Abstract
Seven new sesquiterpenes, named croargoid A–G (1–7), were isolated from the bark of Croton argyratus. Compounds 1–4 were the first examples of eudesmane sesquiterpene lactones containing C5-OH group. Compound 7 was a highly degraded eudesmane sesquiterpene possessing a rare eleven-carbon skeleton. Their structures with stereochemistry were mainly elucidated by NMR analyses in combination with MS and ECD data. Cytotoxicities and NO inhibitions of all isolates were evaluated and only compound 5 showed moderate NO inhibitory activity.
1. Introduction
Croton, a genus of Euphorbiaceae family, possesses more than 1300 species around the world and are widely distributed in tropical and subtropical regions, of which most are trees or shrubs [1]. Some Croton species have a long history of use in traditional medicine in Asia, Africa, and South America, such as in the treatment of cancer, constipation, diabetes, digestive problems, dysentery, fever, high blood pressure, inflammation, intestinal parasites, malaria, and weight loss [2,3]. Previous phytochemical investigations of Croton revealed that the major constituents were diterpenoids [4,5,6,7], sesquiterpenes [8], triterpenes [9], and glycosides [10] exhibiting cytotoxic [11], anti-inflammatory [12], and antifungal activities [9]. C. argyratus is an important ethnic medicine, mainly distributed in Malaysia, Indonesia, Philippines, Vietnam, Thailand, and other Southeast Asian countries [13]. To search bioactive metabolites with unique structures from medicinal plants, the chemicals of C. argyratus was investigated. As a result, seven new eudesmane sesquiterpenes (Figure 1), named croargoids A–G (1–7), were isolated from the 95% EtOH extract of C. argyratus barks. Compounds 1–4 were the first examples of eudesmane sesquiterpene lactones containing C5-OH group, which were also the representative eudesmane sesquiterpenes found in the Croton genus. All the isolates were evaluated for their cytotoxicities and NO inhibitory effects. Among them, compound 5 exhibited moderate NO inhibitory effect.
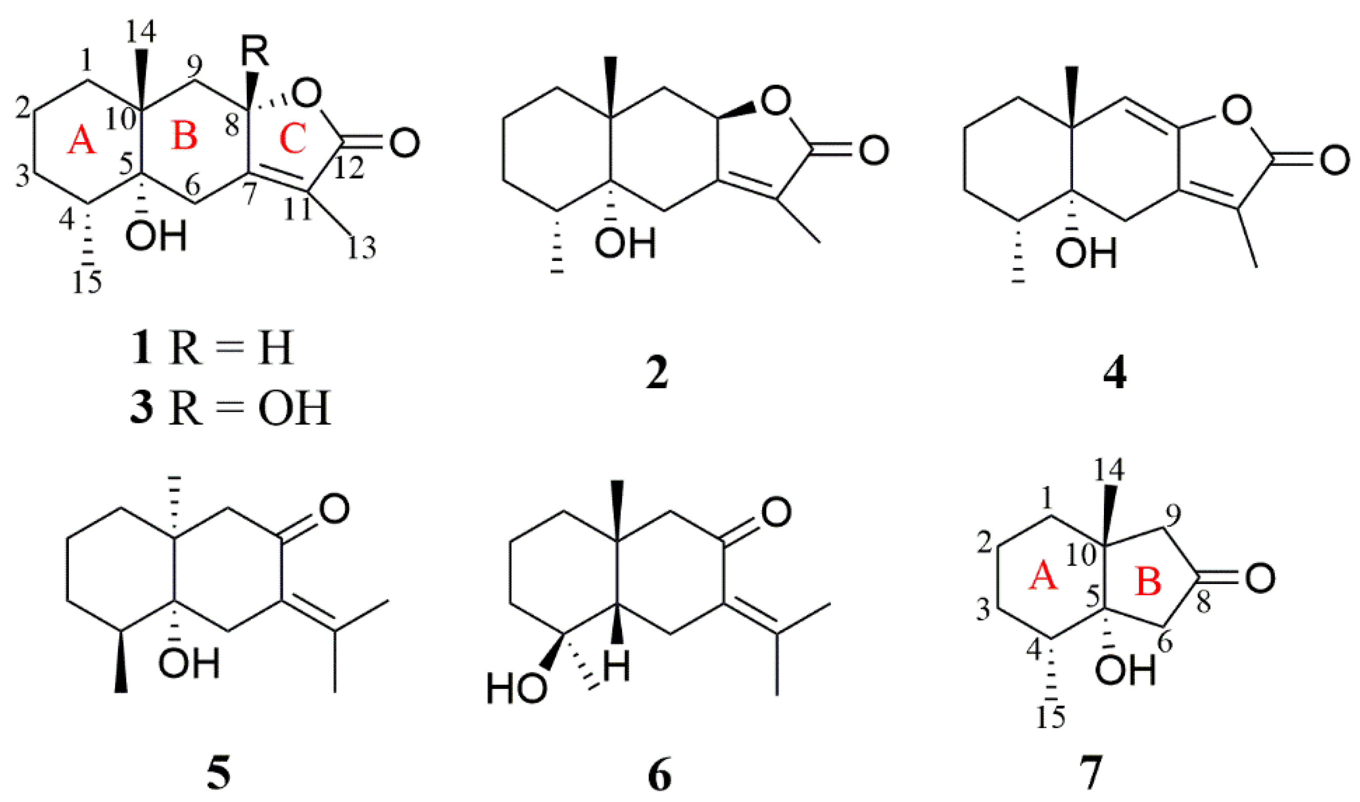
Figure 1.
Structures of compounds 1–7.
2. Results and Discussion
2.1. Structure Identification of New Compounds
