Chemical Constituent Analysis of Ranunculus sceleratus L. Using Ultra-High-Performance Liquid Chromatography Coupled with Quadrupole-Orbitrap High-Resolution Mass Spectrometry
Abstract
:1. Introduction
2. Results and Discussion
2.1. Optimization of UHPLC-Q-Orbitrap HRMS Conditions
2.2. Identification of Chemical Constituents in RS
2.2.1. Flavonoids
2.2.2. Organic Acids
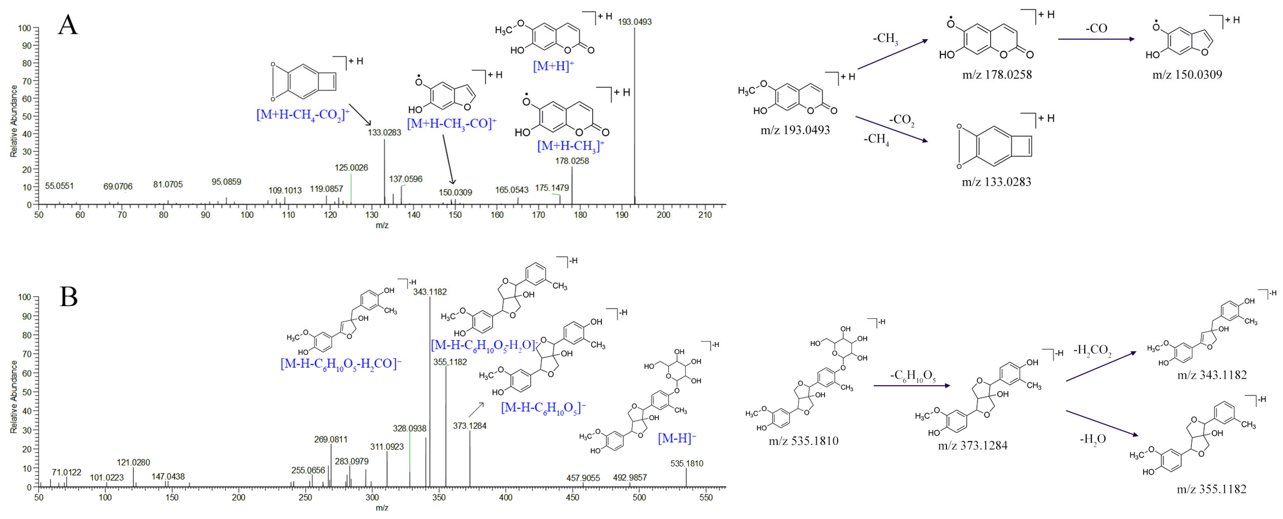
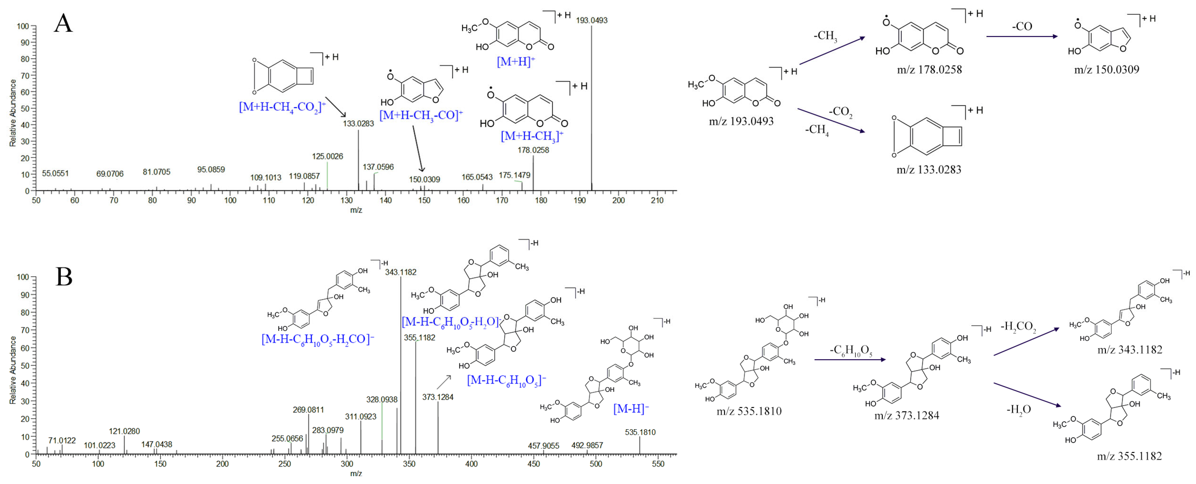
2.2.3. Coumarins and Lignans
2.2.4. Nitrogenous Compounds
2.2.5. Anthraquinonoids
3. Materials and Methods
3.1. Chemicals and Reagents
3.2. Preparation of Sample and Standard Solutions
3.3. UHPLC-Q-Orbitrap HRMS System and Conditions
3.4. Data Processing and Analysis
4. Conclusions
Supplementary Materials
Author Contributions
Funding
Institutional Review Board Statement
Informed Consent Statement
Data Availability Statement
Acknowledgments
Conflicts of Interest
Sample Availability
References
- Zhang, Z.Y.; Miao, Y.R.; Xu, M.; Cheng, W.M.; Yang, C.Y.; She, X.J.; Geng, Q.Q.; Zhang, Q.L. Tianjiu therapy for alpha-naphthyl isothiocyanate-induced intrahepatic cholestasis in rats treated with fresh Ranunculus sceleratus L. J. Ethnopharmacol. 2020, 248, 112310. [Google Scholar] [CrossRef] [PubMed]
- Prieto, J.M.; Recio, M.C.; Giner, R.M.; Rios, J.L. Pharmacological approach to the pro- and anti-inflammatory effects of Ranunculus sceleratus L. J. Ethnopharmacol. 2003, 89, 131–137. [Google Scholar] [CrossRef]
- Zhou, C.X.; Zhang, S.L.; Yao, W.; Zhao, Y. Studies on the chemical constituents in herb of Ranunculus sceleratus L. China J. Chin. Mater. Med. 2005, 2, 45–47. [Google Scholar]
- Peng, T.; Xing, Y.J.; Zhang, Q.J.; Kang, W.Y. Chemical constituents in Ranunculus sceleratus L. Chin. J. Exp. Tradit. Med. Formulae 2011, 17, 66–67. [Google Scholar]
- Zuniga-Lopez, M.C.; Maturana, G.; Campmajo, G.; Saurina, J.; Nunez, O. Determination of bioactive compounds in sequential extracts of chia leaf (Salvia hispanica L.) using UHPLC-HRMS (Q-Orbitrap) and a global evaluation of antioxidant in vitro capacity. Antioxidants 2021, 10, 1151. [Google Scholar] [CrossRef]
- Ma, Q.; Cai, S.B.; Liu, X.J.; Shi, J.Y.; Yi, J.J. Characterization of phytochemical components and identification of main antioxidants in Crateva unilocalaris Buch. shoots by UHPLC-Q-Orbitrap-MS2 analysis. Food Res. Int. 2021, 143, 110264. [Google Scholar] [CrossRef]
- Chen, M.; Wang, P.L.; Li, T.; Li, L.S.; Li, J.F.; Bai, H.; Lei, H.M.; Ma, Q. Comprehensive analysis of Huanglian Jiedu decoction: Revealing the presence of a self-assembled phytochemical complex in its naturally-occurring precipitate. J. Pharm. Biomed. Anal. 2021, 195, 113820. [Google Scholar] [CrossRef]
- Lin, R.M.; Yin, J.X.; Wu, M.F.; Ding, H.; Han, L.F.; Yang, W.Z.; Song, X.B.; Bei, S.T.; Wang, C.H.; He, Y.Z.; et al. Global identification and determination of the major constituents in Kai-Xin-San by ultra-performance liquid chromatography-quadrupole-orbitrap mass spectrometry and gas chromatography-mass spectrometry. J. Pharm. Biomed. Anal. 2021, 206, 114385. [Google Scholar] [CrossRef]
