Electrochemical Properties of Carbon Fibers from Felts †
Abstract
:1. Introduction
2. Experimental Section
2.1. Chemicals
2.2. Electrochemical Procedures
3. Results and Discussion
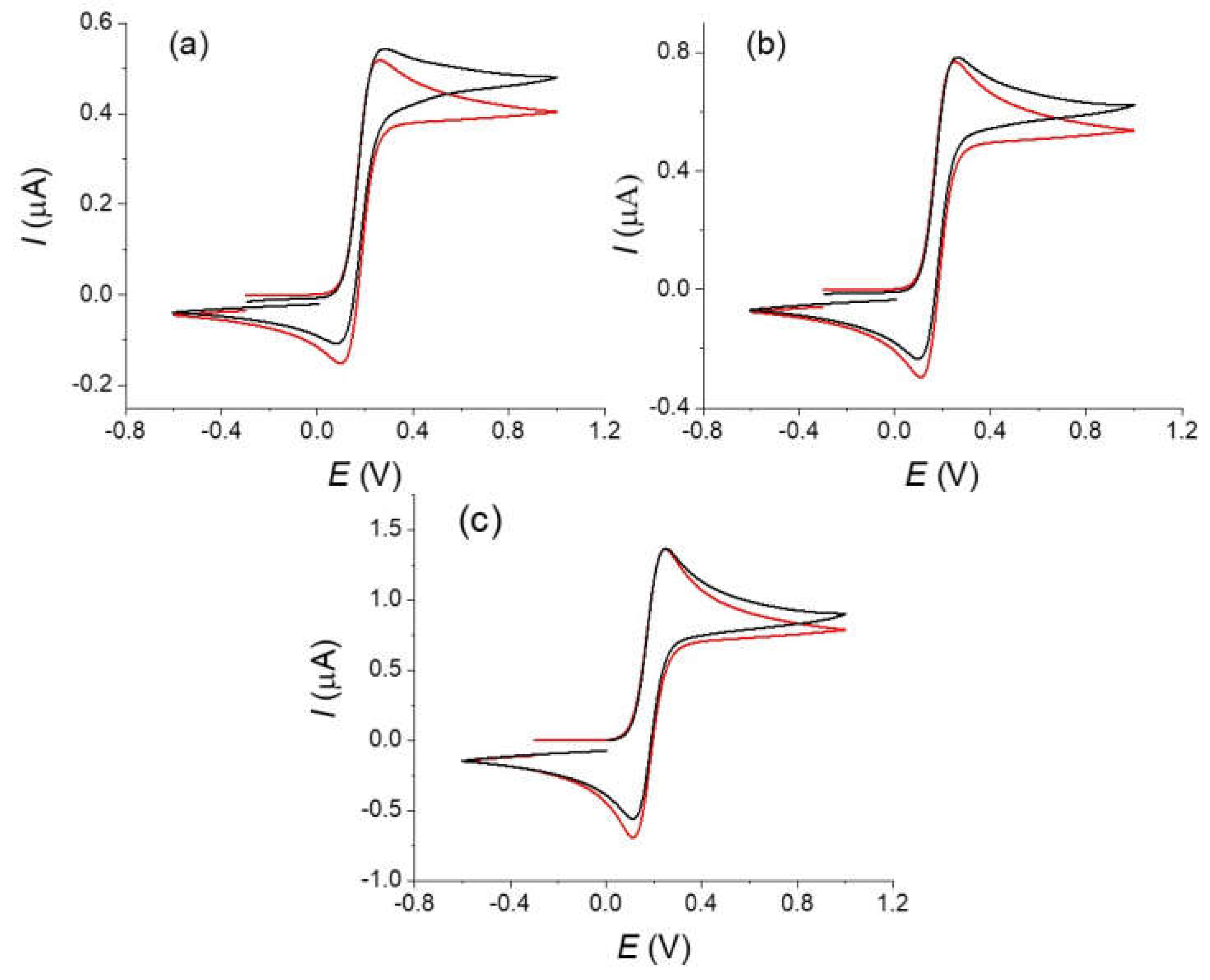
3.1. Characterization of the Fiber with 1,1′-Dimethanolferrocene
3.2. Oxidation of Ferrocyanide on the Carbon Fiber
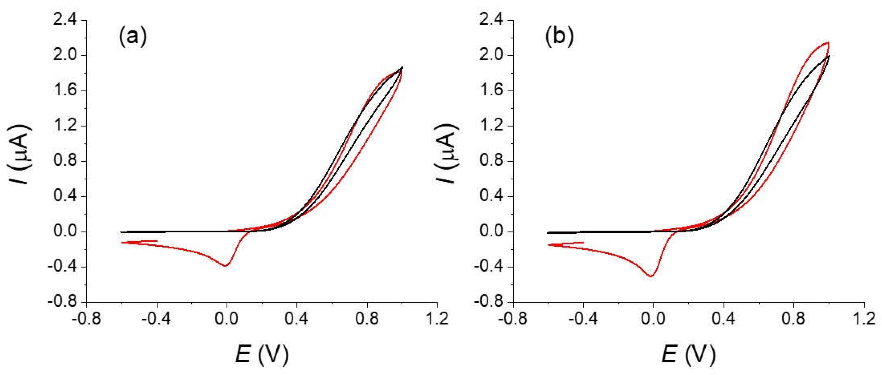
3.3. Influence of the Convection on the Electrochemical Response
4. Conclusions
Author Contributions
Funding
Institutional Review Board Statement
Informed Consent Statement
Data Availability Statement
Acknowledgments
Conflicts of Interest
References
- Gencten, M.; Sahin, Y. A Critical Review on Progress of the Electrode Materials of Vanadium Redox Flow Battery. Int. J. Energy Res. 2020, 44, 7903–7923. [Google Scholar] [CrossRef]
- McCreery, R.L. Advanced Carbon Electrode Materials for Molecular Electrochemistry. Chem. Rev. 2008, 108, 2646–2687. [Google Scholar] [CrossRef]
- Bourke, A.; Miller, M.A.; Lynch, R.P.; Wainright, J.S.; Savinell, R.F.; Buckley, D.N. Effect of Cathodic and Anodic Treatments of Carbon on the Electrode Kinetics of VIV/VV Oxidation-Reduction. J. Electrochem. Soc. 2015, 162, A1547–A1555. [Google Scholar] [CrossRef]
- Landon-Lane, L.; Downard, A.J.; Marshall, A.T. Single Fibre Electrode Measurements–Versatile Strategy for Assessing the Non-Uniform Kinetics at Carbon Felt Electrodes. Electrochim. Acta 2020, 354, 136709. [Google Scholar] [CrossRef]
- McArdle, S.; Landon-Lane, L.; Marshall, A.T. Using Single Fibre electrodes to Determine the Spatial Variability of Rate Constants across Carbon felt Electrodes. Electrochem. Commun. 2021, 131, 107122. [Google Scholar] [CrossRef]
- Feynerol, V.; El Hage, R.; Helú, M.B.; Fierro, V.; Celzard, A.; Liu, L.; Etienne, M. Comparative Kinetic Analysis of Redox Flow Battery Electrolytes: From Micro-Fibers to Macro-Felts. Electrochim. Acta 2022, 421, 140373. [Google Scholar] [CrossRef]
- Amatore, C.A.; Deakin, M.R.; Wightman, R.M. Electrochemical Kinetics at Microelectrodes Part 1. Quasi-reversible Electron Transfer at Cylinders. J. Electroanal. Chem. Interfacial Electrochem. 1986, 206, 23–36. [Google Scholar] [CrossRef]