Croargoid A (1), a white amorphous powder, has a sodium adduct ion at m/z 273.1463 (calcd. for C15H22O3Na+, 273.1461) in the HR-ESIMS spectrum, indicating a molecular formula of C15H22O3 with five degrees of unsaturation (DOUs). Its IR spectrum showed the presence of hydroxyl (3514 cm−1) and carbonyl (1735 cm−1) groups. Analysis of the 1H NMR data (Table 1) of compound 1 indicated the signals for three methyl groups (δH 1.81, δH 1.16, and δH 0.91). Further inspection of the 13C and DEPT NMR spectra (Table 2) exhibited the existence of 15 carbon resonances, including four quaternary carbons (which belong to one ester carbonyl, two olefinic, and one oxygenated), two methane (one oxygenated), five methylenes, and three methyls. Taken together, these functional groups accounted for 2 out of 5 DOUs and the remaining ones suggested that compound 1 was tricyclic.
Table 1.
1H (500 MHz) NMR data for compounds 1–7 in CDCl3 (δH in ppm, J in Hz).
Table 2.
13C (125 MHz) NMR data for compounds 1–7 in CDCl3 (δ in ppm).
The comparisons of 1D NMR data between compound 1 and herticin A [14] revealed that they were structural analogs and the major differences were the different appendances at C-5 and C-10 positions. In detail, herticin A was a hydroxyl attached to the C-10 and a methyl attached to the C-5, while there was a hydroxyl and a methyl group attached to the C-5 and C-10 position, respectively, in 1, whereas they were opposite in herticin A. This conclusion was supported by the HMBC correlations of OH-5/C-5, C-6, and C-10; H3-14/C-1, C-9, and C-10 (Figure 2).
Figure 2.
1H-1H COSY (━) and selected HMBC correlations (H→C) of compounds 1–7.
The relative configuration of 1 was established by the NOESY spectrum. The cross peaks of H-8/H3-14, H3-14/H-6β, H-6β/H-4, and H3-14/H-4 (Figure 3) demonstrated that these protons were oriented on the same sides and arbitrarily assigned as β-orientation, while the cross peaks of H-6α/H3-15 established that H3-15 was α-orientation. Finally, the absolute configuration of 1 was determined by comparing its experimental ECD spectrum with the theoretical data (Figure 4). In the 210–270 nm regions, both the experimental ECD spectrum and the calculated one for 1 showed the same positive cotton effect, which determined the absolute configuration of 1 as 4R, 5R, 8S, and 10R.
Figure 3.
Key ROESY correlations (↔) of compounds 1–7.
