Role of Sulfur Compounds in Vegetable and Mushroom Aroma
Abstract
1. Introduction
2. Precursors of Volatile Sulfur Compounds
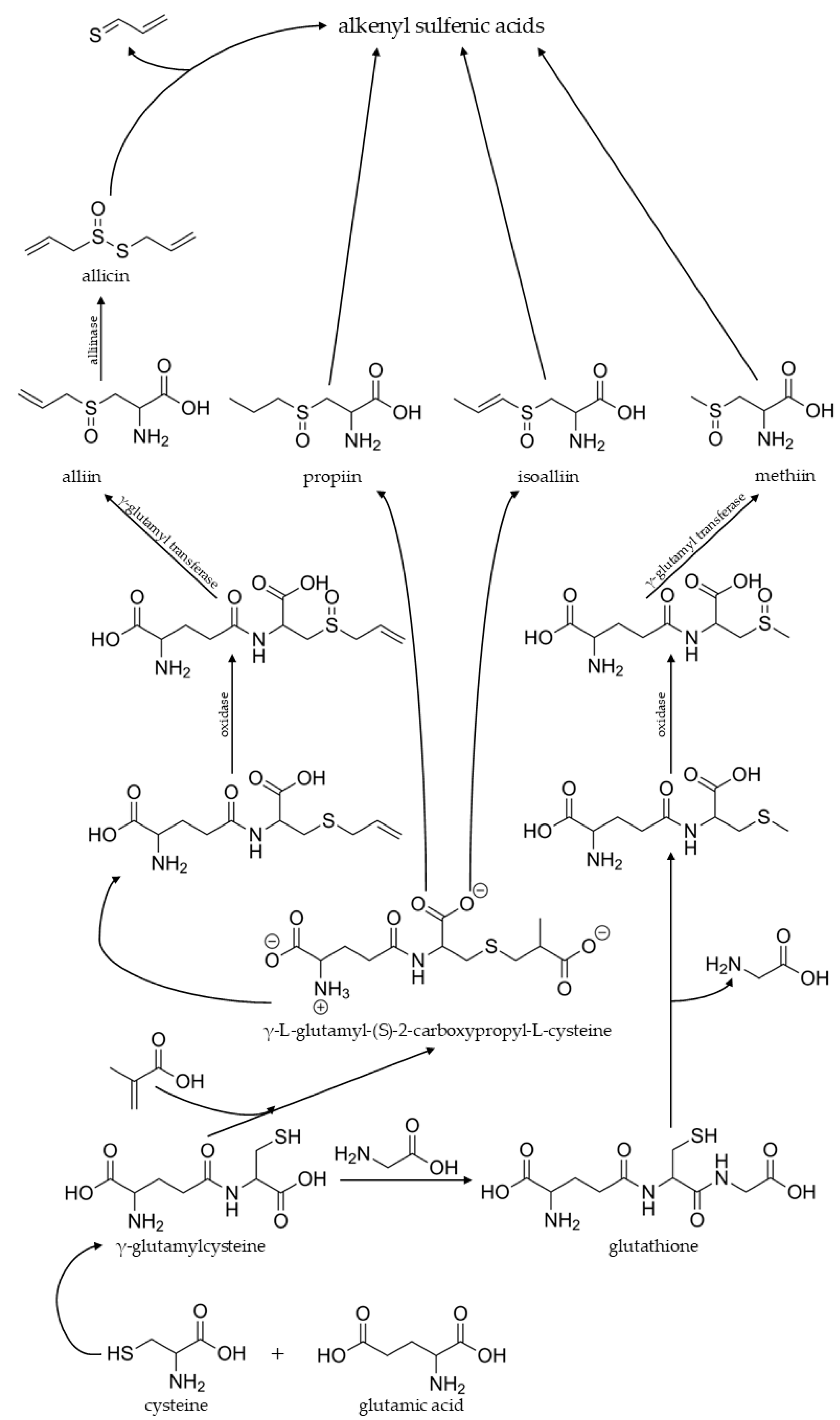
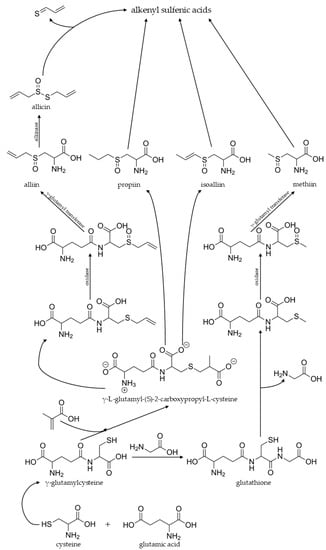
2.1. Amino Acids
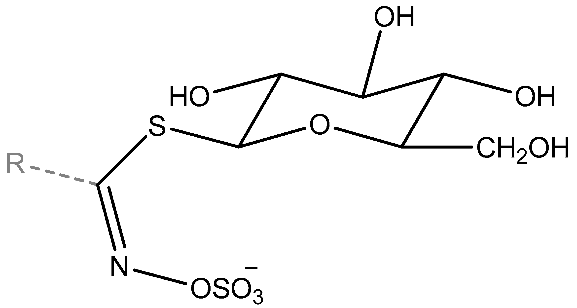
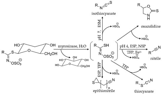
2.2. Glucosinolates
| Name | Structure of Side Chain | Systematic Name | Type of Glucosinolate |
|---|---|---|---|
| Glucobrassicin | ![]() | 3-indolylmethyl glucosinolate | Indole |
| Glucotropeolin | ![]() | benzyl glucosinolate | Aromatic |
| Glucoraphanin | ![]() | 4-methylsulfinylbutyl glucosinolate | Aliphatic |
| Progoitrin | ![]() | 2(R)-2-hydroxy-3-butenyl glucosinolate | Aliphatic |
| Sinigrin | ![]() | allyl glucosinolate | Aliphatic |
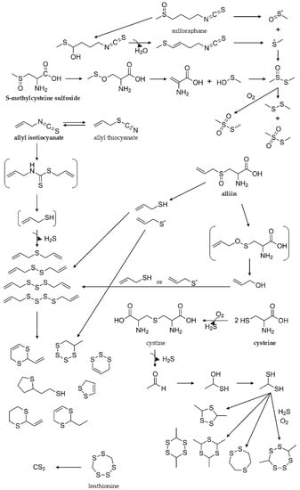
3. Biosynthesis of Sulfur Volatiles in Vegetables

4. Main Groups of Volatile Sulfur Compounds
4.1. Isothiocyanates
4.2. Nitriles and Epitionitriles
4.3. Sulfides and Polysulfides
4.4. Thiols and Miscellaneous Sulfur Compounds
5. Sulfur Compounds as Key Odorants in Vegetables
6. Influence of Vegetable Processing on Sulfur Compounds
6.1. Drying
6.2. Blanching
6.3. Cooking
6.4. Steaming
6.5. Frying
6.6. Freezing
6.7. Fermentation
7. Conclusions and Perspective
Supplementary Materials
Author Contributions
Funding
Institutional Review Board Statement
Informed Consent Statement
Data Availability Statement
Conflicts of Interest
References
- Prasad, R. Major Sulphur Compounds in Plants and their Role in Human Nutrition and Health—An Overview. Proc. Indian Natl. Sci. Acad. 2014, 80, 1045–1054. [Google Scholar] [CrossRef]
- Albuquerque, T.G.; Nunes, M.A.; Bessada, S.M.F.; Costa, H.S.; Oliveira, M.B.P.P. 14—Biologically active and health promoting food components of nuts, oilseeds, fruits, vegetables, cereals, and legumes. In Chemical Analysis of Food, 2nd ed.; Pico, Y., Ed.; Academic Press: Cambridge, MA, USA, 2020; pp. 609–656. ISBN 978-0-12-813266-1. [Google Scholar]
- Shashirekha, M.N.; Se, M.; Rajarathnam, S. Status of Bioactive Compounds in Foods, with Focus on Fruits and Vegetables. Crit. Rev. Food Sci. Nutr. 2013, 55, 1324–1339. [Google Scholar] [CrossRef]
- Barba, F.J.; Orlien, V. Processing, bioaccessibility and bioavailability of bioactive sulfur compounds: Facts and gaps. J. Food Compos. Anal. 2017, 61, 1–3. [Google Scholar] [CrossRef]
- Bohinc, T.; Goreta Ban, S.; Ban, D.; Trdan, S. Glucosinolates in plant protection strategies: A review. Arch. Biol. Sci. 2012, 64, 821–828. [Google Scholar] [CrossRef]
- Hanschen, F.S.; Lamy, E.; Schreiner, M.; Rohn, S. Reactivity and stability of glucosinolates and their breakdown products in foods. Angew. Chem. Int. Ed. Engl. 2014, 53, 11430–11450. [Google Scholar] [CrossRef]
- Splivallo, R.; Ebeler, S.E. Sulfur volatiles of microbial origin are key contributors to human-sensed truffle aroma. Appl. Microbiol. Biotechnol. 2015, 99, 2583–2592. [Google Scholar] [CrossRef]
- Luo, D.; Wu, J.; Ma, Z.; Tang, P.; Liao, X.; Lao, F. Production of high sensory quality Shiitake mushroom (Lentinus edodes) by pulsed air-impingement jet drying (AID) technique. Food Chem. 2021, 341, 128290. [Google Scholar] [CrossRef]
- Dai, X.; Stanilka, J.M.; Rowe, C.A.; Esteves, E.A.; Nieves, C.; Spaiser, S.J.; Christman, M.C.; Langkamp-Henken, B.; Percival, S.S. Consuming Lentinula edodes (Shiitake) Mushrooms Daily Improves Human Immunity: A Randomized Dietary Intervention in Healthy Young Adults. J. Am. Coll. Nutr. 2015, 34, 478–487. [Google Scholar] [CrossRef]
- Patel, S.; Rauf, A.; Khan, H.; Khalid, S.; Mubarak, M.S. Potential health benefits of natural products derived from truffles: A review. Trends Food Sci. Technol. 2017, 70, 1–8. [Google Scholar] [CrossRef]
