Flower Extracts from Ornamental Plants as Sources of Sunscreen Ingredients: Determination by In Vitro Methods of Photoprotective Efficacy, Antigenotoxicity and Safety
Abstract
1. Introduction
2. Results
2.1. In Vitro Photoprotection Efficacy of the Flower Extracts
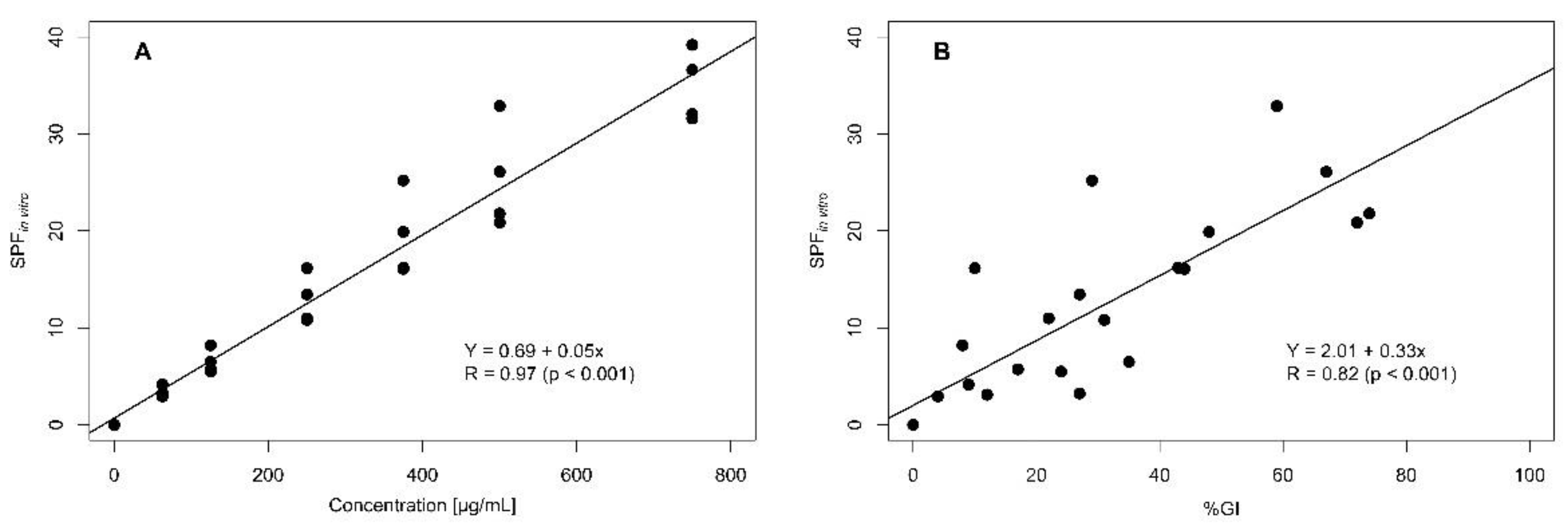
2.2. Relations between SPFin vitro and %GI Estimates in Flower Extracts
2.3. Extract Cytotoxicity in Human Fibroblast (MRC5) Cells
2.4. Extract Genotoxicity in Human Fibroblast (MRC5) Cells
2.5. In Vitro Photoprotection Efficacy and Photostability at Safe Extract Concentrations
2.6. Chemical Characterization of the Promising Flower Extracts by UHPLC–ESI+–Orbitrap–MS
3. Discussion
| Plant Family | Species Name | UV Protective Rank | References |
|---|---|---|---|
| Adoxaceae | Sambucus nigra | UVA | Jarzycka et al. [34] |
| Asteraceae | Achyrocline satureioides | UVB | Fuentes et al. [17] |
| Baccharis antioquensis | UVA-UVB | Mejía-Giraldo et al. [14,35,36] | |
| Chromolaena pellia | UVA-UVB | Fuentes et al. [17] | |
| Helichrysum arenarium | UVA | Jarzycka et al. [34] | |
| Pentacalia pulchella | UVA-UVB | Mejía-Giraldo et al. [14,35,37] | |
| Bromeliaceae | Neoglaziovia variegata | UVB | de Oliveira-Junior et al. [38] |
| Calophyllaceae | Calophyllum inophyllum | UVA-UVB | Ku et al. [39] |
| Convolvulaceae | Ipomoea horsfalliae | UVB | Sierra et al. [40] |
| Cucurbitaceae | Momordica charantia | UVB | Guimarães de Sousa et al. [41] |
| Clusiaceae | Garcinia brasiliensis | UVB | Figueiredo et al. [42] |
| Fabaceae | Bauhinia microstachya | UVB | Reis-Mansur et al. [43] |
| Dimorphandra gardneriana | UVB | Nunes et al. [15] | |
| Myricaceae | Morella parvifolia | UVA-UVB | Puertas-Mejía et al. [44] |
| Nycataginaceae | Boerhavia diffusa | UVB | Guimarães de Sousa et al. [41] |
| Rosaceae | Crataegus monogyna | UVA | Jarzycka et al. [34] |
| Verbenaceae | Lippia microphylla | UVB | Nunes et al. [15] |
| Lippia origanoides | UVB | Fuentes et al. [17] | |
| Vitaceae | Vitis vinifera | UVA-UVB | Hübner et al. [45] |
4. Materials and Methods
4.1. Plant Material and Extracts
4.2. Chemicals, Buffer, Enzymes, and Culture Media
4.3. UV Absorption Capability
4.4. In Vitro Photoprotection Efficacy
4.5. In Vitro Photostability
4.6. Antigenotoxicity against UVB Radiation Estimates Based on SOS Chromotest
4.7. Extract Cytotoxicity in Human Fibroblast (MRC5) Cells
4.8. Extract Genotoxicity in Human Fibroblast (MRC5) Cells
4.9. UHPLC–ESI+–Orbitrap–MS Analysis
4.10. Statistical Analysis
5. Conclusions
Author Contributions
Funding
Institutional Review Board Statement
Informed Consent Statement
Data Availability Statement
Acknowledgments
Conflicts of Interest
Sample Availability
References
- Yeager, D.G.; Lim, H.W. What’s new in photoprotection A review of new concepts and controversies. Dermatol. Clin. 2019, 37, 149–157. [Google Scholar] [CrossRef] [PubMed]
- Ganesan, A.; Hanawalt, P. Photobiological origins of the field of genomic maintenance. Photochem. Photobiol. 2016, 92, 52–60. [Google Scholar] [CrossRef] [PubMed]
- Schuch, A.P.; Moreno, N.C.; Schuch, N.J.; Menck, C.F.M.; Garcia, C.C.M. Sunlight damage to cellular DNA: Focus on oxidatively generated lesions. Free Radic. Biol. Med. 2017, 107, 110–124. [Google Scholar] [CrossRef] [PubMed]
- Guan, L.L.; Lim, H.W.; Mohammad, T.F. Sunscreens and photoaging: A review of current literature. Am. J. Clin. Dermatol. 2021, 22, 819–828. [Google Scholar] [CrossRef]
- Jansen, R.; Osterwalder, U.; Wang, S.Q.; Burnett, M.; Lim, H.W. Photoprotection. Part II. Sunscreen: Development, efficacy, and controversies. J. Am. Acad. Dermatol. 2013, 69, 867.e1–867.e14. [Google Scholar]
- Osterwalder, U.; Sohn, M.; Herzog, B. Global state of sunscreens. Photodermatol. Photoimmunol. Photomed. 2014, 30, 62–80. [Google Scholar] [CrossRef]
- Young, A.R.; Claveau, J.; Rossi, A.B. Ultraviolet radiation and the skin: Photobiology and sunscreen photoprotection. J. Am. Acad. Dermatol. 2017, 76, 100–109. [Google Scholar] [CrossRef]