Figure 4.
Experimental and calculated ECD spectra of compounds 1–7.
Croargoid B (2) was obtained as a white amorphous powder, which possessed a molecular formula of C15H22O3 on the basis of the HRESIMS peak at m/z 295.1553 [M+COOH]- (calcd. 295.1551). Its 1H and 13C NMR data (Table 1 and Table 2) were very similar to those of 1, with the only difference being at C-8, which suggested that compound 2 was likely the C-8 epimer of 1. This was verified by the NOESY correlations of H-8/H-9α which can be observed and established with H-8 as α-direction (Figure 3). In addition, the absolute configuration of 2 (4R, 5R, 8S, and 10R) was assigned through ECD calculation (Figure 4).
The molecular formula of croargoid C (3) was determined C15H22O4 via the ion peak at m/z 265.1446 [M-H]- (calcd. 265.1445) in the HRESIMS spectrum, exhibiting 16 mass units more than that of 1. The UV spectrum of compound 3 (λmax 222 nm) resembled those of 1 (λmax 223 nm), together with the similar 1H and 13C NMR data between 3 and 1 (Table 1 and Table 2) implied that they were structures analogues [15]. The only difference was that compound 3 has one additional hydroxyl group at C-8 (δC 104.1). This was further confirmed by the HMBC correlations of H2-6/C-8 and H2-9/C-8 but lacks the signals of H-8/C-11, C-12 (Figure 2). Additionally, compound 3 possesses the stereochemistry of 4R, 5R, 8S, 10R by using ECD calculation (Figure 4), which was identical to that of 1.
Croargoid D (4) was obtained as a white amorphous powder. Its molecular formula C15H20O3 was established by the HRESIMS spectrum, having six DOUs and 2 mass units less than 1. The NMR data of 4 (Table 1 and Table 2) were similar to those of 1 with the presence of an additional double bond between C-8 and C-9. The observed HMBC cross peaks of H-9 (δH 5.38)/C-7, C-5, and H3-14/C-1, C-9, and C-5 further supported the above assignment (Figure 2). The absolute configuration of 4 was finally assigned by comparison of the experimental ECD spectrum, the calculated spectra showed the same trend as the experimental one (Figure 4), indicating that the 4R, 5R, and 10R for compound 4.
Croargoid E (5) was obtained as a white amorphous powder. Its molecular formula C15H24O2 with four DOUs was established by the HRESIMS ion peak at m/z 259.1668 ([M+Na]+, calcd. 259.1669). In the IR spectrum, the absorption bands at 3434 cm−1 suggested the presence of a hydroxyl group. The 1D NMR data revealed that compound 5 has one keto (δC 203.1), four quaternary carbons (two olefinic), one methine, five methylenes, and four methyls. Those functionalities account for 2 out of 4, suggesting compound 5 was a bicyclic compound.
Further analysis of the 2D NMR spectra could establish the structure of 5 (Figure 3). A spin-spin coupling system of H2-1/H2-2/H2-3/H-4/H3-15 was observed in the 1H-1H COSY spectrum, while the connection with other atoms was established by HMBC spectrum. The HMBC correlated system (H-1/C-14; H-6/C-8, C-10, and C-11; H-9/C-5, C-7, and C-14; H3-12/C-7; H3-13/C-7, and C-12; H3-14/C-5 and H3-15/C-5) construct the planar structure of 5 as a bicyclic eudesmane sesquiterpene with the loss of ring C in compound 1 and the presence of an exocylic α, β -unsaturated keto at the C-11–C-7–C-8 position. In the ROESY spectrum, the cross peaks of H3-14/H-4 and H-6α/H3-15 indicated that these protons were co-facial and assigned β-orientation, while the cross peak of H-6α/H3-14 determined α-orientation for H3-15. In addition, the absolute configuration of 5 was finally determined as 4S, 5R, and 10S by the comparisons between experimental and calculated ECD data (Figure 4).
