Comparative Study of the Potentially Toxic Elements and Essential Microelements in Honey Depending on the Geographic Origin
Abstract
:1. Introduction
2. Results
2.1. Comparison of Sample Preparation Protocols
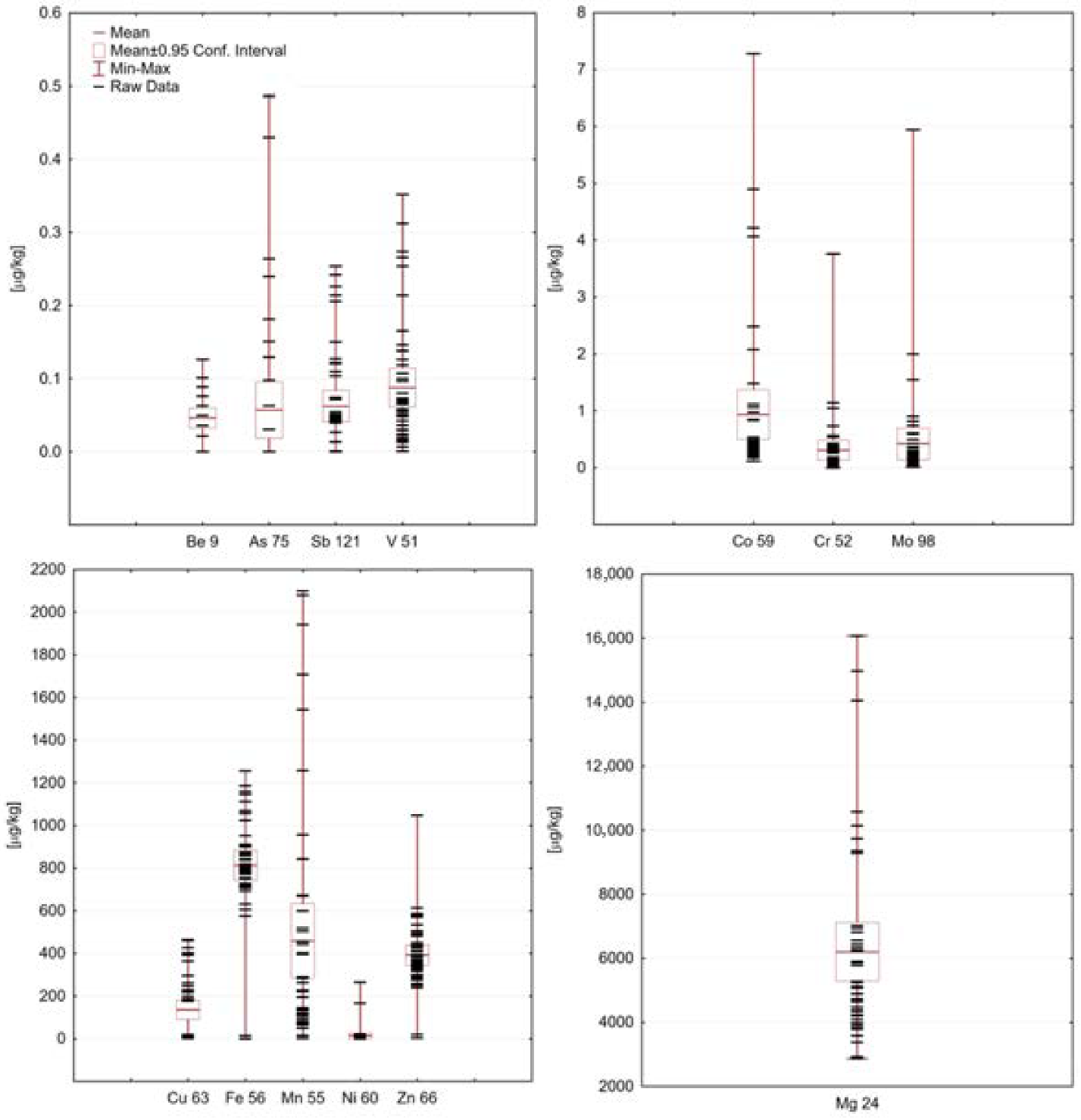
2.2. PTEs Content in Honey
2.3. Bioelements Content in Honey
3. Discussion
4. Materials and Methods
4.1. Honey Samples Collection
4.2. Sample Preparation
4.3. Analytical Determination
4.4. Data Analysis
5. Conclusions
Supplementary Materials
Author Contributions
Funding
Institutional Review Board Statement
Informed Consent Statement
Data Availability Statement
Acknowledgments
Conflicts of Interest
Sample Availability
References
- Al-Farsi, M.; Al-Belushi, S.; Al-Amri, A.; Al-Hadhrami, A.; Al-Rusheidi, M.; Al-Alawi, A. Quality evaluation of Omani honey. Food Chem. 2018, 262, 162–167. [Google Scholar] [CrossRef] [PubMed]
- Da Silva, P.M.; Gauche, C.; Gonzaga, L.V.; Costa, A.C.O.; Fett, R. Honey: Chemical composition, stability and authenticity. Food Chem. 2016, 196, 309–323. [Google Scholar] [CrossRef] [PubMed]
- De-Melo, A.A.M.; de Almeida-Muradian, L.B.; Sancho, M.T.; Pascual-Mate, A. Composition and properties of Apis mellifera honey: A review. J. Apic. Res. 2018, 57, 5–37. [Google Scholar] [CrossRef]
- El Sohaimy, S.A.; Masry, S.H.D.; Shehata, M.G. Physicochemical characteristics of honey from different origins. Ann. Agric. Sci. 2015, 60, 279–287. [Google Scholar] [CrossRef]
- White, J.W., Jr.; Doner, L.W. Honey Composition and properties. In Beekeeping in the United States, United States Department of Agriculture; Agriculture Handbook 335; U.S. Government Printing Office: Washington, DC, USA, 1980; pp. 82–91. [Google Scholar]
- Baroni, M.V.; Arrua, C.; Nores, M.L.; Fayé, P.; del Pilar Díaz, M.; Chiabrando, G.A.; Wunderlin, D.A. Composition of honey from Córdoba (Argentina): Assessment of North/South provenance by chemometrics. Food Chem. 2009, 114, 727–733. [Google Scholar] [CrossRef]
- Baroni, M.V.; Nores, M.L.; Díaz, M.D.P.; Chiabrando, G.A.; Fassano, J.P.; Costa, C.; Wunderlin, D.A. Determination of volatile organic compound patterns characteristics of five unifloral honeys by solid-phase microextraction—Gas chromatography—mass spectrometry coupled to chemimetrics. J. Agric. Food Chem. 2006, 54, 7235–7241. [Google Scholar] [CrossRef]
- Kahraman, T.; Buyukunal, S.K.; Vural, A.; Altunatmaz, S.S. Physico-chemical properties in honey from different regions of Turkey. Food Chem. 2010, 23, 41–44. [Google Scholar] [CrossRef]