- Downs, C.A.; Kramarsky-Winter, E.; Segal, R.; Fauth, J.; Knutson, S.; Bronstein, O.; Ciner, F.R.; Jeger, R.; Lichtenfeld, Y.; Woodley, C.M.; et al. Toxicopathological effects of the sunscreen UV filter, oxybenzone (benzophenone-3), on coral planulae and cultured primary cells and its environmental contamination in Hawaii and the U.S. virgin islands. Arch. Environ. Contam. Toxicol. 2016, 70, 265–288. [Google Scholar] [CrossRef]
- Ghazipura, M.; McGowan, R.; Arslan, A.; Hossain, T. Exposure to benzophenone-3 and reproductive toxicity: A systematic review of human and animal studies. Reprod. Toxicol. 2017, 73, 175–183. [Google Scholar] [CrossRef]
- Schneider, S.L.; Lim, H.W. Review of environmental effects of oxybenzone and other sunscreen active ingredients. J. Am. Acad. Dermatol. 2019, 80, 266–271. [Google Scholar] [CrossRef]
- Narla, S.; Lim, H.W. Sunscreen: FDA regulation, and environmental and health impact. Photochem. Photobiol. Sci. 2020, 19, 66–70. [Google Scholar] [CrossRef] [PubMed]
- Serafini, M.R.; Guimarães, A.G.; Quintans, J.S.S.; Araujo, A.A.S.; Nunes, P.S.; Quintans-Junior, L.J. Natural compounds for solar photoprotection: A patent review. Expert Opin. Ther. Patents 2015, 25, 467–478. [Google Scholar] [CrossRef] [PubMed]
- Cefali, L.C.; Ataide, J.A.; Moriel, P.; Foglio, M.A.; Mazzola, P.G. Plant-based active photoprotectants for sunscreens. Int. J. Cosmet. Sci. 2016, 38, 346–353. [Google Scholar] [CrossRef]
- Mejía-Giraldo, J.C.; Henao-Zuluaga, K.; Gallardo, C.; Atehortúa, L.; Puertas-Mejía, M.A. Novel in vitro antioxidant and photoprotection capacity of plants from high altitude ecosystems of Colombia. Photochem. Photobiol. 2016, 92, 150–157. [Google Scholar] [CrossRef]
- Nunes, A.R.; Rodrigues, A.L.M.; de Queiroz, D.B.; Vieira, I.G.P.; Neto, J.F.C.; Calixto, J.T., Jr.; Tintino, S.R.; Maia de Morais, S.; Coutinho, H.D.M. Photoprotective potential of medicinal plants from Cerrado biome (Brazil) in relation to phenolic content and antioxidant activity. J. Photochem. Photobiol. B 2018, 189, 119–123. [Google Scholar] [CrossRef] [PubMed]
- Morocho-Jácome, A.L.; Batello-Freire, T.; Costa de Oliveira, A.; Santos de Almeida, T.; Rosado, C.; Robles-Velasco, M.V.; Rolim-Baby, A. In vivo SPF from multifunctional sunscreen systems developed with natural compounds—A review. J. Cosmet. Dermatol. 2021, 20, 729–737. [Google Scholar] [CrossRef] [PubMed]
- Fuentes, J.L.; Villamizar-Mantilla, D.A.; Flores-González, S.J.; Núñez, L.A.; Stashenko, E.E. Plants growing in Colombia as sources of active ingredients for sunscreens. Int. J. Radiat. Biol. 2021, 97, 1705–1715. [Google Scholar] [CrossRef]
- Cavinato, M.; Waltenberger, B.; Baraldo, G.; Grade, C.V.C.; Stuppner, H.; Jansen-Durr, P. Plant extracts and natural compounds used against UVB-induced photoaging. Biogerontology 2017, 18, 499–516. [Google Scholar] [CrossRef]
- Sajadimajd, S.; Bahramsoltani, R.; Iranpanah, A.; Kumar-Patra, J.; Das, G.; Gouda, S.; Rahimi, R.; Rezaeiamiri, E.; Cao, H.; Giampieri, F.; et al. Advances on natural polyphenols as anticancer agents for skin cancer. Pharmacol. Res. 2020, 151, 104584. [Google Scholar] [CrossRef]
- Chhabra, G.; Ndiaye, M.A.; Garcia-Peterson, L.M.; Ahmad, N. Melanoma chemoprevention: Current status and future prospects. Photochem. Photobiol. 2017, 93, 975–989. [Google Scholar] [CrossRef]
- Montes de Oca, M.K.; Pearlman, R.L.; McClees, S.F.; Strickland, R.; Afaq, F. Phytochemicals for the prevention of photocarcinogenesis. Photochem. Photobiol. 2017, 93, 956–974. [Google Scholar] [CrossRef] [PubMed]
- Mileva, M.; Ilieva, Y.; Jovtchev, G.; Gateva, S.; Zaharieva, M.M.; Georgieva, A.; Dimitrova, L.; Dobreva, A.; Angelova, T.; Vilhelmova-Ilieva, N.; et al. Rose flowers—A delicate perfume or a natural healer? Biomolecules 2021, 11, 127. [Google Scholar] [CrossRef] [PubMed]
- Desempeño del Sector Floricultor. EE-Estudio Sector de Flores-2017 09 28; Superintendencia de Sociedades: Bogota, Colombia, 2017. Available online: https://www.supersociedades.gov.co/SiteCollectionDocuments/2017/ (accessed on 30 March 2022).