- Shankaranarayana, M.L.; Raghavan, B.; Abraham, K.O.; Natarajan, C.P.; Brodnitz, H.H. Volatile sulfur compounds in food flavors. C R C Crit. Rev. Food Technol. 1974, 4, 395–435. [Google Scholar] [CrossRef]
- Demirkol, O.; Adams, C.; Ercal, N. Biologically important thiols in various vegetables and fruits. J. Agric. Food Chem. 2004, 52, 8151–8154. [Google Scholar] [CrossRef] [PubMed]
- Ganesan, B.; Weimer, B.C.; Qian, M.C.; Burbank, H.M. Compounds associated with cheese flavor. In Improving the Flavour of Cheese; Woodhead Publishing Ltd.: Sawston, UK, 2007; pp. 26–51. [Google Scholar] [CrossRef]
- Surur, A.S.; Schulig, L.; Link, A. Interconnection of sulfides and sulfoxides in medicinal chemistry. Arch. Pharm. 2019, 352, 1800248. [Google Scholar] [CrossRef]
- Parker, J.K. 1—Introduction to aroma compounds in foods. In Flavour Development, Analysis and Perception in Food and Beverages; Woodhead Publishing Series in Food Science, Technology and Nutrition; Parker, J.K., Elmore, J.S., Methven, L., Eds.; Woodhead Publishing: Sawston, UK, 2015; pp. 3–30. ISBN 978-1-78242-103-0. [Google Scholar]
- Jayasena, D.D.; Ahn, D.U.; Nam, K.C.; Jo, C. Flavour chemistry of chicken meat: A review. Asian-Australas. J. Anim. Sci. 2013, 26, 732–742. [Google Scholar] [CrossRef]
- Nursten, H.E. The Maillard reaction: Chemistry, Biochemistry, and Implications 2005; Royal Society of Chemistry (Great Britain), Ed.; Royal Society of Chemistry: London, UK.
- Borlinghaus, J.; Foerster, J.; Kappler, U.; Antelmann, H.; Noll, U.; Gruhlke, M.C.H.; Slusarenko, A.J. Allicin, the odor of freshly crushed garlic: A review of recent progress in understanding allicin’s effects on cells. Molecules 2021, 26, 1505. [Google Scholar] [CrossRef]
- Iranshahi, M. A review of volatile sulfur-containing compounds from terrestrial plants: Biosynthesis, distribution and analytical methods. J. Essent. Oil Res. 2012, 24, 393–434. [Google Scholar] [CrossRef]
- Adams, A.; Kimpe, N. De Maillard Flavor Compounds. Chem. Rev. 2006, 106, 2299–2319. [Google Scholar] [CrossRef]
- Meng, Q.; Hatakeyama, M.; Sugawara, E. Formation by yeast of 2-furanmethanethiol and ethyl 2-mercaptopropionate aroma compounds in Japanese soy sauce. Biosci. Biotechnol. Biochem. 2014, 78, 109–114. [Google Scholar] [CrossRef]
- Flaig, M.; Qi, S.; Wei, G.; Yang, X.; Schieberle, P. Characterization of the Key Odorants in a High-Grade Chinese Green Tea Beverage (Camellia sinensis; Jingshan cha) by Means of the Sensomics Approach and Elucidation of Odorant Changes in Tea Leaves Caused by the Tea Manufacturing Process. J. Agric. Food Chem. 2020, 68, 5168–5179. [Google Scholar] [CrossRef]
- Czerny, M.; Christlbauer, M.; Christlbauer, M.; Fischer, A.; Granvogl, M.; Hammer, M.; Hartl, C.; Hernandez, N.M.; Schieberle, P. Re-investigation on odour thresholds of key food aroma compounds and development of an aroma language based on odour qualities of defined aqueous odorant solutions. Eur. Food Res. Technol. 2008, 228, 265–273. [Google Scholar] [CrossRef]
- Abe, K.; Hori, Y.; Myoda, T. Characterization of key aroma compounds in aged garlic extract. Food Chem. 2020, 312, 126081. [Google Scholar] [CrossRef]
- Li, J.X.; Schieberle, P.; Steinhaus, M. Insights into the key compounds of durian (Durio zibethinus L. ’Monthong’) pulp odor by odorant quantitation and aroma simulation experiments. J. Agric. Food Chem. 2017, 65, 639–647. [Google Scholar] [CrossRef] [PubMed]
- Kreissl, J.; Mall, V.; Steinhaus, P.; Steinhaus, M. Leibniz-LSB@TUM Odorant Database, Version 1.0; Leibniz-Institute for Food Systems Biology at the Technical University of Munich: Freising, Germany; Available online: https://www.leibniz-lsb.de/en/databases/leibniz-lsbtum-odorant-database (accessed on 18 May 2021).