- Solayman, M.; Islam, M.A.; Sudip, P.; Yousuf, A.; Khalil, M.I.; Alam, N.; Gan, S.H. Physicochemical properties, minerals, trace elements, and heavy metals in honey of different origins: A comprehensive review. Compr. Rev. Food Sci Food Saf. 2016, 15, 219–233. [Google Scholar] [CrossRef]
- Shapla, U.M.; Solayman, M.; Alam, N.; Khalil, M.I.; Gan, S.H. 5-Hydroxymethylfurfural (HMF) levels in honey and other food products: Effects on bees and human health. Chem. Cent. J. 2018, 12, 35. [Google Scholar] [CrossRef]
- Alqarni, A.S.; Owayss, A.A.; Mahmoud, A.A.; Hannan, M.A. Mineral content and physical properties of local and imported honeys in Saudi Arabia. J. Saudi Chem. Soc. 2014, 18, 618–625. [Google Scholar] [CrossRef] [Green Version]
- Bilandžić, N.; Ðokić, M.; Sedak, M.; Kolanović, B.S.; Varenina, I.; Končurat, A.; Rudan, N. Determination of trace elements in Croatian floral honey originating from different regions. Food Chem. 2011, 128, 1160–1164. [Google Scholar] [CrossRef]
- Erbilir, F.; Erdoǧrul, Ö. Determination of heavy metals in honey in Kahramanmaras City, Turkey. Environ. Monit. Assess. 2005, 109, 181–187. [Google Scholar] [CrossRef] [PubMed]
- Fredes, C.; Montenegro, G. Heavy metals and other trace elements contents in Chilean honey. Cien. Inv. Agr. 2006, 33, 50–58. [Google Scholar] [CrossRef]
- Oroian, M.; Prisacaru, A.; Hretcanu, E.C.; Stroe, S.-G.; Leahu, A.; Buculei, A. Heavy metals profile in honey as a potential indicator of botanical and geographical origin. Inter.J. Food Proper. 2016, 19, 1825–1836. [Google Scholar] [CrossRef]
- Przybyłowski, P.; Wilczyńska, A. Honey as an environmental marker. Food Chem. 2001, 74, 289–291. [Google Scholar] [CrossRef]
- Vanhanen, L.P.; Emmertz, A.; Savage, G.P. Mineral analysis of mono-floral New Zealand honey. Food Chem. 2011, 128, 236–240. [Google Scholar] [CrossRef]
- Seraglio, S.K.T.; Silva, B.; Bergamo, G.; Brugnerotto, P.; Gonzaga, L.V.; Fett, R.; Costa, A.C.O. An overview of physicochemical characteristics and health-promoting properties of honeydew honey. Food Res. Inter. 2019, 119, 44–66. [Google Scholar] [CrossRef]
- Hungerford, N.L.; Tinggi, U.; Tan, B.L.L.; Farrell, M.; Fletcher, M.T. Mineral and trace element analysis of Australian/Queensland Apis mellifera honey. Int. J. Environ. Res. Public Health 2020, 17, 6304. [Google Scholar] [CrossRef]
- Fakhlaei, R.; Selamat, J.; Khatib, A.; Razis, A.F.A.; Sukor, R.; Ahmad, S.; Babadi, A.A. The toxic impact of honey adulteration: A review. Foods 2020, 9, 1538. [Google Scholar] [CrossRef]
