Structural and Functional Studies of S-(2-Carboxyethyl)-L-Cysteine and S-(2-Carboxyethyl)-l-Cysteine Sulfoxide
Abstract
1. Introduction
2. Results
2.1. Molecular and Crystal Structures of β-CEC and Epimers of β-CECO
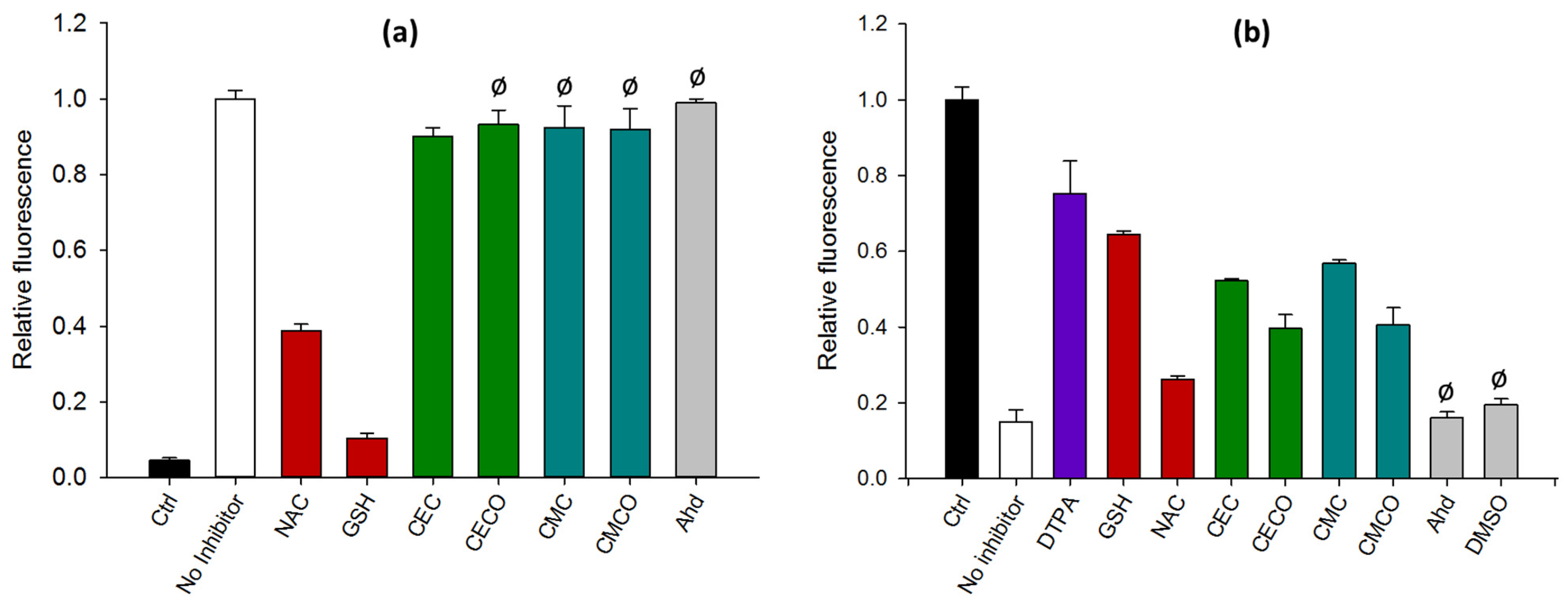
2.2. β-CEC Protects DNA from Copper-Dependent Oxidative Degradation
2.3. Effects of β-CEC and β-CECO on Activation of Stress and Proinflammatory Signaling Pathways in Renal Tubular Epithelial Cells (RTECs)
2.4. Protection of RTECs from DNA Stress Caused by DNA Intercalating Cancer Drugs
2.5. Interaction of β-CEC with Environmental Pollutants
3. Discussion
4. Materials and Methods
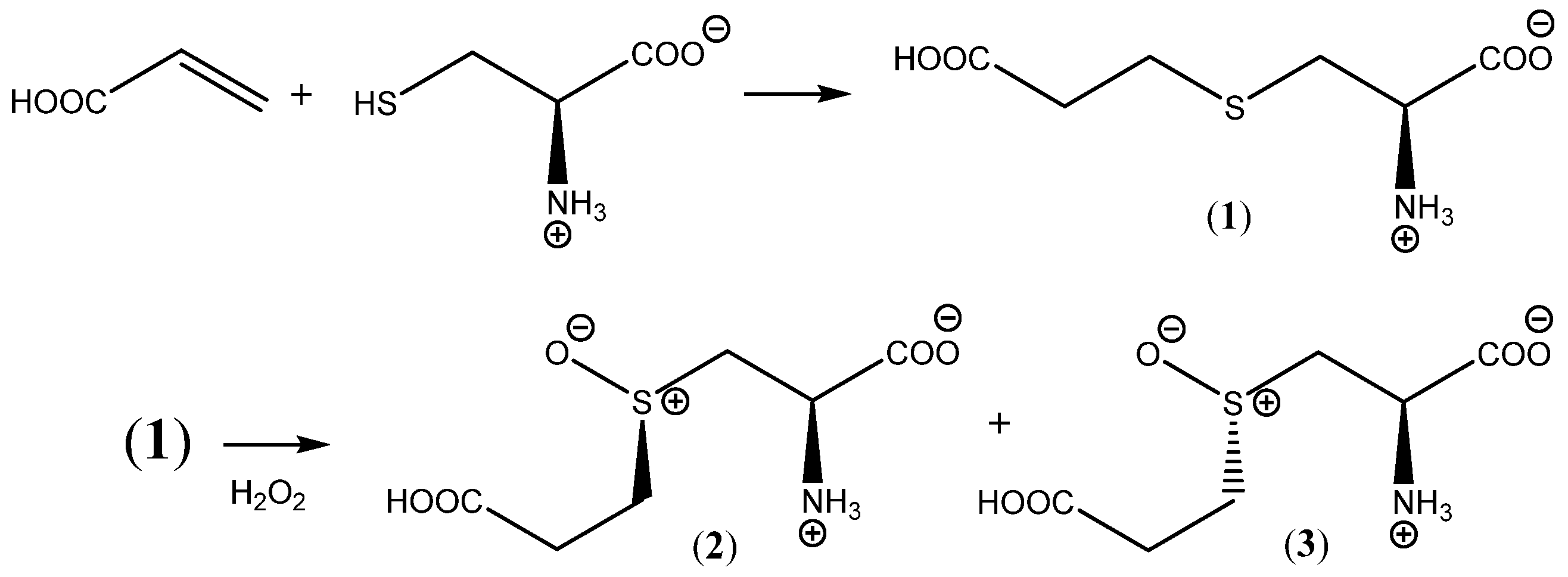
4.1. Synthesis and Crystallization of S-(2-Carboxyethyl)-l-Cysteine
4.2. Synthesis and Crystallization of S-(2-Carboxyethyl)-l-Cysteine Sulfoxides (2 and 3)
4.3. X-ray Diffraction Studies
4.4. Antioxidant Assays
4.5. Signaling Pathway Reporters
4.5.1. Reporter Vectors
4.5.2. Stable Transfections
4.5.3. Transcriptional Activity Reporter Assay
4.6. Molecular Modeling and Statistical Analysis
5. Conclusions
Supplementary Materials
Author Contributions
Funding
Institutional Review Board Statement
Informed Consent Statement
Data Availability Statement
Conflicts of Interest
Sample Availability
References
- Romeo, J.T.; Simmonds, M.S.J. Nonprotein amino acid feeding deterrents from Calliandra. ACS Symp. Ser. 1989, 387, 59–68. [Google Scholar]
- Harwood, C.E. Human food potential of the seeds of some Australian dry–zone Acacia species. J. Arid Environ. 1994, 27, 27–35. [Google Scholar] [CrossRef]
- Seneviratne, A.S.; Fowden, L. The amino acids of the genus Acacia. Phytochemistry 1968, 7, 1039–1045. [Google Scholar] [CrossRef]
- Bull, P.J.; Brooke, R.K.; Cocker, J.; Jones, K.; Warren, N. An occupational hygiene investigation of exposure to acrylamide and the role for urinary S-carboxyethyl-cysteine (CEC) as a biological marker. Ann. Occup. Hyg. 2005, 49, 683–690. [Google Scholar]
- Park, R.M. Preliminary risk assessment for acrylamide and peripheral neuropathy. NeuroToxicology 2021, 85, 10–17. [Google Scholar] [CrossRef]
- Tong, G.C.; Cornwell, W.K.; Means, G.E. Reactions of acrylamide with glutathione and serum albumin. Toxicol. Lett. 2004, 147, 127–131. [Google Scholar] [CrossRef]
