar] [CrossRef] [PubMed] [Green Version]
- Vitaku, E.; Smith, D.T.; Njardarson, J.T. Analysis of the Structural Diversity, Substitution Patterns, and Frequency of Nitrogen Heterocycles among U.S. FDA Approved Pharmaceuticals. J. Med. Chem. 2014, 57, 10257–10274. [Google Scholar] [CrossRef]
- Sahoo, M.K.; Jaiswal, G.; Rana, J.; Balaraman, E. Organo-Photoredox Catalyzed Oxidative Dehydrogenation of N-Heterocycles. Chem. Eur. J. 2017, 23, 14167–14172. [Google Scholar] [CrossRef] [PubMed]
- Wei, L.; Wei, Y.; Zhang, J.; Xu, L. Visible-Light-Mediated Organoboron-Catalysed Metal-Free Dehydrogenation of N-Heterocycles Using Molecular Oxygen. Green Chem. 2021, 23, 4446–4450. [Google Scholar] [CrossRef]
- Chhetri, K.; Bhuyan, S.; Mandal, S.; Chhetri, S.; Lepcha, P.T.; Lepcha, S.W.; Basumatary, J.; Roy, B.G. Efficient Metal-Free Visible Light Photocatalytic Aromatization of Azaheterocyles. Curr. Res. Green Sustain. Chem. 2021, 4, 100135. [Google Scholar] [CrossRef]
- Lu, J.; Zhang, J. Photocatalytic Applications of Conjugated Microporous Polymers. In Photochemistry; Albini, A., Fasani, E., Protti, S., Eds.; The Royal Society of Chemistry: Croydon, UK, 2018; Volume 45, pp. 191–220. [Google Scholar]
- Xiao, J.; Liu, X.; Pan, L.; Shi, C.; Zhang, X.; Zou, J.-J. Heterogeneous Photocatalytic Organic Transformation Reactions Using Conjugated Polymers-Based Materials. ACS Catal. 2020, 10, 12256–12283. [Google Scholar] [CrossRef]
- Qian, Z.; Zhang, K.A.I. Recent Advances of Conjugated Microporous Polymers in Visible Light–Promoted Chemical Transformations. Sol. RRL 2021, 5, 2000489. [Google Scholar] [CrossRef]
- Xu, H.; Li, X.; Hao, H.; Dong, X.; Sheng, W.; Lang, X. Designing Fluorene-Based Conjugated Microporous Polymers for Blue Light-Driven Photocatalytic Selective Oxidation of Amines with Oxygen. Appl. Catal. B 2021, 285, 119796. [Google Scholar] [CrossRef]
- Li, X.; Hao, H.; Lang, X. Thiazolo[5,4-d]Thiazole Linked Conjugated Microporous Polymer Photocatalysis for Selective Aerobic Oxidation of Amines. J. Colloid Interface Sci. 2021, 593, 380–389. [Google Scholar] [CrossRef] [PubMed]
- Kumar, R.; Gleissner, E.H.; Tiu, E.G.V.; Yamakoshi, Y. C70 as a Photocatalyst for Oxidation of Secondary Benzylamines to Imines. Org. Lett. 2016, 18, 184–187. [Google Scholar] [CrossRef]
- Chen, R.; Shi, J.-L.; Ma, Y.; Lin, G.; Lang, X.; Wang, C. Designed Synthesis of a 2D Porphyrin-Based sp2 Carbon-Conjugated Covalent Organic Framework for Heterogeneous Photocatalysis. Angew. Chem. Int. Ed. 2019, 58, 6430–6434. [Google Scholar] [CrossRef]
- Shi, J.-L.; Chen, R.; Hao, H.; Wang, C.; Lang, X. 2D sp2 Carbon-Conjugated Porphyrin Covalent Organic Framework for Cooperative Photocatalysis with TEMPO. Angew. Chem. Int. Ed. 2020, 59, 9088–9093. [Google Scholar] [CrossRef]
- Yu, K.; Zhang, H.; Su, C.; Zhu, Y. Visible-Light-Promoted Efficient Aerobic Dehydrogenation of N-Heterocycles by a Tiny Organic Semiconductor Under Ambient Conditions. Eur. J. Org. Chem. 2020, 1956–1960. [Google Scholar] [CrossRef]
- Chen, Y.; Jiang, J. Imidazole-linked porphyrin-based conjugated microporous polymers for metal-free photocatalytic oxidative dehydrogenation of N-heterocycles. Sustain. Energy Fuels 2021, 5, 6478–6487. [Google Scholar] [CrossRef]
- Su, C.; Tandiana, R.; Tian, B.; Sengupta, A.; Tang, W.; Su, J.; Loh, K.P. Visible-Light Photocatalysis of Aerobic Oxidation Reactions Using Carbazolic Conjugated Microporous Polymers. ACS Catal. 2016, 6, 3594–3599. [Google Scholar] [CrossRef]
- Zhang, J.; An, X.; Lin, N.; Wu, W.; Wang, L.; Li, Z.; Wang, R.; Wang, Y.; Liu, J.; Wu, M. Engineering Monomer Structure of Carbon Nitride for the Effective and Mild Photooxidation Reaction. Carbon 2016, 100, 450–455. [Google Scholar] [CrossRef]
- Wu, W.; Zhang, J.; Fan, W.; Li, Z.; Wang, L.; Li, X.; Wang, Y.; Wang, R.; Zheng, J.; Wu, M.; et al. Remedying Defects in Carbon Nitride to Improve both Photooxidation and H2 Generation Efficiencies. ACS Catal. 2016, 6, 3365–3371. [Google Scholar] [CrossRef]
- Wang, Z.J.; Garth, K.; Ghasimi, S.; Landfester, K.; Zhang, K.A.I. Conjugated Microporous Poly(Benzochalcogenadiazole)s for Photocatalytic Oxidative Coupling of Amines under Visible Light. ChemSusChem 2015, 8, 3459–3464. [Google Scholar] [CrossRef]
- Wang, Z.J.; Ghasimi, S.; Landfester, K.; Zhang, K.A.I. Molecular Structural Design of Conjugated Microporous Poly(Benzooxadiazole) Networks for Enhanced Photocatalytic Activity with Visible Light. Adv. Mater. 2015, 27, 6265–6270. [Google Scholar] [CrossRef]
- Battula, V.R.; Singh, H.; Kumar, S.; Bala, I.; Pal, S.K.; Kailasam, K. Natural Sunlight Driven Oxidative Homocoupling of Amines by a Truxene-Based Conjugated Microporous Polymer. ACS Catal. 2018, 8, 6751–6759. [Google Scholar] [CrossRef]
