Phytochemical Properties and In Vitro Biological Activities of Phenolic Compounds from Flower of Clitoria ternatea L.
Abstract
1. Introduction
2. Results and Discussion
2.1. Phytochemical Analysis
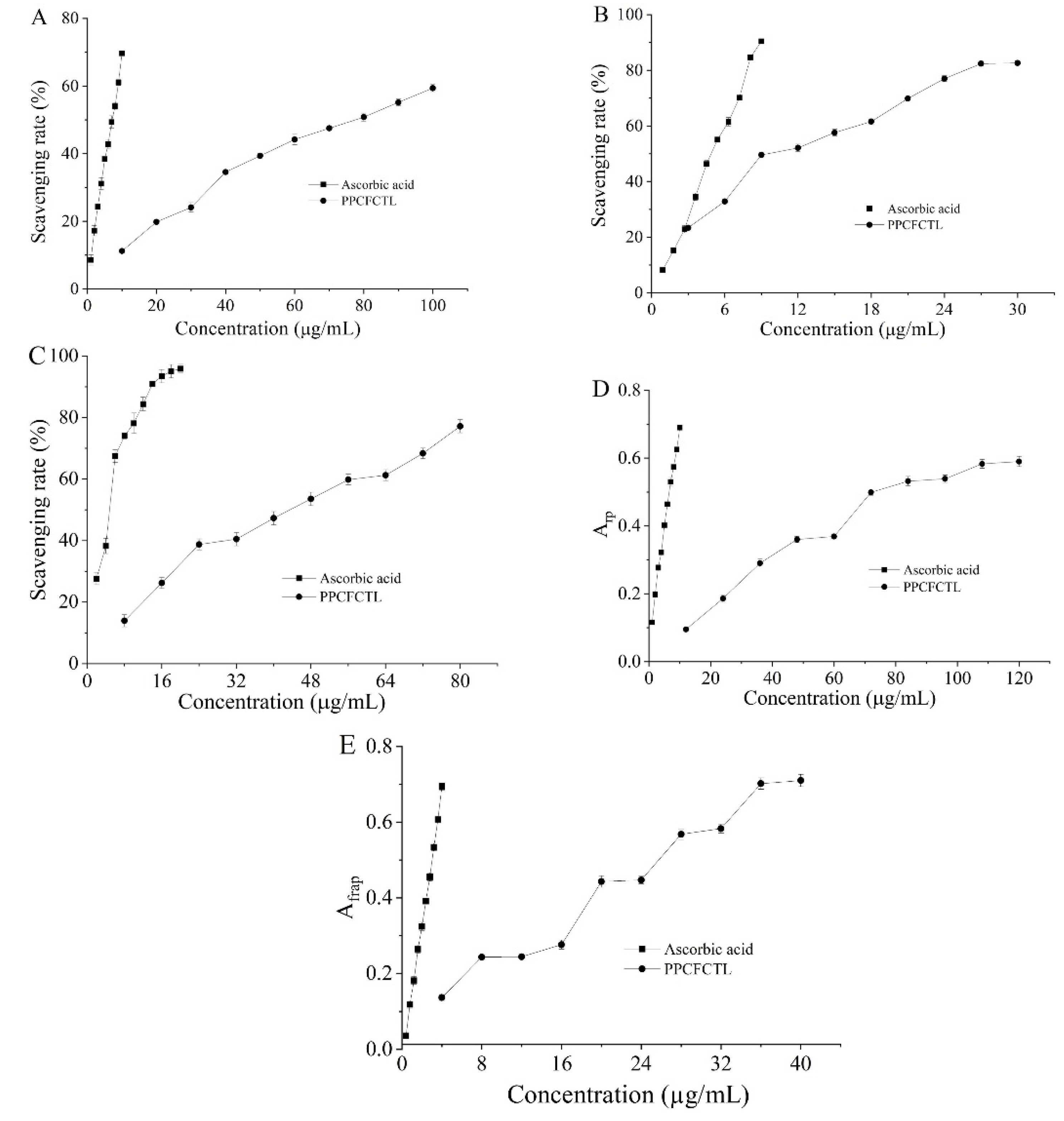
2.2. Antioxidant Activities
2.3. Enzyme Inhibitory Activities
2.4. Antiproliferative Activities
2.5. Cellular Morphology
3. Materials and Methods
3.1. Plant Material
3.2. Chemicals and Reagents
3.3. Preparation of PPCFCTL
3.3.1. Extraction of PCFCTL
3.3.2. Purification of PCFCTL
3.4. Phytochemical Detemination
3.5. Antioxidant Assays
3.5.1. DPPH Radical Scavenging Assay
3.5.2. ABTS+ Radical Scavenging Assay
3.5.3. Superoxide Anion Radical Scavenging Assay
3.5.4. Reducing Power (RP) Assay
3.5.5. Ferric Reducing Antioxidant Power (FRAP) Assay
3.6. Enzyme Inhibitory Assays
3.6.1. Lipase Inhibitory Assay
3.6.2. α-Amylase Inhibitory Assay
3.6.3. α-Glucosidase Inhibitory Assay
3.6.4. Acetylcholinesterase Inhibitory Assay
3.7. Antiproliferative Assays
3.7.1. Cell Culture
3.7.2. Cell Viability Assay Using MTT Method
3.7.3. Cell Morphology
3.8. Statistical Analysis
4. Conclusions
Author Contributions
Funding
Institutional Review Board Statement
Informed Consent Statement
Data Availability Statement
Conflicts of Interest
Sample Availability
References
- Bogdan, C.; Pop, A.; Iurian, S.M.; Benedec, D.; Moldovan, M.L. Research Advances in the Use of Bioactive Compounds fromVitis viniferaBy-Products in Oral Care. Antioxidants 2020, 9, 502. [Google Scholar] [CrossRef]
- de Oliveira Schmidt, H.; Rockett, F.C.; Klen, A.V.B.; Schmidt, L.; Rodrigues, E.; Tischer, B.; Augusti, P.R.; de Oliveira, V.R.; da Silva, V.L.; Flôres, S.H.; et al. New insights into the phenolic compounds and antioxidant capacity of feijoa and cherry fruits cultivated in Brazil. Food Res. Int. 2020, 136, 109564. [Google Scholar] [CrossRef]
- Chohra, D.; Ferchichi, L.; Cakmak, Y.S.; Zengin, G.; Alsheikh, S.M. Phenolic profiles, antioxidant activities and enzyme inhibitory effects of an Algerian medicinal plant (Clematis cirrhosa L.). S. Afr. J. Bot. 2020, 132, 164–170. [Google Scholar] [CrossRef]
- Melo, M.N.O.; Oliveira, A.P.; Wiecikowski, A.F.; Carvalho, R.S.; Castro, J.L.; de Oliveira, F.A.G.; Pereira, H.M.G.; da Veiga, V.F.; Capella, M.M.A.; Rocha, L.; et al. Phenolic compounds from Viscum album tinctures enhanced antitumor activity in melanoma murine cancer cells. Saudi Pharm. J. 2018, 26, 311–322. [Google Scholar] [CrossRef]
- Mates, L.; Popa, D.S.; Rusu, M.E.; Fizesan, I.; Leucut, D. Walnut Intake Interventions Targeting Biomarkers of Metabolic Syndrome and Inflammation in Middle-Aged and Older Adults: A Systematic Review and Meta-Analysis of Randomized Controlled Trials. Antioxidants 2022, 11, 1412. [Google Scholar] [CrossRef]