- McGorrin, R.J. The Significance of Volatile Sulfur Compounds in Food Flavors. In Volatile Sulfur Compounds in Food; ACS Symposium Series; American Chemical Society: Washington, DC, USA, 2011; Volume 1068, pp. 1–3. ISBN 9780841226166. [Google Scholar]
- Available online: www.leffingwell.com/bacis1htm (accessed on 13 September 2022).
- Martínez, Y.; Li, X.; Liu, G.; Bin, P.; Yan, W.; Más, D.; Valdivié, M.; Hu, C.-A.A.; Ren, W.; Yin, Y. The role of methionine on metabolism, oxidative stress, and diseases. Amino Acids 2017, 49, 2091–2098. [Google Scholar] [CrossRef]
- Górska-Warsewicz, H.; Laskowski, W.; Kulykovets, O.; Kudlińska-Chylak, A.; Czeczotko, M.; Rejman, K. Food Products as Sources of Protein and Amino Acids-The Case of Poland. Nutrients 2018, 10, 1977. [Google Scholar] [CrossRef] [PubMed]
- Lieu, E.L.; Nguyen, T.; Rhyne, S.; Kim, J. Amino acids in cancer. Exp. Mol. Med. 2020, 52, 15–30. [Google Scholar] [CrossRef] [PubMed]
- Luisi, G.; Stefanucci, A.; Zengin, G.; Dimmito, M.P.; Mollica, A. Anti-Oxidant and Tyrosinase Inhibitory In Vitro Activity of Amino Acids and Small Peptides: New Hints for the Multifaceted Treatment of Neurologic and Metabolic Disfunctions. Antioxidants 2018, 8, 7. [Google Scholar] [CrossRef]
- Bin, P.; Huang, R.; Zhou, X. Oxidation Resistance of the Sulfur Amino Acids: Methionine and Cysteine. Biomed Res. Int. 2017, 2017, 9584932. [Google Scholar] [CrossRef]
- Shekari, G.; Javanmardi, J. Application of Cysteine, Methionine and Amino Acid Containing Fertilizers to Replace Urea: The Effects on Yield and Quality of Broccoli. Adv. Crop Sci. Technol. 2017, 5, 283. [Google Scholar] [CrossRef]
- Doleman, J.F.; Grisar, K.; Van Liedekerke, L.; Saha, S.; Roe, M.; Tapp, H.S.; Mithen, R.F. The contribution of alliaceous and cruciferous vegetables to dietary sulphur intake. Food Chem. 2017, 234, 38–45. [Google Scholar] [CrossRef]
- Halkier, B.A.; Du, L. The biosynthesis of glucosinolates. Trends Plant Sci. 1997, 2, 425–431. [Google Scholar] [CrossRef]
- Augustine, R.; Bisht, N.C. Regulation of Glucosinolate Metabolism: From Model Plant Arabidopsis thaliana to Brassica Crops BT—Glucosinolates; Mérillon, J.-M., Ramawat, K.G., Eds.; Springer International Publishing: Cham, Switzerland, 2017; pp. 163–199. ISBN 978-3-319-25462-3. [Google Scholar]
- Chhajed, S.; Mostafa, I.; He, Y.; Abou-Hashem, M.; El-Domiaty, M.; Chen, S. Glucosinolate Biosynthesis and the Glucosinolate–Myrosinase System in Plant Defense. Agronomy 2020, 10, 1786. [Google Scholar] [CrossRef]
- Al-Gendy, A.; Nematallah, K.; Zaghloul, S.; Ayoub, N. Glucosinolates profile, volatile constituents, antimicrobial, and cytotoxic activities of Lobularia libyca. Pharm. Biol. 2016, 54, 3257–3263. [Google Scholar] [CrossRef] [PubMed]
- Westphal, A.; Riedl, K.M.; Cooperstone, J.L.; Kamat, S.; Balasubramaniam, V.M.; Schwartz, S.J.; Böhm, V. High-Pressure Processing of Broccoli Sprouts: Influence on Bioactivation of Glucosinolates to Isothiocyanates. J. Agric. Food Chem. 2017, 65, 8578–8585. [Google Scholar] [CrossRef] [PubMed]
- Bell, L.; Oloyede, O.O.; Lignou, S.; Wagstaff, C.; Methven, L. Taste and Flavor Perceptions of Glucosinolates, Isothiocyanates, and Related Compounds. Mol. Nutr. Food Res. 2018, 62, 1700990. [Google Scholar] [CrossRef]
- Drewnowski, A.; Gomez-Carneros, C. Bitter taste, phytonutrients, and the consumer: A review. Am. J. Clin. Nutr. 2000, 72, 1424–1435. [Google Scholar] [CrossRef] [PubMed]
- Halkier, B.A.; Gershenzon, J. Biology and biochemistry of glucosinolates. Annu. Rev. Plant Biol. 2006, 57, 303–333. [Google Scholar] [CrossRef] [PubMed]
- Bischoff, K.L. Chapter 40—Glucosinolates. In Nutraceuticals; Gupta, R.C.B.T.-N., Ed.; Academic Press: Boston, MA, USA, 2016; pp. 551–554. ISBN 978-0-12-802147-7. [Google Scholar]
- Barba, F.J.; Nikmaram, N.; Roohinejad, S.; Khelfa, A.; Zhu, Z.; Koubaa, M. Bioavailability of Glucosinolates and Their Breakdown Products: Impact of Processing. Front. Nutr. 2016, 3, 24. [Google Scholar] [CrossRef] [PubMed]
- Jones, M.G.; Hughes, J.; Tregova, A.; Milne, J.; Tomsett, A.B.; Collin, H.A. Biosynthesis of the flavour precursors of onion and garlic. J. Exp. Bot. 2004, 55, 1903–1918. [Google Scholar] [CrossRef] [PubMed]
- Block, E. The Organosulfur Chemistry of the Genus Allium—Implications for the Organic Chemistry of Sulfur. Angew. Chemie Int. Ed. Engl. 1992, 31, 1135–1178. [Google Scholar] [CrossRef]
- Li, J.; Dadmohammadi, Y.; Abbaspourrad, A. Flavor components, precursors, formation mechanisms, production and characterization methods: Garlic, onion, and chili pepper flavors. Crit. Rev. Food Sci. Nutr. 2021, 1–23. [Google Scholar] [CrossRef]
- Mazza, G.; Ciaravolo, S.; Chiricosta, G.; Celli, S. Volatile flavour components from ripening and mature garlic bulbs. Flavour Fragr. J. 1992, 7, 111–116. [Google Scholar] [CrossRef]
- Miron, T.; Rabinkov, A.; Mirelman, D.; Weiner, L.; Wilchek, M. A spectrophotometric assay for allicin and alliinase (Alliin lyase) activity: Reaction of 2-nitro-5-thiobenzoate with thiosulfinates. Anal. Biochem. 1998, 265, 317–325. [Google Scholar] [CrossRef] [PubMed]
