Natural Deep Eutectic Solvent-Based Microwave-Assisted Extraction of Total Flavonoid Compounds from Spent Sweet Potato (Ipomoea batatas L.) Leaves: Optimization and Antioxidant and Bacteriostatic Activity
Abstract
:1. Introduction
2. Materials and Methods
2.1. Chemicals and Reagents
2.2. Preparation and Synthesis of NADESs
2.3. Materials
2.4. Microwave-Assisted Extraction of SPLs
2.5. Assessment of Total Flavonoid Compounds from SPLs
2.6. Single-Factor Experimental Design
2.7. Optimal Design of NADES-Based Microwave-Assisted Extraction
2.8. HPLC Analysis of Flavonoid Compounds from SPLs Using NADESs
2.9. Separation and Recovery of Flavonoids by Macroporous Resins
2.10. Assessment of Antioxidant Activity In Vitro
2.10.1. DPPH Assay
2.10.2. O2− Assay
2.11. Assessment of Bacteriostatic Activity
3. Results and Discussion
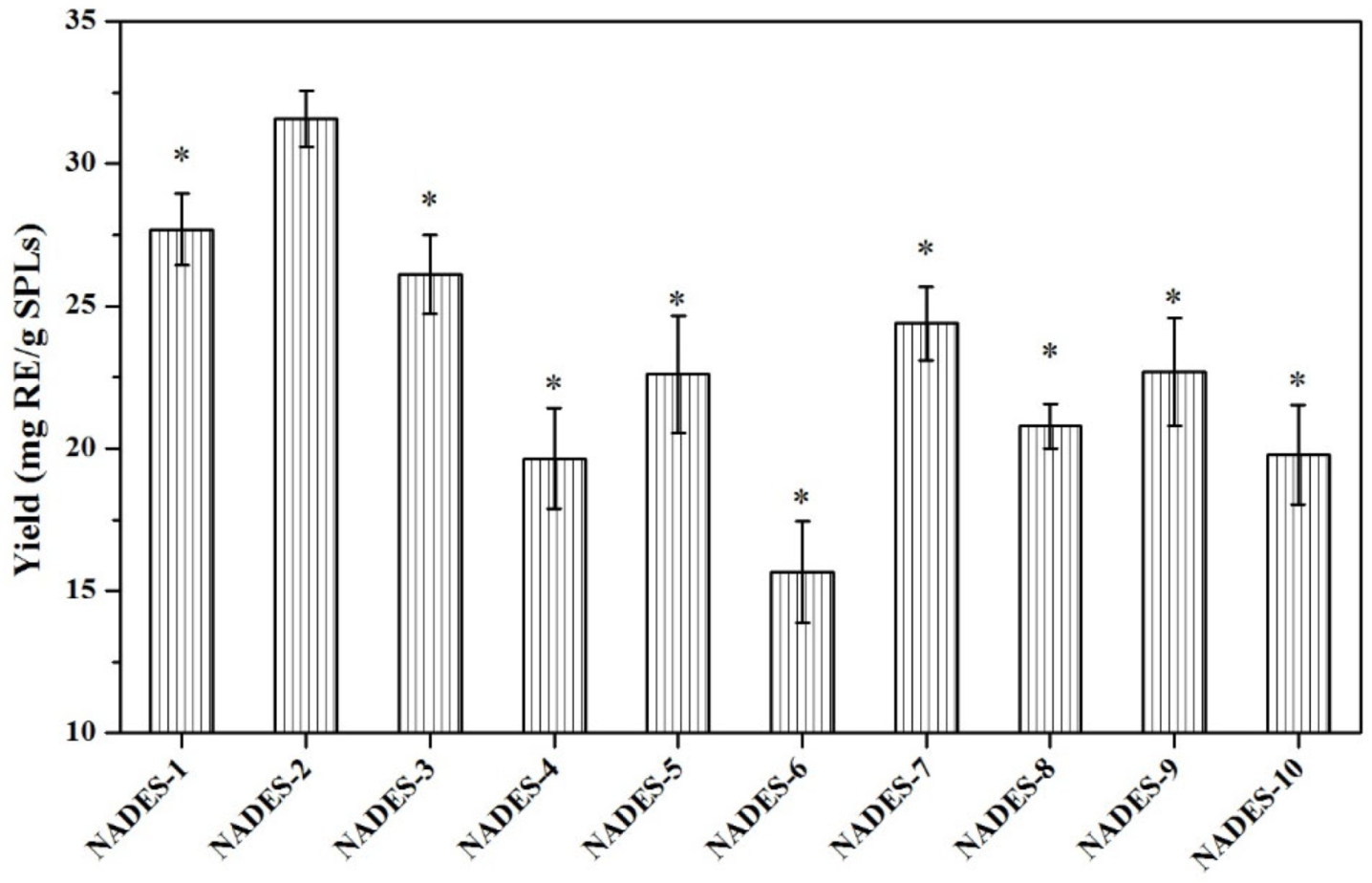
3.1. Optimization of NADES Systems
3.2. NADES-MAE Optimization by Single-Factor Experiments
3.3. NADES-MAE Optimization by BBD
3.4. HPLC Analysis and Recovery of Total Flavonoid Compounds from NADES Systems
3.5. Assessment of Antioxidant Activity of Total Flavonoid Compounds In Vitro
3.5.1. DPPH Assay
3.5.2. O2− Assay
3.6. Assessment of Bacteriostatic Activity of Total Flavonoid Compounds
3.7. The Correlation between Antioxidant and Bacteriostatic Activities and Contents of the Total Flavonoids Compounds of Spent Sweet Potato Leaves’ Extracts
4. Conclusions
Author Contributions
Funding
Conflicts of Interest
References
- An, L.V.; Frankow-Lindberg, B.E.; Lindberg, J.E. Effect of harvesting interval and defoliation on yield and chemical composition of leaves, stems and tubers of sweet potato (Ipomoea batatas L. (Lam.)) plant parts. Field Crops Res. 2003, 82, 49–58. [Google Scholar] [CrossRef]
- Cioloca, M.; Bdru, C.L.; Tican, A.; Popa, M. Antioxidant potential, total vitamin C, phenolic and flavonoids content of sweet potato leaves. Rom. Biotech. Lett. 2021, 26, 2441–2447. [Google Scholar] [CrossRef]
- Xi, L.; Mu, T.; Sun, H. Preparative purification of polyphenols from sweet potato (Ipomoea batatas L.) leaves by AB-8 macroporous resins. Food Chem. 2015, 172, 166–174. [Google Scholar] [CrossRef] [PubMed]
- Nagamine, R.; Ueno, S.; Tsubata, M.; Yamaguchi, K.; Takagaki, K.; Hira, T.; Hara, H.; Tsuda, T. Dietary sweet potato (Ipomoea batatas L.) leaf extract attenuates hyperglycaemia by enhancing the secretion of glucagon-like peptide-1 (GLP-1). Food Funct. 2014, 5, 2309–2316. [Google Scholar] [CrossRef] [PubMed]