- Zalba, G.; Fortuno, A.; San Jose, G.; Moreno, M.U.; Beloqui, O.; Diez, J. Oxidative stress, endothelial dysfunction and cerebrovascular disease. Cereb. Dis. 2007, 24 (Suppl. 1), 24–29. [Google Scholar] [CrossRef]
- Abudawood, M.; Tabassum, H.; Almaarik, B.; Aljohi, A. Interrelationship between oxidative stress, DNA damage and cancer risk in diabetes (Type 2) in Riyadh, KSA. Saudi J. Biol. Sci. 2020, 27, 177–183. [Google Scholar] [CrossRef]
- Gopoju, R.; Panangipalli, S.; Kotamraju, S. Metformin treatment prevents SREBP2-mediated cholesterol uptake and improves lipid homeostasis during oxidative stress-induced atherosclerosis. Free Radic. Biol. Med. 2018, 118, 85–97. [Google Scholar] [CrossRef]
- Mukthamba, P.; Srinivasan, K. Dietary fenugreek (Trigonella foenum-graecum) seeds and garlic (Allium sativum) alleviates oxidative stress in experimental myocardial infarction. Food Sci. Hum. Wellness 2017, 6, 77–87. [Google Scholar] [CrossRef]
- Ganjayi, M.S.; Meriga, B.; Hari, B.; Oruganti, L.; Dasari, S.; Mopuri, R. PolyPhenolic rich fraction of Terminalia paniculata attenuates obesity through inhibition of pancreatic amylase, lipase and 3T3-L1 adipocyte differentiation. J. Nutr. Intermed. Metab. 2017, 10, 19–25. [Google Scholar] [CrossRef]
- Zhao, T.; Sun, L.; Wang, Z.; Nisar, T.; Gong, T.; Li, D.; Niu, P.; Guo, Y. The antioxidant property and α-amylase inhibition activity of young apple polyphenols are related with apple varieties. Lwt Food Sci. Technol. 2019, 111, 252–259. [Google Scholar] [CrossRef]
- Oboh, G.; Ademiluyi, A.O.; Akinyemi, A.J.; Henle, T.; Saliu, J.A.; Schwarzenbolz, U. Inhibitory effect of polyphenol-rich extracts of jute leaf (Corchorus olitorius) on key enzyme linked to type 2 diabetes (α-amylase and α-glucosidase) and hypertension (angiotensin I converting) in vitro. J. Funct. Foods 2012, 4, 450–458. [Google Scholar] [CrossRef]
- Orhan, I.; Sener, B.; Choudhary, M.I.; Khalid, A. Acetylcholinesterase and butyrylcholinesterase inhibitory activity of some Turkish medicinal plants. J. Ethnopharmacol. 2004, 91, 57–60. [Google Scholar] [CrossRef]
- Yan, Z.; Luo, X.; Cong, J.; Zhang, H.; Ma, H.; Duan, Y. Subcritical water extraction, identification and antiproliferation ability on HepG2 of polyphenols from lotus seed epicarp. Ind. Crops Prod. 2019, 129, 472–479. [Google Scholar] [CrossRef]
- Dhanasekaran, S.; Rajesh, A.; Mathimani, T.; Melvin Samuel, S.; Shanmuganathan, R.; Brindhadevi, K. Efficacy of crude extracts of Clitoria ternatea for antibacterial activity against gram negative bacterium (Proteus mirabilis). Biocatal. Agric. Biotechnol. 2019, 21, 101328. [Google Scholar] [CrossRef]
- Raghu, K.S.; Shamprasad, B.R.; Kabekkodu, S.P.; Paladhi, P.; Joshi, M.B.; Valiathan, M.S.; Guruprasad, K.P.; Satyamoorthy, K. Age dependent neuroprotective effects of medhya rasayana prepared from Clitoria ternatea Linn. in stress induced rat brain. J. Ethnopharmacol. 2017, 197, 173–183. [Google Scholar] [CrossRef] [PubMed]
