Recent Progress in the Multicomponent Synthesis of Pyran Derivatives by Sustainable Catalysts under Green Conditions
Abstract
:1. Introduction
2. Synthesis of Pyran Derivatives
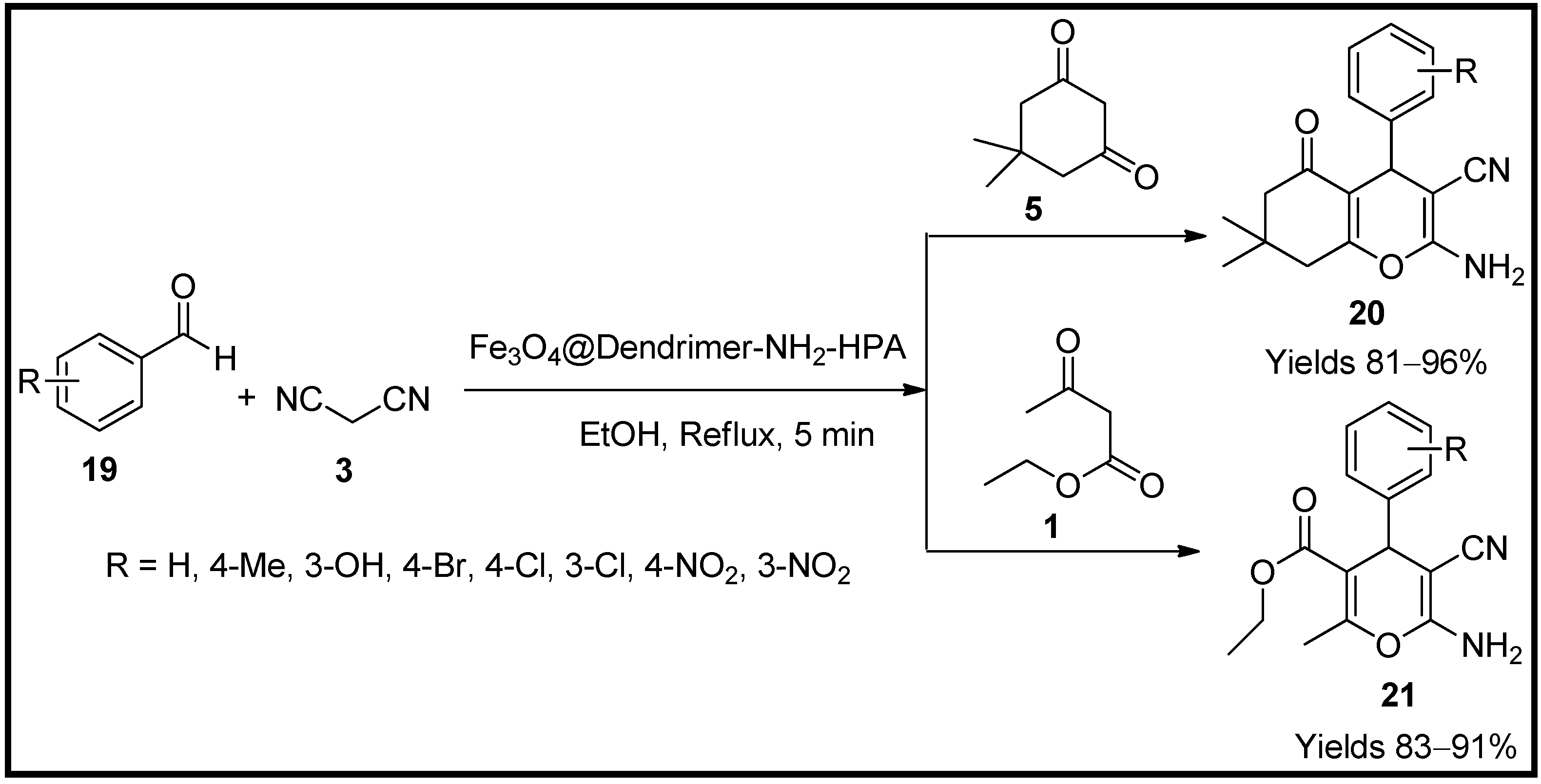
2.1. Iron Base Catalysts
2.2. Zinc-Based Catalysts
2.3. Silica-Based Catalysts
2.4. Carbon Nanotube-Based Catalysts
2.5. Manganese-Based Catalysts
2.6. Cobalt-Based Catalysts
2.7. Silver-Based Catalysts
2.8. Ionic Liquid-Based Catalysts
2.9. Miscellaneous Catalysts
3. Conclusions
Funding
Institutional Review Board Statement
Informed Consent Statement
Data Availability Statement
Conflicts of Interest
References
- Rotstein, B.H.; Zaretsky, S.; Rai, V.; Yudin, A.K. Small heterocycles in multicomponent reactions. Chem. Rev. 2014, 114, 8323–8359. [Google Scholar] [CrossRef] [PubMed]
- Vedrine, J.C. Heterogeneous catalysis on metal oxides. Catalysts 2017, 7, 341. [Google Scholar] [CrossRef]
- Kerru, N.; Gummidi, L.; Maddila, S.; Jonnalagadda, S.B. A review of recent advances in the green synthesis of azole- and pyran based fused heterocycles using MCRs and sustainable catalysts. Curr. Org. Chem. 2021, 25, 4–39. [Google Scholar]
- Kerru, N.; Bhaskaruni, S.V.H.S.; Gummidi, L.; Maddila, S.N.; Maddila, S.; Jonnalagadda, S.B. Recent advances in heterogeneous catalysts for the synthesis of imidazole derivatives. Syn. Commun. 2019, 49, 2437–2459. [Google Scholar] [CrossRef]
- Bhaskaruni, S.V.H.S.; Maddila, S.; Gangu, K.K.; Jonnalagadda, S.B. A review on multicomponent green synthesis of N-containing heterocycles using mixed oxides as heterogeneous catalysts. Arab. J. Chem. 2020, 13, 1142–1178. [Google Scholar] [CrossRef]
- Hutchings, G.J. Heterogeneous catalysts-discovery and design. J. Mater. Chem. 2009, 19, 1222–1235. [Google Scholar] [CrossRef]
- Climent, M.J.; Corma, A.; Iborra, S. Homogeneous and heterogeneous catalysts for multicomponent reactions. RSC Adv. 2012, 2, 16–58. [Google Scholar] [CrossRef]
- Harikrishna, S.; Gangu, K.K.; Robert, A.R.; Ganja, H.; Kerru, N.; Jonnalagadda, S.B. An eco-friendly and reusable catalyst RuO2/MWCNT in the green synthesis of sulfonyl-quinolines. Process Saf. Environ. Prot. 2022, 159, 911–917. [Google Scholar] [CrossRef]
- Gangu, K.K.; Maddila, S.; Jonnalagadda, S.B. The pioneering role of metal–organic framework-5 in ever-growing contemporary applications. RSC Adv. 2022, 12, 14282–14298. [Google Scholar] [CrossRef] [PubMed]
- Ganta, R.K.; Kerru, N.; Maddila, S.; Jonnalagadda, S.B. Advances in pyranopyrazole scaffolds' syntheses using sustainable catalysts-a review. Molecules 2021, 26, 3270. [Google Scholar] [CrossRef] [PubMed]
- Kerru, N.; Gummidi, L.; Gangu, K.K.; Maddila, S.; Jonnalagadda, S.B. Synthesis of novel furo[3,2-c]coumarin derivatives through multicomponent [4+1] cycloaddition reaction using ZnO/FAp as a sustainable catalyst. ChemistrySelect 2020, 5, 4104–4110. [Google Scholar] [CrossRef]
- Kerru, N.; Gummidi, L.; Maddila, S.; Jonnalagadda, S.B. Efficient synthesis of novel functionalised dihydro-pyrazolo[3,4-d]-pyridines via the three-component reaction using MgO/HAp as a sustainable catalyst. Inorg. Chem. Commun. 2021, 123, 108321. [Google Scholar] [CrossRef]
- Kerru, N.; Gummidi, L.; Bhaskaruni, S.V.H.S.; Maddila, S.N.; Jonnalagadda, S.B. Green synthesis and characterisation of novel 1,2,4,5-tetrasubstituted imidazole derivatives with eco-friendly red brick clay as efficacious catalyst. Mol. Divers. 2020, 24, 889–901. [Google Scholar] [CrossRef] [PubMed]