- Melissa, J.; Pace, R.D. Sweet potato leaves: Properties and synergistic interactions that promote health and prevent disease. Nutr. Rev. 2010, 68, 604–615. [Google Scholar]
- Taira, J.; Taira, K.; Ohmine, W.; Nagata, J. Mineral determination and anti-ldl oxidation activity of sweet potato (Ipomoea batatas L.) leaves. J. Food Compos. Anal. 2013, 29, 117–125. [Google Scholar] [CrossRef]
- Nguyen, H.C.; Chen, C.C.; Lin, K.H.; Chao, P.Y.; Huang, M.Y. Bioactive compounds, antioxidants, and health benefits of sweet potato leaves. Molecules 2021, 26, 1820. [Google Scholar] [CrossRef]
- Hue, S.M.; Boyce, A.N.; Somasundram, C. Antioxidant activity, phenolic and flavonoid contents in the leaves of different varieties of sweet potato (Ipomoea batatas). Aust. J. Crop Sci. 2012, 6, 375–380. [Google Scholar]
- Alam, M.K. A comprehensive review of sweet potato (Ipomoea batatas [L.] Lam): Revisiting the associated health benefits. Trends Food Sci. Technol. 2021, 115, 512–529. [Google Scholar] [CrossRef]
- Huang, M.H.; Chu, H.L.; Juang, L.J.; Wang, B.S. Inhibitory effects of sweet potato leaves on nitric oxide production and protein nitration. Food Chem. 2010, 121, 480–486. [Google Scholar] [CrossRef]
- Tong, C.; Ru, W.; Wu, L.; Wu, W.; Bao, J. Fine structure and relationships with functional properties of pigmented sweet potato starches. Food Chem. 2020, 311, 126011. [Google Scholar] [CrossRef] [PubMed]
- Golmakani, M.T.; Rezaei, K. Comparison of microwave-assisted hydrodistillation with the traditional hydrodistillation method in the extractionof essential oils from Thymus vulgaris L. Food Chem. 2008, 109, 925–930. [Google Scholar] [CrossRef] [PubMed]
- Guan, W.; Li, S.; Yan, R.; Tang, S.; Quan, C. Comparison of essential oils of clove buds extracted with supercritical carbon dioxide and other three traditional extraction methods. Food Chem. 2007, 101, 1558–1564. [Google Scholar] [CrossRef]
- Wyk, J.V.; Britz, T.J. A rapid HPLC method for the extraction and quantification of vitamin B12 in dairy products and cultures of Propionibacterium freudenreichii. Dairy Sci. Technol. 2010, 90, 509–520. [Google Scholar]
