Effects of Ultra-High Pressure on Endogenous Enzyme Activities, Protein Properties, and Quality Characteristics of Shrimp (Litopenaeus vannamei) during Iced Storage
Abstract
:1. Introduction
2. Materials and Methods
2.1. Sample Preparation and Ultra-High Pressure Treatment
2.2. Texture Analysis
2.3. Chromatic Characteristics Measurement
2.4. Extraction of Myofibrillar Protein
2.5. Surface Hydrophobicity
2.6. Myofibril Fragmentation Index
2.7. Trichloroacetic Acid-Soluble Peptides
2.8. Free Sulfhydryl and Disulfide Bond Content
2.9. Carbonyl Content
2.10. Dityrosine Content
2.11. Cathepsin B, D, H, and L Activities
2.12. Mitochondrial Membrane Permeability
2.13. Lysosomal Membrane Stability
2.14. Total Volatile Basic Nitrogen (TVB-N) and pH
2.15. Statistical Analysis
3. Results and Discussion
3.1. Changes in Quality Characteristics
3.2. Changes in Protein Properties
3.2.1. Protein Degradation
3.2.2. Protein Oxidation
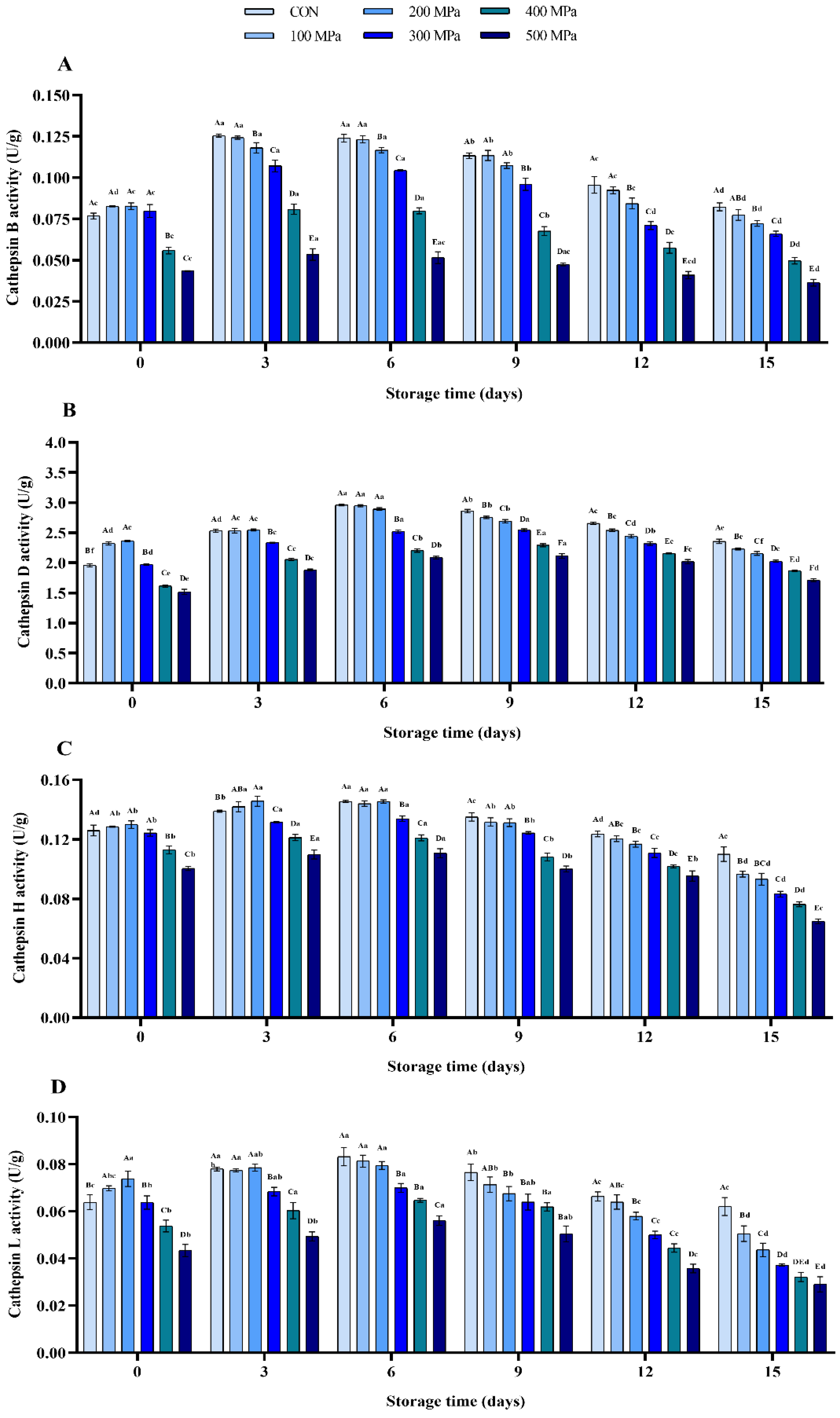
3.3. Changes in Endogenous Enzyme Activities
3.4. Changes in TVB-N and pH
4. Conclusions
Supplementary Materials
Author Contributions
Funding
Institutional Review Board Statement
Informed Consent Statement
Data Availability Statement
Conflicts of Interest
References
- Chen, L.H.; Jiao, D.X.; Liu, H.M.; Zhu, C.; Sun, Y.; Wu, J.S.; Zheng, M.Z.; Zhang, D.L. Effects of water distribution and protein degradation on the texture of high pressure-treated shrimp (Penaeus monodon) during chilled storage. Food Control 2022, 132, 108555. [Google Scholar] [CrossRef]
- Li, Y.; Lei, Y.; Tan, Y.; Zhang, J.; Hong, H.; Luo, Y. Efficacy of freeze-chilled storage combined with tea polyphenol for controlling melanosis, quality deterioration, and spoilage bacterial growth of Pacific white shrimp (Litopenaeus vannamei). Food Chem. 2022, 370, 130924. [Google Scholar] [CrossRef] [PubMed]
- Huang, J.Y.; Chen, Q.C.; Qiu, M.; Li, S.Q. Chitosan-based Edible Coatings for Quality Preservation of Postharvest Whiteleg Shrimp (Litopenaeus vannamei). J. Food Sci. 2012, 77, C491–C496. [Google Scholar] [CrossRef] [PubMed]
- Lin, W.L.; Yang, X.Q.; Wang, J.X.; Wei, Y.; Hou, C.L. Effect of Immersion Chilling and Freezing on Quality of Litopenaeus vannamei during Frozen Storage. Food Sci. 2014, 31, 183–189. [Google Scholar] [CrossRef]
- Manheem, K.; Benjakul, S.; Kijroongrojana, K.; Faithong, N.; Visessanguan, W. Effect of pre-cooking times on enzymes, properties, and melanosis of Pacific white shrimp during refrigerated storage. Int. Aquat. Res. 2013, 5, 1. [Google Scholar] [CrossRef]