- Chin, H.-W.; Lindsay, R.C. Mechanisms of formation of volatile sulfur compounds following the action of cysteine sulfoxide lyases. J. Agric. Food Chem. 1994, 42, 1529–1536. [Google Scholar] [CrossRef]
- Chong, K.; Zamora, M.; Tilakawardane, D.; Buckley, N.; Rego, J.; Liu, Y. Investigation of Allicin Stability in Aqueous Garlic Extract by High Performance Liquid Chromatography Method. J. Sci. Res. Rep. 2015, 4, 590–598. [Google Scholar] [CrossRef]
- Kubec, R.; Drhová, V.; Velíšek, J. Thermal Degradation of S-Methylcysteine and Its SulfoxideImportant Flavor Precursors of Brassica and Allium Vegetables. J. Agric. Food Chem. 1998, 46, 4334–4340. [Google Scholar] [CrossRef]
- Birchfield, A.; McIntosh, C. Metabolic Engineering and Synthetic Biology of Plant Natural Products—A Minireview. Curr. Plant Biol. 2020, 24, 100163. [Google Scholar] [CrossRef]
- Scherb, J.; Kreissl, J.; Haupt, S.; Schieberle, P. Quantitation of S-Methylmethionine in Raw Vegetables and Green Malt by a Stable Isotope Dilution Assay Using LC-MS/MS: Comparison with Dimethyl Sulfide Formation after Heat Treatment. J. Agric. Food Chem. 2009, 57, 9091–9096. [Google Scholar] [CrossRef]
- Tressl, R.; Holzer, M.; Apetz, M. Formation of flavor components in asparagus. 1. Biosynthesis of sulfur-containing acids in asparagus. J. Agric. Food Chem. 1977, 25, 455–459. [Google Scholar] [CrossRef]
- Tressl, R.; Bahri, D.; Holzer, M.; Kossa, T. Formation of flavor components in asparagus. 2. Formation of flavor components in cooked asparagus. J. Agric. Food Chem. 1977, 25, 459–463. [Google Scholar] [CrossRef]
- Zhou, Q.; Tang, H.; Jia, X.; Zheng, C.; Huang, F.; Zhang, M. Distribution of glucosinolate and pungent odors in rapeseed oils from raw and microwaved seeds. Int. J. Food Prop. 2018, 21, 2296–2308. [Google Scholar] [CrossRef]
- Yoshimoto, N.; Saito, K. S-Alk(en)ylcysteine sulfoxides in the genus Allium: Proposed biosynthesis, chemical conversion, and bioactivities. J. Exp. Bot. 2019, 70, 4123–4137. [Google Scholar] [CrossRef]
- Munday, R. Harmful and beneficial effects of organic monosulfides, disulfides, and polysulfides in animals and humans. Chem. Res. Toxicol. 2012, 25, 47–60. [Google Scholar] [CrossRef]
- Løkke, M.M.; Edelenbos, M.; Larsen, E.; Feilberg, A. Investigation of volatiles emitted from freshly cut onions (Allium cepa L.) by real time proton-transfer reaction-mass spectrometry (PTR-MS). Sensors 2012, 12, 16060–16076. [Google Scholar] [CrossRef] [PubMed]
- Martin, S.L.; Royston, K.J.; Tollefsbol, T.O. The Role of Non-Coding RNAs and Isothiocyanates in Cancer. Mol. Nutr. Food Res. 2018, 62, e1700913. [Google Scholar] [CrossRef] [PubMed]
- Dufour, V.; Stahl, M.; Baysse, C. The antibacterial properties of isothiocyanates. Microbiology 2015, 161, 229–243. [Google Scholar] [CrossRef] [PubMed]
- Wagner, A.E.; Boesch-Saadatmandi, C.; Dose, J.; Schultheiss, G.; Rimbach, G. Anti-inflammatory potential of allyl-isothiocyanate—Role of Nrf2, NF-(κ) B and microRNA-155. J. Cell. Mol. Med. 2012, 16, 836–843. [Google Scholar] [CrossRef] [PubMed]
- Lee, Y.M.; Seon, M.R.; Cho, H.J.; Kim, J.-S.; Park, J.H.Y. Benzyl isothiocyanate exhibits anti-inflammatory effects in murine macrophages and in mouse skin. J. Mol. Med. 2009, 87, 1251–1261. [Google Scholar] [CrossRef]
- Bertóti, R.; Böszörményi, A.; Alberti, Á.; Béni, S.; M-Hamvas, M.; Szőke, É.; Vasas, G.; Gonda, S. Variability of Bioactive Glucosinolates, Isothiocyanates and Enzyme Patterns in Horseradish Hairy Root Cultures Initiated from Different Organs. Molecules 2019, 24, 2828. [Google Scholar] [CrossRef]
- Lin, C.M.; Kim, J.; Du, W.X.; Wei, C.I. Bactericidal Activity of Isothiocyanate against Pathogens on Fresh Produce. J. Food Prot. 2000, 63, 25–30. [Google Scholar] [CrossRef]
- Marcinkowska, M.; Jeleń, H.H. Determination of the odor threshold concentrations and partition coefficients of isothiocyanates from Brassica vegetables in aqueous solution. LWT 2020, 131, 109793. [Google Scholar] [CrossRef]
- Marcinkowska, M.; Jeleń, H.H. Inactivation of thioglucosidase from sinapis alba (white mustard) seed by metal salts. Molecules 2020, 25, 4363. [Google Scholar] [CrossRef]
- Hanschen, F.S.; Schreiner, M. Isothiocyanates, nitriles, and epithionitriles from glucosinolates are affected by genotype and developmental stage in Brassica oleracea varieties. Front. Plant Sci. 2017, 8, 1095. [Google Scholar] [CrossRef] [PubMed]
- Kołodziejski, D.; Piekarska, A.; Hanschen, F.S.; Pilipczuk, T.; Tietz, F.; Kusznierewicz, B.; Bartoszek, A. Relationship between conversion rate of glucosinolates to isothiocyanates/indoles and genotoxicity of individual parts of Brassica vegetables. Eur. Food Res. Technol. 2019, 245, 383–400. [Google Scholar] [CrossRef]
- Tanii, H. Allyl nitrile: Toxicity and health effects. J. Occup. Health 2017, 59, 104–111. [Google Scholar] [CrossRef]