- Kovach, P.M.; Deakin, M.R.; Wightman, R.M. Electrochemistry at Partially Blocked Carbon Fiber Microcylinder Electrodes. J. Phys. Chem. 1986, 90, 4612–4617. [Google Scholar] [CrossRef]
- Oleinick, A.; Alvarez-Martos, I.; Svir, I.; Ferapontova, E.E.; Amatore, C. Surface Heterogeneities Matter in Fast Scan Cyclic Voltammetry Investigations of Catecholamines in Brain with Carbon Microelectrodes of High-Aspect Ratio: Dopamine Oxidation at Conical Carbon Microelectrodes. J. Electrochem. Soc. 2018, 165, G3057–G3065. [Google Scholar] [CrossRef]
- Amatore, C.; Saveant, J.-M.; Tessier, D. Charge Transfer at Partially Blocked Surfaces: A Model for the Case of Microscopic Active and Inactive Sites. J. Electroanal. Chem. 1983, 147, 39–51. [Google Scholar] [CrossRef]
- Davies, T.J.; Compton, R.G. The Cyclic and Linear Sweep Voltammetry of Regular and Random Arrays of Microdisc Electrodes: Theory. J. Electroanal. Chem. 2005, 585, 63–82. [Google Scholar] [CrossRef]
- Amatore, C.; Szunerits, S.; Thouin, L.; Warkocz, J.-S. The real Meaning of Nernst’s Steady Diffusion Layer Concept under Non-Forced Hydrodynamic Conditions. A Simple Model Based on Levich’s Seminal View of Convection. J. Electroanal. Chem. 2001, 500, 62–70. [Google Scholar] [CrossRef]
- Amatore, C.; Klymenko, O.V.; Svir, I. Importance of Correct Prediction of Initial Concentrations in Voltammetric Scans: Contrasting Roles of Thermodynamics, Kinetics, and Natural Convection. Anal. Chem. 2012, 84, 2792–2798. [Google Scholar] [CrossRef]
- Patel, A.N.; Guille Collignon, M.; O’Connell, M.A.W.; Hu, W.O.Y.; McKelvey, K.; Macpherson, J.V.; Unwin, P.R. A New View of Electrochemistry at Highly Oriented Pyrolytic Graphite. J. Am. Chem. Soc. 2012, 134, 20117–20130. [Google Scholar] [CrossRef] [PubMed]
- Aoki, K. Theory of Ultramicroelectrodes. Electroanalysis 1993, 5, 627–639. [Google Scholar] [CrossRef]
- Klymenko, O.V.; Oleinick, A.; Svir, I.; Amatore, C. KISSA-1D Package Software, version 1.2b; Bioanalytical Systems, Inc.: West Lafayette, IN, USA; Available online: https://www.basinc.com/electrochemistry-simulation-software (accessed on 3 September 2022).