- Tran, M.K.; Rodrigues, M.; Kato, K.; Babu, G.; Ajayan, P.M. Deep eutectic solvents for cathode recycling of Li-ion batteries. Nat. Energy 2019, 4, 339–345. [Google Scholar] [CrossRef]
- Osch, D.; Zubeir, L.F.; Bruinhorst, A.; Rocha, M.; Kroon, M.C. Hydrophobic deep eutectic solvents: Water-immiscible extractants. Green Chem. 2015, 17, 4518–4521. [Google Scholar] [CrossRef]
- Cao, J.; Yang, M.; Gao, F.; Wang, J.; Su, E. Well-designed hydrophobic deep eutectic solvents as green and efficient media for the extraction of artemisinin from Artemisia annua leaves. ACS Sustain. Chem. Eng. 2017, 5, 3270–3278. [Google Scholar] [CrossRef]
- Xin, R.; Qi, S.; Zeng, C.; Khan, F.I.; Yang, B.; Wang, Y. A functional natural deep eutectic solvent based on trehalose: Structural and physicochemical properties. Food Chem. 2017, 217, 560–567. [Google Scholar] [CrossRef]
- Shang, X.; Chu, D.; Zhang, J.; Zheng, Y.; Li, Y. Microwave-assisted extraction, partial purification and biological activity In Vitro of polysaccharides from bladder-wrack (Fucus vesiculosus) by using deep eutectic solvents. Sep. Purif. Technol. 2020, 259, 118169. [Google Scholar] [CrossRef]
- Da, Y.; Verpoorte, R.; Choi, Y.H. Natural deep eutectic solvents providing enhanced stability of natural colorants from safflower (Carthamus tinctorius). Food Chem. 2014, 159, 116–121. [Google Scholar] [CrossRef]
- Annunziata, F.; Guaglio, A.; Conti, P.; Tamborini, L.; Gandolfi, R. Continuous-flow stereoselective reduction of prochiral ketones in a whole cell bioreactor with natural deep eutectic solvents. Green Chem. 2022, 24, 950–956. [Google Scholar] [CrossRef]
- Shang, X.; Dou, Y.; Zhang, Y.; Tan, J.; Liu, X.; Zhang, Z. Tailor-made natural deep eutectic solvents for green extraction of isoflavones from chickpea (Cicer arietinum L.) sprouts. Ind. Crop Prod. 2019, 140, 111724. [Google Scholar] [CrossRef]
- Dai, Y.; Rozema, E.; Verpoorte, R.; Choi, Y.H. Application of natural deep eutectic solvents to the extraction of anthocyanins from Catharanthus roseus with high extractability and stability replacing conventional organic solvents. J. Chromatogr. A 2016, 1434, 50–56. [Google Scholar] [CrossRef]
- Dai, Y.; Spronsen, J.V.; Witkamp, G.J.; Verpoorte, R.; Choi, Y.H. Natural deep eutectic solvents as new potential media for green technology. Anal. Chim. Acta 2013, 766, 61–68. [Google Scholar] [CrossRef] [PubMed]
