Improving the Thermal Behavior and Flame-Retardant Properties of Poly(o-anisidine)/MMT Nanocomposites Incorporated with Poly(o-anisidine) and Clay Nanofiller
Abstract
:1. Introduction
2. Experimental
2.1. Materials and Chemicals
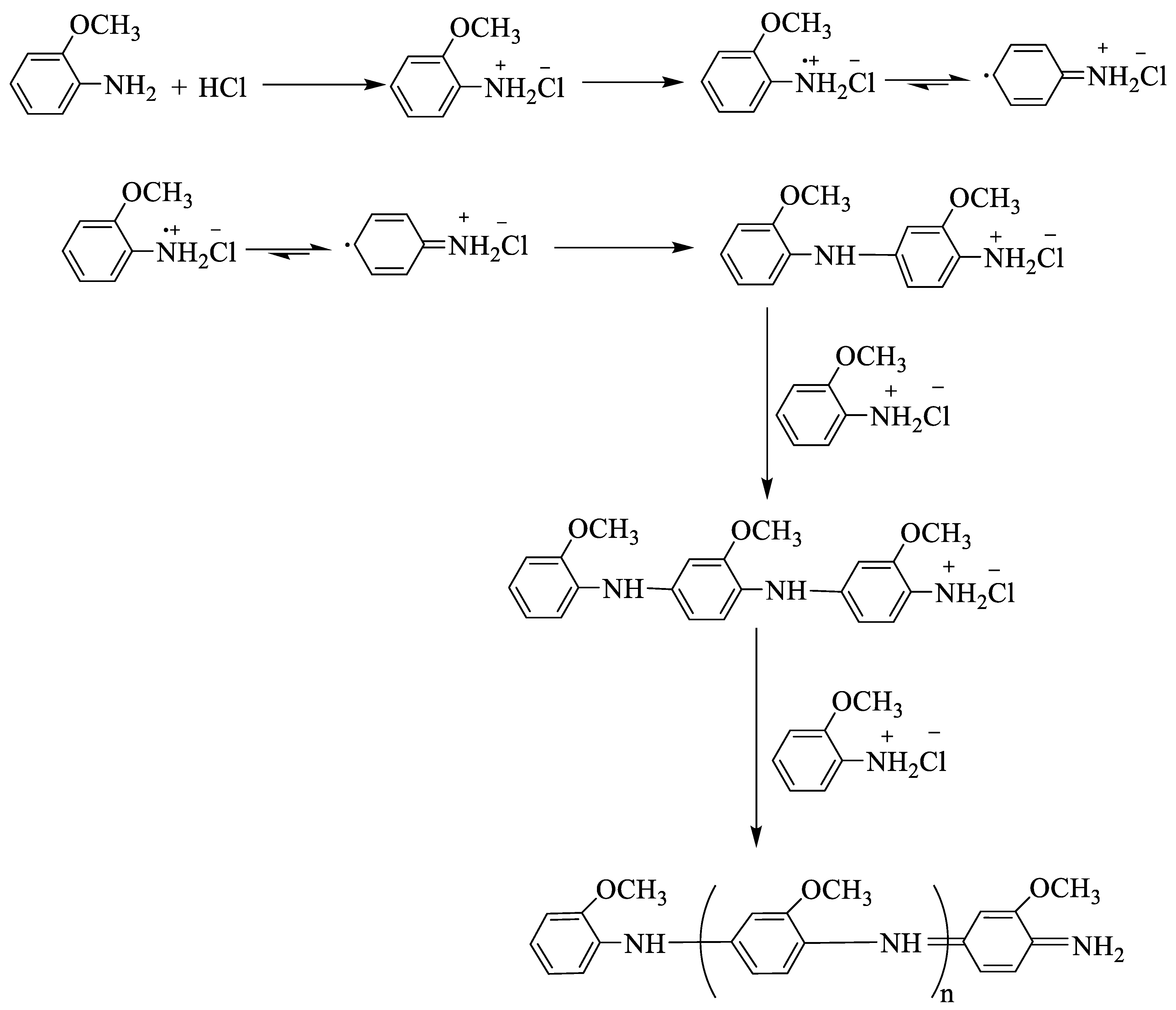
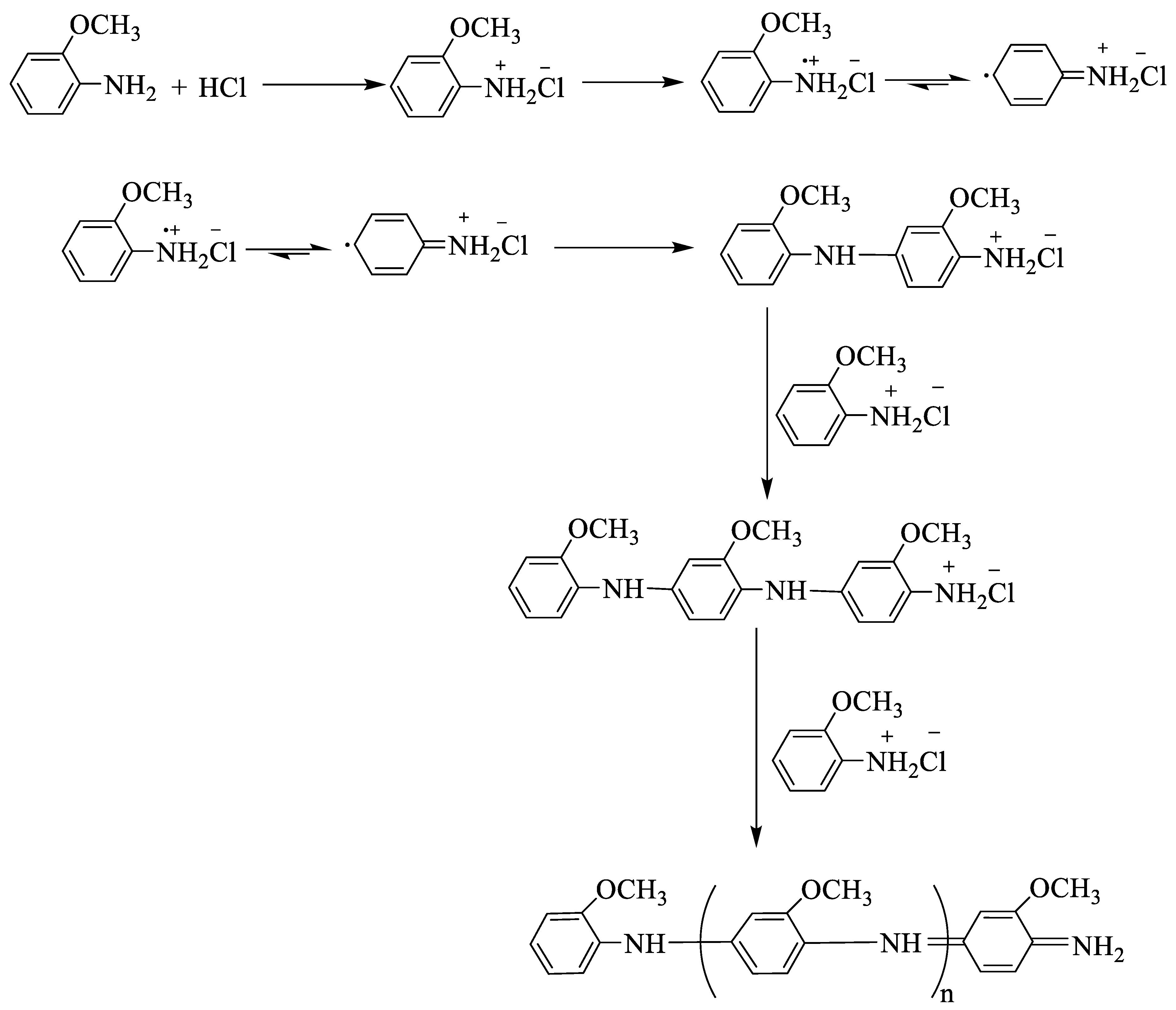
2.2. Preparation of Poly(o-anisidine)
2.3. Preparation of MMT/POA Clay Nanocomposite
3. Result and Discussion
3.1. FTIR Spectroscopy Studies
3.2. UV–Visible Absorption of POA and MMT/POA Clay Nanocomposites
3.3. Scanning-Electron-Microscopy (SEM) Analysis
3.4. TGA/DSC Evaluation of Pure POA and MMT/POA Clay Nanocomposites
3.5. Horizontal Burning Test
3.6. Cone-calorimeter Test
4. Conclusions
Author Contributions
Funding
Institutional Review Board Statement
Informed Consent Statement
Data Availability Statement
Acknowledgments
Conflicts of Interest
References
- El-Sharkawy, R.M.; Allam, E.A.; El-Taher, A.; Elsaman, R.; El Sayed Massoud, E.; Mahmoud, M.E. Synergistic effects on gamma-ray shielding by novel light-weight nanocomposite materials of bentonite containing nano Bi2O3 additive. Ceram. Int. 2022, 48, 7291–7303. [Google Scholar] [CrossRef]
- Stojšić, J.; Raos, P.; Milinović, A.; Damjanović, D. A Study of the Flexural Properties of PA12/Clay Nanocomposites. Polymers 2022, 14, 434. [Google Scholar] [CrossRef]
- Glukhova, S.A.; Molchanov, V.S.; Chesnokov, Y.M.; Lokshin, B.V.; Kharitonova, E.P.; Philippova, O.E. Green nanocomposite gels based on binary network of sodium alginate and percolating halloysite clay nanotubes for 3D printing. Carbohydr. Polym. 2022, 282, 119106. [Google Scholar] [CrossRef]
- Sher, M.J.; Shahid, S.; Iqbal, S.; Qamar, M.A.; Bahadur, A.; Qayyum, M.A. The controlled synthesis of g-C3N4/Cd-doped ZnO nanocomposites as potential photocatalysts for the disinfection and degradation of organic pollutants under visible light irradiation. RSC Adv. 2021, 11, 2025–2039. [Google Scholar] [CrossRef]
- Amran, F.; Zaini, M.A.A. Green Nanocomposite Adsorbents for Dyes Removal. In Biorenewable Nanocomposite Materials, Vol. 2: Desalination and Wastewater Remediation; American Chemical Society: Washington, DC, America, 2022; Volume 1411, pp. 165–188. [Google Scholar]