- Kupke, F.; Herz, C.; Hanschen, F.S.; Platz, S.; Odongo, G.A.; Helmig, S.; Bartolomé Rodríguez, M.M.; Schreiner, M.; Rohn, S.; Lamy, E. Cytotoxic and genotoxic potential of food-borne nitriles in a liver in vitro model. Sci. Rep. 2016, 6, 37631. [Google Scholar] [CrossRef] [PubMed]
- Hanschen, F.S.; Klopsch, R.; Oliviero, T.; Schreiner, M.; Verkerk, R.; Dekker, M. Optimizing isothiocyanate formation during enzymatic glucosinolate breakdown by adjusting pH value, temperature & dilution in Brassica vegetables & Arabidopsis thaliana. Sci. Rep. 2017, 7, 40807. [Google Scholar] [CrossRef] [PubMed]
- Lan, L.; Huang, S.; Liu, Y.; Sun, B.; Tian, H. Preparation and odor characteristics of nitriles derived from aldehydes. Flavour Fragr. J. 2020, 35, 425–434. [Google Scholar] [CrossRef]
- Feng, Y.; Albiol Tapia, M.; Okada, K.; Castaneda Lazo, N.B.; Chapman-Novakofski, K.; Phillips, C.; Lee, S.Y. Consumer Acceptance Comparison Between Seasoned and Unseasoned Vegetables. J. Food Sci. 2018, 83, 446–453. [Google Scholar] [CrossRef] [PubMed]
- Oh, J.; Cho, I.H. The aroma profile and aroma-active compounds of Brassica oleracea (kale) tea. Food Sci. Biotechnol. 2021, 30, 1205–1211. [Google Scholar] [CrossRef]
- Bastaki, S.M.A.; Ojha, S.; Kalasz, H.; Adeghate, E. Chemical constituents and medicinal properties of Allium species. Mol. Cell. Biochem. 2021, 476, 4301–4321. [Google Scholar] [CrossRef]
- Wu, Z.Q.; Li, K.; Ma, J.K.; Huang, Q.; Tian, X.; Li, Z.J. Antioxidant activity of organic sulfides from fresh Allium macrostemon Bunge and their protective effects against oxidative stress in Caenorhabditis elegans. J. Food Biochem. 2020, 44, e13447. [Google Scholar] [CrossRef]
- Antonopoulou, M.; Evgenidou, E.; Lambropoulou, D.; Konstantinou, I. A review on advanced oxidation processes for the removal of taste and odor compounds from aqueous media. Water Res. 2014, 53, 215–234. [Google Scholar] [CrossRef] [PubMed]
- Wu, J.; Liu, Y.; Zhao, H.; Huang, M.; Sun, Y.; Zhang, J.; Sun, B. Recent advances in the understanding of off-flavors in alcoholic beverages: Generation, regulation, and challenges. J. Food Compos. Anal. 2021, 103, 104117. [Google Scholar] [CrossRef]
- Cheng, Y.; Li, G.; Wu, H.; Huang, L.; Wang, H. Identification of Light-Induced Key Off-Flavors in Ponkan Mandarin Juice Using MDGC-MS/O and GC–MS/PFPD. J. Agric. Food Chem. 2021, 69, 14259–14269. [Google Scholar] [CrossRef]
- Aboshi, T.; Musya, S.; Sato, H.; Ohta, T.; Murayama, T. Changes of volatile flavor compounds of watermelon juice by heat treatment. Biosci. Biotechnol. Biochem. 2020, 84, 2157–2159. [Google Scholar] [CrossRef] [PubMed]
- Chhikara, N.; Devi, H.R.; Jaglan, S.; Sharma, P.; Gupta, P.; Panghal, A. Bioactive compounds, food applications and health benefits of Parkia speciosa (stinky beans): A review. Agric. Food Secur. 2018, 7, 46. [Google Scholar] [CrossRef]
- Lv, C.; Wang, C.; Li, P.; Huang, Y.; Lu, X.; Shi, M.; Zeng, C.; Qin, S. Effect of Garlic Organic Sulfides on Gene Expression Profiling in HepG2 Cells and Its Biological Function Analysis by Ingenuity Pathway Analysis System and Bio-Plex-Based Assays. Mediat. Inflamm. 2021, 2021, 7681252. [Google Scholar] [CrossRef]
- Lund, M.N.; Ray, C.A. Control of Maillard Reactions in Foods: Strategies and Chemical Mechanisms. J. Agric. Food Chem. 2017, 65, 4537–4552. [Google Scholar] [CrossRef]
- Perestrelo, R.; Silva, C.; Câmara, J.S. Off-Flavors in Alcoholic Beverages: An Overview. In Food Aroma Evolution; CRC Press: Boca Raton, FL, USA, 2019; pp. 595–622. [Google Scholar]
- Wieczorek, M.N.; Majcher, M.A.; Jeleń, H.H. Identification of aroma compounds in raw and cooked broccoli. Flavour Fragr. J. 2021, 36, 576–583. [Google Scholar] [CrossRef]
- Marcinkowska, M.; Frank, S.; Steinhaus, M.; Jeleń, H.H. Key Odorants of Raw and Cooked Green Kohlrabi (Brassica oleracea var. gongylodes L.). J. Agric. Food Chem. 2021, 69, 12270–12277. [Google Scholar] [CrossRef]
- Zagorchev, L.; Seal, C.E.; Kranner, I.; Odjakova, M. A central role for thiols in plant tolerance to abiotic stress. Int. J. Mol. Sci. 2013, 14, 7405–7432. [Google Scholar] [CrossRef]
- Li, W.; Chen, W.C.; Wang, J.B.; Feng, J.; Wu, D.; Zhang, Z.; Zhang, J.S.; Yang, Y. Screening candidate genes related to volatile synthesis in shiitake mushrooms and construction of regulatory networks to effectively improve mushroom aroma. J. Sci. Food Agric. 2021, 101, 5618–5626. [Google Scholar] [CrossRef] [PubMed]
- Wang, S.L.; Lin, S.Y.; Du, H.T.; Qin, L.; Lei, L.M.; Chen, D. An insight by molecular sensory science approaches to contributions and variations of the key odorants in shiitake mushrooms. Foods 2021, 10, 622. [Google Scholar] [CrossRef] [PubMed]
- Murat, C.; Payen, T.; Noel, B.; Kuo, A.; Morin, E.; Chen, J.; Kohler, A.; Krizsán, K.; Balestrini, R.; Da Silva, C.; et al. Pezizomycetes genomes reveal the molecular basis of ectomycorrhizal truffle lifestyle. Nat. Ecol. Evol. 2018, 2, 1956–1965. [Google Scholar] [CrossRef]
- Splivallo, R.; Deveau, A.; Valdez, N.; Kirchhoff, N.; Frey-Klett, P.; Karlovsky, P. Bacteria associated with truffle-fruiting bodies contribute to truffle aroma. Environ. Microbiol. 2015, 17, 2647–2660. [Google Scholar] [CrossRef]