- Murashova, E.A.; Tunikov, G.M.; Nefedova, S.A.; Karelina, E.A.; Byshova, N.G.; Serebryakova, O.V. Major factors determining accumulation of toxic elements by bees and honey products. Int. Trans. J. Eng. Manag. Sci. Technol. 2020, 11, 11A03N. [Google Scholar]
- Pohl, P. Determination of metal content in honey by atomic absorptionand emission spectrometries. Trends Anal. Chem. 2009, 28, 117–128. [Google Scholar] [CrossRef]
- Buldini, P.L.; Cavalli, S.; Mevoli, A.; Sharma, J.L. Ion chromatographic and voltammetric determination of heavy and transition metals in honey. Food Chem. 2001, 73, 487–495. [Google Scholar] [CrossRef]
- Kujawski, M.W.; Namieśnik, J. Challenges in preparing honey samples for chromatographic determination of contaminants and trace residues. Trends Anal. Chem. 2008, 27, 785–793. [Google Scholar] [CrossRef]
- Anklam, E. A review of the analytical methods to determine the geographical and botanical origin of honey. Food Chem. 1998, 63, 549–562. [Google Scholar] [CrossRef]
- Navarrete, M.; Cabrera, L.; Martínez, T. Use of activated carbon as pre-separation agent in NAA of selenium, cobalt and iodine. J. Radioanal. Nucl. Chem. 2004, 262, 195–198. [Google Scholar] [CrossRef]
- Hernandez, O.M.; Fraga, J.M.G.; Jimenez, A.I.; Jimenez, F.; Arias, J.J. Characterization of honey from the Canary Islands: Determination of the mineral content by atomic absorption spectrophotometry. Food Chem. 2005, 93, 449–458. [Google Scholar] [CrossRef]
- Orsi, R.F.; Wuilloud, R.G.; De Wuilloud, J.C.A.; Olsina, R.A.; Martinez, L.D. On-line preconcentration and determination of cadmium in honey using knotted reactor coupled to flow injection-flame atomic absorption spectrometry. J. AOAC Int. 2002, 85, 1410–1414. [Google Scholar] [CrossRef]
- Tuzen, M.; Silici, S.; Mendil, D.; Soylak, M. Trace element levels in honeys from different regions of Turkey. Food Chem. 2007, 103, 325–330. [Google Scholar] [CrossRef]
- Chudzińska, M.; Barałkiewicz, D. Application of ICP-MS method of determination of 15 elements in honey with chemometric approach for the verification of their authenticity. Food Chem. Toxicol. 2011, 49, 2741–2749. [Google Scholar] [CrossRef]
- Madejczyk, M.; Barałkiewicz, D. Characterization of Polish rape and honeydew honey according to their mineral contents using ICP-MS and F-AAS/AES. Anal. Chim. Acta 2008, 617, 11–17. [Google Scholar] [CrossRef]
- Özcan, M.M.; Al Juhaimi, F.Y. Determination of heavy metals in bee honey with connected and not connected metal wires using inductively coupled plasma atomic emission spectrometry (ICP–AES). Environ. Monit. Assess. 2012, 184, 2373–2375. [Google Scholar] [CrossRef] [PubMed]