- Jain, R.A.; Shukla, S.H. Pharmacognostic Evaluation and Phytochemical Studies on Stem of Clitoria ternatea linn. Pharmacogn. J. 2011, 3, 62–66. [Google Scholar] [CrossRef]
- Taur, D.J.; Taware, S.B.; Patil, R.N.; Patil, R.Y.; Kharya, M.D. Pharmacognostical and Preliminary Phytochemical Evaluation of Clitoria ternatea leaves. Pharmacogn. J. 2010, 2, 260–265. [Google Scholar] [CrossRef]
- Nithianantham, K.; Ping, K.Y.; Latha, L.Y.; Jothy, S.L.; Darah, I.; Chen, Y.; Chew, A.-L.; Sasidharan, S. Evaluation of hepatoprotective effect of methanolic extract of Clitoria ternatea (Linn.) flower against acetaminophen-induced liver damage. Asian Pac. J. Trop. Dis. 2013, 3, 314–319. [Google Scholar] [CrossRef]
- Linggam, K.; Ramanathan, S.; Sasidharan, S.; Mansor, S. Evaluation of antinociceptive effect of methanolic leaf and root extracts of Clitoria ternatea Linn. In rats. Indian J. Pharmacol. 2014, 46, 515–520. [Google Scholar]
- Adhikary, R.; Sultana, S.; Bishayi, B. Clitoria ternatea flower petals: Effect on TNFR1 neutralization via downregulation of synovial matrix metalloproteases. J. Ethnopharmacol. 2018, 210, 209–222. [Google Scholar] [CrossRef] [PubMed]
- Kalyan, B.V.; Kothandam, H.; Palaniyappan, V.; Praveen, A.R. Hypoglycaemic Activity of Seed Extract of Clitoria ternatea Linn in Streptozotocin- Induced Diabetic Rats. Pharmacogn. J. 2011, 3, 45–47. [Google Scholar] [CrossRef]
- Phrueksanan, W.; Yibchok-anun, S.; Adisakwattana, S. Protection of Clitoria ternatea flower petal extract against free radical-induced hemolysis and oxidative damage in canine erythrocytes. Res. Vet. Sci. 2014, 97, 357–363. [Google Scholar] [CrossRef] [PubMed]
- Xi, L.; Mu, T.; Sun, H. Preparative purification of polyphenols from sweet potato (Ipomoea batatas L.) leaves by AB-8 macroporous resins. Food Chem. 2015, 172, 166–174. [Google Scholar] [CrossRef]
- Yi, J.; Wang, Z.; Bai, H.; Yu, X.; Jing, J.; Zuo, L. Optimization of Purification, Identification and Evaluation of the In Vitro Antitumor Activity of Polyphenols from Pinus Koraiensis Pinecones. Molecules 2015, 20, 10450–10467. [Google Scholar] [CrossRef] [PubMed]
- Wang, L.; Liu, S.; Zhang, X.; Xing, J.; Liu, Z.; Song, F. A strategy for identification and structural characterization of compounds from Gardenia jasminoides by integrating macroporous resin column chromatography and liquid chromatography-tandem mass spectrometry combined with ion-mobility spectrometry. J. Chromatogr. A 2016, 1452, 47–57. [Google Scholar] [CrossRef]
- Vedeanu, N.; Voica, C.; Magdas, D.A.; Kiss, B.; Stefan, M.-G.; Simedrea, R.; Georgiu, C.; Berce, C.; Vostinaru, O.; Boros, R.; et al. Subacute co-exposure to low doses of ruthenium(III) changes the distribution, excretion and biological effects of silver ions in rats. Environ. Chem. 2020, 17, 163–172. [Google Scholar] [CrossRef]