- Singh, K.; Tripathi, S.; Chandra, R. Maillard reaction product and its complexation with environmental pollutants: A comprehensive review of their synthesis and impact. Bioresour. Technol. Reports 2021, 15, 100779. [Google Scholar] [CrossRef]
- Jansky, S.H. Potato Flavor. Am. J. Potato Res. 2010, 87, 209–217. [Google Scholar] [CrossRef]
- Dunkel, A.; Steinhaus, M.; Kotthoff, M.; Nowak, B.; Krautwurst, D.; Schieberle, P.; Hofmann, T. Nature’s chemical signatures in human olfaction: A foodborne perspective for future biotechnology. Angew. Chem. Int. Ed. Engl. 2014, 53, 7124–7143. [Google Scholar] [CrossRef] [PubMed]
- Boelens, M.H.; van Gemert, L.J. Volatile character-impact sulfur compounds and their sensory properties. Perfum. Flavorist 1993, 18, 29–39. [Google Scholar]
- Grosch, W. Evaluation of the key odorants of foods by dilution experiments, aroma models and omission. Chem. Senses 2001, 26, 533–545. [Google Scholar] [CrossRef]
- Abe, K.; Myoda, T.; Nojima, S. Identification and Characterization of Sulfur Heterocyclic Compounds That Contribute to the Acidic Odor of Aged Garlic Extract. J. Agric. Food Chem. 2021, 69, 1020–1026. [Google Scholar] [CrossRef]
- Usami, A.; Motooka, R.; Takagi, A.; Nakahashi, H.; Okuno, Y.; Miyazawa, M. Chemical composition, aroma evaluation, and oxygen radical absorbance capacity of volatile oil extracted from Brassica rapa cv. “yukina” used in Japanese traditional food. J. Oleo Sci. 2014, 63, 723–730. [Google Scholar] [CrossRef]
- Ortner, E.; Granvogl, M.; Schieberle, P. Elucidation of Thermally Induced Changes in Key Odorants of White Mustard Seeds (Sinapis alba L.) and Rapeseeds (Brassica napus L.) Using Molecular Sensory Science. J. Agric. Food Chem. 2016, 64, 8179–8190. [Google Scholar] [CrossRef] [PubMed]
- Engel, E.; Baty, C.; le Corre, D.; Souchon, I.; Martin, N. Flavor-Active Compounds Potentially Implicated in Cooked Cauliflower Acceptance. J. Agric. Food Chem. 2002, 50, 6459–6467. [Google Scholar] [CrossRef] [PubMed]
- Cha, Y.J.; Kim, H.; Cadwallader, K.R. Aroma-Active Compounds in Kimchi during Fermentation. J. Agric. Food Chem. 1998, 46, 1944–1953. [Google Scholar] [CrossRef]
- Wang, S.; Chang, Y.; Liu, B.; Chen, H.; Sun, B.; Zhang, N. Characterization of the key aroma-active compounds in yongchuan douchi (Fermented soybean) by application of the sensomics approach. Molecules 2021, 26, 3048. [Google Scholar] [CrossRef] [PubMed]
- Jeleń, H.; Majcher, M.; Ginja, A.; Kuligowski, M. Determination of compounds responsible for tempeh aroma. Food Chem. 2013, 141, 459–465. [Google Scholar] [CrossRef] [PubMed]
- Yang, P.; Song, H.; Wang, L.; Jing, H. Characterization of Key Aroma-Active Compounds in Black Garlic by Sensory-Directed Flavor Analysis. J. Agric. Food Chem. 2019, 67, 7926–7934. [Google Scholar] [CrossRef]
- van Ruth, S.; Boscaini, E.; Mayr, D.; Pugh, J.; Posthumus, M. Evaluation of three gas chromatography and two direct mass spectrometry techniques for aroma analysis of dried red bell peppers. Int. J. Mass Spectrom. 2003, 223–224, 55–65. [Google Scholar] [CrossRef]
- Zimmermann, M.; Schieberle, P. Important odorants of sweet bell pepper powder (Capsicum annuum cv. annuum): Differences between samples of Hungarian and Morrocan origin. Eur. Food Res. Technol. 2000, 211, 175–180. [Google Scholar] [CrossRef]
- Simian, H.; Robert, F.; Blank, I. Identification and Synthesis of 2-Heptanethiol, a New Flavor Compound Found in Bell Peppers. J. Agric. Food Chem. 2004, 52, 306–310. [Google Scholar] [CrossRef]
- Raffo, A.; Moneta, E.; Ferrari Nicoli, S.; Paoletti, F. GC-olfactometric characterisation of off-odours in commercially packaged rocket leaves. Food Packag. Shelf Life 2020, 25, 100540. [Google Scholar] [CrossRef]
- Ulrich, D.; Hoberg, E.; Bittner, T.; Engewald, W.; Meilchen, K. Contribution of volatile compounds to the flavor of cooked asparagus. Eur. Food Res. Technol. 2001, 213, 200–204. [Google Scholar] [CrossRef]
- Schmidberger, P.C.; Schieberle, P. Characterization of the Key Aroma Compounds in White Alba Truffle (Tuber magnatum pico) and Burgundy Truffle (Tuber uncinatum) by Means of the Sensomics Approach. J. Agric. Food Chem. 2017, 65, 9287–9296. [Google Scholar] [CrossRef]
- Matheis, K.; Granvogl, M. Characterisation of the key aroma compounds in commercial native cold-pressed rapeseed oil by means of the Sensomics approach. Eur. Food Res. Technol. 2016, 242, 1565–1575. [Google Scholar] [CrossRef]
- Matheis, K.; Granvogl, M. Characterization of Key Odorants Causing a Fusty/Musty Off-Flavor in Native Cold-Pressed Rapeseed Oil by Means of the Sensomics Approach. J. Agric. Food Chem. 2016, 64, 8168–8178. [Google Scholar] [CrossRef]
- Pollner, G.; Schieberle, P. Characterization of the Key Odorants in Commercial Cold-Pressed Oils from Unpeeled and Peeled Rapeseeds by the Sensomics Approach. J. Agric. Food Chem. 2016, 64, 627–636. [Google Scholar] [CrossRef] [PubMed]
- Gracka, A.; Jeleń, H.H.; Majcher, M.; Siger, A.; Kaczmarek, A. Flavoromics approach in monitoring changes in volatile compounds of virgin rapeseed oil caused by seed roasting. J. Chromatogr. A 2016, 1428, 292–304. [Google Scholar] [CrossRef] [PubMed]