- Valbuena, M.C.; Nova-Villanueva, J.A.; Sánchez-Vanegas, G. Minimal Erythema Dose: Correlation with Fitzpatrick skin type and concordance between methods of erythema assessment in a patient sample in Colombia. Actas Dermosifiliogr. 2020, 111, 390–397. [Google Scholar] [CrossRef]
- Harborne, J. The Handbook of Natural Flavonoids; Harborne, J., Baxter, H., Eds.; John Wiley and Sons: Hoboken, NJ, USA, 1999; Volume 2, p. 879. [Google Scholar]
- Fetni, S.; Bertella, N.; Ouahab, A.; Zapater, J.; Fernandez, S. Composition and biological activity of the Algerian plant Rosa canina L. by HPLC-UV-MS. Arab. J. Chem. 2020, 13, 1105–1119. [Google Scholar] [CrossRef]
- Barnes, J.; Schug, K. Structural characterization of cyanidin-3,5-diglucoside and pelargonidin-3,5-diglucoside anthocyanins: Multi-dimensional fragmentation pathways using high performance liquid chromatography-electrospray ionization ion-trap-time-of-flight mass spectrometry. Int. J. Mass Spectrom. 2011, 308, 71–80. [Google Scholar] [CrossRef]
- March, R.; Miao, X. A fragmentation study of kaempferol using electrospray quadrupole time-of-flight mass spectrometry at high mass resolution. Int. J. Mass Spectrom. 2004, 231, 157–167. [Google Scholar] [CrossRef]
- Wang, Y.H.; Avula, B.; Jadhav, A.; Smillie, T.; Khan, I. Structural characterization and identification of ecdysteroids from Sida rhombifolia L. in positive electrospray ionization by tandem mass spectrometry. Rapid Commun. Mass Spectrom. 2008, 22, 2413–2422. [Google Scholar] [CrossRef]
- METLINTM. Metabolomic Data Bases. Available online: https://metlin.scripps.edu (accessed on 21 May 2019).
- Mouret, S.; Bogdanowicz, P.; Haure, M.J.; Castex-Rizzi, N.; Cadet, J.; Favier, A.; Douki, T. Assessment of the photoprotection properties of sunscreens by chromatographic measurement of DNA damage in skin explants. Photochem. Photobiol. 2011, 87, 109–116. [Google Scholar] [CrossRef]
- Schuch, A.P.; Moraes, M.C.S.; Yagura, T.; Menck, C.F.M. Highly sensitive biological assay for determining the photoprotective efficacy of sunscreen. Environ. Sci. Technol. 2014, 48, 11584–11590. [Google Scholar] [CrossRef]
- Cediel-Becerra, J.D.D.; Suescún-Sepúlveda, J.A.; Fuentes, J.L. Prodigiosin production and photoprotective/antigenotoxic properties in Serratia marcescens indigenous strains from eastern cordillera of Colombia. Photochem. Photobiol. 2022, 98, 254–261. [Google Scholar] [CrossRef]
- Jarzycka, A.; Lewińska, A.; Gancarz, R.; Wilk, K.A. Assessment of extracts of Helichrysum arenarium, Crataegus monogyna, Sambucus nigra in photoprotective UVA and UVB; photostability in cosmetic emulsions. J. Photochem. Photobiol. B 2013, 128, 50–57. [Google Scholar] [CrossRef] [PubMed]
- Mejía-Giraldo, J.C.; Winkler, R.; Gallardo, C.; Sánchez-Zapata, A.M.; Puertas-Mejía, M.A. Photoprotective potential of Baccharis antioquensis (Asteraceae) as natural sunscreen. Photochem. Photobiol. 2016, 92, 742–752. [Google Scholar] [CrossRef] [PubMed]
- Mejía-Giraldo, J.C.; Scaiano, J.C.; Gallardo-Cabrera, C.; Puertas-Mejía, M.A. Photoprotection and photostability of a new lignin-gelatin-Baccharis antioquensis-based hybrid biomaterial. Antioxidants 2021, 10, 1904. [Google Scholar] [CrossRef] [PubMed]
- Mejía-Giraldo, J.C.; Winkler, R.; Puertas-Mejía, M. Novel UV filters from Pentacalia pulchella extracts with photoprotective properties and antioxidant activity. Photochem. Photobiol. Sci. 2021, 20, 1585–1597. [Google Scholar] [CrossRef]
- de Oliveira-Junior, R.G.; Rocha-Souza, G.; Guimarães, A.L.; de Oliveira, A.P.; de Souza-Araújo, C.; Cabral-Silva, J.; Marques-Pacheco, A.G.; de Lima-Saraiva, S.R.G.; Rolim, L.A.; Rolim-Neto, P.J.; et al. Photoprotective, antibacterial activity and determination of phenolic compounds of Neoglaziovia variegata (Bromeliaceae) by high performance liquid chromatography-diode array detector (HPLC-DAD) analysis. Afr. J. Pharm. Pharmacol. 2015, 9, 576–584. [Google Scholar]
- Ku, W.J.; Lin, C.J.; Lin, P.H. UV-Protection performance of Calophyllum inophyllum seed extracts: A natural ultraviolet screening agent. Nat. Prod. Commun. 2021, 16, 1934578X20985650. [Google Scholar] [CrossRef]
- Sierra, L.D.; Córdoba, Y.; Mejía, J.J.; Quintero-Rueda, E.; Ocazionez, R.E.; Avila-Acevedo, J.G.; García-Bores, A.M.; Espinosa-González, A.M.; Benítez-Flores, J.C.; González-Valle, M.R.; et al. Photoprotective activity of Ipomoea horsfalliae flower extract. Rev. Bras. Farmacogn. 2020, 30, 69–79. [Google Scholar] [CrossRef]
- Guimarães de Sousa, R.; da Silva Lima, A.D.; Neves de Lima, E. Incremento da atividade fotoprotetora e antioxidante de cosméticos contendo extratos vegetais da Caatinga. Braz. J. Nat. Sci. 2020, 3, 225–230. [Google Scholar]
- Figueiredo, S.A.; Pinto-Vilela, F.M.; da Silva, C.A.; Cunha, T.M.; dos Santos, M.H.; Vieira-Fonseca, M.J. In vitro and in vivo photoprotective/photochemopreventive potential of Garcinia brasiliensis epicarp extract. J. Photochem. Photobiol. B. 2014, 131, 65–73. [Google Scholar] [CrossRef]
- Reis-Mansur, M.C.P.P.; Guimarães-Leitão, S.; Cerqueira-Coutinho, C.; Vermelho, A.B.; Silva, R.S.; Presgrave, O.A.F.; Leitão, A.A.C.; Leitão, G.G.; Ricci-Júnior, E.; Santos, E.P. In vitro and in vivo evaluation of efficacy and safety of photoprotective formulations containing antioxidant extracts. Rev. Bras. Farmacogn. 2016, 26, 251–258. [Google Scholar] [CrossRef]