- Sethulekshmi, A.S.; Saritha, A.; Joseph, K. A comprehensive review on the recent advancements in natural rubber nanocomposites. Int. J. Biol. Macromol. 2022, 194, 819–842. [Google Scholar] [CrossRef]
- Surendran, A.; Pionteck, J.; Kalarikkal, N.; Thomas, S. Mechanical responses of epoxy/cloisite nanocomposites. Mater. Chem. Phys. 2022, 281, 125755. [Google Scholar] [CrossRef]
- Omar, A.; Chen, R.S.; Shahdan, D.; Ahmad, S. Thermal, water absorption, and mechanical characterizations of polylactide based nanocomposites: Comparison between sodium and modified montmorillonite as reinforcement materials. Appl. Polym. Sci. 2022, 139, 51836. [Google Scholar] [CrossRef]
- Eddarai, E.M.; El Mouzahim, M.; Boussen, R.; Bellaouchou, A.; Guenbour, A.; Zarrouk, A. Chitosan-kaolinite clay composite as durable coating material for slow release NPK fertilizer. Int. J. Biol. Macromol. 2022, 195, 424–432. [Google Scholar] [CrossRef] [PubMed]
- Nisticò, R. A Comprehensive Study on the Applications of Clays into Advanced Technologies, with a Particular Attention on Biomedicine and Environmental Remediation. Inorganics 2022, 10, 40. [Google Scholar] [CrossRef]
- Iqbal, S. Spatial charge separation and transfer in L-cysteine capped NiCoP/CdS nano-heterojunction activated with intimate covalent bonding for high-quantum-yield photocatalytic hydrogen evolution. Appl. Catal. B Environ. 2020, 274, 119097. [Google Scholar] [CrossRef]
- Bahadur, A.; Hussain, W.; Iqbal, S.; Ullah, F.; Shoaib, M.; Liu, G.; Feng, K. A morphology controlled surface sulfurized CoMn 2 O 4 microspike electrocatalyst for water splitting with excellent OER rate for binder-free electrocatalytic oxygen evolution. J. Mater. Chem. 2021, 9, 12255–12264. [Google Scholar] [CrossRef]
- Shoaib, M.; Bahadur, A.; ur Rahman, M.S.; Iqbal, S.; Arshad, M.I.; Tahir, M.A.; Mahmood, T. Sustained drug delivery of doxorubicin as a function of pH, releasing media, and NCO contents in polyurethane urea elastomers. J. Drug Deliv. Sci. Technol. 2017, 39, 277–282. [Google Scholar] [CrossRef]
