Nanoporous Carbon from Oil Palm Leaves via Hydrothermal Carbonization-Combined KOH Activation for Paraquat Removal
Abstract
:1. Introduction
2. Materials and Methods
2.1. Materials
2.2. Synthesis of Nanoporous Carbon
2.3. Characterization
2.3.1. Morphology
2.3.2. Surface Characteristics
2.3.3. Functional Group
2.3.4. Crystal Structural
2.3.5. Amorphous Structural
2.3.6. Ultimate Analysis
2.4. Adsorption Desorption and Regeneration Experiments
2.4.1. Removal Efficiency of Paraquat
2.4.2. Adsorption Capacity of Paraquat
2.4.3. Adsorption Isotherm
Langmuir Isotherm
Freundlich Isotherm
Temkin Isotherm
Jovanovic Isotherm
2.4.4. Adsorption Kinetics
Pseudo-First-Order
Pseudo Second Order
Elovich
Inter-Particle Diffusion
3. Results and Discussion
3.1. Morphology and Characteristics
3.1.1. Surface Morphology
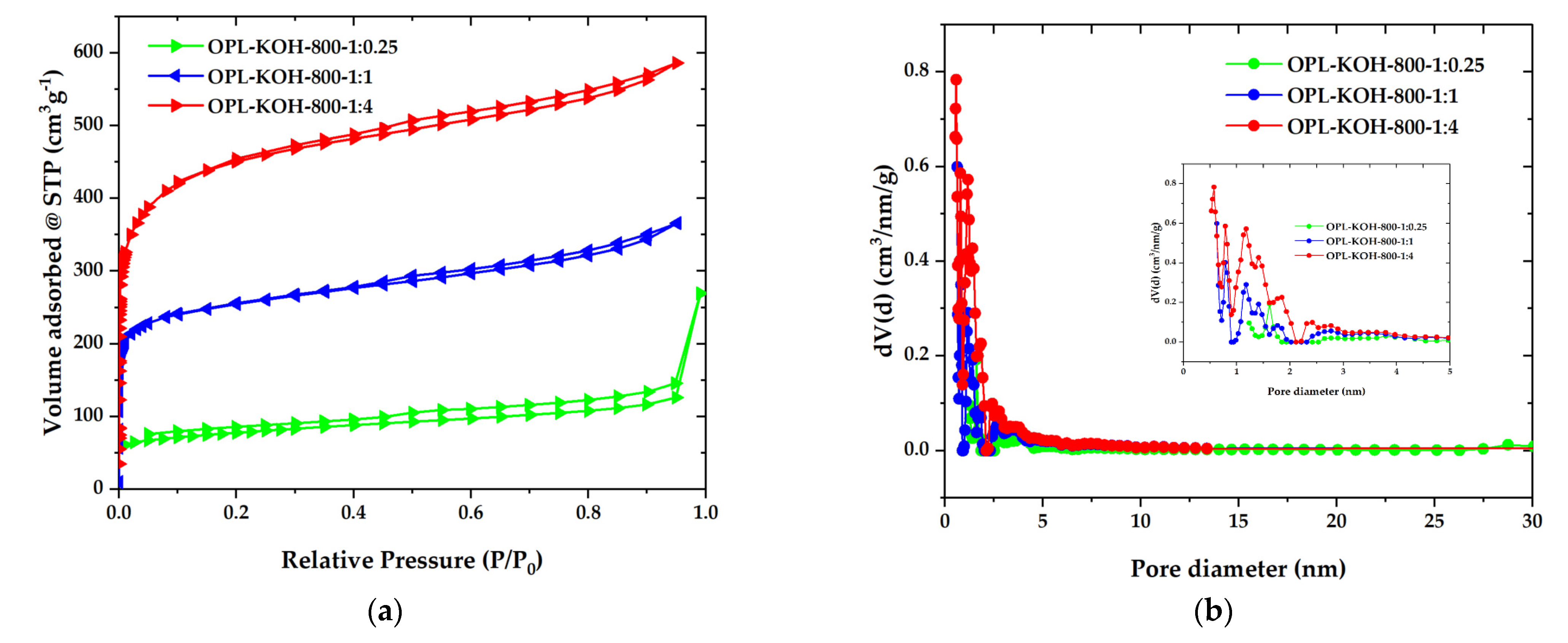
3.1.2. Nitrogen Adsorption/Desorption Isotherms and Pore Size Distribution
3.1.3. Crystallinity
3.1.4. Function Groups
3.1.5. Amorphous Structure
3.1.6. The Ultimate Analysis
3.2. Adsorption Property of Materials
3.2.1. The Removal Efficiency
3.2.2. Adsorption Isotherms
3.2.3. Adsorption Kinetics
3.2.4. Comparative Profile
3.3. Regeneration Efficiency
4. Conclusions
Author Contributions
Funding
Institutional Review Board Statement
Informed Consent Statement
Data Availability Statement
Acknowledgments
Conflicts of Interest
References
- Al-Awadi, A.S.; El-Harbawi, M.; Algarawi, A.; Alalawi, A.; El blidi, L.; Alrashed, M.M.; Yin, C.-Y. Synthesis of carbon microspheres via hydrothermal carbonization of Sabal palms (Sabal palmetto) biomass for adsorption of methylene blue. Biomass Convers. Biorefinery 2022, 1–11. [Google Scholar] [CrossRef]
- Hammud, H.H.; Karnati, R.K.; Al Shafee, M.; Fawaz, Y.; Holail, H. Activated hydrochar from palm leaves as efficient lead adsorbent. Chem. Eng. Commun. 2019, 208, 197–209. [Google Scholar] [CrossRef]
- Yao, Z.; Ma, X. Hydrothermal carbonization of Chinese fan palm. Bioresour. Technol. 2019, 282, 28–36. [Google Scholar] [CrossRef] [PubMed]
- Yan, M.; Hantoko, D.; Susanto, H.; Ardy, A.; Waluyo, J.; Weng, Z.; Lin, J. Hydrothermal treatment of empty fruit bunch and its pyrolysis characteristics. Biomass Convers. Biorefinery 2019, 9, 709–717. [Google Scholar] [CrossRef]
- Hou, Y.; Huang, G.; Li, J.; Yang, Q.; Huang, S.; Cai, J. Hydrothermal conversion of bamboo shoot shell to biochar: Preliminary studies of adsorption equilibrium and kinetics for rhodamine B removal. J. Anal. Appl. Pyrolysis 2019, 143, 104694. [Google Scholar] [CrossRef]