Croargoid F (6) was obtained as a white amorphous powder. Its molecular formula C15H24O2 was established by the HRESIMS ion at m/z 259.1668 ([M+Na]+, calcd. 259.1669). Analysis of the 1D NMR spectra of 6 and 5 (Table 1 and Table 2) indicated that they shared an identical carbon skeleton. The main difference was the presence of an additional hydroxyl at C-4 in compound 6. This conclusion was supported by the downfield carbon signals of C-4 from δC 35.0 to δC 73.3 and the HMBC correlations of H2-6/C-4; H-5 (δH 1.36)/C-7, C-9, C-10, and C-6 (Figure 2). The absolute configuration of 6 was finally assigned by ECD spectrum (Figure 4), the calculated spectra showed the same trend as the experimental one, indicating the absolute configuration of 6 as 4S, 5S, and 10R.
Croargoid G (7) was obtained as a colorless gum. The HRESIMS ion peak at m/z 205.1199 ([M+Na]+, calcd. 205.1199) revealed its molecular formula as C11H18O2, with three DOUs. The 13C NMR and DEPT spectra (Table 2) of 7 revealed the presence of 11 carbons (three quaternary carbons, one methine, five methylene, and two methyl), which was different from the normal eudesmane type sesquiterpene carbon skeleton, and also different from the common monoterpene carbon skeleton. A detailed inspection of the 1D NMR and 2D NMR spectra signals revealed that ring A in 7 was the same as that of 5, except that of ring B [16]. The existence of the five-membered ring B in compound 7 was confirmed by the HMBC correlations of H2-9 and H2-6/C-8 (δC 217.6); H-6/C-5, C-8, C-9, and C-10, and H2-9/C-5, C-6, and C-8 (Figure 2). Finally, the stereochemistry (4R, 5R, and 10R) of compound 7 was established by the calculated ECD spectrum.
2.2. NO Inhibitory and Cytotoxic Evaluations
All the isolates (1–7) were evaluated for their inhibitory effects on nitric oxide (NO) production stimulated by LPS in RAW 264.7 cells, with L-NMMA (NG-monomethyl-L-arginine, monoacetate salt) as a positive control. Compound 5 exhibited moderate NO inhibition and others were inactive at 50 μM (Supplementary Materials Table S1). In addition, their cytotoxic activity against five human cancer cell lines (HL-60, SMMC-7721, A-549, MCF-7, and SW-480) was also tested using the MTS method. However, all the compounds were inactive (IC50 > 40 μM) (Supplementary Materials Table S2).
3. Materials and Methods
3.1. General Experimental Procedures
HRESIMS spectra were obtained with a Shimadzu UPLC-IT-TOF mass spectrometer (Shimadzu Corp: Kyoto, Japan). The UV spectra were measured with a Shimadzu UV-2700 spectrophotometer (Shimadzu Corp: Kyoto, Japan). The IR spectra (KBr) were determined on a Nicolet iS10 spectrometer (Thermo Fisher Scientific: Waltham, MA, USA). Optical rotation was determined in MeOH on an Autopol VI polarimeter (Rudolph Research Analytical: Hackettstown, NJ, USA). The ECD spectra were recorded on a Chirascan circular dichroism spectrometer (Applied Photo Physics Ltd: Surrey, UK). NMR spectra were obtained on a Bruker Avance III 500 (Bruker Corp: Rheinstetten, Germany) with 1H NMR at 500 MHz and 13C NMR at 125 MHz using tetramethylsilane as internal standards. Semi-preparative HPLC was on a Waters 2695 system equipped with a YMC-Pack ODS-A column (250 × 10 mm, 5 μm), using a flow rate of 3.0 mL/min at a column temperature of 28 °C, and detection was performed with a PDA detector. The silica gel GF254 (10~40 μm) for TLC and silica gel (200–300 mesh) for column chromatography (CC) were produced from Qingdao Marine Chemical Factory: Qingdao, China. MCI gel (CHP20P, 75–150 μm) was produced by Mitsubishi Chemical Corp: Kyoto, Japan.
3.2. Plant Material
The bark of C. argyratus was collected in Xishuangbanna Tropical Botanical Garden (XTBG), Chinese Academy of Sciences (CAS), Mengla County, Yunnan Province, China, in April 2021. They were identified by senior engineer Chun-Fen Xiao (one of the authors) of XTBG. A voucher specimen (No. HITBC-0032729) was deposited in the Herbarium of XTBG, CAS.