- Geiger, L.E.; Hogy, L.L.; Guengerich, F.P. Metabolism of acrylonitrile by isolated rat hepatocytes. Cancer Res. 1983, 43, 3080–3087. [Google Scholar]
- Kodama, H.; Zhang, J.; Sugahara, K.; Sagara, Y.; Masuoka, Y. Cystathionine metabolism in patients with cystathioninuria and effect of priming of cystathionine metabolites on superoxide generation in human neutrophils. Recent Res. Dev. Biophys. Biochem. 2001, 1, 189–199. [Google Scholar]
- Watanabe, H.; Fujita, Y.; Sugahara, K.; Kodama, H.; Ohmori, S. Identification of NAc-HCPC and NAc-β-CEC, and qualitative analyses of sulfur amino acids in the urine of a patient with cystathioninuria using liquid chromatography/atmospheric pressure ionization mass spectrometry. Biol. Mass Spectrom. 1991, 20, 602–608. [Google Scholar] [CrossRef]
- Romeo, J.T. Functional multiplicity among nonprotein amino acids in Mimosoid legumes: A case against redundancy. Écoscience 1998, 5, 287–294. [Google Scholar] [CrossRef]
- Yadav, P.K.; Vitvitsky, V.; Kim, H.; White, A.; Cho, U.-S.; Banerjee, R. S-3-Carboxypropyl-L-cysteine specifically inhibits cystathionine γ-lyase-dependent hydrogen sulfide synthesis. J. Biol. Chem. 2019, 294, 11011–11022. [Google Scholar] [CrossRef] [PubMed]
- Han, S.-Y.; Wang, Y.-M.; Fukuda, N.; Nagao, K.; Yanagita, T. S-Propyl-cysteine sulfoxide and DL-methionine sulfoxide inhibit the secretion of apolipoprotein B100 and lipids in HepG2 cells. J. Oleo Sci. 2002, 51, 243–250. [Google Scholar] [CrossRef]
- Falade, O.S.; Adewusi, S.R.A.; Harwood, C.E. S-Carboxyethylcysteine (a constituent of Acacia seed) negatively affects casein protein utilization by rats. Nutrition 2012, 28, 785–792. [Google Scholar] [CrossRef] [PubMed]
- Rahman, I. Antioxidant therapeutic advances in COPD. Ther. Adv. Respir. Dis. 2008, 2, 351–374. [Google Scholar] [CrossRef] [PubMed]
- Maccio, A.; Madeddu, C.; Panzone, F.; Mantovani, G. Carbocysteine: Clinical experience and new perspectives in the treatment of chronic inflammatory diseases. Expert Opin. Pharmacother. 2009, 10, 693–703. [Google Scholar] [CrossRef]
- Waters, J.K.; Kelley, S.P.; Mossine, V.V.; Mawhinney, T.P. Structure, antioxidant and anti-inflammatory activities of the (4R)- and (4S)-epimers of S-carboxymethyl-L-cysteine sulfoxide. Pharmaceuticals 2020, 13, 270. [Google Scholar] [CrossRef]