- Zhang, G.; Chen, S.S.; Zhou, W.; Meng, J.; Deng, K.; Zhou, H.N.; Hu, N.; Sou, Y.R. Rapid qualitative and quantitative analyses of eighteen phenolic compounds from Lycium ruthenicum Murray by UPLC-Q-Orbitrap MS and their antioxidant activity. Food Chem. 2018, 269, 150–156. [Google Scholar] [CrossRef]
- Jeong, H.C.; Kim, T.; Yang, D.H.; Shin, K.H. Development of a UPLC-MS/MS method for the therapeutic monitoring of L-asparaginase. Transl. Clin. Pharmacol. 2018, 26, 134–140. [Google Scholar] [CrossRef]
- Kang, H.J.; Yang, H.J.; Kim, M.J.; Han, E.S.; Kim, H.J.; Kwon, D.Y. Metabolomic analysis of meju during fermentation by ultraperformance liquid chromatography-quadrupole-time of flight mass spectrometry (UPLC-Q-TOF MS). Food Chem. 2011, 127, 1056–1064. [Google Scholar] [CrossRef] [PubMed]
- Quirantes-Pine, R.; Lozano-Sanchez, J.; Herrero, M.; Ibanez, E.; Segura-Carretero, A.; Fernandez-Gutierrez, A. HPLC-ESI-QTOF-MS as a powerful analytical tool for characterising phenolic compounds in olive-leaf extracts. Phytochem. Anal. 2013, 24, 213–223. [Google Scholar] [CrossRef] [PubMed]
- Ruf, A.; Lange, J.; Eddhif, B.; Geffroy, C.; d’Hendecourt, L.L.; Poinot, P.; Danger, G. The challenging detection of nucleobases from pre-accretional astrophysical ice analogs. Astrophys. J. Lett. 2019, 887, L31. [Google Scholar] [CrossRef]
- Smith, K.M.; Wilson, I.D.; Rainville, P.D. Sensitive and reproducible mass spectrometry-compatible RP-UHPLC analysis of tricarboxylic acid cycle and related metabolites in biological fluids: Application to human urine. Anal. Chem. 2021, 93, 1009–1015. [Google Scholar] [CrossRef]
- Kong, X.B.; Liu, C.X.; Liu, P.; Guo, Y.Z.; Zhao, C.C.; Yang, Y.Y.; Bo, Z.C.; Wang, F.Y.; Peng, Y.Y.; Meng, J.Y. Combination of UPLC-Q-TOF/MS and network pharmacology to reveal the mechanism of qizhen decoction in the treatment of colon cancer. ACS Omega 2021, 6, 14341–14360. [Google Scholar] [CrossRef]
- Carpi, F.M.; Cortese, M.; Orsomando, G.; Polzonetti, V.; Vincenzetti, S.; Moreschini, B.; Coleman, M.; Magni, G.; Pucciarelli, S. Simultaneous quantification of nicotinamide mononucleotide and related pyridine compounds in mouse tissues by UHPLC–MS/MS. Sep. Sci. Plus 2018, 1, 22–30. [Google Scholar] [CrossRef]
- Wang, Y.F.; Li, H.Y.; Zhen, Y.; Zhang, W.J.; Hua, J. Simultaneous determination of furfural and its degradation products, furoic acid and maleic acid, in transformer oil by the reversed-phase vortex-assisted liquid-liquid microextraction followed by high-performance liquid chromatography. J. Sep. Sci. 2017, 40, 4805–4812. [Google Scholar] [CrossRef]
- Chen, L.; Yao, C.L.; Li, J.Y.; Wang, J.; Yao, S.; Shen, S.J.; Yang, L.; Zhang, J.; Wei, W.L.; Bi, Q.R.; et al. Systematic characterization of chemical constituents in Mahuang decoction by UHPLC tandem linear ion trap-Orbitrap mass spectrometry coupled with feature-based molecular networking. J. Sep. Sci. 2021, 44, 2717–2727. [Google Scholar] [CrossRef]