- Puertas-Mejía, M.A.; Gutierrez-Villegas, M.I.; Mejía-Giraldo, J.C.; Winkler, R.; Rojano, B. In vitro UV absorption properties and radical scavenging capacity of Morella parvifolia (Benth.) Parra-Os extracts. Braz. J. Pharm. Sci. 2018, 54, e17498. [Google Scholar] [CrossRef]
- Hübner, A.A.; Sarruf, F.D.; Oliveira, C.A.; Neto, A.V.; Fischer, D.C.H.; Kato, E.T.M.; Lourenço, F.R.; Baby, R.; Bacchi, E.M. Safety and photoprotective efficacy of a sunscreen system based on grape pomace (Vitis vinifera L.) phenolics from winemaking. Pharmaceutics 2020, 12, 1148. [Google Scholar] [CrossRef] [PubMed]
- Delprete, P.G. Taxonomic history, morphology, and reproductive biology of the tribe Posoquerieae (Rubiaceae, Ixoroideae). Ann. Missouri Bot. Gard. 2009, 96, 79–89. [Google Scholar] [CrossRef]
- Ariza, O.; Rueda, E.; Archila, J.; Martínez, J.; Stashenko, E. Determinación mediante HS-SPME/GC-MS, de la composición química de la fragancia y el absoluto de las flores de Posoqueria latifolia. Scientia et Technica 2007, 1, 59–61. [Google Scholar]
- Romero-Pérez, A.I.; Lamuela-Raventós, R.M.; Waterhouse, A.L.; de la Torre-Boronat, M.C. Levels of cis- and trans-resveratrol and their glucosides in white and rose Vitis vinifera wines from Spain. J. Agric. Food Chem. 1996, 44, 2124–2128. [Google Scholar] [CrossRef]
- Shimoda, K.; Hamada, M.; Hamada, H.; Takemoto, M.; Hamada, H. Synthesis of resveratrol glycosides by cultured plant cells. Nat. Prod. Commun. 2013, 8, 907–909. [Google Scholar] [CrossRef] [PubMed]
- Kitagawa, S.; Yoshii, K.; Morita, S.Y.; Teraoka, R. Efficient topical delivery of chlorogenic acid by an oil-in-water microemulsion to protect skin against UV-induced damage. Chem. Pharm. Bull. 2011, 59, 793–796. [Google Scholar] [CrossRef]
- Polonini, H.C.; Lima, L.L.; Gonçalves, K.M.; Resende do Carmo, A.M.; da Silva, A.D.; Barbosa-Raposo, N.R. Photoprotective activity of resveratrol analogues. Bioorg. Med. Chem. 2013, 21, 964–968. [Google Scholar] [CrossRef]
- Stevanato, R.; Bertelle, M.; Fabris, S. Photoprotective characteristics of natural antioxidant polyphenols. Regul. Toxicol. Pharmacol. 2014, 69, 71–77. [Google Scholar] [CrossRef]
- Kostyuk, V.; Potapovich, A.; Albuhaydar, A.R.; Mayer, W.; De Luca, C.; Korkina, L. Natural substances for prevention of skin photoaging: Screening systems in the development of sunscreen and rejuvenation cosmetics. Rejuvenation Res. 2018, 21, 91–101. [Google Scholar] [CrossRef]
- Baur, J.A.; Sinclair, D.A. Therapeutic potential of resveratrol: The in vivo evidence. Nat. Rev. Drug Discov. 2006, 5, 493–506. [Google Scholar] [CrossRef] [PubMed]
- Lorencini, M.; Brohema, C.A.; Dieamant, G.C.; Zanchin, N.I.T.; Maibach, H.I. Active ingredients against human epidermal aging. Ageing Res. Rev. 2014, 15, 100–115. [Google Scholar] [CrossRef] [PubMed]
- Hu, S.; Chen, F.; Wang, M. Photoprotective effects of oxyresveratrol and kuwanon O on DNA damage induced by UVA in human epidermal keratinocytes. Chem. Res. Toxicol. 2015, 28, 541–548. [Google Scholar] [CrossRef] [PubMed]
- Shokrzadeh, M.; Habibi, E.; Modanloo, M. Cytotoxic and genotoxic studies of essential oil from Rosa damascene Mill., Kashan, Iran. Med. Glas. 2017, 14, 152–157. [Google Scholar]
- Mikanagi, Y.; Yokoi, M.; Ueda, Y.; Saito, N. Flower flavonol and anthocyanin distribution in subgenus Rosa. Biochem. Syst. Ecol. 1995, 23, 183–200. [Google Scholar] [CrossRef]
- Cai, Y.; Xing, J.; Sun, M.; Zhan, Z.; Corke, H. Phenolic antioxidants (hydrolyzable tannins, flavonols, and anthocyanins) identified by LC-ESI-MS and MALDI-QIT-TOF-MS from Rosa chinensis flowers. J. Agric. Food Chem. 2005, 53, 9940–9948. [Google Scholar] [CrossRef]
- Kumar, N.; Bhandari, P.; Singh, B.; Bari, S. Antioxidant activity and ultra-performance LC-electrospray ionization-quadrupole time-of-flight mass spectrometry for phenolics-based fingerprinting of Rose species: Rosa damascena, Rosa bourboniana and Rosa brunonii. Food Chem. Toxicol. 2009, 47, 361–367. [Google Scholar] [CrossRef]
- Nađpal, J.; Lesjak, M.; Šibul, F.; Anačkov, G.; Četojevič-Simin, D.; Mimica-Dukič, N.; Beara, I. Comparative study of biological activities and phytochemical composition of two rose hips and their preserves: Rosa canina L. and Rosa arvensis Huds. Food Chem. 2016, 192, 907–914. [Google Scholar] [CrossRef]
- Kumar, S.; Gautam, S.; Sharma, A. Identification of antimutagenic properties of anthocyanins and other polyphenols from rose (Rosa centifolia) petals and tea. J. Food Sci. 2013, 78, H948–H954. [Google Scholar] [CrossRef]
- Choquenet, B.; Couteau, C.; Paparis, E.; Coiffard, L.J.M. Flavonoids and polyphenols, molecular families with sunscreen potential: Determining effectiveness with an in vitro method. Nat. Prod. Commun. 2008, 4, 227–230. [Google Scholar] [CrossRef]
- Stich, H.F.; Rosin, M.P.; Wu, C.H.; Powrie, W.D. A comparative genotoxicity study of chlorogenic acid (3-O-caffeoylquinic acid). Mutat. Res. 1981, 90, 201–212. [Google Scholar] [CrossRef]
- Guardado-Yordi, E.; Matos, M.J.; Pérez-Martínez, A.; Tornes, A.C.; Santana, L.; Molina, E.; Uriarte, E. In silico genotoxicity of coumarins: Application of Phenol-Explorer food database to functional food science. Food Funct. 2017, 8, 2958–2966. [Google Scholar] [CrossRef] [PubMed]
- R Core Team. R: A Language and Environment for Statistical Computing; R Foundation for Statistical Computing: Vienna, Austria, 2013; Available online: http://www.R-project.org (accessed on 31 March 2022).