- Iqbal, S.; Bahadur, A.; Anwer, S.; Ali, S.; Irfan, R.M.; Li, H.; Shoaib, M.; Raheel, M.; Anjum, T.A.; Zulqarnain, M.J.C.; et al. Effect of temperature and reaction time on the morphology of L-cysteine surface capped chalcocite (Cu2S) snowflakes dendrites nanoleaves and photodegradation study of methyl orange dye under visible light. Colloids Surf. A Physicochem. Eng. Asp. 2020, 601, 124984. [Google Scholar] [CrossRef]
- Barbaros, I.; Yang, Y.; Safaei, B.; Yang, Z.; Qin, Z.; Asmael, M. State-of-the-art review of fabrication, application, and mechanical properties of functionally graded porous nanocomposite materials. Nanotechnol. Revs. 2022, 11, 321–371. [Google Scholar] [CrossRef]
- Jindal, R.; Kaur, K.; Khushbu; Vaid, V. Biorenewable Nanocomposite: Recent Advances and Its Prospects in Wastewater Remediation. In Biorenewable Nanocomposite Materials, Vol. 2: Desalination and Wastewater Remediation; American Chemical Society: Washington, DC, USA, 2022; Volume 1411, pp. 313–340. [Google Scholar]
- Zanatta, A.P.S.; Daitx, T.S.; Carli, L.N.; Teixeira, C.S.; Mauler, R.S. Induced orientation of magnetic bentonite nanoparticles to produce low-density polyethylene nanocomposites. J. Magn. Magn. Mater. 2022, 549, 169015. [Google Scholar] [CrossRef]
- Tripathi, M.; Singh, B. Chapter 6—Synthesis of green nanocomposite material for engineering application. In Sustainable Nanotechnology for Environmental Remediation; Koduru, J.R., Karri, R.R., Mubarak, N.M., Bandala, E.R., Eds.; Elsevier: Amsterdam, The Netherlands, 2022; pp. 135–157. [Google Scholar] [CrossRef]
- Teepakakorn, A.; Hayakawa, T.; Ogawa, M. Remarkable stability of dye in polymer-clay nanocomposite film. Appl. Clay Sci. 2022, 218, 106405. [Google Scholar] [CrossRef]
- Bahadur, A.; Saeed, A.; Shoaib, M.; Iqbal, S.; Anwer, S. Modulating the burst drug release effect of waterborne polyurethane matrix by modifying with polymethylmethacrylate. Appl. Polym. Sci. 2019, 136, 47253. [Google Scholar] [CrossRef]
- Cheikh, D.; Majdoub, H.; Darder, M. An overview of clay-polymer nanocomposites containing bioactive compounds for food packaging applications. Appl. Clay Sci. 2022, 216, 106335. [Google Scholar] [CrossRef]
