Study on the Structure of a Mixed KCl and K2SO4 Aqueous Solution Using a Modified X-ray Scattering Device, Raman Spectroscopy, and Molecular Dynamics Simulation
Abstract
:1. Introduction
2. Results and Discussion
2.1. X-ray Scattering Analysis
2.2. Raman Spectroscopy Results and Analysis
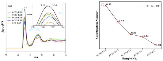
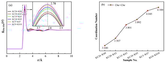
2.3. Simulation Results Analysis
3. Materials and Methods
3.1. Sample Preparation
3.2. X-ray Scattering Experiment
3.3. Raman Spectroscopy Experiment
3.4. Molecular Dynamics Simulation
3.5. Method of Structure Analysis
4. Conclusions
Supplementary Materials
Author Contributions
Funding
Data Availability Statement
Acknowledgments
Conflicts of Interest
Sample Availability
References
- Ren, Y.; Yu, M.; Liu, J.; Zhang, Y. Phase Equilibrium, Structural Properties and Separation Process Studies of Potassium-Ammonium-Based Solid Solution in Aqueous-Solid Solution (AQ-SS). J. Chem. Thermodyn. 2020, 144, 106084. [Google Scholar] [CrossRef]
- Trivedi, J.S.; Bhadja, V.; Makwana, B.S.; Jewrajka, S.K.; Chatterjee, U. Sustainable process for the preparation of potassium sulfate by electrodialysis and its concentration and purification by a nanofiltration process. RSC Adv. 2016, 6, 71807–71817. [Google Scholar] [CrossRef]
- Chen, H.; Zhang, J.; Wang, X.; Nie, Y.; Gao, S.; Zhang, M.; Ma, Y.; Dai, Q.; Li, D.; Kan, S.; et al. K2SO4 nanowires a good nanostructured template. Phys. Lett. A 2006, 355, 222–227. [Google Scholar] [CrossRef]
- Li, S.; Sun, K.; Zhao, Y.; Nie, G.; Song, S. Purification and rapid dissolution of potassium sulfate in aqueous solutions. RSC Adv. 2019, 9, 2156–2161. [Google Scholar] [CrossRef] [PubMed]
- Gallo, P.; Corradini, D.; Rovere, M. Do ions affect the structure of water? The case of potassium halides. J. Mol. Liq. 2014, 189, 52–56. [Google Scholar] [CrossRef]
- Supachai, W.; Anan, T.; Teerakiat, K. Hydration structure and dynamics of K+ and Ca2+ in aqueous solution: Comparison of conventional QM/MM and ONIOM-XS MD simulations. Chem. Phys. Lett. 2011, 517, 171–175. [Google Scholar] [CrossRef]
- Kabbalee, P.; Sripa, P.; Tongraar, A.; Kerdcharoen, T. Solvation structure and dynamics of K+ in aqueous ammonia solution: Insights from an ONIOM-XS MD simulation. Chem. Phys. Lett. 2015, 633, 152–157. [Google Scholar] [CrossRef]
- Li, F.; Li, S.; Zhuang, X.; Yuan, J. Study on the Structure of Potassium Chloride Aqueous Solution by Molecular Dynamics and Raman Spectroscopy Methods. Chem. Eng. Transac. 2017, 61, 769–774. [Google Scholar] [CrossRef]
- Li, S.; Yuan, J.; Li, F.; Liu, Z. Local structures and the dissolving behavior of aqueous ammonia and its KCl and NH4Cl solutions: A Raman spectroscopy and X-ray scattering study. Spectrochim. Acta Part A Mol. Biomol. Spectrosc. 2016, 162, 27–35. [Google Scholar] [CrossRef]
- Yuan, J.; Bao, J. Molecular dynamics simulation of K+, Na+ and Cl− hydration. Comput. Appl. Chem. 2009, 26, 1295. [Google Scholar] [CrossRef]
- Zhou, Q.; Yuan, J.; Bao, J.; Li, F. Molecular dynamics simulation of ionic concentration effects on ionic hydration in aqueous KCI solutions. Comput. Appl. Chem. 2011, 28, 1189–1193. [Google Scholar] [CrossRef]