- Kerru, N.; Gummidi, L.; Maddila, S.; Jonnalagadda, S.B. Gadolinium oxide loaded zirconia and multicomponent synthesis of novel dihydro-pyrazolo[3,4-d]pyridines under green conditions. Sustain. Chem. Pharm. 2020, 18, 100316. [Google Scholar] [CrossRef]
- Kerru, N.; Gummidi, L.; Maddila, S.N.; Bhaskaruni, S.V.H.S.; Maddila, S.; Jonnalagadda, S.B. Green synthesis and characterisation of novel [1,3,4]-thiadiazolo/benzo[4,5]thiazolo[3,2-a]pyrimidines via multicomponent reaction using vanadium oxide loaded on fluorapatite as a robust and sustainable catalyst. RSC Adv. 2020, 10, 19803–19810. [Google Scholar] [CrossRef] [PubMed]
- Kerru, N.; Maddila, S.; Jonnalagadda, S.B. A facile and catalyst-free microwave promoted multicomponent reaction for the synthesis of functionalised 1,4-dihydropyridines with superb selectivity and yields. Front. Chem. 2021, 9, 638832. [Google Scholar] [CrossRef] [PubMed]
- Suryanarayana, K.; Robert, A.R.; Kerru, N.; Pooventhiran, T.; Thomas, R.; Maddila, S.; Jonnalagadda, S.B. Design, synthesis, anticancer activity and molecular docking analysis of novel dinitrophenylpyrazole bearing 1,2,3-triazoles. J. Mol. Struct. 2021, 1243, 130865. [Google Scholar] [CrossRef]
- Rao, B.S.; Reddy, K.V.N.S.; Kerru, N.; Maddila, S. An efficient synthesis of drug-like small molecules library based on 2-(substituted benzylthio)-4,6-dichloropyrimidin-5-amines. Chem. Data Coll. 2021, 33, 100704. [Google Scholar] [CrossRef]
- Muralidhar, P.; Kumar, B.S.; Kerru, N.; Maddila, S. A novel method for the synthesis of 3-aminoindoles using iodine and Cs2CO3 as catalyst. Chem. Data Coll. 2021, 33, 100731. [Google Scholar] [CrossRef]
- Maddila, S.; Devi, L.; Muralidhar, P.; Nagaraju, K.; Jonnalagadda, S.B. A facile and environmental-friendly protocol for the synthesis of methyleneisoxazole-5(4H)-ones catalysed by CeO2/TiO2 under ultrasonic irradiation. Inorg. Chem. Commun. 2022, 143, 109741. [Google Scholar] [CrossRef]
- Madhavi, C.; Robert, A.R.; Gangu, K.K.; Kerru, N.; Maddila, S. An efficient and sustainable synthesis of morpholino-1,4-dihydropyridine-2,3-dicarboxylates using recyclable SeO2/HAp catalyst. Inorg. Chem. Commun. 2022, 143, 109750. [Google Scholar] [CrossRef]
- Kerru, N.; Gummidi, L.; Maddila, S.N.; Bhaskaruni, S.V.H.S.; Jonnalagadda, S.B. Ultrasound-assisted synthesis and anti-bacterial activity of novel 1,3,4-thiadiazole-1H-pyrazol-4-yl-thiazolidin-4-one derivatives. Monatsh. Chem. 2020, 151, 981–990. [Google Scholar] [CrossRef]
- Kerru, N.; Gummidi, L.; Maddila, S.N.; Bhaskaruni, S.V.H.S.; Jonnalagadda, S.B. Bi2O3/FAp, a sustainable catalyst for synthesis of dihydro-[1,2,4]triazolo[1,5-a]pyrimidine derivatives through green strategy. Appl. Organometal. Chem. 2020, 34, e5590. [Google Scholar] [CrossRef]
- Kerru, N.; Gummidi, L.; Maddila, S.; Jonnalagadda, S.B. Polyethylene glycol (PEG-400) mediated one-pot green synthesis of 4,7-dihydro-2H-pyrazolo[3,4-b]pyridines under catalyst-free conditions. ChemistrySelect 2020, 5, 12407–12410. [Google Scholar] [CrossRef]
- Slobbe, P.; Ruijter, E.; Orru, R.V.A. Recent applications of multicomponent reactions in medicinal chemistry. Med. Chem. Commun. 2012, 3, 1189–1218. [Google Scholar] [CrossRef]
- Maddila, S.; Kerru, N.; Jonnalagadda, S.B. Synthesis and antimicrobial evaluation of novel pyrano[2,3-d]-pyrimidine bearing 1,2,3-triazoles. Chem. Data Coll. 2020, 6, 100486. [Google Scholar] [CrossRef]
- Madhavi, C.; Ganja, H.; Kerru, N.; Maddila, S.; Jonnalagadda, S.B. Synthesis of a sustainable heterogeneous catalyst, titanium dioxide-loaded hydroxyapatite for functionalized chromen-dihydropyridines under green conditions. Appl. Organomet. Chem. 2021, 34, e6442. [Google Scholar]