- Zhang, Q.; Jin, B.; Shi, Z.; Wang, X.; Liu, Q.; Lei, S.; Peng, R. Novel enterobactin analogues as potential therapeutic chelating agents: Synthesis, thermodynamic and antioxidant studies. Sci. Rep. 2016, 6, 34024. [Google Scholar] [CrossRef]
- Fan, W.; Qiao, J.; Guan, X. Multi-wavelength spectrophotometric determination of Cr(VI) in water with ABTS. Chemosphere 2017, 171, 460–467. [Google Scholar] [CrossRef]
- Wickens, A.P. Ageing and the free radical theory. Respir. Physiol. 2001, 128, 379–391. [Google Scholar] [CrossRef]
- Oudjedi, K.; Manso, S.; Nerin, C.; Hassissen, N.; Zaidi, F. New active antioxidant multilayer food packaging films containing Algerian Sage and Bay leaves extracts and their application for oxidative stability of fried potatoes. Food Control 2019, 98, 216–226. [Google Scholar] [CrossRef]
- Shen, Y.; Song, X.; Li, L.; Sun, J.; Jaiswal, Y.; Huang, J.; Liu, C.; Yang, W.; Williams, L.; Zhang, H.; et al. Protective effects of p-coumaric acid against oxidant and hyperlipidemia—An in vitro and in vivo evaluation. Biomed. Pharm. 2019, 111, 579–587. [Google Scholar] [CrossRef] [PubMed]
- Prada, A.L.; Keita, H.; de Souza, T.P.; Lima, E.S.; Acho, L.D.R.; da Silva, M.D.J.A.; Carvalho, J.C.T.; Amado, J.R.R. Cassia grandis Lf nanodispersion is a hypoglycemic product with a potent α-glucosidase and pancreatic lipase inhibitor effect. Saudi Pharm. J. 2019, 27, 191–199. [Google Scholar] [CrossRef] [PubMed]
- Berrout, J.; Dahlbeck, S.; Rotino, G.; Duyên, N.; Figueroa, J. Treatment with Herbal Mouthwash Mediates Improvement of Symptoms in Xerostomia and Oral Mucositis patients. J. Nutr. Biol. 2018, 4, 202–206. [Google Scholar] [CrossRef]
- Ghosh, S.; Collier, A. Management of diabetes. In Churchill’s Pocketbook of Diabetes; Churchill Livingstone: London, UK, 2012; pp. 83–125. [Google Scholar]
- Hu, J.; Wang, L.; Wang, F.; Chi, G.; Liu, G.; Sun, L. Molecular docking of polyoxometalates as potential alpha-glucosidase inhibitors. J. Inorg. Biochem. 2020, 203, 110914. [Google Scholar] [CrossRef]
- Musilek, K.; Korabecny, J.; Jun, D.; Kassa, J.; Kuca, K. Novel Cholinesterase Reactivators. In Handbook of Toxicology of Chemical Warfare Agents; Academic Press: Cambridge, MA, USA, 2015; pp. 1071–1087. [Google Scholar]
- Xu, Y.; Colletier, J.-P.; Weik, M.; Qin, G.; Jiang, H.; Silman, I.; Sussman, J.L. Long Route or Shortcut? A Molecular Dynamics Study of Traffic of Thiocholine within the Active-Site Gorge of Acetylcholinesterase. Biophys. J. 2010, 99, 4003–4011. [Google Scholar] [CrossRef]
- Moraga-Nicolás, F.; Jara, C.; Godoy, R.; Iturriaga-Vásquez, P.; Venthur, H.; Quiroz, A.; Becerra, J.; Mutis, A.; Hormazábal, E. Rhodolirium andicola: A new renewable source of alkaloids with acetylcholinesterase inhibitory activity, a study from nature to molecular docking. Rev. Bras. Farmacogn. 2018, 28, 34–43. [Google Scholar] [CrossRef]