- Mossine, V.V.; Waters, J.K.; Gu, Z.; Sun, G.Y.; Mawhinney, T.P. Bidirectional responses of eight neuroinflammation-related transcriptional factors to 64 flavonoids in astrocytes with transposable insulated signaling pathway reporters. ACS Chem. Neurosci. 2022, 13, 613–623. [Google Scholar] [CrossRef]
- Mossine, V.V.; Waters, J.K.; Chance, D.L.; Mawhinney, T.P. Transient proteotoxicity of bacterial virulence factor pyocyanin in renal tubular epithelial cells induces ER-related vacuolation and can be efficiently modulated by iron chelators. Toxicol. Sci. 2016, 154, 403–415. [Google Scholar] [CrossRef][Green Version]
- Mossine, V.V.; Waters, J.K.; Hannink, M.; Mawhinney, T.P. piggyBac Transposon plus insulators overcome epigenetic silencing to provide for stable signaling pathway reporter cell lines. PLoS ONE 2013, 8, e85494. [Google Scholar] [CrossRef]
- Mossine, V.V.; Chance, D.L.; Waters, J.K.; Mawhinney, T.P. Interaction of bacterial phenazines with colistimethate in bronchial epithelial cells. Antimicrob. Agents Chemother. 2018, 62, e02349. [Google Scholar] [CrossRef]
- Schöberl, A.; Wagner, A. Addition of sulfhydryl carboxylic acids to unsaturated acids and a new synthesis of lanthionine. Chem. Ber. 1947, 80, 379–390. [Google Scholar] [CrossRef]
- Mighell, A.D.; Hubbard, C.R.; Harris, J.; Staffa, J.A.; Zervos, C. S-Carboxymethyl-L-cysteine. Acta Crystallogr. 1979, B35, 1258–1261. [Google Scholar] [CrossRef]
- Staffa, J.A.; Zervos, C.; Mighell, A.D.; Hubbard, C.R. S-Carboxymethyl-L-cysteine sulfoxide (configuration 2R:4R). Acta Crystallogr. 1976, B32, 3132–3135. [Google Scholar] [CrossRef]
- Xu, W.; Liu, W.; Yao, F.-Y.; Zheng, Y.-Q. Synthesis, crystal structure and properties of the novel chiral 3D coordination polymer with S-carboxymethyl-L-cysteine. Inorg. Chim. Acta 2011, 365, 297–301. [Google Scholar] [CrossRef]
- Wang, Y.-T.; Fan, H.-H.; Wang, H.-Z.; Chen, X.-M. Homochiral helical wavelike (4,4) networks constructed by divalent metal ions and S-carboxymethyl-L-cysteine. J. Mol. Struct. 2005, 740, 61–67. [Google Scholar] [CrossRef]
- Spackman, M.A.; Jayatilaka, D. Hirshfeld surface analysis. CrystEngComm 2009, 11, 19–32. [Google Scholar] [CrossRef]