- Devi, L.; Kerru, N.; Maddila, S.; Jonnalagadda, S.B. A green, efficient protocol for the catalyst-free synthesis of tetrahydro-1H-pyrazolo-[3,4-b]-quinolin-5(4H)-ones supported by ultrasonicirradiation. Chem. Data Coll. 2020, 30, 100566. [Google Scholar] [CrossRef]
- Cioc, R.C.; Ruijter, E.; Orru, R.V.A. Multi-component reactions: Advanced tools for sustainable organic synthesis. Green Chem. 2014, 16, 2958–2975. [Google Scholar] [CrossRef]
- Kerru, N.; Gummidi, L.; Bhaskaruni, S.V.H.S.; Maddila, S.N.; Jonnalagadda, S.B. One-pot green synthesis of novel 5,10-dihydro-1H-pyrazolo[1,2-b]phthalazine derivatives with eco-friendly biodegradable eggshell powder as efficacious catalyst. Res. Chem. Intermed. 2020, 46, 3067–3083. [Google Scholar] [CrossRef]
- Kerru, N.; Gummidi, L.; Maddila, S.N.; Gangu, K.K.; Jonnalagadda, S.B. Four-component rapid protocol with nickel oxide loaded on fluorapatite as a sustainable catalyst for the synthesis of novel imidazole analogs. Inorg. Chem. Commun. 2020, 116, 107935. [Google Scholar] [CrossRef]
- Gu, Y. Multicomponent reactions in unconventional solvents: State of the art. Green Chem. 2012, 14, 2091–2128. [Google Scholar] [CrossRef]
- Sheldon, R.A. Green solvents for sustainable organic synthesis: State of the art. Green Chem. 2005, 7, 267–278. [Google Scholar] [CrossRef]
- Ferrazzano, L.; Corbisiero, D.; Martelli, G.; Tolomelli, A.; Viola, A.; Ricci, A.; Cabri, W. Green solvent mixtures for solid-phase peptide synthesis: A dimethylformamide-free highly efficient synthesis of pharmaceutical-grade peptides. ACS Sustain. Chem. Eng. 2019, 7, 12867–12877. [Google Scholar] [CrossRef]
- Maddila, S.; Nagaraju, K.; Chinnam, S.; Jonnalagadda, S.B. Microwave-assisted multicomponent reaction: A green and catalyst-free method for the synthesis of poly-functionalised 1,4-dihydropyridines. ChemistrySelect 2019, 4, 9451–9454. [Google Scholar] [CrossRef]
- Kerru, N.; Bhaskaruni, S.V.H.S.; Gummidi, L.; Maddila, S.N.; Singh, P.; Jonnalagadda, S.B. Efficient synthesis of novel pyrazole linked 1,2,4-triazolidine-3-thiones using bismuth on zirconium oxide as a recyclable catalyst in aqueous medium. Mol. Divers. 2019, 24, 345–354. [Google Scholar] [CrossRef]
- Kerru, N.; Bhaskaruni, S.V.H.S.; Gummidi, L.; Maddila, S.N.; Rana, S.; Singh, P.; Jonnalagadda, S.B. Synthesis of novel pyrazolebased triazolidin-3-one derivatives by using ZnO/ZrO2 as a reusable catalyst under green conditions. Appl. Organometal. Chem. 2019, 33, e4722. [Google Scholar] [CrossRef]
- Paplal, B.; Nagaraju, S.; Veerabhadraiah, P.; Sujatha, K.; Kanvah, S.; Kumar, B.V.; Kashinath, D. Recyclable Bi2WO6-nanoparticle mediated one-pot multicomponent reactions in aqueous medium at room temperature. RSC Adv. 2014, 4, 54168–54174. [Google Scholar] [CrossRef]
- Nagaraju, S.; Paplal, B.; Sathish, K.; Giri, S.; Kashinath, D. Synthesis of functionalised chromene and spirochromenes using l-proline-melamine as highly efficient and recyclable homogeneous catalyst at room temperature. Tetrahedron Lett. 2017, 58, 4200–4204. [Google Scholar] [CrossRef]
- Kerru, N.; Gummidi, L.; Maddila, S.; Gangu, K.K.; Jonnalagadda, S.B. A review on recent advances in nitrogen-containing molecules and their biological applications. Molecules 2020, 25, 1909. [Google Scholar] [CrossRef]
- Rao, D.J.; Kerru, N.; Maddila, S. Microwave irradiated mild, rapid, one-pot and multicomponent synthesis of isoxazole-5(4H)-ones. Chem. Data Collect. 2021, 32, 100669. [Google Scholar] [CrossRef]