- Jantakoson, T.; Kongkarn, K. Effect of high pressure and heat treatments on black tiger shrimp (Penaeus monodon Fabricius) muscle protein. Int. Aquat. Res. 2012, 4, 19. [Google Scholar] [CrossRef]
- Hendrickx, M.E.G.; Knorr, D. (Eds.) Ultra High Pressure Treatments of Foods; Springer: New York, NY, USA, 2001; ISBN 0-306-47278-3. [Google Scholar]
- Cheftel, J.C. Review: High-pressure, microbial inactivation and food preservation. Food Sci. Technol. Int. 1995, 1, 75–90. [Google Scholar] [CrossRef]
- Bindu, J.; Ginson, J.; Kamalakanth, C.K.; Asha, K.K.; Srinivasa Gopal, T.K. Physico-chemical changes in high pressure treated Indian white prawn (Fenneropenaeus indicus) during chill storage. Innov. Food Sci. Emerg. Technol. 2013, 17, 37–42. [Google Scholar] [CrossRef]
- Kaur, B.P.; Rao, P.S.; Nema, P.K. Effect of hydrostatic pressure and holding time on physicochemical quality and microbial inactivation kinetics of black tiger shrimp (Penaeus monodon). Innov. Food Sci. Emerg. Technol. 2016, 33, 47–55. [Google Scholar] [CrossRef]
- de Oliveira, F.A.; Neto, O.C.; dos Santos, L.M.R.; Ferreira, E.H.R.; Rosenthal, A. Effect of high pressure on fish meat quality—A review. Trends Food Sci. Technol. 2017, 66, 1–19. [Google Scholar] [CrossRef]
- Lin, C.S.; Lee, Y.C.; Kung, H.F.; Cheng, Q.L.; Ou, T.Y.; Chang, S.K.C.; Tsai, Y.H. Inactivation of microbial loads and retardation of quality loss in Asian hard clam (Meretrix lusoria) using high-hydrostatic-pressure processing during refrigerated storage. Food Control 2022, 133, 108583. [Google Scholar] [CrossRef]
- Liu, C.S.; Gu, Z.F.; Lin, X.X.; Wang, Y.Y.; Wang, A.M.; Sun, Y.; Shi, Y.H. Effects of high hydrostatic pressure (HHP) and storage temperature on bacterial counts, color change, fatty acids and non-volatile taste active compounds of oysters (Crassostrea ariakensis). Food Chem. 2022, 372, 131247. [Google Scholar] [CrossRef] [PubMed]
- Zhang, Y.F.; Bi, Y.G.; Wang, Q.; Cheng, K.W.; Chen, F. Application of high pressure processing to improve digestibility, reduce allergenicity, and avoid protein oxidation in cod (Gadus morhua). Food Chem. 2019, 298, 125087. [Google Scholar] [CrossRef] [PubMed]
- Kaur, B.P.; Rao, P.S. Kinetic modeling of polyphenoloxidase inactivation during thermal-assisted high pressure processing in black tiger shrimp (Penaeus monodon). Food Control 2017, 80, 388–394. [Google Scholar] [CrossRef]
- Fu, Q.; Liu, R.; Wang, H.; Hua, C.; Song, S.; Zhou, G.; Zhang, W. Effects of Oxidation in Vitro on Structures and Functions of Myofibrillar Protein from Beef Muscles. J. Agric. Food Chem. 2019, 67, 5866–5873. [Google Scholar] [CrossRef]