- Sayre, R.M.; Agin, P.P.; LeeVee, G.J.; Morlowe, E. A comparison of in vivo and in vitro testing of sunscreens formulas. Photochem. Photobiol. 1979, 29, 559–566. [Google Scholar] [CrossRef] [PubMed]
- Mansur, J.S.; Breder, M.N.R.; Mansur, M.C.A.; Azulay, R.D. Determinação do fator de proteção solar por espectrofotometria. An. Bras. Dermatol. Rio Janeiro 1986, 61, 121–124. [Google Scholar]
- Diffey, B.L. A method for broad spectrum classification of sunscreens. Int. J. Cosmet. Sci. 1994, 16, 47–52. [Google Scholar] [CrossRef]
- Lionetti, N.; Rigano, L. The new sunscreens among formulation strategy, stability issues, changing norms, safety and efficacy evaluations. Cosmetics 2017, 4, 15. [Google Scholar] [CrossRef]
- Department of Health and Human Services, Food and Drug Administration (FDA). Labeling and Effectiveness Testing; Sunscreen Drug Products for Over-the-Counter Human Use; Final Rule Federal Register, 21 CFR Parts 201 and 310 [Docket No. FDA–1978–N–0018-0698]; Department of Health and Human Services, Food and Drug Administration (FDA): Silver Spring, MD, USA, 2011; Volume 76, pp. 35620–35665.
- Quillardet, P.; Hofnung, M. The SOS Chromotest, a colorimetric bacterial assay for genotoxins: Procedures. Mutat. Res. 1985, 147, 65–78. [Google Scholar] [CrossRef]
- Quintero, N.; Stashenko, E.E.; Fuentes, J.L. The influence of organic solvents on genotoxicity and antigenotoxicity estimates in the SOS Chromotest. Genet. Mol. Biol. 2012, 35, 503–514. [Google Scholar] [CrossRef][Green Version]
- Fuentes, J.L.; García-Forero, A.; Quintero-Ruiz, N.; Prada-Medina, C.A.; Rey-Castellanos, N.; Franco-Niño, D.A.; Contreras-García, D.A.; Cordoba-Campo, Y.; Stashenko, E.E. The SOS Chromotest applied for screening plant antigenotoxic agents against ultraviolet radiation. Photochem. Photobiol. Sci. 2017, 16, 1424–1434. [Google Scholar] [CrossRef]
- Prada-Medina, C.A.; Aristizabal-Tessmer, E.T.; Quintero-Ruiz, N.; Serment-Guerrero, J.H.; Fuentes, J.L. Survival and SOS response induction in ultraviolet B irradiated Escherichia coli cells with defective repair mechanisms. Int. J. Radiat. Biol. 2016, 92, 321–328. [Google Scholar] [CrossRef]
- Strober, W. Trypan blue exclusion test of cell viability. Curr. Protoc. Immunol. 2015, 111, A3.B.1–A3.B.3. [Google Scholar] [CrossRef] [PubMed]
- Jacobs, J.P.; Jones, C.M.; Baille, J.P. Characteristics of a human diploid cell designated MRC- smelly Emma 5. Nature 1970, 227, 168–170. [Google Scholar] [CrossRef] [PubMed]
- Ara, N.; Nur, M.H.; Amran, M.S.; Wahid, M.I.I.; Ahmed, M. In vitro antimicrobial and cytotoxic activities of leaves and flowers extracts from Lippia alba. Pak. J. Biol. Sci. 2009, 12, 87–90. [Google Scholar] [CrossRef] [PubMed]
- Sykora, P.; Witt, K.L.; Revanna, P.; Smith-Roe, S.L.; Dismukes, J.; Lloyd, D.G.; Engelward, B.P.; Sobol, R.W. Next generation high throughput DNA damage detection platform for genotoxic compound screening. Sci. Rep. 2018, 8, 2771. [Google Scholar] [CrossRef]
- Collins, A.; Dušinská, M.; Franklin, M.; Somorovská, M.; Petrovská, H.; Duthie, S.; Vaughan, N. Comet assay in human biomonitoring studies: Reliability, validation, and applications. Environ. Mol. Mutagen. 1997, 30, 139–146. [Google Scholar] [CrossRef]
- Pitarque, M.; Creus, A.; Marcos, R.; Hughes, J.A.; Anderson, D. Examination of various biomarkers measuring genotoxic endpoints from Barcelona airport personnel. Mutat. Res. 1999, 440, 195–204. [Google Scholar] [CrossRef]



| Species (CNH Voucher) | Conc. (µg/mL) | SPFin vitro | λc | %GI | %CV | Eff I | Eff II | Eff III | Eff IV |
|---|---|---|---|---|---|---|---|---|---|