- Kumar, T.S.; Robert, A.R.; Ganja, H.; Muralidhar, P.; Kerru, N.; Maddila, S. Purification free, chemoselective N-acylation of non-nucleophilic nitrogen heterocycles using oxyma and benzotriazole activations. Chem. Data Collect. 2021, 32, 100654. [Google Scholar] [CrossRef]
- Kerru, N.; Maddila, S.N.; Maddila, S.; Sobhanapuram, S.; Jonnalagadda, S.B. Synthesis and antimicrobial activity of novel thienopyrimidine linked rhodanine derivatives. Can. J. Chem. 2019, 97, 94–99. [Google Scholar] [CrossRef]
- Kerru, N.; Maddila, S.; Jonnalagadda, S.B. Design of carbon carbon and carbon–heteroatom bond formation reactions under green conditions. Curr. Org. Chem. 2019, 23, 3156–3192. [Google Scholar] [CrossRef]
- Immandhi, S.S.A.; Nagaraju, K.; Maddila, S.; Jonnalagadda, S.B. Recent progresses in the multicomponent synthesis of dihydropyridines by applying sustainable catalysts under green conditions. Front. Chem. 2021, 9, 800236. [Google Scholar]
- Maedeh, S.; Roghieh, M.; Ebrahim, B.; Mohammadi-Khanaposhtani, M.; Homa, A.; Mohammad, S.A.; Samanesadat, H.; Ebrahim, Z.; Somayeh, M.; Mohammad, A.F.; et al. Quinazolinone-dihydropyrano[3,2-b]pyran hybrids as new α-glucosidase inhibitors: Design, synthesis, enzymatic inhibition, docking study and prediction of pharmacokinetic. Bioorg. Chem. 2021, 109, 104703. [Google Scholar]
- Kumar, D.; Sharma, P.; Singh, H.; Nepali, K.; Gupta, G.K.; Jain, S.K.; Ntie-Kang, F. The value of pyrans as anticancer scaffolds in medicinal chemistry. RSC Adv. 2017, 59, 36977–36999. [Google Scholar] [CrossRef]
- Ferreira, S.B.; da Silva, F.; Bezerra, F.A.; Lourenc, M.C.; Kaiser, C.R.; Pinto, A.C.; Ferreira, V.F. Synthesis of alpha-and beta-pyran naphthoquinones as a new class of antitubercular agents. Arch. Der Pharm. 2010, 343, 81–90. [Google Scholar]
- He, M.; Yang, N.; Sun, C.; Yao, X.; Yang, M. Modification and biological evaluation of novel 4-hydroxy-pyrone derivatives as non-peptidic HIV-1 protease inhibitors. Med. Chem. Res. 2011, 20, 200–209. [Google Scholar] [CrossRef]
- Hussain, H.; Aziz, S.; Schulz, B.; Krohn, K. Synthesis of a 4H-anthra-[1,2-b]pyran derivative and its antimicrobial activity. Nat. Prod. Commun. 2011, 6, 841–843. [Google Scholar] [CrossRef] [PubMed]
- Sagar, S.; Thorata, B.; Kontham, R. Strategies for the synthesis of furo-pyranones and their application in the total synthesis of related natural products. Org. Chem. Front. 2021, 8, 2110. [Google Scholar]
- Bosica, G.; Abdilla, R. Recent advances in multicomponent reactions catalysed under operationally heterogeneous conditions. Catalysts 2022, 12, 725. [Google Scholar] [CrossRef]
- Mamaghani, M.; Nia, R.H. A review on the recent multicomponent synthesis of pyranopyrazoles. Polycycl. Aromat. Compd. 2021, 41, 223–291. [Google Scholar] [CrossRef]
- Shabani, N.; Heravi, M.R.P.; Babazadeh, M.; Ghasemi, E.; Amini, M.; Robertson, C. 2-Aminoisoindoline-1,3-dione-functionalized Fe3O4/Chloro-silane core-shell nanoparticles as reusable catalyst: An efficient heterogeneous magnetic nanoparticles for synthesis of 4H-pyran derivatives through multicomponent reaction. Polycycl. Aromat. Compd. 2022, 42, 4561–4577. [Google Scholar] [CrossRef]
- Heravi, M.R.P.; Aghamohammadi, P.; Vessally, E. Green synthesis and antibacterial, antifungal activities of 4H-pyran, tetrahydro-4H-chromenes and spiro2-oxindole derivatives by highly efficient Fe3O4@SiO2@NH2@Pd(OCOCH3)2 nanocatalyst. J. Mol. Struct. 2022, 1249, 131534. [Google Scholar] [CrossRef]