- Jiang, J.; Liang, Z.; Xiong, X.; Zhou, X.; Ji, H. A Carbazolyl Porphyrin-Based Conjugated Microporous Polymer for Metal-Free Photocatalytic Aerobic Oxidation Reactions. ChemCatChem 2020, 12, 3523–3529. [Google Scholar] [CrossRef]
- Jiang, J.; Liu, X.; Luo, R. Donor-Acceptor Type Conjugated Microporous Polymer as a Metal-Free Photocatalyst for Visible-Light-Driven Aerobic Oxidative Coupling of Amines. Catal. Lett. 2021, 151, 3145–3153. [Google Scholar] [CrossRef]
- Gong, W.; Dong, K.; Liu, L.; Hassan, M.; Ning, G. β-Diketone Boron Difluoride Dye-Functionalized Conjugated Microporous Polymers for Efficient Aerobic Oxidative Photocatalysis. Catal. Sci. Technol. 2021, 11, 3905–3913. [Google Scholar] [CrossRef]
- Gong, W.; Deng, X.; Dong, K.; Liu, L.; Ning, G. A Boranil-Based Conjugated Microporous Polymer for Efficient Visible-Light-Driven Heterogeneous Photocatalysis. Polym. Chem. 2021, 12, 3153–3159. [Google Scholar] [CrossRef]
- Sun, W.; Xiang, Y.; Jiang, Z.; Wang, S.; Yang, N.; Jin, S.; Sun, L.; Teng, H.; Chen, H. Designed Polymeric Conjugation Motivates Tunable Activation of Molecular Oxygen in Heterogeneous Organic Photosynthesis. Sci. Bull. 2022, 67, 61–70. [Google Scholar] [CrossRef]
- Bohra, H.; Li, P.; Yang, C.; Zhao, Y.; Wang, M. “Greener” and Modular Synthesis of Triazine-Based Conjugated Porous Polymers Via Direct Arylation Polymerization: Structure-Function Relationship and Photocatalytic Application. Polym. Chem. 2018, 9, 1972–1982. [Google Scholar] [CrossRef]
- Lai, F.; Wang, Y.; Li, D.; Sun, X.; Peng, J.; Zhang, X.; Tian, Y.; Liu, T. Visible Light-Driven Superoxide Generation by Conjugated Polymers for Organic Synthesis. Nano Res. 2018, 11, 1099–1108. [Google Scholar] [CrossRef]
- Kong, P.; Liu, P.; Ge, Z.; Tan, H.; Pei, L.; Wang, J.; Zhu, P.; Gu, X.; Zheng, Z.; Li, Z. Conjugated HCl-Doped Polyaniline for Photocatalytic Oxidative Coupling of Amines under Visible Light. Catal. Sci. Technol. 2019, 9, 753–761. [Google Scholar] [CrossRef]
- Kong, P.; Tan, H.; Lei, T.; Wang, J.; Yan, W.; Wang, R.; Waclawik, E.R.; Zheng, Z.; Li, Z. Oxygen Vacancies Confined in Conjugated Polyimide for Promoted Visible-Light Photocatalytic Oxidative Coupling of Amines. Appl. Catal. B 2020, 272, 118964. [Google Scholar] [CrossRef]
- Zhou, J.; Wang, Y.; Cui, Z.; Hu, Y.; Hao, X.; Wang, Y.; Zou, Z. Ultrathin Conjugated Polymer Nanosheets as Highly Efficient Photocatalyst for Visible Light Driven Oxygen Activation. Appl. Catal. B 2020, 277, 119228. [Google Scholar] [CrossRef]
- Wang, T.-X.; Liang, H.-P.; Anito, D.A.; Ding, X.; Han, B.-H. Emerging Applications of Porous Organic Polymers in Visible-Light Photocatalysis. J. Mater. Chem. A 2020, 8, 7003–7034. [Google Scholar] [CrossRef]
- Zhi, Y.; Li, K.; Xia, H.; Xue, M.; Mu, Y.; Liu, X. Robust Porous Organic Polymers as Efficient Heterogeneous Organo-Photocatalysts for Aerobic Oxidation Reactions. J. Mater. Chem. A 2017, 5, 8697–8704. [Google Scholar] [CrossRef]
- Bandyopadhyay, S.; Kundu, S.; Giri, A.; Patra, A. A Smart Photosensitizer Based on a Red Emitting Solution Processable Porous Polymer: Generation of Reactive Oxygen Species. Chem. Commun. 2018, 54, 9123–9126. [Google Scholar] [CrossRef]
- Ji, G.; Yang, Z.; Yu, X.; Zhao, Y.; Zhang, F.; Liu, Z. Photosensitive Hyper-Cross-Linked Polymers Derived from Three-Dimensional Ringlike Arenes: Promising Catalysts for Singlet-Oxygen Generation. ACS Sustain. Chem. Eng. 2020, 8, 16320–16326. [Google Scholar] [CrossRef]
- Liu, L.; Qu, W.-D.; Dong, K.-X.; Qi, Y.; Gong, W.-T.; Ning, G.-L.; Cui, J.-N. An Anthracene Extended Viologen-Incorporated Ionic Porous Organic Polymer for Efficient Aerobic Photocatalysis and Antibacterial Activity. Chem. Commun. 2021, 57, 3339–3342. [Google Scholar] [CrossRef] [PubMed]
- Kumar, S.; Battula, V.R.; Sharma, N.; Samanta, S.; Kailasam, K. Understanding the Role of Soft Linkers in Designing Heptazine-Based Polymeric Frameworks as Heterogeneous (Photo)catalyst. J. Colloid Interface Sci. 2021, 588, 138–146. [Google Scholar] [CrossRef] [PubMed]
- Sharma, N.; Kumar, S.; Battula, V.R.; Kumari, A.; Giri, A.; Patra, A.; Kailasam, K. A Tailored Heptazine-Based Porous Polymeric Network as a Versatile Heterogeneous (Photo)catalyst. Chem. Eur. J. 2021, 27, 10649–10656. [Google Scholar] [CrossRef]
- Wang, H.; Sun, X.; Li, D.; Zhang, X.; Chen, S.; Shao, W.; Tian, Y.; Xie, Y. Boosting Hot-Electron Generation: Exciton Dissociation at the Order-Disorder Interfaces in Polymeric Photocatalysts. J. Am. Chem. Soc. 2017, 139, 2468–2473. [Google Scholar] [CrossRef] [PubMed]