- Gornall, A.G.; Bardawill, C.J.; David, M. Determination of Serum Proteins by Means of the Biuret Reaction. J. Biol. Chem. 1949, 177, 751–766. [Google Scholar] [CrossRef]
- Olson, D.G.; Stromer, M. Myofibril fragmentation and shear resistance of three bovine muscles during postmortem storage. J. Food Sci. 1976, 41, 1036–1041. [Google Scholar] [CrossRef]
- Sriket, C.; Benjakul, S.; Visessanguan, W.; Hara, K.; Yoshida, A. Retardation of post-mortem changes of freshwater prawn (Macrobrachium rosenbergii) stored in ice by legume seed extracts. Food Chem. 2012, 135, 571–579. [Google Scholar] [CrossRef]
- Guyon, C.; Meynier, A.; Lamballerie, M.D. Protein and lipid oxidation in meat: A review with emphasis on high-pressure treatments. Trends Food Sci. Technol. 2016, 50, 131–143. [Google Scholar] [CrossRef]
- Davies, K. Protein damage and degradation by oxygen radicals. I. general aspects. J. Biol. Chem. 1987, 262, 9895–9901. [Google Scholar] [CrossRef]
- Hultmann, L.; Phu, T.M.; Tobiassen, T.; Aas-Hansen, O.; Rustad, T. Effects of pre-slaughter stress on proteolytic enzyme activities and muscle quality of farmed Atlantic cod (Gadus morhua). Food Chem. 2012, 134, 1399–1408. [Google Scholar] [CrossRef] [PubMed]
- Hagen, Ø.; Solberg, C.; Johnston, I.A. Activity of aspargate (cathepsin D), cysteine proteases (cathepsins B, B + L, and H), and matrix metallopeptidase (collagenase) and their influence on protein and water-holding capacity of muscle in commercially farmed atlantic halibut (Hippoglossus hippog). J. Agric. Food Chem. 2008, 56, 5953. [Google Scholar] [CrossRef] [PubMed]
- Tang, Z.; Iqbal, M.; Cawthon, D.; Bottje, W.G. Heart and breast muscle mitochondrial dysfunction in pulmonary hypertension syndrome in broilers (Gallus domesticus). Comp. Biochem. Physiol. Part A Mol. Integr. Physiol. 2002, 132, 527–540. [Google Scholar] [CrossRef]
- Krumschnabel, G.; Manzl, C.; Berger, C.; Hofer, B. Oxidative stress, mitochondrial permeability transition, and cell death in Cu-exposed trout hepatocytes. Toxicol. Appl. Pharmacol. 2005, 209, 62–73. [Google Scholar] [CrossRef]
- Kruk, Z.A.; Yun, H.; Rutley, D.L.; Lee, E.J.; Yun, J.K.; Jo, C. The effect of high pressure on microbial population, meat quality and sensory characteristics of chicken breast fillet. Food Control 2011, 22, 6–12. [Google Scholar] [CrossRef]
- Mcardle, R.; Marcos, B.; Kerry, J.P.; Mullen, A. Monitoring the effects of high pressure processing and temperature on selected beef quality attributes. Meat Sci. 2010, 86, 629–634. [Google Scholar] [CrossRef] [PubMed]
- Rodriguez-Amaya, D.B. Nature and distribution of carotenoids in foods. Dev. Food Sci. 1993, 33, 547–589. [Google Scholar]