- Yuan, J.S.; Liu, Z.Y.; Li, F.; Li, S.Y. Study of the Hydrated Structure of KCl and NaCl Mixed Solutions Using X-ray Diffraction and Raman Spectroscopy. Acta Phys. Chim. Sin. 2016, 32, 1143–1150. [Google Scholar] [CrossRef]
- Li, F.; Yuan, J.; Li, D.; Li, S.; Han, Z. Study on the structure of aqueous potassium chloride solutions using the X-ray diffraction and Raman spectroscopy methods. J. Mol. Struct. 2015, 1081, 38–43. [Google Scholar] [CrossRef]
- Wang, J.; Lin, H.; An, S.; Li, S.; Yuan, J. Concentration-dependent structure of KCl aqueous solutions under weak magnetic field from the X-ray diffraction and molecular dynamics simulation. J. Mol. Struct. 2019, 1201, 127130. [Google Scholar] [CrossRef]
- Liu, Y.; Lu, H.; Wu, Y.; Hu, T.; Li, Q. Hydration and coordination of K+ solvation in water from ab initio molecular-dynamics simulation. J. Chem. Phys. 2010, 132, 124503–124506. [Google Scholar] [CrossRef]
- Mancinelli, R.; Botti, A.; Bruni, F.; Ricci, M.A.; Soper, A.K. Hydration of Sodium, Potassium, and Chloride Ions in Solution and the Concept of Structure Maker/Breaker. J. Phys. Chem. B. 2007, 111, 13570–13577. [Google Scholar] [CrossRef]
- Khoshtariya, D.E.; Zahl, A.; Dolidze, T.D.; Neubrand, A.; Eldik, R.V. Discrimination of Diverse (Pressure/Temperature-Dependent/Independent) Inherent Sub-structures in Liquid Water (D2O) from Difference Vibrational Spectroscopy. J. Phys. Chem. B. 2004, 108, 14796–14799. [Google Scholar] [CrossRef]
- Khoshtariya, D.E.; Dolidze, T.D.; Lindqvist-Reis, P.; Neubrand, A.; van Eldik, R. Liquid water (D2O): A dynamic model emerging from near-infrared DO-D stretching overtone studies. J. Mol. Liq. 2002, 96–97, 45–63. [Google Scholar] [CrossRef]
- Khoshtariya, D.E.; Hansen, E.; Leecharoen, R.; Walker, G.C. Probing protein hydration by the difference O–H (O–D) vibrational spectroscopy: Interfacial percolation network involving highly polarizable water-water hydrogen bonds. J. Mol. Liq. 2003, 105, 13–36. [Google Scholar] [CrossRef]
- Sun, Q. Raman spectroscopic study of the effects of dissolved NaCl on water structure. Vib. Spectrosc. 2012, 62, 110–114. [Google Scholar] [CrossRef]
- Sun, Q. Local statistical interpretation for water structure. Chem. Phys. Lett. 2013, 568, 90–94. [Google Scholar] [CrossRef]
- Fu, L.; Bienenstock, A.; Brennan, S. The information content of electron flow through adsorbed molecular monolayers. J. Chem. Phys. 2009, 131, 234702. [Google Scholar] [CrossRef] [PubMed]
- Qiao, M.D.; Wang, S.C.; Li, F.; Wang, M.L.; Meng, X.Z.; Zhu, H.Y.; Feng, M.Y.; Zhang, D.Y.; Li, T.B.; Zhang, Y.; et al. The trade-off effect of KCl and NH4Cl on the hydrated structure in their mixed aqueous solutions. J. Mol. Struct. 2022, 1264, 133213. [Google Scholar] [CrossRef]
- Hu, Q.; Zhao, H. Understanding the effects of chlorine ion on water structure from a Raman spectroscopic investigation up to 573 K. J. Mol. Struct. 2019, 1182, 191–196. [Google Scholar] [CrossRef]
- Sun, Q. The Raman OH stretching bands of liquid water. Vib. Spectrosc. 2009, 51, 213–217. [Google Scholar] [CrossRef]
- Sun, Q.; Qin, C. Raman OH stretching band of water as an internal standard to determine carbonate concentrations. Chem. Geol. 2011, 283, 274–278. [Google Scholar] [CrossRef]
- Sun, Q. The single donator-single acceptor hydrogen bonding structure in water probed by Raman spectroscopy. J. Chem. Phys. 2010, 132, 054507. [Google Scholar] [CrossRef]