- Ferguson, C.T.J.; Huber, N.; Landfester, K.; Zhang, K.A.I. Dual-Responsive Photocatalytic Polymer Nanogels. Angew. Chem. Int. Ed. 2019, 58, 10567–10571. [Google Scholar] [CrossRef] [PubMed]
- Li, X.; Su, Q.; Liu, Z.; Luo, K.; Li, G.; Wu, Q. A Triformylphloroglucinol-Based Covalent Organic Polymer: Synthesis, Characterization and Its Application in Visible-Light-Driven Oxidative Coupling Reactions of Primary Amines. Chem. Res. Chin. Univ. 2020, 36, 1017–1023. [Google Scholar] [CrossRef]
- Humayun, M.; Ullah, H.; Tahir, A.A.; bin Mohd Yusoff, A.R.; Mat Teridi, M.A.; Nazeeruddin, M.K.; Luo, W. An Overview of the Recent Progress in Polymeric Carbon Nitride Based Photocatalysis. Chem. Rec. 2021, 21, 1811–1844. [Google Scholar] [CrossRef]
- Yang, C.; Wang, B.; Zhang, L.; Yin, L.; Wang, X. Synthesis of Layered Carbonitrides from Biotic Molecules for Photoredox Transformations. Angew. Chem. Int. Ed. 2017, 56, 6627–6631. [Google Scholar] [CrossRef]
- Tan, H.; Gu, X.; Kong, P.; Lian, Z.; Li, B.; Zheng, Z. Cyano Group Modified Carbon Nitride with Enhanced Photoactivity for Selective Oxidation of Benzylamine. Appl. Catal. B 2019, 242, 67–75. [Google Scholar] [CrossRef]
- Wang, H.; Jiang, S.; Liu, W.; Zhang, X.; Zhang, Q.; Luo, Y.; Xie, Y. Ketones as Molecular Co-Catalysts for Boosting Exciton-Based Photocatalytic Molecular Oxygen Activation. Angew. Chem. Int. Ed. 2020, 59, 11093–11100. [Google Scholar] [CrossRef]
- Gao, G.; Zhang, L.; Chen, Q.; Fan, H.; Zheng, J.; Fang, Y.; Duan, R.; Cao, X.; Hu, X. Self-Assembly Approach Toward Polymeric Carbon Nitrides with Regulated Heptazine Structure and Surface Groups for Improving the Photocatalytic Performance. Chem. Eng. J. 2021, 409, 127370. [Google Scholar] [CrossRef]
- Bajada, M.A.; Vijeta, A.; Savateev, A.; Zhang, G.; Howe, D.; Reisner, E. Visible-Light Flow Reactor Packed with Porous Carbon Nitride for Aerobic Substrate Oxidations. ACS Appl. Mater. Interfaces 2020, 12, 8176–8182. [Google Scholar] [CrossRef]
- Liang, Q.; Shao, B.; Tong, S.; Liu, Z.; Tang, L.; Liu, Y.; Cheng, M.; He, Q.; Wu, T.; Pan, Y.; et al. Recent Advances of Melamine Self-Assembled Graphitic Carbon Nitride-Based Materials: Design, Synthesis and Application in Energy and Environment. Chem. Eng. J. 2021, 405, 126951. [Google Scholar] [CrossRef]
- Mishra, B.P.; Parida, K. Orienting Z Scheme Charge Transfer in Graphitic Carbon Nitride-Based Systems for Photocatalytic Energy and Environmental Applications. J. Mater. Chem. A 2021, 9, 10039–10080. [Google Scholar] [CrossRef]
- Mittal, D.; Dutta, D.P. Synthesis, Structure, and Selected Photocatalytic Applications of Graphitic Carbon Nitride: A Review. J. Mater. Sci. Mater. Electron. 2021, 32, 18512–18543. [Google Scholar] [CrossRef]
- Zhang, J.-j.; Ge, J.-M.; Wang, H.-H.; Wei, X.; Li, X.-H.; Chen, J.-S. Activating Oxygen Molecules over Carbonyl-Modified g-C3N4: Merging Supramolecular Oxidation with Photocatalysis in a Metal-Free Catalyst for Oxidative Coupling Amines into Imines. ChemCatChem 2016, 8, 3441–3445. [Google Scholar] [CrossRef]
- Zhang, D.; Han, X.; Dong, T.; Guo, X.; Song, C.; Zhao, Z. Promoting Effect of Cyano Groups Attached on g-C3N4 Nanosheets Towards Molecular Oxygen Activation for Visible Light-Driven Aerobic Coupling of Amines to Imines. J. Catal. 2018, 366, 237–244. [Google Scholar] [CrossRef]
- Yu, W.; Zhang, T.; Zhao, Z. Garland-Like Intercalated Carbon Nitride Prepared by an Oxalic Acid-mediated Assembly Strategy for Highly-Efficient Visible-Light-Driven Photoredox Catalysis. Appl. Catal. B 2020, 278, 119342. [Google Scholar] [CrossRef]
- Xing, C.; Yu, G.; Chen, T.; Liu, S.; Sun, Q.; Liu, Q.; Hu, Y.; Liu, H.; Li, X. Perylenetetracarboxylic Diimide Covalently Bonded with Mesoporous g-C3N4 to Construct Direct Z-Scheme Heterojunctions for Efficient Photocatalytic Oxidative Coupling of Amines. Appl. Catal. B 2021, 298, 120534. [Google Scholar] [CrossRef]
- Xiao, Y.; Tian, G.; Li, W.; Xie, Y.; Jiang, B.; Tian, C.; Zhao, D.; Fu, H. Molecule Self-Assembly Synthesis of Porous Few-Layer Carbon Nitride for Highly Efficient Photoredox Catalysis. J. Am. Chem. Soc. 2019, 141, 2508–2515. [Google Scholar] [CrossRef]
- Xiao, R.; Tobin, J.M.; Zha, M.; Hou, Y.-L.; He, J.; Vilela, F.; Xu, Z. A Nano Porous Graphene Analog for Superfast Heavy Metal Removal and Continuous-Flow Visible-Light Photoredox Catalysis. J. Mater. Chem. A 2017, 5, 20180–20187. [Google Scholar] [CrossRef]
- Luo, J.; Lu, J.; Zhang, J. Carbazole-Triazine Based Donor-Acceptor Porous Organic Frameworks for Efficient Visible-Light Photocatalytic Aerobic Oxidation Reactions. J. Mater. Chem. A 2018, 6, 15154–15161. [Google Scholar] [CrossRef]