- Huss, H.H.E. Quality and Quality Changes in Fresh Fish; FAO: Rome, Italy, 1995; Volume 348. [Google Scholar]
- Ubersax, J.A.; Ferrell, J.E. Mechanisms of specificity in protein phosphorylation. Nat. Rev. Mol. Cell Biol. 2007, 8, 530–541. [Google Scholar] [CrossRef]
- Kung, H.F.; Lin, C.S.; Liu, S.S.; Huang, C.Y.; Chiu, K.S.; Lee, Y.C.; Tsai, Y.H. High pressure processing extend the shelf life of milkfish flesh during refrigerated storage. Food Control 2022, 134, 108768. [Google Scholar] [CrossRef]
- Chelh, I.; Gatellier, P.; Véronique, S.L. Technical note: A simplified procedure for myofibril hydrophobicity determination. Meat Sci. 2006, 74, 681–683. [Google Scholar] [CrossRef]
- Davey, C.L.; Gilbert, K.V. Studies in Meat Tenderness. 7. Changes in the Fine Structure of Meat During Aging. J. Food Sci. 2010, 34, 69–74. [Google Scholar] [CrossRef]
- Benjakul, S.; Seymour, T.A.; Morrissey, M.T.; An, H. Physiochemical changes in pacific whiting muscle proteins during iced storage. J. Food Sci. 1997, 62, 729–733. [Google Scholar] [CrossRef]
- Xiong, Y.L.; Blanchard, S.P.; Ooizumi, T.; Ma, Y. Hydroxyl Radical and Ferryl-Generating Systems Promote Gel Network Formation of Myofibrillar Protein. J. Food Sci. 2010, 75, C215–C221. [Google Scholar] [CrossRef] [PubMed]
- Hsu, K.C.; Hwang, J.S.; Yu, C.C.; Jao, C.L. Changes in conformation and in sulfhydryl groups of actomyosin of tilapia (Orechromis niloticus) on hydrostatic pressure treatment. Food Chem. 2007, 103, 560–564. [Google Scholar] [CrossRef]
- Mozhaev, V.V.; Heremans, K.; Frank, J.; Masson, P.; Balny, C. High pressure effects on protein structure and function. Proteins Struct. Funct. Bioinform. 1996, 24, 81–91. [Google Scholar] [CrossRef]
- Zeng, X.Y.; Jiao, D.X.; Yu, X.N.; Chen, L.H.; Sun, Y.; Guo, A.R.; Zhu, C.; Wu, J.S.; Liu, J.S.; Liu, H.M. Effect of ultra-high pressure on the relationship between endogenous proteases and protein degradation of Yesso scallop (Mizuhopecten yessoensis) adductor muscle during iced storage. Food Chem. X 2022, 15, 100438. [Google Scholar] [CrossRef]
- Baron, C.P.; Kjrsgrd, I.V.H.; Jessen, F.; Jacobsen, C. Protein and Lipid Oxidation during Frozen Storage of Rainbow Trout (Oncorhynchus mykiss). J. Agric. Food. Chem. 2007, 55, 8118–8125. [Google Scholar] [CrossRef]
- Lund, M.N.; Heinonen, M.; Baron, C.P.; Estévez, M. Protein oxidation in muscle foods: A review. Mol. Nutr. Food Res. 2011, 55, 83–95. [Google Scholar] [CrossRef]
- Rode, T.M.; Hovda, M.B.; Rotabakk, B.T. Favourable effects of soluble gas stabilisation and modified atmosphere for supressing regrowth of high pressure treated Listeria innocua. Food Control 2015, 51, 108–113. [Google Scholar] [CrossRef]