- Sun, H.Y.; Liu, M.X.; Lin, Z.T.; Jiang, H.; Niu, Y.Y.; Wang, H.; Chen, S.Z. Comprehensive identification of 125 multifarious constituents in Shuang-huang-lian powder injection by HPLC-DAD-ESI-IT-TOF-MS. J. Pharm. Biomed. Anal. 2015, 115, 86–106. [Google Scholar] [CrossRef]
- Chen, Y.Y.; Cai, X.J.; Li, G.W.; He, X.Y.; Yu, X.X.; Yu, X.W.; Xiao, Q.M.; Xiang, Z.; Wang, C.J. Chemical constituents of radix Actinidia chinensis planch by UPLC-QTOF-MS. Biomed. Chromatogr. 2021, 35, e5103. [Google Scholar] [CrossRef]
- Nie, R.; Zhang, Y.R.; Jin, Q.Z.; Zhang, S.; Wu, G.C.; Chen, L.; Zhang, H.; Wang, X.G. Identification and characterisation of bioactive compounds from the seed kernels and hulls of Paeonia lactiflora Pall by UPLC-QTOF-MS. Food Res. Int. 2021, 139, 109916. [Google Scholar] [CrossRef] [PubMed]
- Liu, R.X.; Zhao, Z.Y.; Dai, S.J.; Che, X.; Liu, W.H. Identification and quantification of bioactive compounds in Diaphragma juglandis fructus by UHPLC-Q-Orbitrap HRMS and UHPLC-MS/MS. J. Agric. Food Chem. 2019, 67, 3811–3825. [Google Scholar] [CrossRef] [PubMed]
- Yao, T.; Zhu, L.; Tang, Y.N.; Zhang, J.Y.; Liang, Z.T.; Xu, J.; Zhao, Z.Z.; Yu, Z.L.; Bian, Z.X.; Yang, Z.J.; et al. An integrated strategy based on UPLC-DAD-QTOF-MS for metabolism and pharmacokinetic studies of herbal medicines: Tibetan “Snow Lotus” herb (Saussurea laniceps), a case study. J. Ethnopharmacol. 2014, 153, 701–713. [Google Scholar]
- Hegazi, M.N.; Khattab, A.R.; Frolov, A.; Wessjohann, L.A.; Farag, M.A. Authentication of saffron spice accessions from its common substitutes via a multiplex approach of UV/VIS fingerprints and UPLC/MS using molecular networking and chemometrics. Food Chem. 2022, 367, 130739. [Google Scholar] [CrossRef]
- Zengin, G.; Mahomoodally, M.F.; Paksoy, M.Y.; Picot-Allain, C.; Glamocilja, J.; Sokovic, M.; Diuzheva, A.; Jeko, J.; Cziaky, Z.; Rodrigues, M.J.; et al. Phytochemical characterization and bioactivities of five apiaceae species: Natural sources for novel ingredients. Ind. Crops Prod. 2019, 135, 107–121. [Google Scholar] [CrossRef]
- El-Newary, S.A.; Afifi, S.M.; Aly, M.S.; Ahmed, R.F.; El Gendy, A.E.-N.G.; Abd-ElGawad, A.M.; Farag, M.A.; Elgamal, A.M.; Elshamy, A.I. Chemical profile of Launaea nudicaulis ethanolic extract and its antidiabetic effect in streptozotocin-induced rats. Molecules 2021, 26, 1000. [Google Scholar] [CrossRef]
- Mathias, M.D.; de Oliveira, R.R. Differentiation of the phenolic chemical profiles of Cecropia pachystachya and Cecropia hololeuca. Phytochem. Anal. 2019, 30, 73–82. [Google Scholar] [CrossRef] [Green Version]
- Uysal, A.; Zengin, G.; Mahomoodally, M.F.; Picot-Allain, C.; Jeko, J.; Cziaky, Z.; Rodrigues, M.J.; Ak, G.; Polat, R.; Urusan, Z.; et al. A comparative study on biological properties and chemical profiles of different solvent extracts from Centaurea bingoelensis, an endemic plant of Turkey. Process. Biochem. 2021, 102, 315–324. [Google Scholar] [CrossRef]