- Irshad, M.; Ahmad, I.; Mehdi, S.J.; Goel, H.C.; Rizvi, M.M.A. Antioxidant Capacity and Phenolic Content of the Aqueous Extract of Commonly Consumed Cucurbits. Int. J. Food Prop. 2013, 17, 179–186. [Google Scholar] [CrossRef]
- Mosmann, T. Rapid colorimetric assay for cellular growth and survival: Application to proliferation and cytotoxicity assays. J. Immunol. Methods 1983, 65, 55–63. [Google Scholar] [CrossRef]
- Stockert, J.C.; Blazquez-Castro, A.; Canete, M.; Horobin, R.W.; Villanueva, A. MTT assay for cell viability: Intracellular localization of the formazan product is in lipid droplets. Acta Histochem. 2012, 114, 785–796. [Google Scholar] [CrossRef]
- Chen, X.; Liu, Z.; Meng, R.; Shi, C.; Guo, N. Antioxidative and anticancer properties of Licochalcone A from licorice. J. Ethnopharmacol. 2017, 198, 331–337. [Google Scholar] [CrossRef] [PubMed]
- Xiaoqiang, C.; Jianchun, X.; Wei, H.; Shengrong, S.; Zhengqi, W.; Long, W.; Qian, L. Comparative analysis of physicochemical characteristics of green tea polysaccharide conjugates and its decolored fraction and their effect on HepG2 cell proliferation. Ind. Crops Prod. 2019, 131, 243–249. [Google Scholar] [CrossRef]
- Yazan, L.S.; Foo, J.B.; Ghafar, S.A.A.; Chan, K.W.; Tahir, P.M.; Ismail, M. Effect of kenaf seed oil from different ways of extraction towards ovarian cancer cells. Food Bioprod. Process. 2011, 89, 328–332. [Google Scholar] [CrossRef]
- Irakli, M.; Chatzopoulou, P.; Ekateriniadou, L. Optimization of ultrasound-assisted extraction of phenolic compounds: Oleuropein, phenolic acids, phenolic alcohols and flavonoids from olive leaves and evaluation of its antioxidant activities. Ind. Crops Prod. 2018, 124, 382–388. [Google Scholar] [CrossRef]
- Lei, X.; Hu, W.-B.; Yang, Z.-W.; Hui, C.; Wang, N.; Liu, X.; Wang, W.-J. Enzymolysis-ultrasonic assisted extraction of flavanoid from Cyclocarya paliurus (Batal) Iljinskaja:HPLC profile, antimicrobial and antioxidant activity. Ind. Crops Prod. 2019, 130, 615–626. [Google Scholar]
- Karvela, E.; Makris, D.P.; Kalogeropoulos, N.; Karathanos, V.T. Deployment of response surface methodology to optimize recovery of grape (Vitis vinifera) stem and seed polyphenols. Procedia Food Sci. 2011, 1, 1686–1693. [Google Scholar] [CrossRef]
- Wang, X.; Li, C.; Liang, D.; Zou, Y.; Li, P.; Ma, F. Phenolic compounds and antioxidant activity in red-fleshed apples. J. Funct. Foods 2015, 18, 1086–1094. [Google Scholar] [CrossRef]
- Gawlik-Dziki, U.; Dziki, D.; Baraniak, B.; Lin, R. The effect of simulated digestion in vitro on bioactivity of wheat bread with Tartary buckwheat flavones addition. LWT Food Sci. Technol. 2009, 42, 137–143. [Google Scholar] [CrossRef]