- Choi, Y.H.; Spronsen, J.V.; Dai, Y.; Verberne, M.; Hollmann, F.; Arends, I.W.C.E.; Witkamp, G.J.; Verpoorte, R. Are natural deep eutectic solvents the missing link in understanding cellular metabolism and physiology? Plant Physiol. 2011, 156, 1701–1705. [Google Scholar] [CrossRef]
- Zainal-Abidin, M.H.; Hayyan, M.; Hayyan, A.; Jayakumar, N.S. New horizons in the extraction of bioactive compounds using deep eutectic solvents: A review. Anal. Chim. Acta 2017, 979, 1–23. [Google Scholar] [CrossRef] [PubMed]
- Achkar, T.E.; Greige-Gerges, H.; Fourmentin, S. Basics and properties of deep eutectic solvents: A review. Environ. Chem. Lett. 2021, 19, 3397–3408. [Google Scholar] [CrossRef]
- Namazi, P.; Barzegar, H.; Behbahani, B.A.; Mehrnia, M.A. Evaluation of functional groups of bioactive compounds, antioxidant potential, total phenolic and total flavonoid content of red bell pepper extracts. Food Sci. Technol. 2021, 18, 301–311. [Google Scholar] [CrossRef]
- Niu, Y.; Ke, D.; Yang, Q.; Wang, X.; Chen, Z.; An, X.; Shen, W. Temperature-dependent stability and dpph scavenging activity of Liposomal curcumin at pH 7.0. Food Chem. 2012, 135, 1377–1382. [Google Scholar] [CrossRef]
- Tosi, E.A.; Re, E.; Ortega, M.E.; Cazzoli, A.F. Food preservative based on propolis: Bacteriostatic activity of propolis polyphenols and flavonoids upon Escherichia coli. Food Chem. 2007, 104, 1025–1029. [Google Scholar] [CrossRef]






| Abbreviation | Hydrogen Bond Acceptor | Hydrogen Bond Donor | Molar Ratio |
|---|---|---|---|
| NADES-1 | Choline chloride | Lactic acid | 1:2 |
| NADES-2 | Choline chloride | Malic acid | 1:1 |
| NADES-3 | Choline chloride | Glacial acetic acid | 1:2 |
| NADES-4 | Choline chloride | Glucose | 1:1 |
| NADES-5 | Choline chloride | Fructose | 1:1 |
| NADES-6 | Choline chloride | Sucrose | 2:1 |
| NADES-7 | Choline chloride | Glycerol | 1:2 |
| NADES-8 | Choline chloride | Ethylene glycol | 1:2 |
| NADES-9 | Choline chloride | 1,4-Butanediol | 1:5 |
| NADES-10 | Choline chloride | Urea | 1:2 |
| Variables | Symbols | Coded Levels | ||
|---|---|---|---|---|
| −1 | 0 | 1 | ||
| Microwave power (W) | X1 | 300 | 400 | 500 |
| Extraction temperature (°C) | X2 | 40 | 50 | 60 |
| Extraction time (min) | X3 | 10 | 20 | 30 |
| Solid–liquid ratio (mg/mL) | X4 | 60 | 80 | 100 |
| Macroporous Resins | Polarity | Particle Size Range (mm) | Specific Surface Area (m2/g) | Average Aperture (nm) |