- Liu, C.; Liu, K.; Wang, C.; Liu, H.; Wang, H.; Su, H.; Li, X.; Chen, B.; Jiang, J. Elucidating Heterogeneous Photocatalytic Superiority of Microporous Porphyrin Organic Cage. Nat. Commun. 2020, 11, 1047. [Google Scholar] [CrossRef]
- Liu, Z.; Su, Q.; Ju, P.; Li, X.; Li, G.; Wu, Q.; Yang, B. A Hydrophilic Covalent Organic Framework for Photocatalytic Oxidation of Benzylamine in Water. Chem. Commun. 2020, 56, 766–769. [Google Scholar] [CrossRef]
- Li, S.; Li, L.; Li, Y.; Dai, L.; Liu, C.; Liu, Y.; Li, J.; Lv, J.; Li, P.; Wang, B. Fully Conjugated Donor-Acceptor Covalent Organic Frameworks for Photocatalytic Oxidative Amine Coupling and Thioamide Cyclization. ACS Catal. 2020, 10, 8717–8726. [Google Scholar] [CrossRef]
- Li, W.; Huang, X.; Zeng, T.; Liu, Y.A.; Hu, W.; Yang, H.; Zhang, Y.-B.; Wen, K. Thiazolo[5,4-d]Thiazole-Based Donor-Acceptor Covalent Organic Framework for Sunlight-Driven Hydrogen Evolution. Angew. Chem. Int. Ed. 2021, 60, 1869–1874. [Google Scholar] [CrossRef] [PubMed]
- Fadlalla, M.I.; Kumar, P.S.; Selvam, V.; Babu, S.G. Emerging Energy and Environmental Application of Graphene and Their Composites: A Review. J. Mater. Sci. 2020, 55, 7156–7183. [Google Scholar] [CrossRef]
- Mishra, S.; Acharya, R. Photocatalytic Applications of Graphene Based Semiconductor Composites: A Review. Mater. Today: Proc. 2021, 35, 164–169. [Google Scholar] [CrossRef]
- Hu, Y.; Zhou, C.; Wang, H.; Chen, M.; Zeng, G.; Liu, Z.; Liu, Y.; Wang, W.; Wu, T.; Shao, B.; et al. Recent Advance of Graphene/Semiconductor Composite Nanocatalysts: Synthesis, Mechanism, Applications and Perspectives. Chem. Eng. J. 2021, 414, 128795. [Google Scholar] [CrossRef]
- Wang, R.; Lu, K.-Q.; Tang, Z.-R.; Xu, Y.-J. Recent Progress in Carbon Quantum Dots: Synthesis, Properties and Applications in Photocatalysis. J. Mater. Chem. A 2017, 5, 3717–3734. [Google Scholar] [CrossRef]
- Zeng, Z.; Chen, S.; Tan, T.T.Y.; Xiao, F.-X. Graphene Quantum Dots (GQDs) and its Derivatives for Multifarious Photocatalysis and Photoelectrocatalysis. Catal. Today 2018, 315, 171–183. [Google Scholar] [CrossRef]
- Jeon, S.-J.; Kang, T.-W.; Ju, J.-M.; Kim, M.-J.; Park, J.H.; Raza, F.; Han, J.; Lee, H.-R.; Kim, J.-H. Modulating the Photocatalytic Activity of Graphene Quantum Dots via Atomic Tailoring for Highly Enhanced Photocatalysis under Visible Light. Adv. Funct. Mater. 2016, 26, 8211–8219. [Google Scholar] [CrossRef]
- Ye, J.; Ni, K.; Liu, J.; Chen, G.; Ikram, M.; Zhu, Y. Oxygen-Rich Carbon Quantum Dots as Catalysts for Selective Oxidation of Amines and Alcohols. ChemCatChem 2018, 10, 259–265. [Google Scholar] [CrossRef]
- Tu, X.; Wang, Q.; Zhang, F.; Lan, F.; Liu, H.; Li, R. CO2-Triggered Reversible Phase Transfer of Graphene Quantum Dots for Visible Light-Promoted Amine Oxidation. Nanoscale 2020, 12, 4410–4417. [Google Scholar] [CrossRef]
- Ko, J.H.; Kang, N.; Park, N.; Shin, H.-W.; Kang, S.; Lee, S.M.; Kim, H.J.; Ahn, T.K.; Son, S.U. Hollow Microporous Organic Networks Bearing Triphenylamines and Anthraquinones: Diffusion Pathway Effect in Visible Light-Driven Oxidative Coupling of Benzylamines. ACS Macro Lett. 2015, 4, 669–672. [Google Scholar] [CrossRef]
- Kumar, I.; Kumar, R.; Gupta, S.S.; Sharma, U. C70 Fullerene Catalyzed Photoinduced Aerobic Oxidation of Benzylamines to Imines and Aldehydes. J. Org. Chem. 2021, 86, 6449–6457. [Google Scholar] [CrossRef]
- Ma, S.; Cui, J.-W.; Rao, C.-H.; Jia, M.-Z.; Chen, Y.-R.; Zhang, J. Boosting Activity of Molecular Oxygen by Pyridinium-Based Photocatalysts for Metal-Free Alcohol Oxidation. Green Chem. 2021, 23, 1337–1343. [Google Scholar] [CrossRef]
- Schilling, W.; Riemer, D.; Zhang, Y.; Hatami, N.; Das, S. Metal-Free Catalyst for Visible-Light-Induced Oxidation of Unactivated Alcohols Using Air/Oxygen as an Oxidant. ACS Catal. 2018, 8, 5425–5430. [Google Scholar] [CrossRef]
- Nikitas, N.F.; Tzaras, D.I.; Triandafillidi, I.; Kokotos, C.G. Photochemical Oxidation of Benzylic Primary and Secondary Alcohols Utilizing Air as the Oxidant. Green Chem. 2020, 22, 471–477. [Google Scholar] [CrossRef] [Green Version]
- König, B.; Kümmel, S.; Svobodová, E.; Cibulka, R. Flavin Photocatalysis. Phys. Sci. Rev. 2018, 3, 20170168. [Google Scholar] [CrossRef]
- Mudd, R.J.; Gilmour, R. Flavins in Photocatalysis. In Photocatalysis in Organic Synthesis, 1st ed.; König, B., Ed.; Thieme: Stuttgart, Germany, 2019; pp. 391–404. Available online: https://science-of-synthesis.thieme.com/app/view/pdf/sos-4535791240923419569.pdf (accessed on 12 January 2022).
- Grosheva, D.; Hyster, T.K. Light-Driven Flavin-Based Biocatalysis. In Flavin-Based Catalysis; Cibulka, R., Fraaije, M., Eds.; Wiley-VCH: Weinheim, Germany, 2021; pp. 291–313. Available online: https://onlinelibrary.wiley.com/doi/10.1002/9783527830138.ch12 (accessed on 12 January 2022).