- Lado, L.R.; Hengl, T.; Reuter, H.I. Heavy metals in European soils: A geostatistical analysis of the FOREGS Geochemical database. Geoderma 2008, 148, 189–199. [Google Scholar] [CrossRef]
- Fakhri, Y.; Abtahi, M.; Atamaleki, A.; Raoofi, A.; Atabati, H.; Asadi, A.; Miri, A.; Shamloo, E.; Alinejad, A.; Keramati, H.; et al. The concentration of potentially toxic elements (PTEs) in honey: A global systematic review and meta-analysis and risk assessment. Trends Food Sci. Technol. 2019, 91, 498–506. [Google Scholar] [CrossRef]
- Leblebici, Z.; Kar, M. Heavy metals accumulation in vegetables irrigated with different water sources and their human daily intake in nevsehir. J. Agric. Sci. Technol. 2018, 20, 401–415. [Google Scholar]
- De Andrade, C.K.; dos Anjos, V.E.; Felsner, M.L.; Torres, Y.R.; Quináia, S.P. Relationship between geographical origin and contents of Pb, Cd, and Cr in honey samples from the state of Paraná (Brazil) with chemometric approach. Environ. Sci. Pollut. Res. 2014, 21, 12372–12381. [Google Scholar] [CrossRef]
- Kacaniová, M.; Knazovicka, V.; Melich, M.; Fikselova, M.; Massanyi, P.; Stawarz, R.; Hascik, P.; Pechociak, T.; Kuczkowska, A.; Putała, A. Environmental concentration of selected elements and relation to physicochemical parameters in honey. J. Environ. Sci. Health A 2009, 44, 414–422. [Google Scholar] [CrossRef]
- Ribeiro, R.d.O.R.; Mársico, E.T.; de Jesus, E.F.O.; da Silva Carneiro, C.; Júnior, C.A.C.; de Almeida, E.; do Nascimento Filho, V.F. Determination of trace elements in honey from different regions in Rio de Janeiro state (Brazil) by total reflection X-ray fluorescence. J. Food Sci. 2014, 79, T738–T742. [Google Scholar] [CrossRef]
- Meli, M.A.; Desideri, D.; Roselli, C.; Benedetti, C.; Feduzi, L. Essential and toxic elements in honeys from a region of central Italy. J. Environ. Sci. Health A 2015, 78, 617–627. [Google Scholar] [CrossRef]







| Element | Mass | r2 | Accuracy [%] | LOD [μg/L] | LOQ [μg/L] | BEC [μg/L] | RSD [%] Mean | RSD [%] Max |
|---|---|---|---|---|---|---|---|---|
| As | 75 | 1 | 98.3 ± 2.1 | 0.008 | 0.028 | 0.033 | 1.9 | 3.6 |
| Be | 9 | 1 | 99.9 ± 0.6 | <10−3 | <10−3 | 0.042 | 15.1 | 36.5 |
| Cd | 114 | 1 | 97.3 ± 3.1 | 0.073 | 0.246 | 0.101 | n.d | n.d |
| Co | 59 | 0.999 | 96.8 ± 2.5 | 0.007 | 0.025 | 0.066 | 7.3 | 17.2 |
| Cr | 52 | 0.999 | 98.7 ± 4.3 | 0.003 | 0.009 | 0.128 | 5.1 | 17 |
| Cu | 63 | 0.998 | 100.4 ± 3.9 | 0.031 | 0.093 | 2.013 | 2.4 | 17.2 |
| Fe | 56 | 1 | 100.1 ± 1.1 | 0.195 | 0.650 | 0.745 | 1.7 | 9.4 |
| Mg | 24 | 0.998 | 95.7 ± 6.4 | 0.075 | 0.252 | 0.761 | 1.6 | 9.5 |