|---|---|---|---|---|
| D101 | Nonpolar | 0.3–1.25 | 500–550 | 9–10 |
| AB-8 | Low-pole | 0.3–1.25 | 480–520 | 12–16 |
| DM130 | Low-pole | 0.3–1.25 | 500–550 | 9–10 |
| Run | Variables | Yields (mg RE/g SPLs) | |||
|---|---|---|---|---|---|
| X1 (W) | X2 (°C) | X3 (min) | X4 (mg/mL) | ||
| 1 | 400 | 50 | 20 | 80 | 40.49 |
| 2 | 500 | 50 | 10 | 80 | 39.99 |
| 3 | 400 | 50 | 10 | 100 | 38.01 |
| 4 | 400 | 60 | 10 | 80 | 39.59 |
| 5 | 300 | 50 | 10 | 80 | 36.44 |
| 6 | 400 | 60 | 20 | 100 | 39.67 |
| 7 | 300 | 60 | 20 | 80 | 36.56 |
| 8 | 500 | 50 | 20 | 60 | 40.03 |
| 9 | 400 | 50 | 20 | 80 | 40.52 |
| 10 | 500 | 60 | 20 | 80 | 40.07 |
| 11 | 400 | 50 | 20 | 80 | 40.38 |
| 12 | 400 | 60 | 30 | 80 | 39.99 |
| 13 | 400 | 50 | 30 | 100 | 38.27 |
| 14 | 500 | 50 | 30 | 80 | 40.06 |
| 15 | 400 | 40 | 20 | 100 | 38.98 |
| 16 | 500 | 40 | 20 | 80 | 39.21 |
| 17 | 400 | 50 | 10 | 60 | 39.88 |
| 18 | 400 | 50 | 20 | 80 | 40.51 |
| 19 | 400 | 50 | 30 | 60 | 40.08 |
| 20 | 500 | 50 | 20 | 100 | 39.11 |
| 21 | 400 | 40 | 10 | 80 | 39.33 |
| 22 | 400 | 60 | 20 | 60 | 40.12 |
| 23 | 300 | 50 | 20 | 60 | 36.96 |
| 24 | 400 | 40 | 30 | 80 | 39.94 |
| 25 | 300 | 50 | 30 | 80 | 36.58 |
| 26 | 300 | 40 | 20 | 80 | 36.26 |
| 27 | 400 | 50 | 20 | 80 | 40.54 |
| 28 | 400 | 40 | 20 | 60 | 39.9 |
| 29 | 300 | 50 | 20 | 100 | 36.61 |
| Source | Sum of Squares | df | Mean Square | F-Value | p-Value |
|---|---|---|---|---|---|
| Model | 56.84797 | 14 | 4.060569 | 24.60617 | <0.0001 |
| X1 | 30.27363 | 1 | 30.27363 | 183.4517 | <0.0001 |
| X2 | 0.472033 | 1 | 0.472033 | 2.86042 | 0.1129 |
| X3 | 0.2352 | 1 | 0.2352 | 1.425261 | 0.2524 |
| X4 | 3.328533 | 1 | 3.328533 | 20.17019 | 0.0005 |
| X1X2 | 0.0784 | 1 | 0.0784 | 0.475087 | 0.5019 |
| X1X3 | 0.001225 | 1 | 0.001225 | 0.007423 | 0.9326 |
| X1X4 | 0.081225 | 1 | 0.081225 | 0.492206 | 0.4944 |
| X2X3 | 0.011025 | 1 | 0.011025 | 0.066809 | 0.7998 |
| X2X4 | 0.055225 | 1 | 0.055225 | 0.334652 | 0.5721 |
| X3X4 | 0.0009 | 1 | 0.0009 | 0.005454 | 0.9422 |
| X12 | 21.65933 | 1 | 21.65933 | 131.2509 | <0.0001 |
| X22 | 0.83987 | 1 | 0.83987 | 5.089434 | 0.0406 |
| X32 | 1.907841 | 1 | 1.907841 | 11.5611 | 0.0043 |
| X42 | 2.412303 | 1 | 2.412303 | 14.61803 | 0.0019 |
| Residual | 2.310313 | 14 | 0.165022 | ||
| Lack of Fit | 2.294433 | 10 | 0.229443 | 57.79429 | 0.0007 |