- Li, F.; Han, Z.; Li, D.C.; Li, S.Y.; Yuan, J.S. Determination of the Structure of Aqueous Solutions by θ-2θ X-ray Diffractometer. Chin. J. Anal. Lab. 2014, 33, 1072–1076. [Google Scholar] [CrossRef]
- Wang, J.; Lin, H.; Li, F.; Li, S.; An, S.; Yuan, J. Concentration-dependent structure of mixed NH4Cl and (NH4)2SO4 aqueous solutions from the X-ray diffraction, Raman spectroscopy and molecular dynamics simulations. J. Mol. Struct. 2019, 1185, 469–477. [Google Scholar] [CrossRef]
- Wang, X.; Chen, S.; Li, F.; Yuan, J. Study on the aqueous solution structure of sodium chloride. J. At. Mol. Phys. 2020, 37, 768–777. [Google Scholar]
- Egami, T.; Billinge, S. Underneath the Bragg Peaks: Structural Analysis of Complex Materials, 2nd ed.; Pergamon Press: Oxford, UK, 2003; pp. 217–236. [Google Scholar]
- Juhás, P.; Davis, T.; Farrow, C.L.; Billinge, S.J.L. PDFgetX3: A rapid and highly automatable program for processing powder diffraction data into total scattering pair distribution functions. J. Appl. Crystallogr. 2013, 46, 560–566. [Google Scholar] [CrossRef] [Green Version]
- Jeong, I.K.; Thompson, J.J.; Proffen, T.; Turner, A.M.P.; Billinge, S.J.L. PDFgetX: A program for obtaining the atomic pair distribution function from X-ray powder diffraction data. J. Appl. Crystallogr. 2001, 34, 536. [Google Scholar] [CrossRef]
- Yang, X.; Juhas, P.; Farrow, C.L.; Billinge, S.J.L. Novel and Permanent Measurement of Formation Pore Pressure. J. Appl. Crystallogr. 2014, 11–14. [Google Scholar] [CrossRef]
- Sun, H.; Jin, Z.; Yang, C. COMPASS II: Extended coverage for polymer and drug-like molecule databases. J. Mol. Modeling 2016, 22, 1–10. [Google Scholar] [CrossRef]
- Sun, H. COMPASS: An ab initio force-field optimized for condensed-phase applications overview with details on alkane and benzene compounds. J. Phys. Chem. B 1998, 102, 7338–7364. [Google Scholar]
- Yang, J.; Ren, Y.; Tian, A.M. COMPASS force field for 14 inorganic molecules, He, Ne, Ar, Kr, Xe, H2, O2, N2, NO, CO, CO2, NO2, CS2, and SO2, in liquid phases. J. Phys. Chem. B. 2000, 104. [Google Scholar] [CrossRef]
- Bouazizi, S.; Nasr, S.; Jaîdane, N. Local order in aqueous NaCl solutions and pure water: X-ray scattering and molecular dynamics simulations study. J. Phys. Chem. B. 2006, 110, 23515. [Google Scholar] [CrossRef] [PubMed]
- Bouazizi, S.; Nasr, S. Structural investigations of high concentrated aqueous LiCl solutions: X-ray scattering and MD simulations approach. J. Mol. Struct. 2008, 875, 121–129. [Google Scholar] [CrossRef]
- Zhu, H.; Zhuang, X.; Meng, X.; Wang, M.; Wang, X.; Li, F.; Yuan, J. Concentration-dependent structure of mixed (NH4)2SO4 and K2SO4 aqueous solutions using the X-ray diffraction, Raman spectroscopy and molecular dynamics simulations. Vib Spectrosc. 2021, 116, 103292. [Google Scholar] [CrossRef]
- Meng, X.; Zhuang, X.; Fu, Y.; Yuan, J.; Li, S.; Chen, S. Local structure of NH4Cl solution and its correlation with osmotic coefficient by molecular dynamics simulation and Raman spectroscopy. Vib Spectrosc. 2020, 111, 103155. [Google Scholar] [CrossRef]












| Sample No. | Raman Shift (cm−1) | ||||
|---|---|---|---|---|---|
| DDA | DDAA | DA | DAA | Free OH | |
| KC26-KS0 | 3157.6 | 3273.7 | 3433.0 | 3535.6 | 3618.5 |