- Svobodová, E.; Cibulka, R. New Applications of Flavin Photocatalysis. In Flavin-Based Catalysis; Cibulka, R., Fraaije, M., Eds.; Wiley-VCH: Weinheim, Germany, 2021; pp. 265–291. [Google Scholar]
- Srivastava, V.; Singh, P.K.; Srivastava, A.; Singh, P.P. Synthetic Applications of Flavin Photocatalysis: A Review. RSC Adv. 2021, 11, 14251–14259. [Google Scholar] [CrossRef]
- Obst, M.; König, B. Solvent-Free, Visible-Light Photocatalytic Alcohol Oxidations Applying an Organic Photocatalyst. Beilstein J. Org. Chem. 2016, 12, 2358–2363. [Google Scholar] [CrossRef] [Green Version]
- Korvinson, K.A.; Hargenrader, G.N.; Stevanovic, J.; Xie, Y.; Joseph, J.; Maslak, V.; Hadad, C.M.; Glusac, K.D. Improved Flavin-Based Catalytic Photooxidation of Alcohols through Intersystem Crossing Rate Enhancement. J. Phys. Chem. A 2016, 120, 7294–7300. [Google Scholar] [CrossRef] [Green Version]
- Zelenka, J.; Svobodova, E.; Tarabek, J.; Hoskovcova, I.; Boguschova, V.; Bailly, S.; Sikorski, M.; Roithova, J.; Cibulka, R. Combining Flavin Photocatalysis and Organocatalysis: Metal-Free Aerobic Oxidation of Unactivated Benzylic Substrates. Org. Lett. 2019, 21, 114–119. [Google Scholar] [CrossRef]
- Tolba, A.H.; Vavra, F.; Chudoba, J.; Cibulka, R. Tuning Flavin-Based Photocatalytic Systems for Application in the Mild Chemoselective Aerobic Oxidation of Benzylic Substrates. Eur. J. Org. Chem. 2020, 1579–1585. [Google Scholar] [CrossRef]
- Hari, D.P.; König, B. Synthetic Applications of Eosin Y in Photoredox Catalysis. Chem. Commun. 2014, 50, 6688–6699. [Google Scholar] [CrossRef] [Green Version]
- Srivastava, V.; Singh, P.P. Eosin Y Catalysed Photoredox Synthesis: A Review. RSC Adv. 2017, 7, 31377–31392. [Google Scholar] [CrossRef]
- Sharma, S.; Sharma, A. Recent Advances in Photocatalytic Manipulations of Rose Bengal in Organic Synthesis. Org. Biomol. Chem. 2019, 17, 4384–4405. [Google Scholar] [CrossRef]
- Sheriff Shah, S.; Pradeep Singh, N.D. Pseudohalide Assisted Aerobic Oxidation of Alcohols in the Presence of Visible-Light. Tetrahedron Lett. 2018, 59, 247–251. [Google Scholar] [CrossRef]
- Xia, Q.; Shi, Z.; Yuan, J.; Bian, Q.; Xu, Y.; Liu, B.; Huang, Y.; Yang, X.; Xu, H. Visible-Light-Enabled Selective Oxidation of Primary Alcohols through Hydrogen-Atom Transfer and its Application in the Synthesis of Quinazolinones. Asian J. Org. Chem. 2019, 8, 1933–1941. [Google Scholar] [CrossRef]
- Mehrabi-Kalajahi, S.S.; Hajimohammadi, M.; Safari, N. Selective Photocatalytic Oxidation of Alcohols to Corresponding Aldehydes in Solvent-Free Conditions Using Porphyrin Sensitizers. J. Iran. Chem. Soc. 2016, 13, 1069–1076. [Google Scholar] [CrossRef]
- Mardani, A.; Heshami, M.; Shariati, Y.; Kazemi, F.; Abdollahi Kakroudi, M.; Kaboudin, B. A Tunable Synthesis of Either Benzaldehyde or Benzoic Acid through Blue-Violet LED Irradiation Using TBATB. J. Photochem. Photobiol. A 2020, 389, 112220. [Google Scholar] [CrossRef]
- Zhu, X.; Liu, C.; Liu, Y.; Yang, H.; Fu, H. A Sodium Trifluoromethanesulfinate-Mediated Photocatalytic Strategy for Aerobic Oxidation of Alcohols. Chem. Commun. 2020, 56, 12443–12446. [Google Scholar] [CrossRef] [PubMed]
- Zhang, W.; Gacs, J.; Arends, I.W.C.E.; Hollmann, F. Selective Photooxidation Reactions using Water-Soluble Anthraquinone Photocatalysts. ChemCatChem 2017, 9, 3821–3826. [Google Scholar] [CrossRef] [PubMed] [Green Version]
- Gacs, J.; Zhang, W.; Knaus, T.; Mutti, F.G.; Arends, I.W.C.E.; Hollmann, F. A Photo-Enzymatic Cascade to Transform Racemic Alcohols into Enantiomerically Pure Amines. Catalysts 2019, 9, 305. [Google Scholar] [CrossRef] [Green Version]
- Jiang, D.; Chen, M.; Deng, Y.; Hu, W.; Su, A.; Yang, B.; Mao, F.; Zhang, C.; Liu, Y.; Fu, Z. 9,10-Dihydroanthracene Auto-Photooxidation Efficiently Triggered Photo-Catalytic Oxidation of Organic Compounds by Molecular Oxygen under Visible Light. Mol. Catal. 2020, 494, 111127. [Google Scholar] [CrossRef]
- Samanta, S.; Biswas, P. Metal Free Visible Light Driven Oxidation of Alcohols to Carbonyl Derivatives Using 3,6-Di(pyridin-2-yl)-1,2,4,5-tetrazine (pytz) as Catalyst. RSC Adv. 2015, 5, 84328–84333. [Google Scholar] [CrossRef]
- Liu, X.; Lin, L.; Ye, X.; Tan, C.-H.; Jiang, Z. Aerobic Oxidation of Benzylic sp3 C-H Bonds through Cooperative Visible-Light Photoredox Catalysis of N-Hydroxyimide and Dicyanopyrazine. Asian J. Org. Chem. 2017, 6, 422–425. [Google Scholar] [CrossRef]
- Bains, A.K.; Ankit, Y.; Adhikari, D. Bioinspired Radical-Mediated Transition-Metal-Free Synthesis of N-Heterocycles under Visible Light. ChemSusChem 2021, 14, 324–329. [Google Scholar] [CrossRef]
- Zhang, H.; Guo, T.; Wu, M.; Huo, X.; Tang, S.; Wang, X.; Liu, J. 4CzIPN Catalyzed Photochemical Oxidation of Benzylic Alcohols. Tetrahedron Lett. 2021, 67, 152878. [Google Scholar] [CrossRef]
- Shah, S.S.; Shee, M.; Venkatesh, Y.; Singh, A.K.; Samanta, S.; Singh, N.D.P. Organophotoredox-Mediated Amide Synthesis by Coupling Alcohol and Amine through Aerobic Oxidation of Alcohol. Chem. Eur. J. 2020, 26, 3703–3708. [Google Scholar] [CrossRef]
- Gorelik, D.J.; Dimakos, V.; Adrianov, T.; Taylor, M.S. Photocatalytic, Site-Selective Oxidations of Carbohydrates. Chem. Commun. 2021, 57, 12135–12138. [Google Scholar] [CrossRef]
- Luo, J.; Zhang, J. Aerobic Oxidation of Olefins and Lignin Model Compounds Using Photogenerated Phthalimide-N-oxyl Radical. J. Org. Chem. 2016, 81, 9131–9137. [Google Scholar] [CrossRef] [PubMed]