- Yang, Y.; Yu, P.; Sun, J.; Jia, Y.; Wan, C.; Zhou, Q.; Huang, F. Investigation of volatile thiol contributions to rapeseed oil by odor active value measurement and perceptual interactions. Food Chem. 2022, 373, 131607. [Google Scholar] [CrossRef]
- Onwude, D.I.; Hashim, N.; Janius, R.; Abdan, K.; Chen, G.; Oladejo, A.O. Non-thermal hybrid drying of fruits and vegetables: A review of current technologies. Innov. Food Sci. Emerg. Technol. 2017, 43, 223–238. [Google Scholar] [CrossRef]
- Barrett, D.M.; Lloyd, B. Advanced preservation methods and nutrient retention in fruits and vegetables. J. Sci. Food Agric. 2012, 92, 7–22. [Google Scholar] [CrossRef]
- Al-juhaimi, F.; Ghafoor, K.; Özcan, M.M.; Jahurul, M.H.A.; Babiker, E.E.; Jinap, S.; Sahena, F.; Sharifudin, M.S.; Zaidul, I.S.M. Effect of various food processing and handling methods on preservation of natural antioxidants in fruits and vegetables. J. Food Sci. Technol. 2018, 55, 3872–3880. [Google Scholar] [CrossRef] [PubMed]
- Wu, C.M.; Wang, Z. Volatile Compounds in Fresh and Processed Shiitake Mushrooms (Lentinus edodes Sing.). Food Sci. Technol. Res. 2000, 6, 166–170. [Google Scholar] [CrossRef]
- Cedrowski, J.; Dąbrowa, K.; Przybylski, P.; Krogul-Sobczak, A.; Litwinienko, G. Antioxidant activity of two edible isothiocyanates: Sulforaphane and erucin is due to their thermal decomposition to sulfenic acids and methylsulfinyl radicals. Food Chem. 2021, 353, 129213. [Google Scholar] [CrossRef] [PubMed]
- Schwab, W.; Davidovich-Rikanati, R.; Lewinsohn, E. Biosynthesis of plant-derived flavor compounds. Plant J. 2008, 54, 712–732. [Google Scholar] [CrossRef]
- Chen, C.-W.; Ho, C.-T. Thermal Degradation of Allyl Isothiocyanate in Aqueous Solution. J. Agric. Food Chem. 1998, 46, 220–223. [Google Scholar] [CrossRef]
- Williams, M.P.; Nelson, P.E. Kinetics of the thermal degradation of methylmethionine sulfonium ions in citrate buffers and in sweet corn and tomato serum. J. Food Sci. 1974, 39, 457–460. [Google Scholar] [CrossRef]
- Kubec, R.; Velíšek, J.; Doležal, M.; Kubelka, V. Sulfur-Containing Volatiles Arising by Thermal Degradation of Alliin and Deoxyalliin. J. Agric. Food Chem. 1997, 45, 3580–3585. [Google Scholar] [CrossRef]
- Shu, C.K.; Hagedorn, M.L.; Mookherjee, B.D.; Ho, C.T. Volatile components of the thermal degradation of cystine in water. J. Agric. Food Chem. 1985, 33, 438–442. [Google Scholar] [CrossRef]
- Her, J.Y.; Kim, M.S.; Kim, M.K.; Lee, K.G. Development of a spray freeze-drying method for preparation of volatile shiitake mushroom (Lentinus edodes) powder. Int. J. Food Sci. Technol. 2015, 50, 2222–2228. [Google Scholar] [CrossRef]
- Politowicz, J.; Lech, K.; Lipan, L.; Figiel, A.; Carbonell-Barrachina, Á.A. Volatile composition and sensory profile of shiitake mushrooms as affected by drying method. J. Sci. Food Agric. 2018, 98, 1511–1521. [Google Scholar] [CrossRef]
- Soares, A.; Carrascosa, C.; Raposo, A. Influence of Different Cooking Methods on the Concentration of Glucosinolates and Vitamin C in Broccoli. Food Bioprocess Technol. 2017, 10, 1387–1411. [Google Scholar] [CrossRef]
- Martínez, S.; Armesto, J.; Gómez-Limia, L.; Carballo, J. Impact of processing and storage on the nutritional and sensory properties and bioactive components of Brassica spp. A review. Food Chem. 2020, 313, 126065. [Google Scholar] [CrossRef] [PubMed]
- Biondi, F.; Balducci, F.; Capocasa, F.; Visciglio, M.; Mei, E.; Vagnoni, M.; Mezzetti, B.; Mazzoni, L. Environmental conditions and agronomical factors influencing the levels of phytochemicals in Brassica vegetables responsible for nutritional and sensorial properties. Appl. Sci. 2021, 11, 1927. [Google Scholar] [CrossRef]
- Tao, Y.; Han, M.; Gao, X.; Han, Y.; Show, P.L.; Liu, C.; Ye, X.; Xie, G. Applications of water blanching, surface contacting ultrasound-assisted air drying, and their combination for dehydration of white cabbage: Drying mechanism, bioactive profile, color and rehydration property. Ultrason. Sonochem. 2019, 53, 192–201. [Google Scholar] [CrossRef] [PubMed]
- Hanschen, F.S.; Platz, S.; Mewis, I.; Schreiner, M.; Rohn, S.; Kroh, L.W. Thermally induced degradation of sulfur-containing aliphatic glucosinolates in broccoli sprouts (Brassica oleracea var. Italica) and model systems. J. Agric. Food Chem. 2012, 60, 2231–2241. [Google Scholar] [CrossRef]
- Hong, S.J.; Boo, C.G.; Lee, J.; Hur, S.W.; Jo, S.M.; Jeong, H.; Yoon, S.; Lee, Y.; Park, S.S.; Shin, E.C. Chemosensory approach supported-analysis of wintering radishes produced in Jeju island by different processing methods. Food Sci. Biotechnol. 2021, 30, 1033–1049. [Google Scholar] [CrossRef]
- Nugrahedi, P.Y.; Verkerk, R.; Widianarko, B.; Dekker, M. A Mechanistic Perspective on Process-Induced Changes in Glucosinolate Content in Brassica Vegetables: A Review. Crit. Rev. Food Sci. Nutr. 2015, 55, 823–838. [Google Scholar] [CrossRef]