| KC20-KS2 | 3168.2 | 3271.7 | 3430.0 | 3525.6 | 3616.6 |
| KC15-KS3 | 3157.8 | 3273.8 | 3427.4 | 3521.6 | 3607.2 |
| KC10-KS5 | 3154.3 | 3269.5 | 3421.2 | 3512.0 | 3605.4 |
| KC5-KS7 | 3151.7 | 3269.5 | 3422.5 | 3514.7 | 3606.2 |
| KC0-KS10 | 3142.1 | 3266.0 | 3418.2 | 3514.7 | 3602.5 |
| Sample No. | Mass Fraction/% | Density/g·cm−3 | nk:nc:ns:nh * | |
|---|---|---|---|---|
| KCl | K2SO4 | |||
| KC26-KS0 | 26.0 | 0.0 | 1.1698 | 52:52:0:609 |
| KC20-KS2 | 20.0 | 2.1 | 1.1521 | 42:38:2:609 |
| KC15-KS3 | 15.0 | 3.3 | 1.1267 | 29: 23:3:609 |
| KC10-KS5 | 10.0 | 4.9 | 1.1054 | 25:17:4 609 |
| KC5-KS7 | 5.0 | 7.1 | 1.0900 | 18:8:5:609 |
| KC0-KS10 | 0.0 | 10.0 | 1.0641 | 14:0:7:609 |
| Sample No. | K2SO4 Mass Fraction/% | Density/g·cm−3 | n(K2SO4):n(H2O) |
|---|---|---|---|
| KS1 | 0.08 | 0.9928 | 1:12078.3 |
| KS2 | 0.16 | 0.9931 | 1:10063.6 |
| KS3 | 0.24 | 0.9943 | 1:8049.0 |
| KS4 | 0.48 | 0.9964 | 1:2005.0 |
| KS5 | 1.00 | 0.9989 | 1:957.4 |
| KS6 | 2.50 | 1.0111 | 1:625.8 |
| KS7 | 5.00 | 1.0315 | 1:183.7 |
| KS8 | 7.50 | 1.0478 | 1:135.4 |
| KS9 | 10.0 | 1.0641 | 1:87.0 |
| Sample No. | KCl Mass Fraction/% | Density/g·cm−3 | n(KCl):n(H2O) |
|---|---|---|---|
| KC1 | 0.07 | 0.9966 | 1:5874.9 |
| KC2 | 0.21 | 0.9969 | 1:1971.5 |
| KC3 | 0.42 | 0.9985 | 1:983.4 |
| KC4 | 1.00 | 1.0001 | 1:410.0 |
| KC5 | 5.00 | 1.0258 | 1:78.5 |
| KC6 | 10.00 | 1.0587 | 1:37.2 |
| KC7 | 15.00 | 1.0923 | 1:23.5 |
| KC8 | 20.00 | 1.1265 | 1:16.5 |
| KC9 | 26.00 | 1.1698 | 1:11.8 |
Publisher’s Note: MDPI stays neutral with regard to jurisdictional claims in published maps and institutional affiliations. |
© 2022 by the authors. Licensee MDPI, Basel, Switzerland. This article is an open access article distributed under the terms and conditions of the Creative Commons Attribution (CC BY) license (https://creativecommons.org/licenses/by/4.0/).
Share and Cite
Qiao, M.; Li, F.; Meng, X.; Wang, M.; Zhu, H.; Ji, Z.; Zhao, Y.; Liu, J.; Wang, S.; Guo, X.; et al. Study on the Structure of a Mixed KCl and K2SO4 Aqueous Solution Using a Modified X-ray Scattering Device, Raman Spectroscopy, and Molecular Dynamics Simulation. Molecules 2022, 27, 5575. https://doi.org/10.3390/molecules27175575
Qiao M, Li F, Meng X, Wang M, Zhu H, Ji Z, Zhao Y, Liu J, Wang S, Guo X, et al. Study on the Structure of a Mixed KCl and K2SO4 Aqueous Solution Using a Modified X-ray Scattering Device, Raman Spectroscopy, and Molecular Dynamics Simulation. Molecules. 2022; 27(17):5575. https://doi.org/10.3390/molecules27175575
Chicago/Turabian StyleQiao, Mengdan, Fei Li, Xianze Meng, Meiling Wang, Hanyu Zhu, Zhiyong Ji, Yingying Zhao, Jie Liu, Shizhao Wang, Xiaofu Guo, and et al. 2022. "Study on the Structure of a Mixed KCl and K2SO4 Aqueous Solution Using a Modified X-ray Scattering Device, Raman Spectroscopy, and Molecular Dynamics Simulation" Molecules 27, no. 17: 5575. https://doi.org/10.3390/molecules27175575
APA StyleQiao, M., Li, F., Meng, X., Wang, M., Zhu, H., Ji, Z., Zhao, Y., Liu, J., Wang, S., Guo, X., Bi, J., & Yuan, J. (2022). Study on the Structure of a Mixed KCl and K2SO4 Aqueous Solution Using a Modified X-ray Scattering Device, Raman Spectroscopy, and Molecular Dynamics Simulation. Molecules, 27(17), 5575. https://doi.org/10.3390/molecules27175575