- Chen, K.; Schwarz, J.; Karl, T.A.; Chatterjee, A.; König, B. Visible Light Induced Redox Neutral Fragmentation of 1,2-Diol Derivatives. Chem. Commun. 2019, 55, 13144–13147. [Google Scholar] [CrossRef]
- Thomson, R.H. Naturally Occurring Quinones IV, 4th ed.; Chapman & Hall: London, UK, 1996. [Google Scholar]
- de Oliveira, K.T.; Miller, L.Z.; McQuade, D.T. Exploiting Photooxygenations Mediated by Porphyrinoid Photocatalysts under Continuous Flow Conditions. RSC Adv. 2016, 6, 12717–12725. [Google Scholar] [CrossRef]
- Rehm, T.H.; Gros, S.; Löb, P.; Renken, A. Photonic Contacting of Gas–Liquid Phases in a Falling Film Microreactor for Continuous-Flow Photochemical Catalysis with Visible Light. React. Chem. Eng. 2016, 1, 636–648. [Google Scholar] [CrossRef] [Green Version]
- Wu, L.; Abreu, B.L.; Blake, A.J.; Taylor, L.J.; Lewis, W.; Argent, S.P.; Poliakoff, M.; Boufroura, H.; George, M.W. Multigram Synthesis of Trioxanes Enabled by a Supercritical CO2 Integrated Flow Process. Org. Process Res. Dev. 2021, 25, 1873–1881. [Google Scholar] [CrossRef]
- Zhu, S.-E.; Liu, K.-Q.; Wang, X.-F.; Xia, A.-D.; Wang, G.-W. Synthesis and Properties of Axially Symmetrical Rigid Visible Light-Harvesting Systems Containing [60]Fullerene and Perylenebisimide. J. Org. Chem. 2016, 81, 12223–12231. [Google Scholar] [CrossRef]
- Singh, V.D.; Singh, R.S.; Dwivedi, B.K.; Mukhopadhyay, S.; Shukla, A.; Maiti, P.; Pandey, D.S. Photosensitization Ability of 1,7-Phenanthroline Based Bis-BODIPYs: Perplexing Role of Intramolecular Rotation on Photophysical Properties. J. Phys. Chem. C 2019, 123, 30623–30632. [Google Scholar] [CrossRef]
- Li, Y.; Wei, Y.; Zhou, X. Two New Bodipy-Carbazole Derivatives as Metal-Free Photosensitizers in Photocatalytic Oxidation of 1,5-Dihydroxynaphthalene. J. Photochem. Photobiol. A 2020, 400, 112713. [Google Scholar] [CrossRef]
- Wellauer, J.; Miladinov, D.; Buchholz, T.; Schütz, J.; Stemmler, R.T.; Medlock, J.A.; Bonrath, W.; Sparr, C. Organophotocatalytic Aerobic Oxygenation of Phenols in a Visible-Light Continuous-Flow Photoreactor. Chem. Eur. J. 2021, 27, 9748–9752. [Google Scholar] [CrossRef]
- Chen, L.; Zhao, L.; Xu, J.; Long, J.; Hou, L. Metal-Free Photocatalysts C3N3S3 and its Polymers: Solubility in Water and Application in Benzylic Alcohols Oxidation Under Visible Light. Nano 2017, 12, 1750101. [Google Scholar] [CrossRef]
- Xu, C.; Qian, L.; Lin, J.; Guo, Z.; Yan, D.; Zhan, H. Heptazine-Based Porous Polymer for Selective CO2 Sorption and Visible Light Photocatalytic Oxidation of Benzyl Alcohol. Microporous Mesoporous Mater. 2019, 282, 9–14. [Google Scholar] [CrossRef]
- Arakawa, Y.; Sato, F.; Ariki, K.; Minagawa, K.; Imada, Y. Preparation of Flavin-Containing Mesoporous Network Polymers and Their Catalysis. Tetrahedron Lett. 2020, 61, 151710. [Google Scholar] [CrossRef]
- Krivtsov, I.; Ilkaeva, M.; García-López, E.I.; Marcì, G.; Palmisano, L.; Bartashevich, E.; Grigoreva, E.; Matveeva, K.; Díaz, E.; Ordóñez, S. Effect of Substituents on Partial Photocatalytic Oxidation of Aromatic Alcohols Assisted by Polymeric C3N4. ChemCatChem 2019, 11, 2713–2724. [Google Scholar] [CrossRef]
- Zhang, W.; Xu, C.; Kobayashi, T.; Zhong, Y.; Guo, Z.; Zhan, H.; Pruski, M.; Huang, W. Hydrazone-Linked Heptazine Polymeric Carbon Nitrides for Synergistic Visible-Light-Driven Catalysis. Chem. Eur. J. 2020, 26, 7358–7364. [Google Scholar] [CrossRef]
- Gu, Q.; Jiang, P.; Leng, Y.; Thin, W.P.; Zhang, K.; Shen, Y.; Agus, H. Synthesis of Coralloid Carbon Nitride Polymers and Photocatalytic Selective Oxidation of Benzyl Alcohol. Nanotechnology 2021, 32, 235602. [Google Scholar] [CrossRef] [PubMed]
- Zhang, W.; Bariotaki, A.; Smonou, I.; Hollmann, F. Visible-Light-Driven Photooxidation of Alcohols Using Surface-Doped Graphitic Carbon Nitride. Green Chem. 2017, 19, 2096–2100. [Google Scholar] [CrossRef] [Green Version]
- Pahari, S.K.; Doong, R.-A. Few-Layered Phosphorene-Graphitic Carbon Nitride Nanoheterostructure as a Metal-Free Photocatalyst for Aerobic Oxidation of Benzyl Alcohol and Toluene. ACS Sustain. Chem. Eng. 2020, 8, 13342–13351. [Google Scholar] [CrossRef]
- Fernandes, R.A.; Sampaio, M.J.; Faria, J.L.; Silva, C.G. Aqueous Solution Photocatalytic Synthesis of p-Anisaldehyde by Using Graphite-Like Carbon Nitride Photocatalysts Obtained Via the Hard-Templating Route. RSC Adv. 2020, 10, 19431–19442. [Google Scholar] [CrossRef]
- García-López, E.I.; Abbasi, Z.; Di Franco, F.; Santamaria, M.; Marcì, G.; Palmisano, L. Selective Oxidation of Aromatic Alcohols in the Presence of C3N4 Photocatalysts Derived from the Polycondensation of Melamine, Cyanuric and Barbituric Acids. Res. Chem. Intermed. 2021, 47, 131–156. [Google Scholar] [CrossRef]
- Lima, M.J.; Silva, A.M.T.; Silva, C.G.; Faria, J.L. Graphitic Carbon Nitride Modified by Thermal, Chemical and Mechanical Processes as Metal-Free Photocatalyst for the Selective Synthesis of Benzaldehyde from Benzyl Alcohol. J. Catal. 2017, 353, 44–53. [Google Scholar] [CrossRef]
- Ding, J.; Xu, W.; Wan, H.; Yuan, D.; Chen, C.; Wang, L.; Guan, G.; Dai, W.-L. Nitrogen Vacancy Engineered Graphitic C3N4-Based Polymers for Photocatalytic Oxidation of Aromatic Alcohols to Aldehydes. Appl. Catal. B 2018, 221, 626–634. [Google Scholar] [CrossRef]
- Bellardita, M.; García-López, E.I.; Marcì, G.; Krivtsov, I.; García, J.R.; Palmisano, L. Selective Photocatalytic Oxidation of Aromatic Alcohols in Water by Using P-Doped g-C3N4. Appl. Catal. B 2018, 220, 222–233. [Google Scholar] [CrossRef] [Green Version]