- Li, W.J.; Zhang, Y.; Shi, S.J.; Yang, G.; Liu, Z.H.; Wang, J.M.; Kang, W.Y. Spectrum-effect relationship of antioxidant and tyrosinase activity with Malus pumila flowers by UPLC-MS/MS and component knock-out method. Food Chem. Toxicol. 2019, 133, 110754. [Google Scholar] [CrossRef]
- Wang, X.; Zhong, X.J.; Zhou, N.; Cai, N.; Xu, J.H.; Wang, Q.B.; Li, J.J.; Liu, Q.; Lin, P.C.; Shang, X.Y. Rapid characterizaiton of chemical constituents of the tubers of Gymnadenia conopsea by UPLC-Orbitrap-MS/MS analysis. Molecules 2020, 25, 898. [Google Scholar] [CrossRef] [Green Version]
- Tian, D.; Yang, Y.; Yu, M.; Han, Z.Z.; Wei, M.; Zhang, H.W.; Jia, H.M.; Zou, Z.M. Anti-inflammatory chemical constituents of Flos chrysanthemi indici determined by UPLC-MS/MS integrated with network pharmacology. Food Funct. 2020, 11, 6340–6351. [Google Scholar] [CrossRef] [PubMed]
- Fu, S.; Cheng, R.R.; Deng, Z.X.; Liu, T.G. Qualitative analysis of chemical components in Lianhua Qingwen capsule by HPLC-Q Exactive-Orbitrap-MS coupled with GC-MS. J. Pharm. Anal. 2021, 11, 709–716. [Google Scholar] [CrossRef] [PubMed]
- Yuan, J.Q.; Wang, Y.T.; Mi, S.Q.; Zhang, J.Y.; Sun, Y.X. Rapid screening and characterization of caffeic acid metabolites in rats by UHPLC-Q-TOF mass spectrometry. Trop. J. Pharm. Res. 2022, 20, 389–401. [Google Scholar] [CrossRef]
- Huang, Z.H.; Xu, Y.; Wang, Q.; Gao, X.Y. Metabolism and mutual biotransformations of anthraquinones and anthrones in rhubarb by human intestinal flora using UPLC-Q-TOF/MS. J. Chromatogr. B 2019, 1104, 59–66. [Google Scholar] [CrossRef] [PubMed]
- Areche, C.; Hernandez, M.; Cano, T.; Ticona, J.; Cortes, C.; Simirgiotis, M.; Caceres, F.; Borquez, J.; Echeverria, J.; Sepulveda, B. Corryocactus brevistylus (K. Schum. ex Vaupel) Britton & Rose (Cactaceae): Antioxidant, gastroprotective effects, and metabolomic profiling by ultrahigh-pressure liquid chromatography and electrospray high resolution orbitrap tandem mass spectrometry. Front. Pharmacol. 2020, 11, 417. [Google Scholar] [PubMed]
- Fu, X.Z.; Belwal, T.; He, Y.H.; Xu, Y.Q.; Li, L.; Lou, Z.S. UPLC-Triple-TOF/MS characterization of phenolic constituents and the influence of natural deep eutectic solvents on extraction of Carya cathayensis Sarg. peels: Composition, extraction mechanism and in vitro biological activities. Food Chem. 2022, 370, 131042. [Google Scholar] [CrossRef]
- Mi, N.; Cheng, T.F.; Li, H.L.; Yang, P.M.; Mu, X.M.; Wang, X.Y.; Zu, X.P.; Qi, X.P.; Guo, X.; Ye, J.; et al. Metabolite profiling of traditional Chinese medicine formula DanZhi Tablet: An integrated strategy based on UPLC-QTOF/MS combined with multivariate statistical analysis. J. Pharm. Biomed. Anal. 2019, 164, 70–85. [Google Scholar] [CrossRef]
- Qin, Y.; Zhou, R.R.; Jin, J.; Xie, J.; Liu, H.; Cai, P.; Shu, J.; Zhao, Y.H.; Huang, L.Q.; Zhang, S.H. UPLC-ESI-Q-TOF-MS/MS analysis of anticancer fractions from Ophiocordyceps xuefengensis and Ophiocordyceps sinensis. Biomed. Chromatogr. 2020, 34, e4841. [Google Scholar] [CrossRef]
- Sanchez-Salgado, J.C.; Estrada-Soto, S.; Garcia-Jimenez, S.; Montes, S.; Gomez-Zamudio, J.; Villalobos-Molina, R. Analysis of flavonoids bioactivity for cholestatic liver disease: Systematic literature search and experimental approaches. Biomolecules 2019, 9, 102. [Google Scholar] [CrossRef] [Green Version]