- Teijido, R.; Ruiz-Rubio, L.; Echaide, A.G.; Vilas-Vilela, J.L.; Lanceros-Mendez, S.; Zhang, Q. State of the art and current trends on layered inorganic-polymer nanocomposite coatings for anticorrosion and multi-functional applications. Prog. Org. Coat. 2022, 163, 106684. [Google Scholar] [CrossRef]
- Khan, Z.I.; Habib, U.; Mohamad, Z.B.; Rahmat, A.R.B.; Abdullah, N.A.S.B. Mechanical and thermal properties of sepiolite strengthened thermoplastic polymer nanocomposites: A comprehensive review. Alex. Eng. J. 2022, 61, 975–990. [Google Scholar] [CrossRef]
- Kavlak, S. In situ interlamellar production of amide-based functional copolymer/clay nanocomposites. New J. Chem. 2022, 46, 2930–2939. [Google Scholar] [CrossRef]
- Bukartyk, M.; Zholobko, O.; Wu, X.-F. Green Synthesis of Soy Protein Nanocomposites: Effects of Cross-Linking and Clay Nanoparticles on the Mechanical Performance. ACS Omega 2022, 7, 5883–5893. [Google Scholar] [CrossRef]
- Dorieh, A.; Farajollah Pour, M.; Ghafari Movahed, S.; Pizzi, A.; Pouresmaeel Selakjani, P.; Valizadeh Kiamahalleh, M.; Hatefnia, H.; Shahavi, M.H.; Aghaei, R. A review of recent progress in melamine-formaldehyde resin based nanocomposites as coating materials. Prog. Org. Coat. 2022, 165, 106768. [Google Scholar] [CrossRef]
- Zhu, Y.; Iroh, J.O.; Rajagopolan, R.; Aykanat, A.; Vaia, R. Optimizing the Synthesis and Thermal Properties of Conducting Polymer–Montmorillonite Clay Nanocomposites. Energies 2022, 15, 1291. [Google Scholar] [CrossRef]
- Ravi Theja, M.S.; Ramshankar, P.; Sashikkumar, M.C.; Muthu Kumaran, A.; Mohamed Ibrahim, A.; Vairamuthu, J.; Suresh Kumar, S. Investigation into mechanical properties of EPDM/SBR-nanoclay nanocomposites. Mater. Today Proc. 2022, 59, 1508–1512. [Google Scholar] [CrossRef]
- Ramesh, S.; Kamalarajan, P.; Punithamoorthy, K. Effect of clay modifier on the structure and transport properties in Polyurethane/Clay Nanocomposites as barrier materials. Iran. J. Chem. Chem. Eng. (IJCCE), 2022; in press. [Google Scholar] [CrossRef]
- Saleem, W.; Nazir, R.; Chaudhry, M.N.; Saleem, M.; Abidi, S.H. Packaging material-based polystyrene ZnFe2O4/clay nanocomposite: Preparation, characterization and degradation studies. Appl. Nanosci. 2022, 12, 1459–1473. [Google Scholar] [CrossRef]
