Anodic Polymerization of Phenylphenols in Methyl Isobutyl Ketone and Mesityl Oxide: Incorporation of a Cavitand into the Layers Formed for Sensing Phenols in Organic Media
Abstract
:1. Introduction
2. Materials and Methods
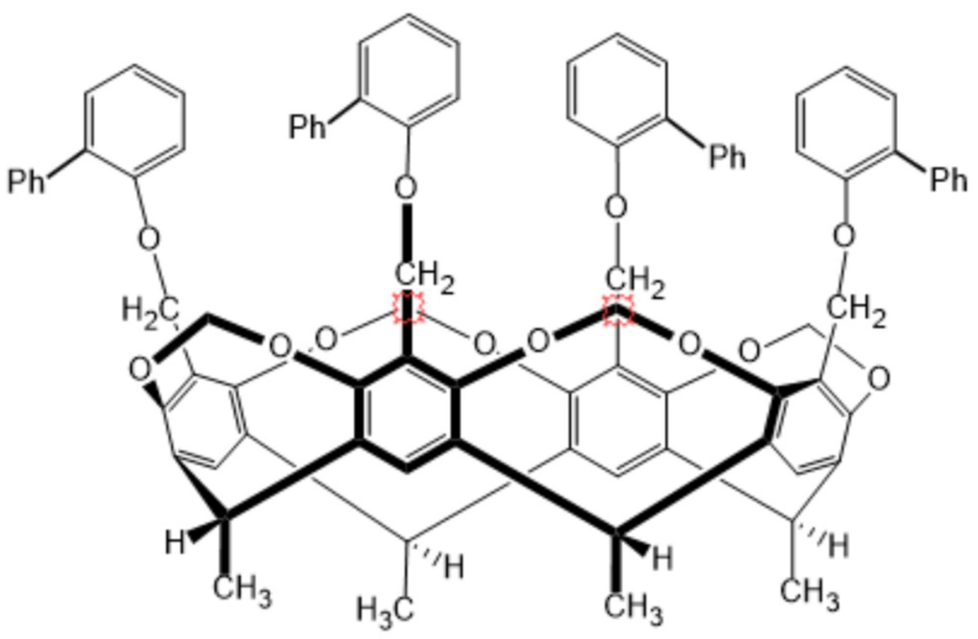
Synthesis of the Cavitand (1)
3. Results and Discussion
3.1. Electrochemical Polymerizations in the Presence of the Cavitand (1)
3.2. Analytical Performance of the Prepared Films as a Modifying Layer
4. Conclusions
Author Contributions
Funding
Institutional Review Board Statement
Informed Consent Statement
Data Availability Statement
Conflicts of Interest
References
- Baranowska, I.; Bijak, K. Voltammetric determination of disinfectants at multiwalled carbon nanotube modified glassy carbon electrode. J. Anal. Chem. 2013, 68, 891–895. [Google Scholar] [CrossRef]
- Karimi-Maleh, H.; Fakude, C.T.; Mabuba, N.; Peleyeju, G.M. The determination of 2-phenylphenol in the presence of 4-chlorophenol using nano-Fe2O3/ionic liquid paste electrode as an electrochemical sensor. J. Colloid Interf. Sci. 2019, 554, 603–610. [Google Scholar] [CrossRef] [PubMed]
- Li, H.; Li, J.; Meng, D.; Peng, J.; Qiao, Q.; Yang, Z.; Xu, Q.; Hu, X. Sodium dodecyl sulfate sensitized electrochemical method for subnanomole level determination of ortho-phenylphenol at a novel disposable electrode. Sci. China Chem. 2011, 54, 1116–1122. [Google Scholar] [CrossRef]
- Jeong, H.; Choi, E.; Kang, S.; Nam, K.; Jeon, S. Electrochemistry of a urea-functionalized calix[4]diquinone sulfate-anion selective receptor. J. Electroanal. Chem. 2000, 485, 154–160. [Google Scholar] [CrossRef]
- Guo, D.; Wang, K.; Liu, Y. Selective binding behaviours of p-sulfonatocalixarenes in aqueous solution. J. Incl. Phenom. Macrocycl. Chem. 2008, 62, 1–21. [Google Scholar] [CrossRef]
- Li, Y.; Csók, Z.; Szuroczki, P.; Kollár, L.; Kiss, L.; Kunsági-Máté, S. Fluorescence quenching studies on the interaction of a novel deepened cavitand towards some transition metal ions. Anal. Chim. Acta 2013, 799, 51–56. [Google Scholar] [CrossRef]
- Wang, F.; Chi, C.; Yu, B.; Ye, B. Simultaneous voltammetric determination of dopamine and uric acid based on Langmuir-Blodgett film of calixarene modified glassy carbon electrode. Sensor Actuat. B Chem. 2015, 221, 1586–1593. [Google Scholar] [CrossRef]
- Maity, D.; Chakraborty, A.; Gunupuru, R.; Paul, P. Calix[4]arene based molecular sensors with pyrene as fluoregenic unit: Effect of solvent in ion selectivity and colorimetric determination of fluoride. Inorg. Chim. Acta 2011, 372, 126–135. [Google Scholar] [CrossRef]
- Wang, F.; Wu, Y.; Lu, K.; Ye, B. A simple but highly sensitive and selective calixarene-based voltammetric sensor for serotonin. Electrochim. Acta 2013, 87, 756–762. [Google Scholar] [CrossRef]