- Esmaeili, M.S.; Khodabakhshi, M.R.; Maleki, A.; Varzi, Z. Green, natural and low cost xanthum gum supported Fe3O4 as a robust biopolymer nanocatalyst for the one-pot synthesis of 2-amino-3-cyano-4H-pyran derivatives. Polycycl. Aromat. Compd. 2021, 41, 1953–1971. [Google Scholar] [CrossRef]
- Maleki, B.; Reiser, O.; Esmaeilnezhad, E.; Choi, H.J. SO3H-dendrimer functionalised magnetic nanoparticles (Fe3O4@D-NH-(CH2)4-SO3H): Synthesis, characterisation and its application as a novel and heterogeneous catalyst for the one-pot synthesis of polyfunctionalised pyrans and polyhydroquinolines. Polyhedron 2019, 162, 129–141. [Google Scholar] [CrossRef]
- Mohammadi, P.; Sheibani, H. Synthesis and characterisation of Fe3O4@SiO2 guanidine-poly acrylic acid nanocatalyst and using it for one-pot synthesis of 4H-benzo[b]pyrans and dihydropyrano[c]chromenes in water. Mater. Chem. Phys. 2019, 228, 140–146. [Google Scholar] [CrossRef]
- Jamshidi, A.; Maleki, B.; Zonoz, F.M.; Tayebee, R. HPA-dendrimer functionalised magnetic nanoparticles (Fe3O4@DNH2-HPA) as a novel inorganic-organic hybrid and recyclable catalyst for the one-pot synthesis of highly substituted pyran derivatives. Mater. Chem. Phys. 2018, 209, 46e59. [Google Scholar] [CrossRef]
- Elhamifar, D.; Ramazani, H.; Norouzi, M.; Mirbagheri, R. Magnetic iron oxide/phenylsulfonic acid: A novel, efficient and recoverable nanocatalyst for green synthesis of tetrahydrobenzo[b]-pyrans under ultrasonic conditions. J. Colloid Interface Sci. 2018, 511, 392–401. [Google Scholar] [CrossRef] [PubMed]
- Aghbash, K.O.; Pesyan, N.N.; Batmani, H. Fe3O4@silica-MCM-41@DABCO: A novel magnetically reusable nanostructured catalyst for clean in situ synthesis of substituted 2-aminodihydropyrano[3,2-b]pyran-3-cyano. Appl. Organomet. Chem. 2019, 33, e5227. [Google Scholar]
- Teimuri-Mofrad, R.; Gholamhosseini-Nazari, M.; Payami, E.; Esmati, S. Ferrocene-tagged ionic liquid stabilised on silica-coated magnetic nanoparticles: Efficient catalyst for the synthesis of 2-amino-3-cyano-4H-pyran derivatives under solvent-free conditions. Appl. Organomet. Chem. 2017, 32, e3955. [Google Scholar] [CrossRef]
- Moghaddam-Manesh, M.; Ghazanfari, D.; Sheikhhosseini, E.; Akhgar, M. Synthesis of bioactive magnetic nanoparticles spiro[indoline-3,4'-[1,3]dithiine]@Ni (NO3)2 supported on Fe3O4@SiO2@CPS as reusable nanocatalyst for the synthesis of functionalised 3,4-dihydro-2H-pyran. Appl. Organomet. Chem. 2020, 34, e5543. [Google Scholar] [CrossRef]
- Maleki, H.; Rakhtshah, J.; Shaabani, B. Effective one-pot synthesis of tetrahydrobenzo[b]pyran derivatives using nickel Schiff-base complex immobilised on iron oxide nanoparticles. Appl. Organomet. Chem. 2020, 34, e5683. [Google Scholar] [CrossRef]
- Dazmiri, M.G.; Alinezhad, H.; Hossaini, Z.; Bekhradnia, A.R. Green synthesis of Fe3O4/ZnO magnetic core-shell nanoparticles by Petasites hybridus rhizome water extract and their application for the synthesis of pyran derivatives: Investigation of antioxidant and antimicrobial activity. Appl. Organomet. Chem. 2020, 34, e5731. [Google Scholar]
- Hassanzadeh-Afruzi, F.; Dogari, H.; Esmailzadeh, F.; Maleki, A. Magnetized melamine-modified polyacrylonitrile (PAN@melamine/Fe3O4) organometallic nanomaterial: Preparation, characterisation, and application as a multifunctional catalyst in the synthesis of bioactive dihydropyrano [2,3-c]pyrazole and 2-amino-3-cyano 4H-pyran derivatives. Appl. Organomet. Chem. 2021, 35, e6363. [Google Scholar]