- Yi, J.; Jiang, B.; Zhang, Z.; Liao, X.; Hu, X. Effect of Ultrahigh Hydrostatic Pressure on the Activity and Structure of Mushroom (Agaricus bisporus) Polyphenoloxidase. J. Agric. Food Chem. 2012, 60, 593. [Google Scholar] [CrossRef]
- Yu, P.P.; Yan, C.Z.; Yang, F.; Xu, Y.S.; Jiang, Q.X.; Xia, W.S. Effect of high pressure processing on the quality and endogenous enzyme activities of grass carp (Ctenopharyngodon idellus) fillets stored at 4 °C. J. Aquat. Food Prod. Technol. 2018, 27, 1093–1105. [Google Scholar] [CrossRef]
- Parsons, M.J.; Green, D.R. Mitochondria in cell death. Essays Biochem. 2010, 47, 99. [Google Scholar] [CrossRef] [PubMed]
- Rasola, A.; Bernardi, P. Mitochondrial permeability transition in Ca2+-dependent apoptosis and necrosis. Cell Calcium 2011, 50, 222–223. [Google Scholar] [CrossRef] [PubMed]
- Wang, P.A.; Vang, B.; Pedersen, A.M.; Martinez, I.; Olsen, R.L. Post-mortem degradation of myosin heavy chain in intact fish muscle: Effects of pH and enzyme inhibitors. Food Chem. 2010, 124, 1090–1095. [Google Scholar] [CrossRef]
- Luzio, J.P.; Pryor, P.R.; Bright, N.A. Lysosomes: Fusion and function. Nat. Rev. Mol. Cell Biol. 2007, 8, 622–632. [Google Scholar] [CrossRef]
- Iftikar, F.I.; Hickey, A.J.R. Do Mitochondria Limit Hot Fish Hearts? Understanding the Role of Mitochondrial Function with Heat Stress in Notolabrus celidotus. PLoS ONE 2013, 8, e64120. [Google Scholar] [CrossRef]
- Ramirez-Suarez, J.C.; Morrissey, M.T. Effect of high pressure processing (HPP) on shelf life of albacore tuna (Thunnus alalunga) minced muscle. Innov. Food Sci. Emerg. Technol. 2006, 7, 19–27. [Google Scholar] [CrossRef]
- Liu, X.C.; Huang, Z.; Jia, S.L.; Zhang, J.B.; Li, K.F.; Luo, Y.K. The roles of bacteria in the biochemical changes of chill-stored bighead carp (Aristichthys nobilis): Proteins degradation, biogenic amines accumulation, volatiles production, and nucleotides catabolism. Food Chem. 2018, 255, 174. [Google Scholar] [CrossRef]
- Kaur, B.P.; Kaushik, N.; Rao, P.S.; Chauhan, O.P. Effect of high-pressure processing on physical, biochemical, and microbiological characteristics of black tiger shrimp (Penaeus monodon). Food Bioprocess Technol. 2013, 6, 1390–1400. [Google Scholar] [CrossRef]





| Pressure Treatment | Storage Time (days) | ||||||
|---|---|---|---|---|---|---|---|
| 0 | 3 | 6 | 9 | 12 | 15 | ||
| L* | Control | 40.7 ± 2.49 Ec | 45.48 ± 1.19 Fb | 46.95 ± 2.64 Dab | 50.44 ± 0.46 Ea | 50.42 ± 2.09 Ba | 47.22 ± 0.96 Eab |
| 100 MPa | 46.09 ± 1.14 Db | 49.38 ± 2.89 EFb | 49.22 ± 0.93 CDab | 53.03 ± 0.14 DEa | 51.97 ± 1.24 BCa | 52.26 ± 0.19 Da | |