- Davis, M.A.; Smith, M.W.; Chang, S.H.; Trump, B.F. Characterization of a renal epithelial cell model of apoptosis using okadaic acid and the NRK-52E cell line. Toxicol. Pathol. 1994, 22, 595–605. [Google Scholar] [CrossRef]
- Palii, S.S.; Kays, C.E.; Deval, C.; Bruhat, A.; Fafournoux, P.; Kilberg, M.S. Specificity of amino acid regulated gene expression: Analysis of genes subjected to either complete or single amino acid deprivation. Amino Acids 2009, 37, 79–88. [Google Scholar] [CrossRef][Green Version]
- Zhai, Q.; Bian, X.-L.; Lu, S.-R.; Zhu, B.; Yu, B. Carbocisteine reduces the cytotoxicity of oxaliplatin. Z. Naturforsch. 2012, C67, 215–221. [Google Scholar] [CrossRef]
- Abudayyak, M.; Guzel, E.E.; Ozhan, G. Copper (II) oxide nanoparticles induced nephrotoxicity in vitro conditions. Appl. In Vitro Toxicol. 2016, 2, 157–164. [Google Scholar] [CrossRef]
- Mitchell, S.C.; Steventon, G.B. S-Carboxymethyl-L-cysteine. Drug Metab. Rev. 2012, 44, 129–147. [Google Scholar] [CrossRef] [PubMed]
- Mostafa, A.A.; Randell, E.W.; Vasdev, S.C.; Gill, V.D.; Han, Y.; Gadag, V.; Raouf, A.A.; El Said, H. Plasma protein advanced glycation end products, carboxymethyl cysteine, and carboxyethyl cysteine, are elevated and related to nephropathy in patients with diabetes. Mol. Cell. Biochem. 2007, 302, 35–42. [Google Scholar] [CrossRef] [PubMed]
- Colombo, B.; Turconi, P.; Daffonchio, L.; Fedele, G.; Omini, C.; Cremaschi, D. Stimulation of Cl− secretion by the mucoactive drug S-carboxymethylcysteine-lysine salt in the isolated rabbit trachea. Eur. Respir. J. 1994, 7, 1622–1628. [Google Scholar] [CrossRef] [PubMed]
- Mazelis, M.; Fowden, L. Relationship of endogenous substrate to specificity of S-alkyl cysteine lysases of different species. Phytochemistry 1973, 12, 1287–1289. [Google Scholar] [CrossRef]
- Aruga, R. Complexes of nickel (II) with S-carboxyalkyl-L-cysteines in aqueous medium. Determination of enthalpies by thermometric titrimetry. Transit. Metal Chem. 1987, 12, 235–238. [Google Scholar] [CrossRef]
- Hong, A.; Chen, T.-C.; Okey, R.W. Chelating extraction of copper from soil using s-carboxymethylcysteine. Water Environ. Res. 1995, 67, 971–978. [Google Scholar] [CrossRef]
- Battin, E.E.; Brumaghim, J.L. Antioxidant activity of sulfur and selenium: A review of reactive oxygen species scavenging, glutathione peroxidase, and metal-binding antioxidant mechanisms. Cell Biochem. Biophys. 2009, 55, 1–23. [Google Scholar] [CrossRef]