- Pailleret, A.; Arrigan, D.W. Electrochemical oxidation of a tetraester calix[4]arene. Electrochem. Commun. 2001, 3, 24–27. [Google Scholar] [CrossRef]
- Skinner, A.V.; Han, S.; Balasubramanian, R. Rapid selective colorimetric sensing of polyphosphates by ionic calixarene cavitand interdigitated gold nanoparticles. Sensor Actuat. B Chem. 2017, 247, 706–712. [Google Scholar] [CrossRef]
- Vaze, V.D.; Srivastava, A.K. Electrochemical behaviour of folic acid at calixarene based chemically modified electrodes and its determination by adsorptive stripping voltammetry. Electrochim. Acta 2007, 53, 1713–1721. [Google Scholar] [CrossRef]
- Liska, A.; Rosenkranz, M.; Klíma, J.; Dunsch, L.; Lhoták, P.; Ludvík, J. Formation and proof of stable bi-, tri- and tetraradical polyanions during the electrochemical reduction of cone-polynitrocalix[4]arenes. An ESR-UV-vis spectroelectrochemical study. Electrochim. Acta 2014, 140, 572–578. [Google Scholar] [CrossRef]
- Kiss, L.; Kovács, F.; Li, H.; Kiss, A.; Kunsági-Máté, S. Electrochemical polymerization of phenol on platinum and glassy carbon electrodes in mesityl oxide. Chem. Phys. Lett. 2020, 754, 137642. [Google Scholar] [CrossRef]
- Kiss, L.; Kovács, F.; Kunsági-Máté, S. Investigation of anodic behaviour of phenylethers in non-aqueous solvents on platinum and glassy carbon electrodes. J. Iran. Chem. Soc. 2021, 18, 1677–1687. [Google Scholar] [CrossRef]
- Preisz, Z.; Nagymihály, Z.; Kollár, L.; Kálai, T.; Kunsági-Máté, S. Weak Interactions of the Isomers of Phototrexate and Two Cavitand Derivatives. Int. J. Mol. Sci. 2021, 22, 10764. [Google Scholar] [CrossRef]
- Pailleret, A.; Herzog, G.; Arrigan, D.W. Electrochemical activity of phenolic calixarenes. Electrochem. Commun. 2003, 5, 68–72. [Google Scholar] [CrossRef]
- Meddeb-Limem, S.; Besbes-Hentati, S.; Said, H.; Bouvet, M. From the electrochemical generation of calix[4]arenedihydroquinone to the electrodeposition of calix[4]arenediquinone-calix[4]arenedihydroquinone assembly. Electrochim. Acta 2011, 58, 372–382. [Google Scholar] [CrossRef]
- Buffenoir, A.; Bidan, G.; Chalumeau, L.; Soury-Lavergne, I. Immobilisation at an electrode surface of calix[4]arenes bearing electropolymerisable pyrrole moieties at the upper rim. J. Electroanal. Chem. 1998, 451, 261–266. [Google Scholar] [CrossRef]
- Chen, Z.; Gale, P.A.; Beer, P.D. Synthesis and electropolymerization of calix[4]arenes containing N-substituted pyrrole moieties. J. Electroanal. Chem. 1995, 393, 113–117. [Google Scholar] [CrossRef]
- Collyer, S.D.; Davis, F.; Lucke, A.; Stirling CJ, M.; Higson SP, J. The electrochemistry of the ferri/ferrocyanide couple at a calix[4]resorcinarenetetrathiol-modified gold electrode as a study of novel electrode modifying coatings for use within electro-analytical sensors. J. Electroanal. Chem. 2003, 549, 119–127. [Google Scholar] [CrossRef] [Green Version]