- Ellison, J.; Batchelor-McAuley, C.; Tschulik, K.; Compton., R.G. The Use of Cylindrical Micro-Wire Electrodes for Nano-Impact Experiments; Facilitating the Sub-Picomolar Detection of Single Nanoparticles. Sens. Actuators B Chem. 2014, 200, 47–52. [Google Scholar] [CrossRef]
- Geneste, F.; Moinet, C.; Ababou-Girard, S.; Solal, F. Covalent Attachment of TEMPO onto a Graphite Felt Electrode and application in electrocatalysis. New J. Chem. 2005, 12, 1520–1526. [Google Scholar] [CrossRef]
- Leroux, Y.R.; Hapiot, P. Nanostructured Monolayers on Carbon Substrates Prepared by Electrografting of Protected Aryldiazonium Salts. Chem. Mater. 2013, 25, 489–495. [Google Scholar] [CrossRef]
- Zhen, F.; Percevault, L.; Paquin, L.; Limanton, E.; Lagrost, C.; Hapiot, P. Electron Transfer Kinetics in a Deep Eutectic Solvent. J. Phys. Chem. B 2020, 124, 1025–1032. [Google Scholar] [CrossRef]
- Savéant, J.-M. Elements of Molecular and Biomolecular Electrochemistry: An Electrochemical Approach to Electron Transfer Chemistry; John Wiley & Sons, Inc.: Hoboken, NJ, USA, 2006; pp. 6–52. [Google Scholar]
- Peihong, C.; McCreery, R.L. Control of Electron Transfer Kinetics at Glassy Carbon Electrodes by Specific Surface Modification. Anal. Chem. 1996, 68, 3958–3965. [Google Scholar]
- Sliusarenko, O.; Oleinick, A.; Svir, I.; Amatore, C. Development and Validation of an Analytical Model for Predicting Chronoamperometric Responses of Random Arrays of Micro- and Nanodisk Electrodes. ChemElectroChem 2015, 2, 1279–1291. [Google Scholar] [CrossRef]










Publisher’s Note: MDPI stays neutral with regard to jurisdictional claims in published maps and institutional affiliations. |
© 2022 by the authors. Licensee MDPI, Basel, Switzerland. This article is an open access article distributed under the terms and conditions of the Creative Commons Attribution (CC BY) license (https://creativecommons.org/licenses/by/4.0/).
Share and Cite
Pignol, G.; Bassil, P.; Fontmorin, J.-M.; Floner, D.; Geneste, F.; Hapiot, P. Electrochemical Properties of Carbon Fibers from Felts. Molecules 2022, 27, 6584. https://doi.org/10.3390/molecules27196584
Pignol G, Bassil P, Fontmorin J-M, Floner D, Geneste F, Hapiot P. Electrochemical Properties of Carbon Fibers from Felts. Molecules. 2022; 27(19):6584. https://doi.org/10.3390/molecules27196584
Chicago/Turabian StylePignol, Guilhem, Patricia Bassil, Jean-Marie Fontmorin, Didier Floner, Florence Geneste, and Philippe Hapiot. 2022. "Electrochemical Properties of Carbon Fibers from Felts" Molecules 27, no. 19: 6584. https://doi.org/10.3390/molecules27196584
APA StylePignol, G., Bassil, P., Fontmorin, J.-M., Floner, D., Geneste, F., & Hapiot, P. (2022). Electrochemical Properties of Carbon Fibers from Felts. Molecules, 27(19), 6584. https://doi.org/10.3390/molecules27196584