- Kang, K.; Nanda, S.; Sun, G.; Qiu, L.; Gu, Y.; Zhang, T.; Zhu, M.; Sun, R. Microwave-assisted hydrothermal carbonization of corn stalk for solid biofuel production: Optimization of process parameters and characterization of hydrochar. Energy 2019, 186, 115795. [Google Scholar] [CrossRef]
- Ge, S.; Wu, Y.; Peng, W.; Xia, C.; Mei, C.; Cai, L.; Shi, S.Q.; Sonne, C.; Lam, S.S.; Tsang, Y.F. High-pressure CO2 hydrothermal pretreatment of peanut shells for enzymatic hydrolysis conversion into glucose. Chem. Eng. J. 2020, 385, 123949. [Google Scholar] [CrossRef]
- Ameen, M.; Zamri, N.M.; May, S.T.; Azizan, M.T.; Aqsha, A.; Sabzoi, N.; Sher, F. Effect of acid catalysts on hydrothermal carbonization of Malaysian oil palm residues (leaves, fronds, and shells) for hydrochar production. Biomass Convers. Biorefinery 2021, 12, 103–114. [Google Scholar] [CrossRef]
- Che Zain, M.S.; Lee, S.Y.; Teo, C.Y.; Shaari, K. Adsorption/Desorption Characteristics and Simultaneous Enrichment of Orientin, Isoorientin, Vitexin and Isovitexin from Hydrolyzed Oil Palm Leaf Extract Using Macroporous Resins. Processes 2021, 9, 659. [Google Scholar] [CrossRef]
- Villabona-Ortíz, A.; González-Delgado, Á.; Tejada-Tovar, C. Equilibrium, Kinetics and Thermodynamics of Chromium (VI) Adsorption on Inert Biomasses of Dioscorea rotundata and Elaeis guineensis. Water 2022, 14, 844. [Google Scholar] [CrossRef]
- Villamil, J.A.; Diaz, E.; de la Rubia, M.A.; F Mohedano, A. Potential Use of Waste Activated Sludge Hydrothermally Treated as a Renewable Fuel or Activated Carbon Precursor. Molecules 2020, 25, 3534. [Google Scholar] [CrossRef]
- Pfersich, J.; Arauzo, P.J.; Lucian, M.; Modugno, P.; Titirici, M.M.; Fiori, L.; Kruse, A. Hydrothermal Conversion of Spent Sugar Beets into High-Value Platform Molecules. Molecules 2020, 25, 3914. [Google Scholar] [CrossRef]
- Xia, L.; Li, X.; Zhang, Y.; Zhou, K.; Yuan, L.; Shi, R.; Zhang, K.; Fu, Q. Sustainable and Green Synthesis of Waste-Biomass-Derived Carbon Dots for Parallel and Semi-Quantitative Visual Detection of Cr(VI) and Fe(3). Molecules 2022, 27, 1258. [Google Scholar] [CrossRef]
- Alcaniz-Monge, J.; Roman-Martinez, M.D.C.; Lillo-Rodenas, M.A. Chemical Activation of Lignocellulosic Precursors and Residues: What Else to Consider? Molecules 2022, 27, 1630. [Google Scholar] [CrossRef]
- Qu, X.; Kang, W.; Lai, C.; Zhang, C.; Hong, S.W. A Simple Route to Produce Highly Efficient Porous Carbons Recycled from Tea Waste for High-Performance Symmetric Supercapacitor Electrodes. Molecules 2022, 27, 791. [Google Scholar] [CrossRef]