- Baigorria, E.; Fraceto, L.F. Novel nanostructured materials based on polymer/organic-clay composite networks for the removal of carbendazim from waters. J. Clean. Prod. 2022, 331, 129867. [Google Scholar] [CrossRef]
- Xu, J.; Cheng, L.; Zhang, Z.; Zhang, L.; Xiong, C.; Huang, W.; Xie, Y.; Yang, L. Highly exfoliated montmorillonite clay reinforced thermoplastic polyurethane elastomer: In situ preparation and efficient strengthening. RSC Adv. 2019, 9, 8184–8196. [Google Scholar] [CrossRef] [Green Version]
- Kongkaew, W.; Sangwan, W.; Prissanaroon-Ouajai, W.; Sirivat, A. Synthesis and characterization of poly (2-chloroaniline) by chemical oxidative polymerization. Chem. Pap. 2018, 72, 1007–1020. [Google Scholar] [CrossRef]
- Jawaid, M.; Chee, S.S.; Asim, M.; Saba, N.; Kalia, S. Sustainable kenaf/bamboo fibers/clay hybrid nanocomposites: Properties, environmental aspects and applications. J. Clean. Prod. 2022, 330, 129938. [Google Scholar] [CrossRef]
- Padmaja, S.; Samuel, J.M. Chemically copolymerized poly (2-chloroaniline-co-2-ethylaniline) as an anodic material in Li-ion batteries. Polym. Bull. 2021, 78, 7129–7146. [Google Scholar] [CrossRef]
- Bhat, A.H.; Rangreez, T.A.; Inamuddin; Chisti, H.-T.-N. Wastewater Treatment and Biomedical Applications of Montmorillonite Based Nanocomposites: A Review. Curr. Anal. Chem. 2022, 18, 269–287. [Google Scholar] [CrossRef]
- Kalotra, S.; Mehta, R. Synthesis of polyaniline/clay nanocomposites by in situ polymerization and its application for the removal of Acid Green 25 dye from wastewater. Polym. Bull. 2021, 78, 2439–2463. [Google Scholar] [CrossRef]
- Narayanasamy, K.; Sekar, S.S.; Roy, D.; Dinakaran, K. Synthesis and characterization of Ag/Au-MnO2 nanostructure embedded polyvinylidine difluoride high K nanocomposites. Int. J. Polym. Anal. Charact. 2021, 26, 37–46. [Google Scholar] [CrossRef]
- Razavi, M.; Sadeghi, N.; Jafari, S.H.; Khonakdar, H.A.; Wagenknecht, U.; Leuteritz, A. Thermo-rheological probe of microstructural evolution and degradation pathway in the flame-retarded PP/EVA/NOR/clay nanocomposites. Rheol. Acta 2022, 61, 25–47. [Google Scholar] [CrossRef]