- Frank, D.; Piyasiri, U.; Archer, N.; Heffernan, J.; Poelman, A.A.M. In-Mouth Volatile Production from Brassica Vegetables (Cauliflower) and Associations with Liking in an Adult/Child Cohort. J. Agric. Food Chem. 2021, 69, 11646–11655. [Google Scholar] [CrossRef]
- Schmidberger, P.C.; Schieberle, P. Changes in the Key Aroma Compounds of Raw Shiitake Mushrooms (Lentinula edodes) Induced by Pan-Frying as Well as by Rehydration of Dry Mushrooms. J. Agric. Food Chem. 2020, 68, 4493–4506. [Google Scholar] [CrossRef]
- Baenas, N.; Marhuenda, J.; García-Viguera, C.; Zafrilla, P.; Moreno, D.A. Influence of cooking methods on glucosinolates and isothiocyanates content in novel cruciferous foods. Foods 2019, 8, 257. [Google Scholar] [CrossRef]
- Wieczorek, M.N.; Jelen, H.H. Volatile compounds of selected raw and cooked Brassica vegetables. Molecules 2019, 24, 391. [Google Scholar] [CrossRef] [PubMed]
- Mustafa, A.M.; Angeloni, S.; Nzekoue, F.K.; Abouelenein, D.; Sagratini, G.; Caprioli, G.; Torregiani, E. An overview on truffle aroma and main volatile compounds. Molecules 2020, 25, 5948. [Google Scholar] [CrossRef] [PubMed]
- Culleré, L.; Ferreira, V.; Venturini, M.E.; Marco, P.; Blanco, D. Chemical and sensory effects of the freezing process on the aroma profile of black truffles (Tuber melanosporum). Food Chem. 2013, 136, 518–525. [Google Scholar] [CrossRef] [PubMed]
- Chen, Z.; Gao, H.; Wu, W.; Chen, H.; Fang, X.; Han, Y.; Mu, H. Effects of fermentation with different microbial species on the umami taste of Shiitake mushroom (Lentinus edodes). LWT 2021, 141, 110889. [Google Scholar] [CrossRef]
- Luang-In, V.; Deeseenthum, S.; Udomwong, P.; Saengha, W.; Gregori, M. Formation of Sulforaphane and Iberin Products from Thai Cabbage Fermented by Myrosinase-Positive Bacteria. Molecules 2018, 23, 955. [Google Scholar] [CrossRef]
- Yu, Y.; Xu, Y.; Li, L.; Yu, Y.; Xu, Z. Dynamic evolution of flavor substances and bacterial communities during fermentation of leaf mustard (Brassica juncea var. multiceps) and their correlation. LWT 2022, 167, 113796. [Google Scholar] [CrossRef]
- Sun, J.; Wang, Y.; Pang, X.; Tian, S.; Hu, Q.; Li, X.; Liu, J.; Wang, J.; Lu, Y. The effect of processing and cooking on glucoraphanin and sulforaphane in brassica vegetables. Food Chem. 2021, 360, 130007. [Google Scholar] [CrossRef]









| Name | Structure | Odor Threshold | Odor Quality | Occurence | Name | Structure | Odor Threshold | Odor Quality | Occurence |
|---|---|---|---|---|---|---|---|---|---|
| diallyl thiosulfinate (allicin) | ![]() | NA | Freshly crushed garlic | Garlic, onion | 3-(methylthio)propanal (methional) | ![]() | 1.3 µg/L in water | Cooked potato-like | Beef, truffle, coffee, cheese |
| benzenemethanethiol(phenylmethanethiol) | ![]() | 0.01 µg/L in 67% ethanol-water solution | Roasted, garden cress seed | Beef, wine, Baijiu | 2-furfurylthiol(2-furanmethanethiol) | ![]() | 0.004 µg/kg in water-alcohol solution | Sulfuric, burnt | Popcorn, coffee, meat, sesame seeds |
| 1,2,4-trithiolane | ![]() | 1.27 µg/L in water | Shiitake-like, sulfury, onion-like | Shiitake mushrooms, truffle, stinky beans | bis-(2-methyl-3-furyl)disulfide(1,2-bis(2-methyl-3-furanyl)disulfane) | ![]() | 0.00002 µg/L in water | Meat-like | Beef, coffee, brown rice, tea, kohlrabi |
| 4-mercapto-4-methyl-2-pentanone | ![]() | 0.0001 µg/L in water | Blackcurrant-like, sulfury | Green tea, edible flowers | dimethyl trisulfide (DMS) | ![]() | 0.009 µg/L in water | Sulfuric, cabbage-like | Brassica vegetables, wine, cheese, coffee |
| 1-p-menthene-8-thiol | ![]() | 0.0002 µg/L in water | Grapefruit-like, sulfuric | Grapefruit, orange, honey pomelo | methanethiol | ![]() | 0.59 µg/L in water | Sulfuric, cabbage-like | Coffee, cheese, potato, spinach, durian |
| 2-acetyl-2-thiazoline | ![]() | 1 µg/L in water | Roasted, popcorn-like | Meat, rice, shiitake mushroom | 3-methyl-2-butene-1-thiol | ![]() | 0.00076 µg/L in water | Beer-like, animal-like | Beer, cofee, durian |
Publisher’s Note: MDPI stays neutral with regard to jurisdictional claims in published maps and institutional affiliations. |
© 2022 by the authors. Licensee MDPI, Basel, Switzerland. This article is an open access article distributed under the terms and conditions of the Creative Commons Attribution (CC BY) license (https://creativecommons.org/licenses/by/4.0/).
Share and Cite
Marcinkowska, M.A.; Jeleń, H.H. Role of Sulfur Compounds in Vegetable and Mushroom Aroma. Molecules 2022, 27, 6116. https://doi.org/10.3390/molecules27186116
Marcinkowska MA, Jeleń HH. Role of Sulfur Compounds in Vegetable and Mushroom Aroma. Molecules. 2022; 27(18):6116. https://doi.org/10.3390/molecules27186116
Chicago/Turabian StyleMarcinkowska, Monika A., and Henryk H. Jeleń. 2022. "Role of Sulfur Compounds in Vegetable and Mushroom Aroma" Molecules 27, no. 18: 6116. https://doi.org/10.3390/molecules27186116
APA StyleMarcinkowska, M. A., & Jeleń, H. H. (2022). Role of Sulfur Compounds in Vegetable and Mushroom Aroma. Molecules, 27(18), 6116. https://doi.org/10.3390/molecules27186116


