| 200 MPa | 50.08 ± 1.16 CDd | 50.43 ± 2.31 DEcd | 53.72 ± 1.79 BCabcd | 53.1 ± 0.22 CDEbcd | 56.16 ± 0.53 Bab | 58.28 ± 2.52 Ca | |
| 300 MPa | 51.56 ± 1.58 Ce | 54.95 ± 3.38 CDcde | 54.24 ± 2.43 Bde | 64.58 ± 1.42 Ba | 56.44 ± 1.28 Bbcd | 63.81 ± 1.14 Ba | |
| 400 MPa | 65.84 ± 2.56 Bde | 65.11 ± 3.95 Bcde | 68.24 ± 3.54 Acde | 75.42 ± 3.39 Aa | 69.04 ± 0.96 Abcde | 71.64 ± 1.6 Aabcd | |
| 500 MPa | 79.64 ± 2.99 Aa | 74.32 ± 0.6 Abcd | 72.56 ± 1.18 Acd | 77.67 ± 0.95 Aab | 71.82 ± 1.67 Ad | 75.18 ± 1.15 Aabcd | |
| a* | Control | 1.19 ± 0.29 BCab | −0.03 ± 0.16 Cbcde | −0.34 ± 0.88 Bde | −0.87 ± 0.61 Cde | 1.89 ± 0.23 Aa | −0.31 ± 0.23 BCcde |
| 100 MPa | 0.03 ± 0.2 Cab | 0.26 ± 0.24 BCa | −0.47 ± 0.56 Babc | −1.21 ± 0.5 CDbc | 0.74 ± 0.75 Aa | −1.39 ± 0.99 Cc | |
| 200 MPa | 0.27 ± 0.29 Cabcd | 0.15 ± 0.38 BCbcd | 0.63 ± 0.96 Babc | 0.08 ± 0.31 ACcd | 1.54 ± 0.43 Aa | −0.96 ± 0.47 Cd | |
| 300 MPa | 2.26 ± 0.51 Aba | 2.24 ± 0.53 Aa | 0.69 ± 0.66 Bbcd | −0.2 ± 0.14 ACd | 0.75 ± 0.35 Abcd | 0.6 ± 0.56 ABcd | |
| 400 MPa | 2.66 ± 0.82 Aa | 2.84 ± 0.77 Aa | 2.48 ± 0.42 Aa | −0.4 ± 0.21 Bb | 1.71 ± 0.24 Aa | 1.91 ± 0.56 Aa | |
| 500 MPa | −2.67 ± 0.17 Da | −2.75 ± 0.44 Da | −2.14 ± 0.78 Ca | −2.41 ± 0.62 Da | −2.14 ± 1.04 Ba | −2.98 ± 0.23 Da | |
| b* | Control | −1.17 ± 0.8 CDEabc | −0.91 ± 0.83 DEabc | −0.39 ± 1.59 CDEabc | −3.09 ± 0.12 Dc | 0.67 ± 1.76 BCDa | −3 ± 1.03 Cbc |
| 100 MPa | −2.37 ± 0.37 DEab | 0.05 ± 1.92 BCDEa | −1.6 ± 2.08 Eab | −2.74 ± 1.35 CDab | −1.61 ± 1.42 Dab | −3.93 ± 0.6 Cb | |
| 200 MPa | −2.56 ± 0.85 Ea | −0.96 ± 0.95 Ea | −0.12 ± 1.89 BCDEa | −1.58 ± 0.82 CDa | −0.76 ± 1.23 CDa | −2.6 ± 0.87 BCa | |
| 300 MPa | 2.43 ± 0.53 ABabc | 2.07 ± 0.58 ABabc | 1.91 ± 1.14 BCDabc | 1.35 ± 0.81 ABbc | 4.46 ± 1.5 Aa | 0.08 ± 0.08 ABc | |
| 400 MPa | 4.76 ± 1.63 Aabc | 4.46 ± 0.95 Aabc | 7.1 ± 1.65 Aa | 4.05 ± 0.61 Abc | 4.73 ± 1.48 Aabc | 2.89 ± 1.06 Ac | |
| 500 MPa | 0.44 ± 1.33 BCDa | −0.01 ± 1.46 CDEa | −0.63 ± 1 DEa | −0.81 ± 1.54 BCDa | −1.29 ± 1.02 CDa | −0.12 ± 0.31 Ba | |
| W | Control | 40.68 ± 2.5 Ec | 45.47 ± 1.19 Eb | 46.92 ± 2.63 Eab | 50.34 ± 0.47 Ca | 50.36 ± 2.1 Ca | 47.13 ± 0.95 Eab |
| 100 MPa | 46.04 ± 1.13 Db | 49.36 ± 2.87 DEab | 49.16 ± 0.87 DEab | 52.92 ± 0.11 Ca | 51.92 ± 1.29 BCa | 52.07 ± 0.19 Da | |
| 200 MPa | 50.01 ± 1.19 CDc | 50.41 ± 2.32 CDc | 53.68 ± 1.81 CDabc | 53.07 ± 0.2 Cbc | 56.11 ± 0.54 Bab | 58.18 ± 2.57 Ca | |
| 300 MPa | 51.44 ± 1.57 Cc | 54.84 ± 3.34 Cbc | 54.18 ± 2.4 Cbc | 64.55 ± 1.44 Ba | 56.19 ± 1.33 Bb | 63.8 ± 1.14 Ba | |