- Wang, Q.; Wang, M.; Lei, C.; Yan, L.; Wu, X.; Li, L. Functionalizing graphene with clay nanosheets as a protein carrier. Colloid Interface Sci. Commun. 2022, 48, 100618. [Google Scholar] [CrossRef]
- D’Anna, A.; Arrigo, R.; Frache, A. Rheology, Morphology and Thermal Properties of a PLA/PHB/Clay Blend Nanocomposite: The Influence of Process Parameters. J. Polym. Environ. 2022, 30, 102–113. [Google Scholar] [CrossRef]
- Iqbal, S.; Nadeem, S.; Ahmad, M.N.; Javed, M.; Alsaab, H.O.; Awwad, N.S.; Ibrahium, H.A.; Elkaeed, E.B.; Alshammari, F.H.; Alwadai, N.; et al. Fabrication of Poly (o-chloroaniline) to MMT clay as Potential Flame-Resistant Material. Front. Mater. 2022, 9, 874735. [Google Scholar] [CrossRef]
- Șerban, M.V.; Nazarie, S.-R.; Dinescu, S.; Radu, I.-C.; Zaharia, C.; Istrătoiu, E.-A.; Tănasă, E.; Herman, H.; Gharbia, S.; Baltă, C.; et al. Silk ProteinsEnriched Nanocomposite Hydrogels Based on Modified MMT Clay and Poly(2-hydroxyethyl methacrylate-co-2-acrylamido-2-methylpropane Sulfonic Acid) Display Favorable Properties for Soft Tissue Engineering. Nanomaterials 2022, 12, 503. [Google Scholar] [CrossRef]
- Karimi, M.H.; Mortazavi, S.M.M.; Ahmadjo, S.; Azizi, H.; Rostami-Darounkola, M.R. Improvement in the thermal and mechanical properties of PP/Clay nanocomposite using novel ethoxylated oxidized PE wax as a compatibilizer. Appl. Polym. Sci. 2022, 43, 389–398. [Google Scholar] [CrossRef]
- Bahadur, A.; Iqbal, S.; Alsaab, H.O.; Awwad, N.S.; Ibrahium, H.A.; Alshammari, F.H.; Alwadai, N.; Alotaibi, M.T. Thermal Degradation of Poly (Styrene-Co-Methyl Methacrylate) in the Presence of AlI3 Nanoadditive. JOM 2022, 74, 1916–1922. [Google Scholar] [CrossRef]
- Bahadur, A.; Iqbal, S.; Alsaab, H.O.; Awwad, N.S.; Ibrahium, H.A. Thermal degradation study of polymethylmethacrylate with AlI3 nanoadditive. Microcopy Res. Tech. 2022, 85, 1494–1501. [Google Scholar] [CrossRef]
- Liu, B.-W.; Zhao, H.-B.; Wang, Y.-Z. Advanced Flame-Retardant Methods for Polymeric Materials. Adv. Mater. 2022, 2107905. [Google Scholar] [CrossRef]
- Ahmed, L.; Zhang, B.; Shen, R.; Agnew, R.J.; Park, H.; Cheng, Z.; Mannan, M.S.; Wang, Q. Fire reaction properties of polystyrene-based nanocomposites using nanosilica and nanoclay as additives in cone calorimeter test. Therm. Anal. Calorim. 2018, 132, 1853–1865. [Google Scholar] [CrossRef]