- Steventon, G.B.; Mitchell, S.C. S-Carboxymethyl-L-cysteine: A multiple dosing study using pharmacokinetic modelling. Xenobiotica 2021, 51, 865–870. [Google Scholar] [CrossRef]
- Abdelhamid, A.M.; Youssef, M.E.; Cavalu, S.; Mostafa-Hedeab, G.; Youssef, A.; Elazab, S.T.; Ibrahim, S.; Allam, S.; Elgharabawy, R.M.; El-Ahwany, E.; et al. Carbocisteine as a modulator of Nrf2/HO-1 and NFκB interplay in rats: New inspiration for the revival of an old drug for treating ulcerative colitis. Front. Pharmacol. 2022, 13, 887233. [Google Scholar] [CrossRef]
- Catanesi, M.; Brandolini, L.; d’Angelo, M.; Tupone, M.G.; Benedetti, E.; Alfonsetti, M.; Quintiliani, M.; Fratelli, M.; Iaconis, D.; Cimini, A.; et al. S-Carboxymethyl cysteine protects against oxidative stress and mitochondrial impairment in a Parkinson’s disease in vitro model. Biomedicines 2021, 9, 1467. [Google Scholar] [CrossRef]
- Jiang, D.; Cui, H.; Xie, N.; Banerjee, S.; Liu, R.-M.; Dai, H.; Thannickal, V.J.; Liu, G. ATF4 mediates mitochondrial unfolded protein response in alveolar epithelial cells. Am. J. Respir. Cell Mol. Biol. 2020, 63, 478–489. [Google Scholar] [CrossRef] [PubMed]
- Averous, J.; Bruhat, A.; Jousse, C.; Carraro, V.; Thiel, G.; Fafournoux, P. Induction of CHOP expression by amino acid limitation requires both ATF4 expression and ATF2 phosphorylation. J. Biol. Chem. 2004, 279, 5288–5297. [Google Scholar] [CrossRef] [PubMed]
- Lim, J.M.; Kim, G.; Levine, R.L. Methionine in proteins: It’s not just for protein initiation anymore. Neurochem. Res. 2019, 44, 247–257. [Google Scholar] [CrossRef] [PubMed]
- Soldatovic, T.; Bugarcic, Z.D.; van Eldik, R. Influence of the chloride concentration on ligand substitution reactions of [Pt(SMC)Cl2] with biologically relevant nucleophiles. Dalton Trans. 2009, 23, 4526–4531. [Google Scholar] [CrossRef] [PubMed]
- Murphy, J.M.; Gaertner, A.A.E.; Williams, T.; McMillen, C.D.; Powell, B.A.; Brumaghim, J.L. Stability constant determination of sulfur and selenium amino acids with Cu(II) and Fe(II). J. Inorg. Biochem. 2019, 195, 20–30. [Google Scholar] [CrossRef]
- Shiraiwa, T.; Kubo, M.; Watanabe, M.; Nakatani, H.; Ohkubo, M.; Kurokawa, H. Optical resolution by preferential crystallization of (RS)-2-amino-3-[(2-carboxyethyl)thio]propanoic acid. Biosci. Biotechnol. Biochem. 1998, 62, 818–820. [Google Scholar] [CrossRef]