- Zhang, P.; Yue, C.; Fan, M.; Haryonob, A.; Leng, Y.; Jiang, P. The Selective Oxidation of Glycerol over Metal-free Photocatalysts: Insights into the Solvent Effect on Catalytic Efficiency and Product Distribution. Catal. Sci. Technol. 2021, 11, 3385–3392. [Google Scholar] [CrossRef]
- Zhang, F.; Li, J.; Wang, H.; Li, Y.; Liu, Y.; Qian, Q.; Jin, X.; Wang, X.; Zhang, J.; Zhang, G. Realizing Synergistic Effect of Electronic Modulation and Nanostructure Engineering over Graphitic Carbon Nitride for Highly Efficient Visible-Light H2 Production Coupled with Benzyl Alcohol Oxidation. Appl. Catal. B 2020, 269, 118772. [Google Scholar] [CrossRef]
- Zhang, P.; Deng, J.; Mao, J.; Li, H.; Wang, Y. Selective Aerobic Oxidation of Alcohols by a Mesoporous Graphitic Carbon Nitride/N-hydroxyphthalimide System under Visible-Light Illumination at Room Temperature. Chin. J. Catal. 2015, 36, 1580–1586. [Google Scholar] [CrossRef]
- Zhou, M.; Yang, P.; Wang, S.; Luo, Z.; Huang, C.; Wang, X. Structure-Mediated Charge Separation in Boron Carbon Nitride for Enhanced Photocatalytic Oxidation of Alcohol. ChemSusChem 2018, 11, 3949–3955. [Google Scholar] [CrossRef]
- Zhou, M.; Chen, Z.; Yang, P.; Wang, S.; Huang, C.; Wang, X. Hydrogen Reduction Treatment of Boron Carbon Nitrides for Photocatalytic Selective Oxidation of Alcohols. Appl. Catal. B 2020, 276, 118916. [Google Scholar] [CrossRef]
- Han, R.; Liu, F.; Wang, X.; Huang, M.; Li, W.; Yamauchi, Y.; Sun, X.; Huang, Z. Functionalised Hexagonal Boron Nitride for Energy Conversion and Storage. J. Mat. Chem. A 2020, 8, 14384–14399. [Google Scholar] [CrossRef]
- Wang, B.; Anpo, M.; Le, Z.; Wang, X. Photocatalytic Performance of Hexagonal Boron Carbon Nitride Nanomaterials. In Current Developments in Photocatalysis and Photocatalytic Materials: New Horizons in Photocatalysis; Wang, X., Anpo, M., Fu, X., Eds.; Elsevier: Oxford, UK, 2020; pp. 475–490. [Google Scholar]
- Li, X.; Zhang, J.; Zhang, S.; Xu, S.; Wu, X.; Chang, J.; He, Z. Hexagonal Boron Nitride Composite Photocatalysts for Hydrogen Production. J. Alloys Compd. 2021, 864, 158153. [Google Scholar] [CrossRef]
- Zhang, B.; Zhao, T.-J.; Wang, H.-H. Enhanced Photocatalytic Activity of Aerogel Composed of Crooked Carbon Nitride Nanolayers with Nitrogen Vacancies. ACS Appl. Mater. Interfaces 2019, 11, 34922–34929. [Google Scholar] [CrossRef]
- Mondal, S.; Karthik, P.E.; Sahoo, L.; Chatterjee, K.; Sathish, M.; Gautam, U.K. High and Reversible Oxygen Uptake in Carbon Dot Solutions Generated from Polyethylene Facilitating Reactant-Enhanced Solar Light Harvesting. Nanoscale 2020, 12, 10480–10490. [Google Scholar] [CrossRef]
- Lima, M.J.; Pastrana-Martínez, L.M.; Sampaio, M.J.; Dražić, G.; Silva, A.M.T.; Faria, J.L.; Silva, C.G. Selective Production of Benzaldehyde Using Metal-Free Reduced Graphene Oxide/Carbon Nitride Hybrid Photocatalysts. ChemistrySelect 2018, 3, 8070–8081. [Google Scholar] [CrossRef]
- Phuangburee, T.; Solonenko, D.; Plainpan, N.; Thamyongkit, P.; Zahn, D.R.T.; Unarunotai, S.; Tuntulani, T.; Leeladee, P. Surface Modification of Graphene Oxide Via Noncovalent Functionalization with Porphyrins for Selective Photocatalytic Oxidation of Alcohols. New J. Chem. 2020, 44, 8264–8272. [Google Scholar] [CrossRef]
- Huang, W.; Ma, B.C.; Lu, H.; Li, R.; Wang, L.; Landfester, K.; Zhang, K.A.I. Visible-Light-Promoted Selective Oxidation of Alcohols Using a Covalent Triazine Framework. ACS Catal. 2017, 7, 5438–5442. [Google Scholar] [CrossRef]
- Kurfirt, M.; Spackova, J.; Svobodova, E.; Cibulka, R. Flavin Derivatives Immobilized on Mesoporous Silica: A Versatile Tool in Visible-Light Photooxidation Reactions. Monatsh. Chem. 2018, 149, 863–869. [Google Scholar] [CrossRef]
- de Assis, G.C.; Silva, I.M.A.; dos Santos, T.G.; dos Santos, T.V.; Meneghetti, M.R.; Meneghetti, S.M.P. Photocatalytic Processes for Biomass Conversion. Catal. Sci. Technol. 2021, 11, 2354–2360. [Google Scholar] [CrossRef]
- Navakoteswara Rao, V.; Malu, T.J.; Cheralathan, K.K.; Sakar, M.; Pitchaimuthu, S.; Rodríguez-González, V.; Mamatha Kumari, M.; Shankar, M.V. Light-Driven Transformation of Biomass into Chemicals Using Photocatalysts—Vistas and Challenges. J. Environ. Manag. 2021, 284, 111983. [Google Scholar] [CrossRef]
- Li, C.; Li, J.; Qin, L.; Yang, P.; Vlachos, D.G. Recent Advances in the Photocatalytic Conversion of Biomass-Derived Furanic Compounds. ACS Catal. 2021, 11, 11336–11359. [Google Scholar] [CrossRef]
- Chen, B.; Chen, L.; Yan, Z.; Kang, J.; Chen, S.; Jin, Y.; Ma, L.; Yan, H.; Xia, C. Conjugated Microporous Polymers as a Visible Light Driven Platform for Photo-Redox Conversion of Biomass Derived Chemicals. Green Chem. 2021, 23, 3607–3611. [Google Scholar] [CrossRef]
- Ilkaeva, M.; Krivtsov, I.; García, J.R.; Díaz, E.; Ordóñez, S.; García-López, E.I.; Marcì, G.; Palmisano, L.; Maldonado, M.I.; Malato, S. Selective Photocatalytic Oxidation of 5-hydroxymethyl-2-furfural in Aqueous Suspension of Polymeric Carbon Nitride and its Adduct with H2O2 in a Solar Pilot Plant. Catal. Today 2018, 315, 138–148. [Google Scholar] [CrossRef]
- Krivtsov, I.; García-López, E.I.; Marcì, G.; Palmisano, L.; Amghouz, Z.; García, J.R.; Ordóñez, S.; Díaz, E. Selective Photocatalytic Oxidation of 5-Hydroxymethyl-2-furfural to 2,5-Furandicarboxyaldehyde in Aqueous Suspension of g-C3N4. Appl. Catal. B 2017, 204, 430–439. [Google Scholar] [CrossRef]