- Fregolente, L.G.; Dos Santos, J.V.; Vinci, G.; Piccolo, A.; Moreira, A.B.; Ferreira, O.P.; Bisinoti, M.C.; Spaccini, R. Insights on Molecular Characteristics of Hydrochars by (13)C-NMR and Off-Line TMAH-GC/MS and Assessment of Their Potential Use as Plant Growth Promoters. Molecules 2021, 26, 1026. [Google Scholar] [CrossRef]
- Wei, Y.; Chen, W.; Liu, C.; Wang, H. Facial Synthesis of Adsorbent from Hemicelluloses for Cr(VI) Adsorption. Molecules 2021, 26, 1443. [Google Scholar] [CrossRef]
- Li, H.; Miao, Q.; Chen, Y.; Yin, M.; Qi, H.; Yang, M.; Deng, Q.; Wang, S. Modified carbon spheres as universal materials for adsorption of cationic harmful substances (paraquat and dyes) in water. Microporous Mesoporous Mater. 2020, 297, 110040. [Google Scholar] [CrossRef]
- Li, H.; Qi, H.; Yin, M.; Chen, Y.; Deng, Q.; Wang, S. Carbon tubes from biomass with prominent adsorption performance for paraquat. Chemosphere 2021, 262, 127797. [Google Scholar] [CrossRef]
- Mueanpun, N.; Srisuk, N.; Chaiammart, N.; Panomsuwan, G. Nanoporous activated carbons derived from water ferns as an adsorbent for removal of paraquat from contaminated water. Materialia 2021, 15, 100986. [Google Scholar] [CrossRef]
- Nicosia, A.; Vento, F.; Di Mari, G.M.; D’Urso, L.; Mineo, P.G. TiO2-Based Nanocomposites Thin Film Having Boosted Photocatalytic Activity for Xenobiotics Water Pollution Remediation. Nanomaterials 2021, 11, 400. [Google Scholar] [CrossRef]
- Tongur, T.; Ayranci, E. Adsorption and electrosorption of paraquat, diquat and difenzoquat from aqueous solutions onto activated carbon cloth as monitored by in-situ uv–visible spectroscopy. J. Environ. Chem. Eng. 2021, 9, 105566. [Google Scholar] [CrossRef]
- Lenzi, G.G.; Freitas, P.; Fidelis, M.Z.; Ribeiro, M.A.; Brackmann, R.; Colpini, L.M.S.; Tusset, A.M. Paraquat degradation by photocatalysis: Experimental desing and optimization. J. Environ. Sci. Health B 2021, 56, 523–531. [Google Scholar] [CrossRef]
- Phuinthiang, P.; Kajitvichyanukul, P. Degradation of paraquat from contaminated water using green TiO2 nanoparticles synthesized from Coffea arabica L. in photocatalytic process. Water Sci. Technol. 2019, 79, 905–910. [Google Scholar] [CrossRef]
- Huang, Y.; Zhan, H.; Bhatt, P.; Chen, S. Paraquat Degradation From Contaminated Environments: Current Achievements and Perspectives. Front. Microbiol. 2019, 10, 1754. [Google Scholar] [CrossRef] [Green Version]
- Fernandes, T.; Soares, S.F.; Trindade, T.; Daniel-da-Silva, A.L. Magnetic Hybrid Nanosorbents for the Uptake of Paraquat from Water. Nanomaterials 2017, 7, 68. [Google Scholar] [CrossRef]