- Heravi, M.M.; Beheshtiha1, S.Y.S.; Dehghani, M.; Hosseintash, N. Using magnetic nanoparticles Fe3O4 as a reusable catalyst for the synthesis of pyran and pyridine derivatives via one-pot multicomponent reaction. J. Iran. Chem. Soc. 2015, 12, 2075–2081. [Google Scholar] [CrossRef]
- Sandaroos, R.; Nazif, A.; Molaei, H.; Salimi, S. Multi-component synthesis of a new series of 4H-furo[3,4-b]pyrans, with iron(III) triflate as catalyst. Res. Chem. Intermed. 2015, 41, 5033–5040. [Google Scholar] [CrossRef]
- Ziyaadini, M.; Nemat-Bakhsh, N.; Roudbaraki, S.J.; Ghashang, M. Zn2SnO4-SnO2 nanocomposite promoted ultrasonic-assisted synthesis of pyran derivatives. Polycycl. Aromat. Compd. 2022, 42, 460–474. [Google Scholar] [CrossRef]
- Maleki, A.; Varzi, Z.; Hassanzadeh-Afruzi, F. Preparation and characterisation of an eco-friendly ZnFe2O4@alginic acid nanocomposite catalyst and its application in the synthesis of 2-amino-3-cyano-4H-pyran derivatives. Polyhedron 2021, 171, 193–202. [Google Scholar] [CrossRef]
- Tahmassebi, D.; Blevins, J.E.; Gerardot, S.S. Zn(L-proline)2 as an efficient and reusable catalyst for the multicomponent synthesis of pyran-annulated heterocyclic compounds. Appl. Organomet. Chem. 2019, 33, e4807. [Google Scholar] [CrossRef]
- Khan, M.M.; Khan, S. One-pot Knoevenagel–Michael–cyclisation cascade reaction for the synthesis of functionalised novel 4H-pyrans by using ZnCl2 as a catalyst. J. Heterocycl. Chem. 2019, 56, 1020–1029. [Google Scholar] [CrossRef]
- Safaei-Ghomi, J.; Teymuri, R.; Shahbazi-Alavi, H.; Ziarati, A. SnCl2/nano SiO2: A green and reusable heterogeneous catalyst for the synthesis of polyfunctionalised 4H-pyrans. Chin. Chem. Lett. 2013, 24, 921–925. [Google Scholar] [CrossRef]
- Yaghoubi, A.; Dekamin, M.G. Green and facile synthesis of 4H-pyran scaffold catalysed by pure nano-ordered periodic mesoporous organosilica with isocyanurate framework (PMO-ICS). ChemistrySelect 2017, 2, 9236–9243. [Google Scholar] [CrossRef]
- Sameri, F.; Bodaghifard, M.A.; Mobinikhaledi, A. Zn (II)-Schiff base covalently anchored to CaO@SiO2: A hybrid nanocatalyst for green synthesis of 4H-pyrans. Appl. Organomet. Chem. 2021, 35, e6394. [Google Scholar] [CrossRef]
- Patel, K.G.; Misra, N.M.; Vekariya, R.H.; Shettigar, R.R. One-pot multicomponent synthesis in aqueous medium of 1,4-dihydropyrano[2,3-c]pyrazole-5-carbonitrile and derivatives using a green and reusable nano-SiO2 catalyst from agricultural waste. Res. Chem. Intermed. 2018, 44, 289–304. [Google Scholar] [CrossRef]
- Adibian, F.; Pourali, A.R.; Maleki, B.; Baghayeri, M.; Amiri, A. One-pot synthesis of dihydro-1H-indeno[1,2-b]-pyridines and tetrahydrobenzo[b]-pyran derivatives using a new and efficient nanocomposite catalyst based on N-butylsulfonate-functionalized MMWCNTs-D-NH2. Polyhedron 2020, 175, 114179. [Google Scholar] [CrossRef]
- Hojati, S.F.; Amiri, A.; Eghbali, N.M.; Mohamadi, S. Polypyrrole/Fe3O4/CNT as a recyclable and highly efficient catalyst for one-pot three-component synthesis of pyran derivatives. Appl. Organomet. Chem. 2018, 32, e4235. [Google Scholar] [CrossRef]
- Hajipour, A.R.; Khorsandi, Z. Application of immobilised proline on CNTs and proline ionic liquid as novel organocatalysts in the synthesis of 2-Amino-4H-pyran derivatives: A comparative study between their catalytic activities. ChemistrySelect 2017, 2, 8976–8982. [Google Scholar] [CrossRef]
- Norouzi, M.; Elhamifar, D.; Abaeezadeh, S. Magnetic ethyl-based mesoporous organosilica composite supported IL/Mn: A novel and highly recoverable nanocatalyst for preparation of 4H-pyrans. Appl. Surf. Sci. 2020, 2, 100039. [Google Scholar] [CrossRef]