| Rosa centifolia pink, commercial variety | 0 | 0 ± 0 | 0 ± 0 | 0 ± 0 | 93 ± 2 | - | - | - | - |
| 62 | 3 ± 0 | 360 ± 0 | 4 ± 4 | 93 ± 2 | - | - | - | - | |
| 125 | 6 ± 0 | 360 ± 0 | 17 ± 6 | 91 ± 2 | - | - | - | - | |
| 250 | 11 ± 0 | 360 ± 0 | 31 ± 7 | 88 ± 2 | 95% | 98% | 100% | 97% | |
| LC30 = 363 | 15 ± 0 | 360 ± 0 | 44 ± 3 | 70 ± 0 | 93% | 100% | 100% | 100% | |
| LC50 = 492 | 21 ± 0 | 360 ± 0 | 50 ± 1 | 50 ± 0 | 83% | 96% | 87% | 84% | |
| 500 | 21 ± 0 | 360 ± 0 | 56 ± 2 | 49 ± 16 | - | - | - | - | |
| 750 | 32 ± 0 | 370 ± 0 | 72 ± 2 | 22 ± 10 | - | - | - | - | |
| Rosa centifolia fuchsia, commercial variety | 0 | 0 ± 0 | 0 ± 0 | 0 ± 0 | 94 ± 1 | - | - | - | - |
| 62 | 3 ± 0 | 357 ± 0 | 12 ± 8 | 93 ± 1 | - | - | - | - | |
| 125 | 5 ± 0 | 353 ± 0 | 24 ± 5 | 91 ± 1 | - | - | - | - | |
| 250 | 10 ± 0 | 360 ± 0 | 22 ± 7 | 87 ± 3 | 88% | 92% | 99% | 100% | |
| LC30 = 492 | 23 ± 0 | 360 ± 0 | 30 ± 5 | 70 ± 0 | 88% | 100% | 84% | 90% | |
| 500 | 25 ± 0 | 360 ± 0 | 43 ± 3 | 69 ± 13 | 73% | 84% | 80% | 79% | |
| LC50 = 702 | 36 ± 1 | 370 ± 0 | 55 ± 3 | 50 ± 0 | 91% | 94% | 89% | 94% | |
| 750 | 32 ± 1 | 370 ± 0 | 74 ± 3 | 45 ± 6 | - | - | - | - | |
| Posoqueria latifolia (COL512080) | 0 | 0 ± 0 | 0 ± 0 | 0 ± 0 | 90 ± 3 | - | - | - | - |
| 62 | 3 ± 0 | 357 ± 0 | 27 ± 2 | 90 ± 2 | - | - | - | - | |
| 125 | 6 ± 0 | 360 ± 0 | 27 ± 2 | 90 ± 1 | - | - | - | - | |
| 250 | 13 ± 1 | 360 ± 0 | 27 ± 2 | 88 ± 3 | 81% | 79% | 90% | 90% | |
| 375 | 19 ± 0 | 360 ± 0 | 48 ± 2 | 84 ± 4 | 86% | 83% | 88% | 90% | |
| 500 | 26 ± 2 | 360 ± 0 | 58 ± 2 | 82 ± 6 | 89% | 98% | 90% | 100% | |
| 750 | 35 ± 1 | 370 ± 0 | 67 ± 2 | 73 ± 6 | 91% | 93% | 92% | 99% | |
| Ipomoea horsfalliae (COL587134) | 0 | 0 ± 0 | 0 ± 0 | 0 ± 0 | 93 ± 1 | - | - | - | - |
| 62 | 4 ± 0 | 340 ± 0 | 9 ± 5 | 89 ± 0 | - | - | - | - | |
| 125 | 7 ± 0 | 340 ± 0 | 8 ± 6 | 76 ± 5 | 87% | 89% | 90% | 91% | |
| LC30 = 250 | 12 ± 0 | 340 ± 0 | 10 ± 4 | 70 ± 9 | 100% | 93% | 90% | 96% | |
| LC50 = 398 | 39 ± 0 | 350 ± 0 | 20 ± 6 | 50 ± 0 | 99% | 100% | 99% | 100% | |
| 500 | 39 ± 0 | 350 ± 0 | 29 ± 8 | 36 ± 12 | - | - | - | - | |
| 750 | 39 ± 0 | 350 ± 0 | 59 ± 3 | 16 ± 5 | - | - | - | - | |
| Commercial sunscreen | 0 | 0 ± 0 | 0 ± 0 | 0 ± 0 | 94 ± 0 | - | - | - | - |
| (Eau Thermale Avène SPF 50+) †,‡ | 465 | 27 ± 0 | 370 ± 0 | 0 ± 0 | 84 ± 1 | 100% | 100% | 100% | 100% |
| 930 | 30 ± 0 | 370 ± 0 | 4 ± 0 | 54 ± 6 | 100% | 100% | 100% | 100% | |
| 1870 | 40 ± 0 | 380 ± 0 | 14 ± 1 | 27 ± 5 | - | - | - | - | |
| 3750 | 40 ± 0 | 380 ± 0 | 32 ± 1 | 5 ± 3 | - | - | - | - | |
| 7500 | 40 ± 0 | 380 ± 0 | 42 ± 0 | 2 ± 0 | - | - | - | - | |
| 15,000 | 40 ± 0 | 380 ± 0 | 67 ± 1 | 0 ± 0 | - | - | - | - | |
| 30,000 | 40 ± 0 | 380 ± 0 | 82 ± 1 | 0 ± 0 | - | - | - | - | |
| Titanium dioxide † | 0 | 0 ± 0 | 0 ± 0 | 0 ± 0 | 88 ± 2 | - | - | - | - |
| 50 | 6 ± 0 | 380 ± 0 | 0 ± 0 | 58 ± 1 | 87% | 83% | 75% | 82% | |
| 62 | 6 ± 0 | 390 ± 0 | 12 ± 1 | 39 ± 6 | - | - | - | - | |
| 100 | 11 ± 0 | 390 ± 0 | 20 ± 4 | 19 ± 0 | - | - | - | - | |
| 125 | 12 ± 0 | 390 ± 0 | 32 ± 6 | 0 ± 0 | - | - | - | - | |
| 250 | 26 ± 0 | 390 ± 0 | 57 ± 7 | 0 ± 0 | - | - | - | - | |
| 500 | 40 ± 0 | 380 ± 0 | 82 ± 3 | 0 ± 0 | - | - | - | - | |
| 1000 | 40 ± 0 | 380 ± 0 | 100 ± 2 | 0 ± 0 | - | - | - | - | |
| 2000 | 40 ± 0 | 380 ± 0 | 93 ± 4 | 0 ± 0 | - | - | - | - |
| Conc. (µg/mL) | ± SE) † | ||||
|---|---|---|---|---|---|
| R. centifolia (Pink) | R. centifolia (Fuchsia) | P. latifolia | I. horsfalliae | SEC ‡ | |
| 0.0 | 0.12 ± 0.05 | 0.08 ± 0.02 | 0.20 ± 0.05 | 0.21 ± 0.04 | 0.19 ± 0.05 |
| 46.9 | 0.39 ± 0.04 | 0.21 ± 0.09 | 0.48 ± 0.03 | 0.51 ± 0.22 | 0.80 ± 0.28 |
| 93.7 | 0.46 ± 0.04 | 0.27 ± 0.07 | 0.65 ± 0.13 | 0.90 ± 0.25 | 0.84 ± 0.28 |