| Pure error | 0.01588 | 4 | 0.00397 | ||
| Cor total | 59.15828 | 28 |
| Sample | Diameter of Inhibition Zone (mm) | ||||
|---|---|---|---|---|---|
| E. coli | S. aureus | E. carotovora | P. aeruginosa | B.subtilis | |
| Positive control | 25.4 ± 2.3 | 20.5 ± 1.6 | 31.9 ± 2.9 | 28.2 ± 1.8 | 36.5 ± 2.6 |
| Solvent control | - | - | - | - | - |
| Total flavonoids | 4.9 ± 0.8 | 13.8 ± 1.4 | 12.7 ± 2.2 | - | 23.6 ± 2.3 |
Publisher’s Note: MDPI stays neutral with regard to jurisdictional claims in published maps and institutional affiliations. |
© 2022 by the authors. Licensee MDPI, Basel, Switzerland. This article is an open access article distributed under the terms and conditions of the Creative Commons Attribution (CC BY) license (https://creativecommons.org/licenses/by/4.0/).
Share and Cite
Zhang, Y.; Bian, S.; Hu, J.; Liu, G.; Peng, S.; Chen, H.; Jiang, Z.; Wang, T.; Ye, Q.; Zhu, H. Natural Deep Eutectic Solvent-Based Microwave-Assisted Extraction of Total Flavonoid Compounds from Spent Sweet Potato (Ipomoea batatas L.) Leaves: Optimization and Antioxidant and Bacteriostatic Activity. Molecules 2022, 27, 5985. https://doi.org/10.3390/molecules27185985
Zhang Y, Bian S, Hu J, Liu G, Peng S, Chen H, Jiang Z, Wang T, Ye Q, Zhu H. Natural Deep Eutectic Solvent-Based Microwave-Assisted Extraction of Total Flavonoid Compounds from Spent Sweet Potato (Ipomoea batatas L.) Leaves: Optimization and Antioxidant and Bacteriostatic Activity. Molecules. 2022; 27(18):5985. https://doi.org/10.3390/molecules27185985
Chicago/Turabian StyleZhang, Yuqin, Shiquan Bian, Jing Hu, Gang Liu, Shouhua Peng, Hongjiang Chen, Zhenying Jiang, Tongyong Wang, Quan Ye, and Haibo Zhu. 2022. "Natural Deep Eutectic Solvent-Based Microwave-Assisted Extraction of Total Flavonoid Compounds from Spent Sweet Potato (Ipomoea batatas L.) Leaves: Optimization and Antioxidant and Bacteriostatic Activity" Molecules 27, no. 18: 5985. https://doi.org/10.3390/molecules27185985
APA StyleZhang, Y., Bian, S., Hu, J., Liu, G., Peng, S., Chen, H., Jiang, Z., Wang, T., Ye, Q., & Zhu, H. (2022). Natural Deep Eutectic Solvent-Based Microwave-Assisted Extraction of Total Flavonoid Compounds from Spent Sweet Potato (Ipomoea batatas L.) Leaves: Optimization and Antioxidant and Bacteriostatic Activity. Molecules, 27(18), 5985. https://doi.org/10.3390/molecules27185985