| NO. | Retention Time (min) | Ionization Mode | Molecular Formula | Theoretical (m/z) | Measured (m/z) | Error (ppm) | Identified Compounds | MS/MS Fragments (m/z) | Ref. |
|---|---|---|---|---|---|---|---|---|---|
| 1 | 1.37 | [M + H]+ | C4H8N2O3 | 133.0607 | 133.0604 | −2.25 | Asparagine | 133.0604, 115.0391, 97.0286, 87.0558 | [10] |
| 2 | 1.40 | [M + H]+ | C5H9NO4 | 148.0604 | 148.0598 | −4.05 | Glutamic acid | 148.0598, 102.0550, 84.0447 | [11] |
| 3 | 1.40 | [M + H]+ | C4H9NO3 | 120.0655 | 120.0655 | 0.00 | Threonine | 120.0655, 102.0553, 74.0607, 56.0503 | [11] |
| 4 | 1.40 | [M + H]+ | C5H7NO3 | 130.0498 | 130.0499 | 0.77 | Pyroglutamic acid | 130.0499, 102.0551, 84.0449 | [11] |
| 1.40 | [M − H]− | C5H7NO3 | 128.0342 | 128.0340 | −1.56 | Pyroglutamic acid | 128.0339, 85.0279, 68.1163 | ||
| 5 | 1.42 | [M − H]− | C6H12O7 | 195.0499 | 195.0501 | 1.03 | Gluconic acid | 195.0501, 129.018, 75.0072 | [12] |
| 6 | 1.47 | [M + H]+ | C5H9NO2 | 116.0706 | 116.0704 | −1.72 | Proline | 116.0704, 70.0656 | [11] |
| 7 | 1.51 | [M + H]+ | C4H5N3O | 112.0505 | 112.0507 | 1.78 | Cytosine | 112.0507, 95.0244, 69.0455 | [13] |
| 8 | 1.57 | [M − H]− | C4H6O5 | 133.0131 | 133.0129 | −1.50 | Malic acid | 133.0129, 115.0023, 71.0124 | [14] |
| 9 | 1.91 | [M + H]+ | C5H5N5O | 152.0567 | 152.0565 | −1.32 | Guanine | 152.0565, 135.0300, 110.0351 | [13] |
| 10 | 1.91 | [M + H]+ | C6H5NO2 | 124.0393 | 124.0394 | 0.81 | Nicotinic acid | 124.0394, 106.0291, 96.0448, 80.0501 | [15] |
| 11 | 1.99 | [M + H]+ | C6H6N2O | 123.0553 | 123.0554 | 0.81 | Nicotinamide | 123.0554, 80.0501 | [16] |
| 12 | 2.13 | [M − H]− | C6H6O6 | 173.0080 | 173.0082 | 1.16 | Aconitic acid | 173.0082, 129.0179, 111.0072, 85.0279 | [14] |
| 13 | 2.17 | [M − H]− | C5H4O3 | 111.0076 | 111.0073 | −2.70 | Furoic acid | 111.0073, 83.0122, 67.0174 | [17] |
| 14 | 2.24 | [M − H]− | C6H8O7 | 191.0186 | 191.0187 | 0.52 | Citric acid | 191.0187, 111.0073, 87.0072 | [14] |
| 15 | 2.62 | [M + H]+ | C4H4N2O2 | 113.0345 | 113.0347 | 1.77 | Uracil | 113.0347, 96.0084, 70.0294 | [11] |
| 16 | 2.64 | [M − H]− | C4H6O4 | 117.0182 | 117.0179 | −2.56 | Succinic acid | 117.0179, 99.0073, 73.0280 | [15] |
| 17 | 5.05 | [M + H]+ | C9H11NO2 | 166.0862 | 166.0861 | −0.60 | Phenylalanine | 166.0861, 120.0809, 103.0545 | [11] |
| 18 | 7.09 | [M − H]− | C13H16O9 | 315.0711 | 315.0722 | 3.49 | Protocatechuic acid-O-glucose | 315.0722, 153.0545, 109.0280 | [18] |
| 19 | 7.28 | [M − H]− | C14H18O9 | 329.0867 | 329.0858 | −2.73 | Vanillic acid-O-glucopyranoside | 329.0858, 167.033, 123.0437 | [19] |
| 20 | 7.28 | [M − H]− | C14H20O8 | 315.1074 | 315.1092 | 5.71 | Hydroxytyrosol-1-glucopyranoside | 315.1092, 153.0545 | [19] |
| 21 | 7.37 | [M−H]− | C7H6O4 | 153.0182 | 153.0181 | −0.65 | Protocatechuic acid | 153.0181, 123.0437, 109.0280, 91.0176 | Standard |
| 22 | 7.61 | [M−H]− | C15H18O9 | 341.0867 | 341.0873 | 1.76 | Caffeic acid-O-glucopyranoside | 341.0873, 179.0339, 135.0439 | [19] |