- Chen, X.-Q.; Li, Z.-H.; Wang, Z.-J.; Liu, L.-L.; Sun, T.-T.; Ma, J.-Z.; Zhang, Y. Ultrasound-assisted extraction of total anthocyanins from Rubia sylvatica Nakai fruit and radical scavenging activity of the extract. Ind. Crops Prod. 2020, 150, 112420. [Google Scholar] [CrossRef]
- Yuan, Y.; Zhang, J.; Fan, J.; Clark, J.; Shen, P.; Li, Y.; Zhang, C. Microwave assisted extraction of phenolic compounds from four economic brown macroalgae species and evaluation of their antioxidant activities and inhibitory effects on alpha-amylase, alpha-glucosidase, pancreatic lipase and tyrosinase. Food Res. Int. 2018, 113, 288–297. [Google Scholar] [CrossRef]
- Sarikurkcu, C.; Jeszka-Skowron, M.; Ozer, M.S. Valeriana dioscoridis aerial parts’ extracts—A new source of phytochemicals with antioxidant and enzyme inhibitory activities. Ind. Crops Prod. 2020, 148, 112273. [Google Scholar] [CrossRef]
- Guo, T.; Wei, L.; Sun, J.; Hou, C.-L.; Fan, L. Antioxidant activities of extract and fractions from Tuber indicum Cooke & Massee. Food Chem. 2011, 127, 1634–1640. [Google Scholar]







| Phenolic Compounds | PCFCTL | PPCFCTL |
|---|---|---|
| Total phenolics (mg GAE/g) | 55.24 ± 0.68 a | 236.78 ± 0.35 b |
| Flavonoids (mg RE/g) | 33.48 ± 0.44 a | 171.22 ± 0.91 b |
| Flavonols (mg RE/g) | 52.96 ± 0.40 a | 197.83 ± 1.69 b |
| Flavanols (mg CE/g) | 0.43 ± 0.02 a | 1.48 ± 0.05 b |
| Phenolic acid (mg CAE/g) | 14.83 ± 0.23 a | 60.04 ± 1.17 b |
Publisher’s Note: MDPI stays neutral with regard to jurisdictional claims in published maps and institutional affiliations. |
© 2022 by the authors. Licensee MDPI, Basel, Switzerland. This article is an open access article distributed under the terms and conditions of the Creative Commons Attribution (CC BY) license (https://creativecommons.org/licenses/by/4.0/).
Share and Cite
Li, C.; Tang, W.; Chen, S.; He, J.; Li, X.; Zhu, X.; Li, H.; Peng, Y. Phytochemical Properties and In Vitro Biological Activities of Phenolic Compounds from Flower of Clitoria ternatea L. Molecules 2022, 27, 6336. https://doi.org/10.3390/molecules27196336
Li C, Tang W, Chen S, He J, Li X, Zhu X, Li H, Peng Y. Phytochemical Properties and In Vitro Biological Activities of Phenolic Compounds from Flower of Clitoria ternatea L. Molecules. 2022; 27(19):6336. https://doi.org/10.3390/molecules27196336
Chicago/Turabian StyleLi, Chao, Wei Tang, Shanglong Chen, Juping He, Xiaojing Li, Xucheng Zhu, Haimei Li, and Yao Peng. 2022. "Phytochemical Properties and In Vitro Biological Activities of Phenolic Compounds from Flower of Clitoria ternatea L." Molecules 27, no. 19: 6336. https://doi.org/10.3390/molecules27196336
APA StyleLi, C., Tang, W., Chen, S., He, J., Li, X., Zhu, X., Li, H., & Peng, Y. (2022). Phytochemical Properties and In Vitro Biological Activities of Phenolic Compounds from Flower of Clitoria ternatea L. Molecules, 27(19), 6336. https://doi.org/10.3390/molecules27196336