- Maddila, S.N.; Maddila, S.; Bhaskaruni, S.V.H.S.; Kerru, N.; Jonnalagadda, S.B. MnO2 on hydroxyapatite: A green heterogeneous catalyst and synthesis of pyran-carboxamide derivatives. Inorg. Chem. Commun. 2020, 112, 107706. [Google Scholar] [CrossRef]
- Mozafari, R.; Heidarizadeh, F. Phosphotungstic acid supported on SiO2@NHPhNH2 functionalised nanoparticles of MnFe2O4 as a recyclable catalyst for the preparation of tetrahydrobenzo[b]pyran and indazolo[2,1-b]-phthalazine-triones. Polyhedron 2019, 162, 263–276. [Google Scholar] [CrossRef]
- Patel, G.; Patel, A.R.; Maity, G.; Das, S.; Patel, S.P.; Banerjee, S. Fabrication of self-assembled Co3O4 nano flakes for one pot synthesis of tetrahydrobenzo[b]pyran and 1,3-benzothazole derivatives. Curr. Opin. Green Sustain. Chem. 2022, 5, 100258. [Google Scholar] [CrossRef]
- Tamoradi, T.; Karmakar, B.; Kamalzare, M.; Bayat, M.; Kal-Koshvandi, A.T.; Maleki, A. Synthesis of Eu(III) fabricated spinel ferrite based surface modified hybrid nanocomposite: Study of catalytic activity towards the facile synthesis of tetrahydrobenzo[b]pyrans. J. Mol. Struct. 2020, 1219, 128598. [Google Scholar] [CrossRef]
- Tamimi, M.; Heravi, M.M.; Mirzaei, M.; Zadsirjan, V.; Lotfian, N.; Eshtiagh-Hosseini, H. Ag3[PMo12O40]: An efficient and green catalyst for the synthesis of highly functionalised pyran-annulated heterocycles via multicomponent reaction. Appl. Organomet. Chem. 2019, 33, e5043. [Google Scholar] [CrossRef]
- Tavakoli, F.; Mamaghani, M.; Sheykhan, M. Introduction of Ag/CuO/MCM-48 as an efficient catalyst for the one-pot synthesis of novel pyran-pyrrole hybrids. Appl. Organomet. Chem. 2019, 33, e5083. [Google Scholar] [CrossRef]
- Saadati-Moshtaghina, H.R.; Abbasinohoji, F. LaMnO3 supported ionic liquid; an efficient catalyst for one-pot three-component synthesis of tetrahydrobenzo[b]pyran derivatives under solvent-free conditions. Polycycl. Aromat. Compd. 2021, 41, 455–466. [Google Scholar] [CrossRef]
- Zarei, A.; Yarie, M.; Zolfigol, M.A.; Niknam, K. Synthesis of a novel bifunctional oxyammonium-based ionic liquid: Application for the synthesis of pyrano[4,3-b]-pyrans and tetrahydrobenzo[b]pyrans. J. Chin. Chem. Soc. 2020, 67, 1120–1131. [Google Scholar] [CrossRef]
- Aghaei-Hashjin, M.; Yahyazadeh, A.; Abbaspour-Gilandeh, E. Zr@IL-Fe3O4 MNPs as an efficient and green heterogeneous magnetic anocatalyst for the onepot three-component synthesis of highly substituted pyran derivatives under solvent-free conditions. RSC Adv. 2021, 11, 23491–23505. [Google Scholar] [CrossRef]
- Kaminwara, N.S.; Tekaleb, S.U.; Pokalwarc, R.U.; Kotaid, L.; Paware, R.P. An efficient and rapid synthesis of 1,4-dihydropyrano[2,3-c]-pyran and 1,4-dihydropyrano[2,3-c]quinoline derivatives using copper nanoparticles grafted on carbon microspheres. Polycycl. Aromat. Compd. 2022, 42, 4635–4643. [Google Scholar] [CrossRef]
- Elahe, A.; Bahareh, S.; Mohammad, H.M. Synthesis of novel 2-amino-7-methyl-4-aryl-3-(phenylsulfonyl)pyrano[4,3-b]pyran-5(4H)-one derivatives in the presence TiCl4 supported on Kaolin as a nano catalyst. Polycycl. Aromat. Compd. 2019, 41, 920–928. [Google Scholar]
- Ryhan, A.R.; Shaheen, S.; Waqas, A.K.; Zeba, N.S. La/Ce mixed metal oxide supported MWCNTs as a heterogeneous catalytic system for the synthesis of chromeno pyran derivatives and assessment of green metrics. Mol. Catal. 2020, 490, 110975. [Google Scholar]