- Pan, G.; Wan, L.; Zheng, Q.; Bai, C.; Itaya, K. Self-organized arrays of calix[4]arene and calix[4]arene diquinone disulphide on Au(111). Chem. Phys. Lett. 2002, 359, 83–88. [Google Scholar] [CrossRef]
- Kiss, L.; Kunsági-Máté, S. Effect of anodic pretreatment on the performance of glassy carbon electrode in acetonitrile and electrooxidation of para-substituted phenols in acetonitrile on platinum and glassy carbon electrode. Period. Polytech. Chem. 2021, 65, 133–138. [Google Scholar] [CrossRef] [Green Version]














| Modifying Layer | 4-Methoxyphenol | 4-Chlorophenol |
|---|---|---|
| poly(2-phenylphenol) MIBK | 92.55 | 83.44 |
| poly(2-phenylphenol) MIBK + CAV (1) | 98.54 | 91.21 |
| poly(2-phenylphenol) MO | 111.52 | 100.63 |
| poly(2-phenylphenol) MO + CAV (1) | 113.37 | 104.45 |
| poly(3-phenylphenol) MIBK | 92.68 | 86.77 |
| poly(3-phenylphenol) MIBK + CAV (1) | 92.57 | 79.24 |
| poly(3-phenylphenol) MO | 103.84 | 99.28 |
| poly(3-phenylphenol) MO + CAV (1) | 104.57 | 100.49 |
| poly(4-phenylphenol) MIBK | 94.53 | 87.01 |
| poly(4-phenylphenol) MIBK + CAV (1) | 90.29 | 91.66 |
| poly(4-phenylphenol) MO | 105.88 | 100.67 |
| poly(4-phenylphenol) MO + CAV (1) | 106.03 | 100.28 |
Publisher’s Note: MDPI stays neutral with regard to jurisdictional claims in published maps and institutional affiliations. |
© 2022 by the authors. Licensee MDPI, Basel, Switzerland. This article is an open access article distributed under the terms and conditions of the Creative Commons Attribution (CC BY) license (https://creativecommons.org/licenses/by/4.0/).
Share and Cite
Kiss, L.; Nagymihály, Z.; Szabó, P.; Kollár, L.; Kunsági-Máté, S. Anodic Polymerization of Phenylphenols in Methyl Isobutyl Ketone and Mesityl Oxide: Incorporation of a Cavitand into the Layers Formed for Sensing Phenols in Organic Media. Molecules 2022, 27, 5366. https://doi.org/10.3390/molecules27175366
Kiss L, Nagymihály Z, Szabó P, Kollár L, Kunsági-Máté S. Anodic Polymerization of Phenylphenols in Methyl Isobutyl Ketone and Mesityl Oxide: Incorporation of a Cavitand into the Layers Formed for Sensing Phenols in Organic Media. Molecules. 2022; 27(17):5366. https://doi.org/10.3390/molecules27175366
Chicago/Turabian StyleKiss, László, Zoltán Nagymihály, Péter Szabó, László Kollár, and Sándor Kunsági-Máté. 2022. "Anodic Polymerization of Phenylphenols in Methyl Isobutyl Ketone and Mesityl Oxide: Incorporation of a Cavitand into the Layers Formed for Sensing Phenols in Organic Media" Molecules 27, no. 17: 5366. https://doi.org/10.3390/molecules27175366
APA StyleKiss, L., Nagymihály, Z., Szabó, P., Kollár, L., & Kunsági-Máté, S. (2022). Anodic Polymerization of Phenylphenols in Methyl Isobutyl Ketone and Mesityl Oxide: Incorporation of a Cavitand into the Layers Formed for Sensing Phenols in Organic Media. Molecules, 27(17), 5366. https://doi.org/10.3390/molecules27175366