3.3. Extraction, Isolation, and Purification Process
Air-dried bark powder of C. argyratus (10 kg) was extracted three times with 95% EtOH (3 × 30 L, 3 days each time) to give a crude extract (1670 g), which was subjected to macroporous resin CC and eluted with a gradient system (MeOH/H2O, 30/60/90%), then collected the 90% fraction. The 90% fraction (960 g) was separated by a silica gel CC and eluted with gradient mixtures of petroleum ether/ethyl acetate (from 1:0 to 0:1) to obtain five fractions (A~E). This process was monitored using analytical TLC plates. The fraction C (188 g) was separated by MCI gel CC and eluted with MeOH/H2O (60/70/80/90/100%) to obtain fractions C-M1~C-M5. Thereafter, C-M1 was recrystallized to obtain 1 (4.0 g) and 2 (1.1 g), then the remaining C-M1 was purified by semi-preparative HPLC with 70% CH3CN/H2O as eluent to obtain 5 (300 mg, tR = 19 min) and 6 (5 mg, tR = 18 min). Fraction D was separated by MCI gel CC and eluted with MeOH/H2O (70/80/90%) to obtain three fractions (D-M1~D-M3). Fraction D-M1 (51.0 g) was subjected to silica gel CC and eluted with a gradient of petroleum ether/ethyl acetate to produce fractions D-M1-1~C-M1-11. Among them, D-M1-6 was separated by HPLC with 90% CH3CN/H2O to obtain 3 (2.5 g, tR = 9 min). Following the same procedure, 7 (5 mg, tR = 8 min) was obtained from fraction B-M2-1 by semi-preparative HPLC with 70% CH3CN/H2O.
3.4. Compound Characterization Data
Croargoid A (1): white amorphous powder; 129.8 (c 0.3, MeOH); UV (MeOH) λmax (logε) 223 (0.94) nm; IR (KBr) νmax 3514, 2963, 2936, 1737, 1728, 1679 cm−1; 1H and 13C NMR date (Table 1 and Table 2); HRESIMS m/z: 273.1463 [M+Na]+, calcd. For C15H22O3Na+, 273.1461; CD (MeOH) νmax (Δε) 225 (+29.12) nm; 1H and 13C NMR data, see Table 1 and Table 2.
Croargoid B (2): white amorphous powder; −206.1 (c 0.1, MeOH); UV (MeOH) lmax (loge) 196 (0.35), 222 (0.44) nm; IR (KBr) νmax 3483, 2938, 2853, 1732, 1681 cm−1; 1H and 13C NMR date (Table 1 and Table 2); HRESIMS m/z: 295.1553 [M+HCOO]-, calcd. For C16H23O5-, 295.1551; CD (MeOH) νmax (Δε) 224 (−28.08) nm; 1H and 13C NMR data, see Table 1 and Table 2.
Croargoid C (3): white amorphous powder; 141.7 (c 0.2, MeOH); UV (MeOH) λmax (loge) 222 (0.44) nm; IR (KBr) νmax 3566, 3392, 2985, 2961, 2925, 1738, 1692 cm−1; 1H and 13C NMR date (Table 1 and Table 2); HRESIMS m/z: 265.1446 [M-H]-, calcd. For C15H21O4-, 265.1445; CD (MeOH) νmax (Δε) 241 (+35.71) nm; 1H and 13C NMR data, see Table 1 and Table 2.
Croargoid D (4): white amorphous powder; −48.4 (c 0.1, MeOH); UV (MeOH) λmax (loge) 279 (0.94) nm; IR (KBr) νmax 3530, 2985, 2917, 2866, 1769, 1666, 1679 cm−1; 1H and 13C NMR date (Table 1 and Table 2); HRESIMS m/z: 271.1303 [M+Na]+, calcd. For C15H20O3Na+, 271.1305; CD (MeOH) νmax (Δε) 255 (+4.41), 288 (−9.11) nm; 1H and 13C NMR data, see Table 1 and Table 2.