- Wu, Q.; He, Y.; Zhang, H.; Feng, Z.; Wu, Y.; Wu, T. Photocatalytic Selective Oxidation of Biomass-Derived 5-Hydroxymethylfurfural to 2,5-Diformylfuran on Metal-Free g-C3N4 under Visible Light Irradiation. Mol. Catal. 2017, 436, 10–18. [Google Scholar] [CrossRef]
- Battula, V.R.; Jaryal, A.; Kailasam, K. Visible Light-Driven Simultaneous H2 Production by Water Splitting Coupled with Selective Oxidation of HMF to DFF Catalyzed by Porous Carbon Nitride. J. Mater. Chem. A 2019, 7, 5643–5649. [Google Scholar] [CrossRef]
- Ayed, C.; Huang, W.; Kizilsavas, G.; Landfester, K.; Zhang, K.A.I. Photocatalytic Partial Oxidation of 5-Hydroxymethylfurfural (HMF) to 2,5-Diformylfuran (DFF) Over a Covalent Triazine Framework in Water. ChemPhotoChem 2020, 4, 571–576. [Google Scholar] [CrossRef]
- Luo, J.; Zhang, X.; Lu, J.; Zhang, J. Fine Tuning the Redox Potentials of Carbazolic Porous Organic Frameworks for Visible-Light Photoredox Catalytic Degradation of Lignin β-O-4 Models. ACS Catal. 2017, 7, 5062–5070. [Google Scholar] [CrossRef]
- Chen, W.; Wang, W.; Ge, X.; Wei, Q.; Ghiladi, R.A.; Wang, Q. Photooxidation Properties of Photosensitizer/Direct Dye Patterned Polyester/Cotton Fabrics. Fibers Polym. 2018, 19, 1687–1693. [Google Scholar] [CrossRef]
- Wu, W.; Han, C.; Zhang, Q.; Zhang, Q.; Li, Z.; Gosztola, D.J.; Wiederrecht, G.P.; Wu, M. Functionalizing Carbon Nitride with Heavy Atom-Free Spin Converters for Enhanced 1O2 Generation. J. Catal. 2018, 361, 222–229. [Google Scholar] [CrossRef]
- Ozturk, E.; Eserci, H.; Okutan, E. Perylenebisimide-Fullerene Dyads as Heavy Atom Free Triplet Photosensitizers with Unique Singlet Oxygen Generation Efficiencies. J. Photochem. Photobiol. A 2019, 385, 112022. [Google Scholar] [CrossRef]
- Zhu, S.-E.; Zhang, J.; Dou, L.; Li, N.; Hu, K.; Gao, T.; Lu, H.; Si, J.; Wang, X.; Yang, W. Rigid Axially Symmetrical C60-BODIPY Triplet Photosensitizers: Effect of Bridge Length on Singlet Oxygen Generation. New J. Chem. 2020, 44, 20419–20427. [Google Scholar] [CrossRef]
- Zhu, S.-E.; Zhang, J.-H.; Gong, Y.; Dou, L.-F.; Mao, L.-H.; Lu, H.-D.; Wei, C.-X.; Chen, H.; Wang, X.-F.; Yang, W. Broadband Visible Light-Absorbing [70]Fullerene-BODIPY-Triphenylamine Triad: Synthesis and Application as Heavy Atom-Free Organic Triplet Photosensitizer for Photooxidation. Molecules 2021, 26, 1243. [Google Scholar] [CrossRef]
- Heydari-turkmani, A.; Zakavi, S. The First Solid State Porphyrin-Weak Acid Molecular Complex: Metal Free, Nanosized and Porous Photocatalyst for Large Scale Aerobic Oxidations in Water. J. Catal. 2018, 364, 394–405. [Google Scholar] [CrossRef]
- Mojarrad, A.G.; Zakavi, S. Significantly Increased Stability of Donor-Acceptor Molecular Complexes under Heterogeneous Conditions: Synthesis, Characterization, and Photosensitizing Activity of a Nanostructured Porphyrin-Lewis Acid Adduct. ACS Appl. Mater. Interfaces 2020, 12, 46190–46204. [Google Scholar] [CrossRef]
- Blanchard, V.; Asbai, Z.; Cottet, K.; Boissonnat, G.; Port, M.; Amara, Z. Continuous Flow Photo-Oxidations Using Supported Photocatalysts on Silica. Org. Process Res. Dev. 2020, 24, 822–826. [Google Scholar] [CrossRef]
- Koo, J.; Kim, I.; Kim, Y.; Cho, D.; Hwang, I.-C.; Mukhopadhyay, R.D.; Song, H.; Ko, Y.H.; Dhamija, A.; Lee, H.; et al. Gigantic Porphyrinic Cages. Chem 2020, 6, 3374–3384. [Google Scholar] [CrossRef]
- Liu, H.; Li, H.; Lu, J.; Zeng, S.; Wang, M.; Luo, N.; Xu, S.; Wang, F. Photocatalytic Cleavage of C-C Bond in Lignin Models under Visible Light on Mesoporous Graphitic Carbon Nitride through π-π Stacking Interaction. ACS Catal. 2018, 8, 4761–4771. [Google Scholar] [CrossRef]
- Niu, T.; Chen, S.; Hong, M.; Zhang, T.; Chen, J.; Dong, X.; Ni, B. Heterogeneous Carbon Nitride Photocatalyst for C-C Bond Oxidative Cleavage of Vicinal Diols in Aerobic Micellar Medium. Green Chem. 2020, 22, 5042–5049. [Google Scholar] [CrossRef]
- Zhu, R.; Zhou, G.; Teng, J.-N.; Li, X.; Fu, Y. Metal-Free Photocatalytic Aerobic Oxidative Cleavage of C−C Bonds in 1,2-Diols. ChemSusChem 2020, 13, 5248–5255. [Google Scholar] [CrossRef]



























































Publisher’s Note: MDPI stays neutral with regard to jurisdictional claims in published maps and institutional affiliations. |
© 2022 by the authors. Licensee MDPI, Basel, Switzerland. This article is an open access article distributed under the terms and conditions of the Creative Commons Attribution (CC BY) license (https://creativecommons.org/licenses/by/4.0/).
Share and Cite
Torregrosa-Chinillach, A.; Chinchilla, R. Visible Light-Induced Aerobic Oxidative Dehydrogenation of C–N/C–O to C=N/C=O Bonds Using Metal-Free Photocatalysts: Recent Developments. Molecules 2022, 27, 497. https://doi.org/10.3390/molecules27020497
Torregrosa-Chinillach A, Chinchilla R. Visible Light-Induced Aerobic Oxidative Dehydrogenation of C–N/C–O to C=N/C=O Bonds Using Metal-Free Photocatalysts: Recent Developments. Molecules. 2022; 27(2):497. https://doi.org/10.3390/molecules27020497
Chicago/Turabian StyleTorregrosa-Chinillach, Alejandro, and Rafael Chinchilla. 2022. "Visible Light-Induced Aerobic Oxidative Dehydrogenation of C–N/C–O to C=N/C=O Bonds Using Metal-Free Photocatalysts: Recent Developments" Molecules 27, no. 2: 497. https://doi.org/10.3390/molecules27020497
APA StyleTorregrosa-Chinillach, A., & Chinchilla, R. (2022). Visible Light-Induced Aerobic Oxidative Dehydrogenation of C–N/C–O to C=N/C=O Bonds Using Metal-Free Photocatalysts: Recent Developments. Molecules, 27(2), 497. https://doi.org/10.3390/molecules27020497