| Mn | 55 | 1 | 99.9 ± 4.3 | 0.064 | 0.213 | 0.085 | 1.6 | 8.4 |
| Mo | 98 | 1 | 96.3 ± 3.1 | 0.004 | 0.015 | 0.7 | 1.9 | 16.5 |
| Ni | 60 | 1 | 101.1 ± 2.1 | 0.012 | 0.042 | 0.108 | 5.6 | 20.7 |
| Pb | 208 | 0.998 | 98.2 ± 3.2 | 0.030 | 0.101 | 0.215 | n.d. | n.d. |
| Sb | 121 | 1 | 101.1 ± 1.8 | 0.000 | 0.002 | 0.057 | 3.6 | 10.5 |
| V | 51 | 1 | 101.2 ± 4.5 | 0.001 | 0.003 | 0.007 | 2.0 | 5.4 |
| Zn | 66 | 0.998 | 97.8 ± 6.1 | 0.250 | 0.823 | 0.341 | 2.7 | 18.1 |
| Element | Mean | Median | Minimum | Maximum |
|---|---|---|---|---|
| As | 0.06 | 0.00 | <LOD | 0.49 |
| Be | 0.05 | 0.05 | <LOD | 0.13 |
| Co | 0.93 | 0.38 | 0.11 | 7.28 |
| Cr | 0.31 | 0.14 | <LOD | 3.76 |
| Cu | 136.00 | 20.00 | 2.00 | 464.00 |
| Fe | 812.00 | 798.00 | <LOD | 1256.00 |
| Mg | 6204.00 | 5120.00 | 2860.00 | 16,080.00 |
| Mn | 458.00 | 222.00 | 2.00 | 2100.00 |
| Mo | 0.42 | 0.14 | 0.01 | 5.94 |
| Ni | 13.34 | 2.18 | 0.22 | 266.00 |
| Sb | 0.06 | 0.04 | <LOD | 0.25 |
| V | 0.09 | 0.06 | <LOD | 0.35 |
| Zn | 393.00 | 372.00 | 4.00 | 1048.00 |
| Step | Time [min] | Temperature [°C] | Hold [min] |
|---|---|---|---|
| 1 | 15 | 120 | 15 min |
| 2 | 15 | 170 | 10 min |
| 3 | 20 | cooling | - |
Publisher’s Note: MDPI stays neutral with regard to jurisdictional claims in published maps and institutional affiliations. |
© 2022 by the authors. Licensee MDPI, Basel, Switzerland. This article is an open access article distributed under the terms and conditions of the Creative Commons Attribution (CC BY) license (https://creativecommons.org/licenses/by/4.0/).
Share and Cite
Ligor, M.; Kowalkowski, T.; Buszewski, B. Comparative Study of the Potentially Toxic Elements and Essential Microelements in Honey Depending on the Geographic Origin. Molecules 2022, 27, 5474. https://doi.org/10.3390/molecules27175474
Ligor M, Kowalkowski T, Buszewski B. Comparative Study of the Potentially Toxic Elements and Essential Microelements in Honey Depending on the Geographic Origin. Molecules. 2022; 27(17):5474. https://doi.org/10.3390/molecules27175474
Chicago/Turabian StyleLigor, Magdalena, Tomasz Kowalkowski, and Bogusław Buszewski. 2022. "Comparative Study of the Potentially Toxic Elements and Essential Microelements in Honey Depending on the Geographic Origin" Molecules 27, no. 17: 5474. https://doi.org/10.3390/molecules27175474
APA StyleLigor, M., Kowalkowski, T., & Buszewski, B. (2022). Comparative Study of the Potentially Toxic Elements and Essential Microelements in Honey Depending on the Geographic Origin. Molecules, 27(17), 5474. https://doi.org/10.3390/molecules27175474