| 23 | 7.61 | [M + H]+ | C11H12N2O2 | 205.0972 | 205.0970 | −0.98 | Tryptophan | 205.0970, 188.0703, 159.0914, 146.0598 | [11] |
| 7.61 | [M − H]− | C11H12N2O2 | 203.0815 | 203.0818 | 1.48 | Tryptophan | 203.0818, 186.0551, 159.091, 142.0649 | ||
| 24 | 7.65 | [M − H]− | C15H16O9 | 339.0711 | 339.0718 | 2.06 | Esculin | 339.0718,177.0183 | [20] |
| 25 | 7.67 | [M − H]− | C13H16O8 | 299.0761 | 299.0777 | 5.35 | Salicylic acid-O-glucopyranoside | 299.0777, 137.0231, 93.0331 | [19] |
| 26 | 7.78 | [M − H]− | C27H30O16 | 609.1450 | 609.1464 | 2.30 | Kaempferol-3,7-di-O-glucoside | 609.1464, 447.0930, 285.0402, 255.0295, 151.0023 | [21] |
| 27 | 7.82 | [M − H]− | C7H6O3 | 137.0233 | 137.0231 | −1.46 | Protocatechualdehyde | 137.0231, 109.0279, 108.0201, 93.0330 | [22] |
| 28 | 7.89 | [M − H]− | C16H18O9 | 353.0867 | 353.0865 | −0.57 | Scopolin | 353.0865, 191.0553, 179.0341, 173.0450, 135.0439 | [23] |
| 29 | 7.91 | [M − H]− | C15H18O8 | 325.0918 | 325.0928 | 3.08 | p-Coumaric acid- O-glucopyranoside | 325.0928, 163.0388, 119.0487, | [19] |
| 30 | 8.12 | [M − H]− | C27H30O16 | 609.1450 | 609.1453 | 0.49 | Kaempferol-O-sophoroside | 609.1453, 429.0818, 284.0323, 255.0295, 227.0343 | [24] |
| 31 | 8.16 | [M − H]− | C9H6O4 | 177.0182 | 177.0182 | 0.00 | Aesculetin | 177.0182, 149.0231, 133.0280, 121.0280 | Standard |
| 32 | 8.21 | [M − H]− | C9H8O4 | 179.0339 | 179.0342 | 1.68 | Caffeic acid | 179.0342, 135.0437, 90.9966 | Standard |
| 33 | 8.25 | [M − H]− | C26H28O16 | 595.1294 | 595.1301 | 1.18 | Quercetin-O-(pentosyl)hexoside isomer | 595.1301, 300.0274, 271.0248, 255.0294, 151.0022, 135.0433 | [25] |
| 34 | 8.51 | [M − H]− | C11H13NO3 | 206.0811 | 206.0813 | 0.97 | n-Acetyl-L-phenylalanine | 206.0813, 164.0705, 147.0438, 118.9914, 91.0536 | [26] |
| 35 | 8.53 | [M − H]− | C21H20O11 | 447.0922 | 447.0929 | 1.57 | Isoorientin | 447.0929, 429.0821, 357.0613, 327.0508, 285.0420, 133.0281 | [27] |
| 36 | 8.55 | [M − H]− | C8H14O4 | 173.0808 | 173.0808 | 0.00 | Suberic acid | 173.0808, 129.0906, 111.0800 | [28] |
| 37 | 8.59 | [M + H]+ | C10H8O4 | 193.0495 | 193.0490 | −2.95 | Isoscopoletin | 193.0490, 178.0255, 133.0280 | Standard |
| 38 | 8.60 | [M − H]− | C26H32O12 | 535.1810 | 535.1818 | 1.49 | 1-Hydroxylpinoresinol 4’-O-glucopyranoside | 535.1818, 373.1284, 343.1182 | [19] |
| 39 | 8.62 | [M + H]+ | C21H20O12 | 465.1027 | 465.1024 | −0.65 | Hyperoside | 465.1024, 303.0494, 257.0439, 229.0493, 153.0181 | [29] |
| 8.62 | [M − H]− | C21H20O12 | 463.0871 | 463.0882 | 2.38 | Hyperoside | 463.0882, 301.0350, 271.0244, 178.9974, 151.0023 | [29] | |
| 40 | 8.77 | [M − H]− | C9H8O3 | 163.0389 | 163.0390 | 0.61 | Coumaric acid | 163.0390, 119.0488 | [19] |
| 41 | 8.88 | [M + H]+ | C16H12O7 | 317.0656 | 317.0649 | −2.21 | Isorhamnetin | 317.0649, 302.0416, 285.0388, 274.0467, 153.0180 | [30] |
| 42 | 8.91 | [M + H]+ | C15H10O6 | 287.0550 | 287.0545 | −1.74 | Kaempferol | 287.0545, 269.0437, 231.0651, 213.0541, 153.0180, 121.0285 | [29] |