Croargoid E (5): white amorphous powder; −90.0 (c 0.2, MeOH); UV (MeOH) λmax (loge) 254 (0.51) nm; IR (KBr) νmax 3434, 2979, 2967, 2937, 2922, 2862, 1659, 1588 cm−1; 1H and 13C NMR date (Table 1 and Table 2); HRESIMS m/z: 259.1668 [M+Na]+, calcd. For C15H24O2Na+, 259.1669; CD (MeOH) νmax (Δε) 208 (−1.75), 221 (−0.28), 254 (−3.60), 284 (−0.41), 329 (−1.86) nm; 1H and 13C NMR data, see Table 1 and Table 2.
Croargoid F (6): white amorphous powder; 19.2 (c 0.1, MeOH); UV (MeOH) λmax (loge) 232 (0.44) nm; IR (KBr) νmax 3446, 2932, 2873, 2849, 1715, 1668 cm−1; 1H and 13C NMR date (Table 1 and Table 2) HRESIMS m/z: 259.1668 [M+Na]+, calcd. For C15H24O2Na+, 259.1669; CD (MeOH) νmax (Δε) 243 (+13.16) nm; 1H and 13C NMR data, see Table 1 and Table 2.
Croargoid G (7): colorless gum; 126.4 (c 0.1, MeOH); UV (MeOH) λmax (loge) 198 (0.35) nm; IR (KBr) νmax 3486, 2996, 2954, 2933, 2864, 1733, 1613 cm−1; 1H and 13C NMR date (Table 1 and Table 2); HRESIMS m/z: 205.1199 [M+Na]+, calcd. For C11H18O2Na+, 205.1199; CD (MeOH) νmax (Δε) 204 (−35.07), 297 (−40.16) nm; 1H and 13C NMR data, see Table 1 and Table 2.
3.5. Cell Culture and Nitric Oxide Inhibitory Assay
The RAW264.7 macrophages (obtained from Shanghai Cell Bank, Chinese Academy of Sciences: Shanghai, China) were maintained in Dulbecco’s modified Eagle’s medium (DMEM) (Shanghai Basal Media Technologies Corp., Ltd: Shanghai, China) at 37 °C in a humidity-constant incubator with 95% air and 5% CO2. RAW264.7 cells were seeded into 96-well plates at a concentration of 2 × 105 cells/well and incubated for 24 h. After that, the cells were co-incubated with LPS (1 μg/mL) (Sigma-Aldrich (Shanghai) Trading Co., Ltd: Shanghai, China). Then, the tested compounds (dissolved in DMSO) at 50 μM concentrations were added into 96-well plates for incubating for 24 h, using L-NMMA (Sigma-Aldrich (Shanghai, China) Trading Co., Ltd: Shanghai, China) as a positive control. The cell viability was determined by MTS assay before the nitric oxide (NO) production assay, and the NO production was measured by the Griess Reagent System as previously reported [17].
3.6. Cytotoxicity Assay
The MTS method [18] was used for assessing the cytotoxicity of the compounds against five tumor cell lines (human myeloid leukemia HL-60, lung cancer A-549, hepatocellular carcinoma SMMC-7721, colon cancer SW480, and breast cancer MCF-7). All cells were cultured in DMEM medium containing 10% fetal bovine serum. Thereafter, 100 μL cells (1 × 104 cells/well) were seeded into 96-well plates and cultured for 12 h at 37 °C in a humidity-constant incubator with 95% air and 5% CO2 before adding the compounds. Then, the tested compounds (dissolved in DMSO, with 50 μM concentrations) 100 μL were added into 96-well plates for incubating for 48 h, each experiment was performed in triplicates with cisplatin as the positive control. After 48 h incubation, 20 μL MTS solution and 100 μL DMEM medium were added to each well and incubated for another 4 h. The OD value of each well was measured at 492 nm using a microplate reader (Multiskan FC, Thermo Fisher: Waltham, MA, USA).
4. Conclusions
In summary, seven new croargoid A–G (1–7) were isolated and characterized by solid data from C. argyratus. Compounds 1–4 were the first examples of eudesmane sesquiterpene lactones containing C5-OH group. Compound 7 was a highly degraded eudesmane sesquiterpene possessing a rare eleven-carbon skeleton. All isolates were evaluated for their cytotoxicities and NO inhibitions. Among those compounds, compound 5 exhibited moderate NO inhibition at 50 μM.