- Armstrong, M.D.; Lewis, J.D. Thioether derivatives of cysteine and homocysteine. J. Org. Chem. 1951, 16, 749–753. [Google Scholar] [CrossRef]
- Meese, C.O. S-Carboxymethyl-L-cysteine (R)- and (S)-sulfoxide. Arch. Pharm. 1987, 320, 473–474. [Google Scholar] [CrossRef]
- Sheldrick, G.M. A short history of SHELX. Acta Crystallogr. 2008, A64, 112–122. [Google Scholar] [CrossRef]
- Sheldrick, G.M. Crystal structure refinement with SHELXL. Acta Crystallogr. 2015, C71, 3–8. [Google Scholar]
- Dolomanov, O.V.; Bourhis, L.J.; Gildea, R.J.; Howard, J.A.K.; Puschmann, H. OLEX2: A complete structure solution, refinement and analysis program. J. Appl. Crystallogr. 2009, 42, 339–341. [Google Scholar] [CrossRef]
- Macrae, C.F.; Bruno, I.J.; Chisholm, J.A.; Edgington, P.R.; McCabe, P.; Pidcock, E.; Rodriguez-Monge, L.; Taylor, R.; van de Streek, J.; Wood, P.A. Mercury CSD 2.0—New features for the visualization and investigation of crystal structures. J. Appl. Crystallogr. 2008, 41, 466–470. [Google Scholar] [CrossRef]
- MacKenzie, C.F.; Spackman, P.R.; Jayatilaka, D.; Spackman, M.A. CrystalExplorer model energies and energy frameworks: Extension to metal coordination compounds, organic salts, solvates and open-shell systems. IUCr J. 2017, 4, 575–587. [Google Scholar] [CrossRef] [PubMed]
- Spackman, P.R.; Turner, M.J.; McKinnon, J.J.; Wolff, S.K.; Grimwood, D.J.; Jayatilaka, D.; Spackman, M.A. CrystalExplorer: A program for Hirshfeld surface analysis, visualization and quantitative analysis of molecular crystals. J. Appl. Crystallogr. 2021, 54, 1006–1011. [Google Scholar] [CrossRef] [PubMed]











| Molecule | H ··· O | H ··· H | H ··· S | H ··· C | O ··· O | O ··· S | O ··· C | C ··· C | S ··· C |
|---|---|---|---|---|---|---|---|---|---|
| β-CEC | 52.9 | 32.4 | 7.8 | 1.9 | 1.0 | 1.8 | 0.6 | 0.5 | 1.1 |
| (4R)-β-CECO | 60.9 | 27.0 | 3.1 | 2.8 | 2.8 | 0.9 | 1.5 | 0 | 1.1 |
| (4S)-β-CECO | 68.6 | 21.3 | 5.1 | 1.4 | 0.9 | 0.4 | 2.3 | 0.2 | 0 |
| CMC [22] | 58.5 | 22.2 | 9.1 | 2.2 | 2.5 | 2.9 | 0.6 | 0.6 | 1.5 |
| (4R)-CMCO [16] | 77.6 | 10.3 | 4.9 | 2.9 | 2.0 | 0.7 | 1.6 | 0 | 0 |
| (4S)-CMCO [16] | 68.4 | 18.2 | 4.9 | 0.4 | 2.8 | 2.0 | 2.4 | 0 | 0.9 |