| 43 | 8.92 | [M − H]− | C22H22O12 | 477.1028 | 477.1034 | 1.26 | Isorhamnetin-3-O-glucoside isomer | 477.1034, 314.0430, 285.0402, 271.0247, 243.0295 | [22] |
| 44 | 8.94 | [M + H]+ | C10H8O4 | 193.0495 | 193.0493 | −1.04 | Scopoletin | 193.0493, 178.0258, 175.1479, 150.0309, 133.0283, 109.0857 | Standard |
| 8.94 | [M − H]− | C10H8O4 | 191.0339 | 191.0340 | 0.52 | Scopoletin | 191.0340, 176.0105, 146.973,111.0074, 102.9474 | ||
| 45 | 8.96 | [M − H]− | C21H20O11 | 447.0933 | 447.0930 | −0.67 | Luteoloside | 447.0930, 285.0420, 255.0296, 241.0500, 217.05.01, 227.0343, 199.0395, 151.0023 | [19] |
| 46 | 8.98 | [M − H]− | C10H10O4 | 193.0495 | 193.0495 | 0.00 | Ferulic acid | 193.0495, 178.0261, 149.0595,134.0360, 121.0282 | Standard |
| 47 | 9.03 | [M + H]+ | C21H18O11 | 447.0922 | 447.0924 | 0.45 | Apigenin-7-O-glucuronide | 447.0924, 271.0595, 231.1145, 199.2475, 153.0180, 119.0490 | [28] |
| 9.03 | [M − H]− | C21H18O11 | 445.0765 | 445.0752 | −2.92 | Apigenin-7-O-glucuronide | 445.0752, 269.0452, 175.0233, 113.0229 | ||
| 48 | 9.06 | [M − H]− | C21H18O12 | 461.0714 | 461.0727 | 2.82 | Luteolin-7-O-glucuronide | 461.0727, 285.0402, 151.0022, 133.0279 | [31] |
| 49 | 9.10 | [M − H]− | C26H32O11 | 519.1861 | 519.1873 | 2.31 | Matairesinoside | 519.1972, 357.1340, 342.1098, 313.1464, 221.0804, 161.0595 | [19] |
| 50 | 9.22 | [M − H]− | C9H16O4 | 187.0964 | 187.0966 | 1.07 | Azelaic acid | 187.0966, 125.0958, 97.0644 | [32] |
| 51 | 9.31 | [M − H]− | C9H10O3 | 165.0546 | 165.0545 | −0.61 | p-Hydroxybenzene propanoic acid | 165.0545, 147.0439, 136.9310, 119.0488, 72.9916 | [33] |
| 52 | 9.33 | [M − H]− | C20H22O7 | 373.1282 | 373.1289 | 1.88 | 1-Hydroxylpinoresinol | 373.1289, 343.1176, 313.1081, 298.0844, 147.0439, 123.0074, 109.0277 | [19] |
| 53 | 9.68 | [M − H]− | C7H6O3 | 137.0233 | 137.0232 | −0.73 | Salicylic acid | 137.0232, 93.0331 | Standard |
| 54 | 9.82 | [M + H]+ | C11H10O4 | 207.0652 | 207.0649 | −1.45 | Scoparone | 207.0649, 191.0337, 163.0388, 151.0752, 121.0648, 105.0703 | Standard |
| 55 | 10.28 | [M + H]+ | C15H10O6 | 287.0550 | 287.0545 | −1.74 | Luteolin | 287.0545, 153.0180, 131.0439 | Standard |
| 10.28 | [M − H]− | C15H10O6 | 285.0393 | 285.0403 | 3.51 | Luteolin | 285.0403, 175.0387, 133.0281,121.0279, 107.0125, 83.0124 | ||
| 56 | 10.32 | [M − H]− | C15H10O7 | 301.0343 | 301.0355 | 3.99 | Quercetin | 301.0355, 229.0504, 201.0565, 178.9975, 151.0024, 121.0281 | Standard |
| 57 | 10.83 | [M − H]− | C20H22O6 | 357.1332 | 357.1341 | 2.52 | Matairesinol | 357.1341, 342.1097, 313.0370, 283.0078, | [19] |
| 58 | 11.06 | [M + H]+ | C15H10O5 | 271.0601 | 271.0595 | −2.21 | Apigenin | 271.0595, 153.0181, 119.0492 | [26] |
| 11.06 | [M − H]− | C15H10O5 | 269.0444 | 269.0453 | 3.35 | Apigenin | 269.0453, 251.0590, 227.0341, 181.0644, 151.0025, 117.0332 | ||
| 59 | 11.16 | [M − H]− | C16H12O6 | 299.0550 | 299.0560 | 3.34 | Chrysoeriol | 299.0560, 284.0326, 256.0372, 255.0293, 227.0345 | [31] |
| 60 | 11.19 | [M − H]− | C15H10O6 | 285.0394 | 285.0403 | 3.16 | 7-Hydroxy-emodin | 285.0403, 257.0449, 211.0380 | [34] |