Supplementary Materials
The following are available online and can be downloaded at: https://www.mdpi.com/article/10.3390/molecules27196397/s1, Tables S1 and S2: NO inhibitory effects and cytotoxic activity of compounds 1–7. Figures S1–S49: 1D and 2D NMR, HRESIMS of new compounds 1–7.
Author Contributions
Conceptualization, M.W. and Y.-K.X.; Formal analysis, M.W. and K.-L.J.; Funding acquisition, Y.-K.X.; Methodology, M.W. and P.S. (Isolation and structural elucidation), J.-M.L. and J.-R.Y. (Bioassay); Investigation and resources, C.-F.X.; Software, P.S. (ECD data calculation); Supervision, Y.-K.X.; Writing—original draft, M.W.; Writing—review and editing, Y.-K.X., K.-L.J. and D.-H.C. All authors have read and agreed to the published version of the manuscript.
Funding
This research was funded by the demonstration project of germplasm resources and product development for the aromatic plant used as mosquito repellent, Department of Ecology and Environment of Yunnan Province, grant number E1YN061B.
Institutional Review Board Statement
Not applicable.
Informed Consent Statement
Not applicable.
Data Availability Statement
Not applicable.
Acknowledgments
The authors highly appreciate the Central Laboratory of Xishuangbanna Tropical Botanical Garden, Chinese Academy of Sciences, for technical support of this study.
Conflicts of Interest
The authors declare no conflict of interest.
Sample Availability
Samples of compounds 1–7 are available from the authors.
References
- Xu, W.-H.; Liu, W.-Y.; Liang, Q. Chemical Constituents from Croton Species and Their Biological Activities. Molecules 2018, 23, 2333. [Google Scholar] [CrossRef] [PubMed]
- Salatino, A.; Salatino, M.L.F.; Negri, G. Traditional uses, chemistry and pharmacology of Croton species (Euphorbiaceae). J. Braz. Chem. Soc. 2007, 18, 11–33. [Google Scholar] [CrossRef]
- Zhang, T.; Liu, Z.; Sun, X.; Liu, Z.; Zhang, L.; Peng, W.; Wu, C. Botany, traditional uses, phytochemistry, pharmacological and toxicological effects of Croton tiglium Linn.: A comprehensive review. J. Pharm. Pharmacol. 2022, 74, 1061–1084. [Google Scholar] [CrossRef] [PubMed]
- Somteds, A.; Tantapakul, C.; Kanokmedhakul, K.; Laphookhieo, S.; Phukhatmuen, P.; Kanokmedhakul, S. Inhibition of nitric oxide production by clerodane diterpenoids from leaves and stems of Croton poomae Esser. Nat. Prod. Res. 2021, 35, 2722–2729. [Google Scholar] [CrossRef] [PubMed]
- Munissi, J.J.; Isyaka, S.M.; Mas-Claret, E.; Brabner, M.; Langat, M.K.; Nyandoro, S.S.; Mulholland, D.A. Ent-clerodane and ent-trachylobane diterpenoids from Croton dictyophlebodes. Phytochemistry 2020, 179, 112487. [Google Scholar] [CrossRef] [PubMed]
- Aziz, A.N.; Ismail, N.H.; Halim, S.N.A.; Looi, C.Y.; Anouar, E.H.; Langat, M.K.; Mulholland, D.; Awang, K. Laevifins A–G, clerodane diterpenoids from the Bark of Croton oblongus Burm. f. Phytochemistry 2018, 156, 193–200. [Google Scholar] [CrossRef] [PubMed]