| Molecule | Molecular Volume, Å3 | Eelectrostatic | Epolar | Edispersion | Erepulsion | Etotal 1 |
|---|---|---|---|---|---|---|
| β-CEC | 200.3 | −316.8 | −125.9 | −124.3 | 311 | −344.2 |
| (4R)-β-CECO | 204.8 | −293.6 | −115.5 | −130.6 | 308.6 | −319.1 |
| (4S)-β-CECO | 217.0 | −168.6 | −96.3 | −92.9 | 187.4 | −214.7 |
| CMC [22] | 183.7 | −302.7 | −124.6 | −103.4 | 277.3 | −331.1 |
| (4R)-CMCO [16] | 185.2 | −336.8 | −148.7 | −117.3 | 350.2 | −351.8 |
| (4S)-CMCO [16] | 184.7 | −323.4 | −157.7 | −118.7 | 318.4 | −365.6 |
| Insert | Sequence |
|---|---|
| sense | ctagcAACATTGCATCATCCCCGCAACATTGCATCATCCCCGCAACATTGCATCATCCCCGCAACA TTGCATCATCCCCGCAACATTGCATCATCCCCGCAACATTGCATCATCCCCGCAACATTGCATCA TCCCCGCAACATTGCATCATCCCCGCa |
| antisense | gatctGCGGGGATGATGCAATGTTGCGGGGATGATGCAATGTTGCGGGGATGATGCAATGTTGCGG GGATGATGCAATGTTGCGGGGATGATGCAATGTTGCGGGGATGATGCAATGTTGCGGGGATGAT GCAATGTTGCGGGGATGATGCAATGTTg |
Publisher’s Note: MDPI stays neutral with regard to jurisdictional claims in published maps and institutional affiliations. |
© 2022 by the authors. Licensee MDPI, Basel, Switzerland. This article is an open access article distributed under the terms and conditions of the Creative Commons Attribution (CC BY) license (https://creativecommons.org/licenses/by/4.0/).
Share and Cite
Waters, J.K.; Mossine, V.V.; Kelley, S.P.; Mawhinney, T.P. Structural and Functional Studies of S-(2-Carboxyethyl)-L-Cysteine and S-(2-Carboxyethyl)-l-Cysteine Sulfoxide. Molecules 2022, 27, 5317. https://doi.org/10.3390/molecules27165317
Waters JK, Mossine VV, Kelley SP, Mawhinney TP. Structural and Functional Studies of S-(2-Carboxyethyl)-L-Cysteine and S-(2-Carboxyethyl)-l-Cysteine Sulfoxide. Molecules. 2022; 27(16):5317. https://doi.org/10.3390/molecules27165317
Chicago/Turabian StyleWaters, James K., Valeri V. Mossine, Steven P. Kelley, and Thomas P. Mawhinney. 2022. "Structural and Functional Studies of S-(2-Carboxyethyl)-L-Cysteine and S-(2-Carboxyethyl)-l-Cysteine Sulfoxide" Molecules 27, no. 16: 5317. https://doi.org/10.3390/molecules27165317
APA StyleWaters, J. K., Mossine, V. V., Kelley, S. P., & Mawhinney, T. P. (2022). Structural and Functional Studies of S-(2-Carboxyethyl)-L-Cysteine and S-(2-Carboxyethyl)-l-Cysteine Sulfoxide. Molecules, 27(16), 5317. https://doi.org/10.3390/molecules27165317