| 61 | 11.41 | [M − H]− | C16H12O6 | 299.0550 | 299.0561 | 3.68 | Diosmetin | 299.0561, 284.0325, 256.0378, 255.0296, 227.0344 | [31] |
| 62 | 11.51 | [M − H]− | C16H12O7 | 315.0499 | 315.0508 | 2.86 | Rhamnetin | 315.0508, 300.0271, 151.0024,107.0123 | [35] |
| 63 | 11.67 | [M − H]− | C16H12O5 | 283.0601 | 283.0611 | 3.53 | 1-O-Methyl-emodin | 283.0611, 268.0376, 239.0346, 211.0395 | [34] |
| 64 | 12.75 | [M − H]− | C15H12O4 | 255.0651 | 255.0659 | 3.14 | Pinocembrin | 255.0659, 213.0549, 171.0441, 151.0024 | [36] |
| 65 | 12.95 | [M + H]+ | C17H14O6 | 315.0863 | 315.0857 | −1.90 | 7,3′-Dihydroxy-8,4′-dimethoxyisoflavone/isomer | 315.0857, 300.0623 | [37] |
| 66 | 13.21 | [M − H]− | C16H12O5 | 283.0601 | 283.0610 | 3.18 | Physcion | 283.0610, 268.0377, 239.0346, 211.0393 | [34] |
| 67 | 13.77 | [M + H]+ | C18H39NO3 | 318.3002 | 318.2996 | −1.89 | 2-Amino-1,3,4-octadecanetriol | 318.2996, 300.2891, 282.2787, 264.2681, 60.0452 | [38] |
| 68 | 14.02 | [M − H]− | C15H10O5 | 269.0444 | 269.0455 | 4.09 | Emodin | 269.0455, 241.0504, 225.0552, 210.0320 | Standard |
| 69 | 17.25 | [M − H]− | C30H48O3 | 455.3531 | 455.3528 | −0.66 | Oleanic acid | 455.3528, 240.9500, 206.1664, 82.4031 | Standard |
Publisher’s Note: MDPI stays neutral with regard to jurisdictional claims in published maps and institutional affiliations. |
© 2022 by the authors. Licensee MDPI, Basel, Switzerland. This article is an open access article distributed under the terms and conditions of the Creative Commons Attribution (CC BY) license (https://creativecommons.org/licenses/by/4.0/).
Share and Cite
Cao, S.; Hu, M.; Yang, L.; Li, M.; Shi, Z.; Cheng, W.; Zhang, Y.; Chen, F.; Wang, S.; Zhang, Q. Chemical Constituent Analysis of Ranunculus sceleratus L. Using Ultra-High-Performance Liquid Chromatography Coupled with Quadrupole-Orbitrap High-Resolution Mass Spectrometry. Molecules 2022, 27, 3299. https://doi.org/10.3390/molecules27103299
Cao S, Hu M, Yang L, Li M, Shi Z, Cheng W, Zhang Y, Chen F, Wang S, Zhang Q. Chemical Constituent Analysis of Ranunculus sceleratus L. Using Ultra-High-Performance Liquid Chromatography Coupled with Quadrupole-Orbitrap High-Resolution Mass Spectrometry. Molecules. 2022; 27(10):3299. https://doi.org/10.3390/molecules27103299
Chicago/Turabian StyleCao, Shanshan, Min Hu, Lingli Yang, Meiqin Li, Zhen Shi, Wenming Cheng, Yazhong Zhang, Fei Chen, Sheng Wang, and Qunlin Zhang. 2022. "Chemical Constituent Analysis of Ranunculus sceleratus L. Using Ultra-High-Performance Liquid Chromatography Coupled with Quadrupole-Orbitrap High-Resolution Mass Spectrometry" Molecules 27, no. 10: 3299. https://doi.org/10.3390/molecules27103299
APA StyleCao, S., Hu, M., Yang, L., Li, M., Shi, Z., Cheng, W., Zhang, Y., Chen, F., Wang, S., & Zhang, Q. (2022). Chemical Constituent Analysis of Ranunculus sceleratus L. Using Ultra-High-Performance Liquid Chromatography Coupled with Quadrupole-Orbitrap High-Resolution Mass Spectrometry. Molecules, 27(10), 3299. https://doi.org/10.3390/molecules27103299