| 400 MPa | 65.36 ± 2.28 Bc | 64.68 ± 3.75 Bc | 67.31 ± 3.14 Bbc | 75.09 ± 3.44 Aa | 68.61 ± 0.98 Abc | 71.41 ± 1.58 Aab | |
| 500 MPa | 79.42 ± 2.89 Aa | 74.14 ± 0.64 Abc | 72.45 ± 1.24 Ac | 77.49 ± 1.02 Aab | 71.69 ± 1.76 Ac | 75 ± 1.13 Aabc | |
| ΔE | Control | − | − | − | − | − | − |
| 100 MPa | 5.69 ± 1.77 Da | 4.09 ± 1.9 Da | 3.79 ± 1.27 CDa | 2.88 ± 0.36 Ca | 3.36 ± 2.34 BCa | 5.47 ± 0.56 Da | |
| 200 MPa | 9.43 ± 1.39 CDab | 5.07 ± 1.03 Dc | 7.13 ± 0.55 BCbc | 3.35 ± 0.53 Cc | 6.09 ± 2.02 Bbc | 11.15 ± 1.67 Ca | |
| 300 MPa | 11.52 ± 0.83 Cbc | 10.25 ± 2.17 Ccd | 7.79 ± 0.68 Bcd | 14.87 ± 0.68 Bab | 7.23 ± 0.75 Bd | 16.91 ± 1.16 Ba | |
| 400 MPa | 25.93 ± 1.96 Ba | 20.57 ± 3.43 Bb | 22.81 ± 1.33 Aab | 26.02 ± 3.6 Aa | 19.25 ± 1.24 Ab | 25.27 ± 1.18 Aa | |
| 500 MPa | 39.2 ± 3.19 Aa | 28.99 ± 1.16 Ab | 25.78 ± 1.76 Abc | 27.41 ± 0.86 Ab | 21.97 ± 1.2 Ac | 28.24 ± 0.21 Ab | |
Publisher’s Note: MDPI stays neutral with regard to jurisdictional claims in published maps and institutional affiliations. |
© 2022 by the authors. Licensee MDPI, Basel, Switzerland. This article is an open access article distributed under the terms and conditions of the Creative Commons Attribution (CC BY) license (https://creativecommons.org/licenses/by/4.0/).
Share and Cite
Zhu, C.; Jiao, D.; Sun, Y.; Chen, L.; Meng, S.; Yu, X.; Zheng, M.; Liu, M.; Liu, J.; Liu, H. Effects of Ultra-High Pressure on Endogenous Enzyme Activities, Protein Properties, and Quality Characteristics of Shrimp (Litopenaeus vannamei) during Iced Storage. Molecules 2022, 27, 6302. https://doi.org/10.3390/molecules27196302
Zhu C, Jiao D, Sun Y, Chen L, Meng S, Yu X, Zheng M, Liu M, Liu J, Liu H. Effects of Ultra-High Pressure on Endogenous Enzyme Activities, Protein Properties, and Quality Characteristics of Shrimp (Litopenaeus vannamei) during Iced Storage. Molecules. 2022; 27(19):6302. https://doi.org/10.3390/molecules27196302
Chicago/Turabian StyleZhu, Chen, Dexin Jiao, Ying Sun, Lihang Chen, Siyu Meng, Xiaona Yu, Mingzhu Zheng, Meihong Liu, Jingsheng Liu, and Huimin Liu. 2022. "Effects of Ultra-High Pressure on Endogenous Enzyme Activities, Protein Properties, and Quality Characteristics of Shrimp (Litopenaeus vannamei) during Iced Storage" Molecules 27, no. 19: 6302. https://doi.org/10.3390/molecules27196302
APA StyleZhu, C., Jiao, D., Sun, Y., Chen, L., Meng, S., Yu, X., Zheng, M., Liu, M., Liu, J., & Liu, H. (2022). Effects of Ultra-High Pressure on Endogenous Enzyme Activities, Protein Properties, and Quality Characteristics of Shrimp (Litopenaeus vannamei) during Iced Storage. Molecules, 27(19), 6302. https://doi.org/10.3390/molecules27196302