- Zhang, J.-S.; Tang, Y.-Q.; Huang, J.-L.; Li, W.; Zou, Y.-H.; Tang, G.-H.; Liu, B.; Yin, S. Bioactive diterpenoids from Croton laevigatus. Phytochemistry 2017, 144, 151–158. [Google Scholar] [CrossRef] [PubMed]
- Langat, M.K.; Crouch, N.R.; Nuzillard, J.-M.; Mulholland, D.A. Pseudopulchellol: A unique sesquiterpene-monoterpene derived C-25 terpenoid from the leaves of Croton pseudopulchellus Pax (Euphorbiaceae). Phytochem. Lett. 2018, 23, 38–40. [Google Scholar] [CrossRef]
- Pan, Z.-H.; Ning, D.-S.; Liu, J.-L.; Pan, B.; Li, D.-P. A new triterpenoid saponin from the root of Croton lachnocarpus Benth. Nat. Prod. Res. 2014, 28, 48–51. [Google Scholar] [CrossRef] [PubMed]
- Mehmood, R.; Bibi, A.; Malik, A. New secondary metabolites from Croton sparsiflorus Morong. Turk. J. Chem. 2013, 37, 111–118. [Google Scholar] [CrossRef]
- Cui, J.-J.; Ji, K.-L.; Liu, H.-C.; Zhou, B.; Liu, Q.-F.; Xu, C.-H.; Ding, J.; Zhao, J.-X.; Yue, J.-M. Cytotoxic Tigliane Diterpenoids from Croton damayeshu. J. Nat. Prod. 2019, 82, 1550–1557. [Google Scholar] [CrossRef]
- Kuo, P.-C.; Yang, M.-L.; Hwang, T.-L.; Lai, Y.-Y.; Li, Y.-C.; Thang, T.D.; Wu, T.-S. Anti-inflammatory Diterpenoids from Croton tonkinensis. J. Nat. Prod. 2013, 76, 230–236. [Google Scholar] [CrossRef] [PubMed]
- Salleh, W.M.N.H.W.; Nafiah, M.A.; Khamis, S.; Jauri, M.H. Chemical Composition of the Essential Oil of Croton argyratus. Chem. Nat. Compd. 2022, 58, 556–557. [Google Scholar] [CrossRef]
- Yasmeen, S.; Riaz, N.; Bibi, A.; Afza, N.; Malik, A.; Tareen, R.B. Herticins A and B, New Sesquiterpenes from Hertia intermedia. Helv. Chim. Acta 2009, 92, 404–408. [Google Scholar] [CrossRef]
- Yang, F.-X.; Huang, J.-P.; Liu, Z.; Wang, Z.; Yang, J.; Tang, J.; Yu, Z.; Yan, Y.; Kai, G.; Huang, S.-X. Benwamycins A–G, Trialkyl-Substituted Benzene Derivatives from a Soil-Derived Streptomyces. J. Nat. Prod. 2020, 83, 111–117. [Google Scholar] [CrossRef] [PubMed]
- Zhang, Z.-X.; Li, H.-H.; Qi, F.-M.; Dong, L.-L.; Hai, Y.; Fan, G.-X.; Fei, D.-Q. Crocrassins A and B: Two novel sesquiterpenoids with an unprecedented carbon skeleton from Croton crassifolius. RSC Adv. 2014, 4, 30059–30061. [Google Scholar] [CrossRef]
- Cao, D.-H.; Sun, P.; Liao, S.-G.; Gan, L.-S.; Yang, L.; Yao, J.-N.; Zhang, Z.-Y.; Li, J.-F.; Zheng, X.-L.; Xiao, Y.-D.; et al. Chemical constituents from the twigs and leaves of Trichilia sinensis and their biological activities. Phytochem. Lett. 2018, 29, 142–147. [Google Scholar] [CrossRef]
- Sun, P.; Cao, D.-H.; Xiao, Y.-D.; Zhang, Z.-Y.; Wang, J.-N.; Shi, X.-C.; Hu, H.-B.; Xu, Y.-K. Aspidoptoids A–D: Four New Diterpenoids from Aspidopterys obcordata Vine. Molecules 2020, 25, 529. [Google Scholar] [CrossRef] [PubMed]
Publisher’s Note: MDPI stays neutral with regard to jurisdictional claims in published maps and institutional affiliations. |
© 2022 by the authors. Licensee MDPI, Basel, Switzerland. This article is an open access article distributed under the terms and conditions of the Creative Commons Attribution (CC BY) license (https://creativecommons.org/licenses/by/4.0/).