- Ghashang, M.; Mansoor, S.S.; Shafiee, M.R.M.; Kargar, M.; Biregan, M.N.; Azimi, F.; Taghrir, H. Green chemistry preparation of MgO nanopowders: Efficient catalyst for the synthesis of thiochromeno[4,3-b]pyran and thiopyrano[4,3-b]pyran derivatives. J. Sulfur Chem. 2016, 37, 377–390. [Google Scholar] [CrossRef]
- Saadati-Moshtaghin, H.R.; Zonoz, F.M. Preparation and characterisation of magnetite-dihydrogen phosphate as a novel catalyst in the synthesis of tetrahydrobenzo[b]pyrans. Mater. Chem. Phys. 2017, 199, 159e165. [Google Scholar] [CrossRef]
- Tavakol, H.; Keshavarzipour, F. Preparation of choline chloride–urea deep eutectic solventmodified magnetic nanoparticles for synthesis of various 2-amino-4H-pyran derivatives in water solution. Appl. Organomet. Chem. 2017, 31, e3811. [Google Scholar] [CrossRef]
- Ramesh, V.; Shanmugam, S.; Devi, N.S. Er(OTf)3-catalyzed multicomponent synthesis of 3,4-dihydro-2H-pyran via hetero-diels-alder reaction under ambient temperature. ChemistrySelect 2018, 3, 3652–3658. [Google Scholar] [CrossRef]
- Dipak, S.A.; Kiran, R.K.; Laxmikant, D.C.; Sunil, G.S. Quaternary vanado-molybdotungstophosphoric acid [H5PW6Mo4V2O40] over natural montmorillonite as a heterogeneous catalyst for the synthesis 4H-pyran and polyhydroquinoline derivatives. ChemistrySelect 2020, 5, 7320–7331. [Google Scholar]
- Alinezhad, H.; Tarahomi, M.; Maleki, B.; Amiri, A. SO3H-functionalized nano-MGO-D-NH2: Synthesis, characterization and application for one-pot synthesis of pyrano[2,3-d]pyrimidinone and tetrahydrobenzo[b]pyran derivatives in aqueous media. Appl. Organomet. Chem 2019, 33, e4661. [Google Scholar] [CrossRef]
- Maddila, S.N.; Maddila, S.; Kerru, N.; Bhaskaruni, S.V.H.S.; Jonnalagadda, S.B. Facile one-pot synthesis of arylsulfonyl-4H-pyrans catalysed by Ru loaded fluorapatite. ChemistrySelect 2020, 5, 1786–1791. [Google Scholar] [CrossRef]
- Heravi, M.M.; Mirzaei, M.; Beheshtiha, S.Y.S.; Zadsirjan, V.; Ameli, F.M.; Bazargan, M. H5BW12O40 as a green and efficient homogeneous but recyclable catalyst in the synthesis of 4H-Pyrans via multicomponent reaction. Appl. Organomet. Chem. 2018, 32, e4479. [Google Scholar] [CrossRef]
















































Publisher’s Note: MDPI stays neutral with regard to jurisdictional claims in published maps and institutional affiliations. |
© 2022 by the authors. Licensee MDPI, Basel, Switzerland. This article is an open access article distributed under the terms and conditions of the Creative Commons Attribution (CC BY) license (https://creativecommons.org/licenses/by/4.0/).
Share and Cite
Maddila, S.; Kerru, N.; Jonnalagadda, S.B. Recent Progress in the Multicomponent Synthesis of Pyran Derivatives by Sustainable Catalysts under Green Conditions. Molecules 2022, 27, 6347. https://doi.org/10.3390/molecules27196347
Maddila S, Kerru N, Jonnalagadda SB. Recent Progress in the Multicomponent Synthesis of Pyran Derivatives by Sustainable Catalysts under Green Conditions. Molecules. 2022; 27(19):6347. https://doi.org/10.3390/molecules27196347
Chicago/Turabian StyleMaddila, Suresh, Nagaraju Kerru, and Sreekantha Babu Jonnalagadda. 2022. "Recent Progress in the Multicomponent Synthesis of Pyran Derivatives by Sustainable Catalysts under Green Conditions" Molecules 27, no. 19: 6347. https://doi.org/10.3390/molecules27196347
APA StyleMaddila, S., Kerru, N., & Jonnalagadda, S. B. (2022). Recent Progress in the Multicomponent Synthesis of Pyran Derivatives by Sustainable Catalysts under Green Conditions. Molecules, 27(19), 6347. https://doi.org/10.3390/molecules27196347