- Hossain, M.D.; Saha, S.; Hassan, M.K.; Yuen, A.C.; Wang, C.; Hittini, W.; George, L.; Wuhrer, R. Testing of aluminium composite panels in a cone calorimeter: A new specimen preparation method. Polym. Test. 2022, 106, 107454. [Google Scholar] [CrossRef]
- Quan, Y.; Zhang, Z.; Tanchak, R.N.; Wang, Q. A review on cone calorimeter for assessment of flame-retarded polymer composites. J. Therm. Anal. Calorim. 2022, 147, 10209–10234. [Google Scholar] [CrossRef]
- Kashiwagi, T.; Shields, J.R.; Harris, R.H., Jr.; Davis, R.D. Flame-retardant mechanism of silica: Effects of resin molecular weight. Appl. Polym. Sci. 2003, 87, 1541–1553. [Google Scholar] [CrossRef]
- Ahmed, L.; Zhang, B.; Hawkins, S.; Mannan, M.S.; Cheng, Z. Study of thermal and mechanical behaviors of flame retardant polystyrene-based nanocomposites prepared via in-situ polymerization method. J. Loss Prev. Process Ind. 2017, 49, 228–239. [Google Scholar] [CrossRef]
- Mouritz, A.; Mathys, Z.; Gibson, A. Heat release of polymer composites in fire. Compos. Part A Appl. Sci. Manuf. 2006, 37, 1040–1054. [Google Scholar] [CrossRef]








| Sr. No. | Monomer Poly(o-anisidine) | APS (Ammonium Persulphate) | DDPA | MMT Clay | % of Filler in Composite |
|---|---|---|---|---|---|
| 1 | 0.0255 g | 0.456 g | 0.002555 g | 0 g | 0% |
| 2 | 0.0255 g | 0.456 g | 0.002555 g | 0.00051 g | 2% |
| 3 | 0.0255 g | 0.456 g | 0.002555 g | 0.000102 g | 4% |
| 4 | 0.0255 g | 0.456 g | 0.002555 g | 0.00153 g | 6% |
| 5 | 0.0255 g | 0.456 g | 0.002555 g | 0.00204 g | 8% |
| 6 | 0.0255 g | 0.456 g | 0.002555 g | 0.00306 g | 12% |
| Nanocomposite | POA | 2% | 4% | 6% | 8% | 12% |
|---|---|---|---|---|---|---|
| Burning Time/73 mm | 16 | 25 | 33 | 47 | 58 | 75 |
| HBR (mm/s) | 24 | 22 | 19 | 15 | 11 | 7 |
| Samples | Effective Heat of Combustion, MJ kg−1 | Time to Ignition, ting/s | Flame-Out Time, s | Mean CO2 Yield, kg kg−1 | Average Mass Loss Rate (MLR), avg/g s−1 m−2 | Total Heat Release (THR), MJ m−2 |
|---|---|---|---|---|---|---|
| POA | 27.4 | 11 | 486 | 2.3 | 25.4 | 131.5 |
| 2% MMT/POA | 29.6 | 10 | 541 | 2.3 | 29.5 | 134.6 |