| 187.5 | 0.98 ± 0.09 | 0.74 ± 0.20 | 0.66 ± 0.08 | 2.20 ± 0.40 | 0.83 ± 0.28 |
| 375.0 | 1.30 ± 0.33 | 1.93 ± 0.28 | 0.99 ± 0.27 | 3.31 ± 0.05 | 0.85 ± 0.30 |
| 750.0 | 2.39 ± 0.52 | 3.55 ± 0.04 | 1.56 ± 0.09 | 3.82 ± 0.03 | 0.91 ± 0.28 |
| PC | 3.91 ± 0.02 | 3.91 ± 0.01 | 3.93 ± 0.02 | 3.93 ± 0.02 | 3.90 ± 0.08 |
| R= | 0.99 (p ˂ 0.05) | 0.99 (p ˂ 0.05) | 0.98 (p ˂ 0.05) | 0.92 (p ˂ 0.05) | 0.53 (p = 0.28) |
| No. | tR, min | Compounds | Formula | Calculated Mass | Experim. Mass. | ∆ppm | HCD, eV | Product Ions | mg/g of Extract | ||||
|---|---|---|---|---|---|---|---|---|---|---|---|---|---|
| ± SE, n = 3) | |||||||||||||
| [M]+ | [M + H]+ | Fragment Type | m/z (I, %) | A | B | C | |||||||
| 1 | 3.30 | Cyanidin-3,5-glucoside a,b,c | C27H31O16 | 611.1612 | - | 611.15987 | 1.37 | 20 | [M-C6H10O5]+ [M-2C6H10O5]+ [M-2C6H10O5-C8H6O3]+ | 449.10965 (100) 287.05522 (52) 137.02374 (21) | - | 34 ± 1 | - |
| 2 | 3.61 | Chlorogenic acid a,b,c | C16H18O9 | - | 355.10235 | 355.10384 | 0.76 | 10 | [(M + H)-H2O]+ [(M + H)-C7H10O5]+ [(M + H)-C7H10O5-H2O]+ | 337.09030 (0.3) 181.04933 (2) 163.03917 (100) | - | - | 35 ± 1 |
| 3 | 3.83 | Quercetin-rutinoside-rhamnoside a,b | C33H40O20 | - | 757.21856 | 757.21907 | 0.66 | 0 | [(M + H)-C6H10O4]+ [(M + H)-C6H10O4-H2O]+ [(M + H)-C6H10O4-C6H10O5]+ [(M + H)-C6H10O4-C6H10O5-C6H10O4]+ | 611.16151 (31) 593.1487 (0.1) 449.10834 (3) 303.05017 (100) | - | - | 1.5 ± 0.1 |
| 4 | 3.96 | Kaempferol-rhamninoside a,b | C33H40O19 | - | 741.22365 | 741.22209 | 2.10 | 10 | [(M + H)-C6H10O4]+ [(M + H)-2C6H10O4]+ [(M + H)-2C6H10O4-C6H10O5]+ [(M + H)-2C6H10O4-C6H10O5-C8H6O2]+ | 595.16736 (13) 449.1091 (13) 287.05585 (100) 153.01669 (0.1) | - | - | 3.7 ± 0.4 |
| 5 | 4.00 | Rhamnetin-rhamnoside a,b | C34H42O20 | - | 771.23421 | 771.23531 | 1.41 | 0 | [(M + H)-C6H10O4]+ [(M + H)-C6H10O4-H2O]+ [(M + H)-2C6H10O4]+ [(M + H)-2C6H10O4-C6H10O5]+ [(M + H)-2C6H10O4-C6H10O5-C8H6O3]+ | 625.17715 (34) 607.16452 (0.3) 479.11913 (17) 317.06532 (100) 167.03427 (0.1) | - | - | 1.7 ± 0.1 |
| 6 | 4.10 | Ecdysterone a,b | C27H44O7 | - | 481.31598 | 481.31476 | 1.22 | 0 | [(M + H)-H2O]+ [(M + H)-2H2O]+ [(M + H)-3H2O]+ [(M + H)-4H2O]+ | 463.30446 (100) 445.29547 (64) 427.28415 (16) 409.27374 (1) | - | - | 64 ± 8 |
| 7 | 4.10 | Quercetin-3-rutinoside a,b,c | C27H30O16 | - | 611.1612 | 611.16095 | 0.47 | 10 | [(M + H)-C6H10O4]+ [(M + H)-C6H10O4-C6H10O5]+ [(M + H)-C6H10O4-C6H10O5-C8H6O3]+ | 465.10226 (30) 303.04836 (100) 153.01828 (7) | 1.3 ± 0.1 | 4.5 ± 0.1 | 6.9 ± 0.4 |
| 8 | 4.20 | Quercetin-glucoside a,b,c | C21H20O12 | - | 465.10275 | 465.10321 | 0.98 | 10 | [(M + H)-C6H10O5]+ [(M + H)-C6H10O5-C8H6O3]+ | 303.04956 (100) 153.01776 (2) | 6.3 ± 0.7 | 17 ± 1 | 1.3 ± 0.1 |
| 9 | 4.31 | Kaempferol-neohesperidoside a,b | C27H30O15 | - | 595.16574 | 595.16379 | 3.29 | 10 | [(M + H)-H2O]+ [(M + H)-C6H10O4]+ [(M + H)-C6H10O4-C6H10O5]+ [(M + H)-C6H10O4-C6H10O5-C8H6O2]+ | 577.15659 (0.2) 449.10574 (33) 287.05545 (100) 153.01762 (1) | - | - | 8.7 ± 0.5 |
| 10 | 4.31 | Rhamnetin-rutinoside a,b | C28H32O16 | - | 625.17631 | 625.17697 | 1.06 | 10 | [(M + H)-C6H10O4]+ [(M + H)-C6H10O4-C6H10O5]+ [(M + H)-C6H10O4-C6H10O5-C8H6O3]+ | 479.11914 (27) 317.06548 (100) 167.03214 (0.01) | - | - | 17 ± 1 |
| 11 | 4.33 | Quercetin-arabinoside a,b | C20H19O11 | - | 435.09218 | 435.0923 | 0.11 | 10 | [(M + H)-C5H8O4]+ [(M + H)-C5H8O4-C8H6O3]+ | 303.04884 (100) 153.01845 (6) | 1.08 ± 0.04 | 1.4 ± 0.2 | - |
| 12 | 4.43 | Quercetin-3-rhamnoside a,b,c | C21H20O11 | - | 449.10838 | 449.10800 | 0.36 | 10 | [(M + H)-C6H10O4]+ [(M + H)-C6H10O4-C8H6O3]+ | 303.04836 (100) 153.01828 (4) | 49 ± 2 | 32 ± 1 | - |
| 13 | 4.43 | Kaempferol-3-glucoside a,b,c | C21H20O11 | - | 449.10783 | 449.10773 | 0.24 | 10 | [(M + H)-C6H10O5]+ [(M + H)-C6H10O5-C8H6O2]+ | 287.05415 (100) 153.01802 (1) | 70 ± 12 | 41 ± 1 | - |
| 14 | 4.57 | Kaempferol-arabinoside a,b | C20H18O10 | - | 419.09727 | 419.09756 | 0.69 | 0 | [(M + H)-C5H8O4]+ [(M + H)-C5H8O4-C8H6O2]+ | 287.05553 (85) 153.01845 (1) | 6.4 ± 0.5 | 2.0 ± 0.1 | |
| 15 | 4.60 | Rosmarinic acid a,b,c | C18H16O8 | - | 361.09179 | 361.09157 | 0.62 | 10 | [(M + H)-H2O]+ [(M + H)-C9H8O4]+ [(M + H)-C9H8O4-H2O]+ | 343.07965 (0.2) 181.04958 (10) 163.03841 (100) | - | - | 0.5 ± 0.0 |
| 16 | 4.60 | cis-Resveratrol-diglucoside a,b | C26H32O13 | - | 553.19156 | 553.19199 | 0.41 | 10 | [(M + H)-H2O]+ [(M + H)-2H2O]+ [(M + H)-C6H10O5]+ [(M + H)-C6H10O5-H2O]+ [(M + H)-2C6H10O5]+ | 535.18141 (3) 517.17064 (0.4) 391.13762 (94) 373.12898 (100) 229.08403 (0.1) | - | - | 140 ± 7 |
| 17 | 4.70 | Kaempferol-rhamnoside a,b | C21H21O10 | - | 433.11292 | 433.11453 | 1.39 | 10 | [(M + H)-C6H10O4]+ [(M + H)-C6H10O4-C8H6O2]+ | 287.05499 (100) 153.01749 (0.3) | 64 ± 8 | 23 ± 2 | - |
| 18 | 4.75 | trans-Resveratrol-diglucoside a,b | C26H32O13 | - | 553.19156 | 553.19199 | 0.41 | 10 | [(M + H)-H2O]+ [(M + H)-2H2O]+ [(M + H)-C6H10O5]+ [(M + H)-C6H10O5-H2O]+ [(M + H)-2C6H10O5]+ | 535.18141 (8) 517.17064 (0.2) 391.13762 (100) 373.12898 (62) 229.08403 (0.1) | - | - | 280 ± 16 |
| 19 | 5.16 | Quercetin a,b,c | C15H10O7 | - | 303.05047 | 303.0499 | 0.10 | 10 | [(M + H)-C8H6O3]+ | 153.01776 (1) | 160 ± 26 | 130 ± 14 | - |
| 20 | 5.63 | Kaempferol a,b,c | C15H10O6 | - | 287.05501 | 287.05647 | 5.08 | 10 | [(M + H)-C8H6O2]+ | 153.01897 (0.2) | 146 ± 5 | 51 ± 4 | - |
Publisher’s Note: MDPI stays neutral with regard to jurisdictional claims in published maps and institutional affiliations. |
© 2022 by the authors. Licensee MDPI, Basel, Switzerland. This article is an open access article distributed under the terms and conditions of the Creative Commons Attribution (CC BY) license (https://creativecommons.org/licenses/by/4.0/).
Share and Cite
Fuentes, J.L.; Pedraza Barrera, C.A.; Villamizar Mantilla, D.A.; Flórez González, S.J.; Sierra, L.J.; Ocazionez, R.E.; Stashenko, E.E. Flower Extracts from Ornamental Plants as Sources of Sunscreen Ingredients: Determination by In Vitro Methods of Photoprotective Efficacy, Antigenotoxicity and Safety. Molecules 2022, 27, 5525. https://doi.org/10.3390/molecules27175525
Fuentes JL, Pedraza Barrera CA, Villamizar Mantilla DA, Flórez González SJ, Sierra LJ, Ocazionez RE, Stashenko EE. Flower Extracts from Ornamental Plants as Sources of Sunscreen Ingredients: Determination by In Vitro Methods of Photoprotective Efficacy, Antigenotoxicity and Safety. Molecules. 2022; 27(17):5525. https://doi.org/10.3390/molecules27175525
Chicago/Turabian StyleFuentes, Jorge Luis, Carlos Adolfo Pedraza Barrera, Diego Armando Villamizar Mantilla, Silvia Juliana Flórez González, Lady Johanna Sierra, Raquel Elvira Ocazionez, and Elena E. Stashenko. 2022. "Flower Extracts from Ornamental Plants as Sources of Sunscreen Ingredients: Determination by In Vitro Methods of Photoprotective Efficacy, Antigenotoxicity and Safety" Molecules 27, no. 17: 5525. https://doi.org/10.3390/molecules27175525
APA StyleFuentes, J. L., Pedraza Barrera, C. A., Villamizar Mantilla, D. A., Flórez González, S. J., Sierra, L. J., Ocazionez, R. E., & Stashenko, E. E. (2022). Flower Extracts from Ornamental Plants as Sources of Sunscreen Ingredients: Determination by In Vitro Methods of Photoprotective Efficacy, Antigenotoxicity and Safety. Molecules, 27(17), 5525. https://doi.org/10.3390/molecules27175525