| 4% MMT/POA | 31.8 | 17 | 606 | 2.4 | 35.6 | 137.4 |
| 6% MMT/POA | 34.2 | 24 | 649 | 2.4 | 39.8 | 140.7 |
| 8% MMT/POA | 33.5 | 19 | 681 | 2.3 | 28.4 | 139.4 |
| 12% MMT/POA | 32.7 | 13 | 723 | 2.2 | 17.6 | 136.7 |
Publisher’s Note: MDPI stays neutral with regard to jurisdictional claims in published maps and institutional affiliations. |
© 2022 by the authors. Licensee MDPI, Basel, Switzerland. This article is an open access article distributed under the terms and conditions of the Creative Commons Attribution (CC BY) license (https://creativecommons.org/licenses/by/4.0/).
Share and Cite
Ahmad, M.N.; Nadeem, S.; Javed, M.; Iqbal, S.; Hassan, S.u.; Aljazzar, S.O.; Elkaeed, E.B.; Pashameah, R.A.; Alzahrani, E.; Farouk, A.-E.; et al. Improving the Thermal Behavior and Flame-Retardant Properties of Poly(o-anisidine)/MMT Nanocomposites Incorporated with Poly(o-anisidine) and Clay Nanofiller. Molecules 2022, 27, 5477. https://doi.org/10.3390/molecules27175477
Ahmad MN, Nadeem S, Javed M, Iqbal S, Hassan Su, Aljazzar SO, Elkaeed EB, Pashameah RA, Alzahrani E, Farouk A-E, et al. Improving the Thermal Behavior and Flame-Retardant Properties of Poly(o-anisidine)/MMT Nanocomposites Incorporated with Poly(o-anisidine) and Clay Nanofiller. Molecules. 2022; 27(17):5477. https://doi.org/10.3390/molecules27175477
Chicago/Turabian StyleAhmad, Mirza Nadeem, Sohail Nadeem, Mohsin Javed, Shahid Iqbal, Sadaf ul Hassan, Samar O. Aljazzar, Eslam B. Elkaeed, Rami Adel Pashameah, Eman Alzahrani, Abd-ElAziem Farouk, and et al. 2022. "Improving the Thermal Behavior and Flame-Retardant Properties of Poly(o-anisidine)/MMT Nanocomposites Incorporated with Poly(o-anisidine) and Clay Nanofiller" Molecules 27, no. 17: 5477. https://doi.org/10.3390/molecules27175477
APA StyleAhmad, M. N., Nadeem, S., Javed, M., Iqbal, S., Hassan, S. u., Aljazzar, S. O., Elkaeed, E. B., Pashameah, R. A., Alzahrani, E., Farouk, A.-E., Alotaibi, M. T., & Abd-Rabboh, H. S. M. (2022). Improving the Thermal Behavior and Flame-Retardant Properties of Poly(o-anisidine)/MMT Nanocomposites Incorporated with Poly(o-anisidine) and Clay Nanofiller. Molecules, 27(17), 5477. https://doi.org/10.3390/molecules27175477