- Zbair, M.; Anfar, Z.; Ait Ahsaine, H.; Khallok, H. Kinetics, equilibrium, statistical surface modeling and cost analysis of paraquat removal from aqueous solution using carbonated jujube seed. RSC Adv. 2019, 9, 1084–1094. [Google Scholar] [CrossRef] [Green Version]
- Rasaie, A.; Sabzehmeidani, M.M.; Ghaedi, M.; Ghane-Jahromi, M.; Sedaratian-Jahromi, A. Removal of herbicide paraquat from aqueous solutions by bentonite modified with mesoporous silica. Mater. Chem. Phys. 2021, 262, 124296. [Google Scholar] [CrossRef]
- Wang, X.; Le, H.; Guo, Y.; Zhao, Y.; Deng, X.; Zhang, J.; Zhang, L. Preparation of Cellulose Nanocrystals from Jujube Cores by Fractional Purification. Molecules 2022, 27, 3236. [Google Scholar] [CrossRef]
- Xu, Y.; Ding, Z. Oxidation-Induced and Hydrothermal-Assisted Template-Free Synthesis of Mesoporous CeO2 for Adsorption of Acid Orange 7. Materials 2022, 15, 5209. [Google Scholar] [CrossRef]
- Mansour, A.T.; Alprol, A.E.; Khedawy, M.; Abualnaja, K.M.; Shalaby, T.A.; Rayan, G.; Ramadan, K.M.A.; Ashour, M. Green Synthesis of Zinc Oxide Nanoparticles Using Red Seaweed for the Elimination of Organic Toxic Dye from an Aqueous Solution. Materials 2022, 15, 5169. [Google Scholar] [CrossRef] [PubMed]
- Chaowamalee, S.; Yan, N.; Ngamcharussrivichai, C. Propylsulfonic Acid-Functionalized Mesostructured Natural Rubber/Silica Nanocomposites as Promising Hydrophobic Solid Catalysts for Alkyl Levulinate Synthesis. Nanomaterials 2022, 12, 604. [Google Scholar] [CrossRef] [PubMed]
- Kandic, I.; Kragovic, M.; Krstic, J.B.; Gulicovski, J.; Popovic, J.; Rosic, M.; Karadzic, V.; Stojmenovic, M. Natural Cyanobacteria Removers Obtained from Bio-Waste Date-Palm Leaf Stalks and Black Alder Cone-Like Flowers. Int. J. Environ. Res. Public Health 2022, 19, 6639. [Google Scholar] [CrossRef] [PubMed]
- Slepickova Kasalkova, N.; Hurtukova, K.; Fajstavr, D.; Lapcak, L.; Sajdl, P.; Kolska, Z.; Svorcik, V.; Slepicka, P. Carbon Transformation Induced by High Energy Excimer Treatment. Materials 2022, 15, 4614. [Google Scholar] [CrossRef]
- Kaewtrakulchai, N.; Faungnawakij, K.; Eiad-Ua, A. Parametric Study on Microwave-Assisted Pyrolysis Combined KOH Activation of Oil Palm Male Flowers Derived Nanoporous Carbons. Materials 2020, 13, 2876. [Google Scholar] [CrossRef]
- Bui, T.T.; Nguyen, D.C.; Hua, S.H.; Chun, H.; Kim, Y.S. Sonochemical Preparation of a Magnet-Responsive Fe3O4@ZIF-8 Adsorbent for Efficient Cu(2+) Removal. Nanomaterials 2022, 12, 753. [Google Scholar] [CrossRef]
- Cui, B.; Chen, Z.; Wang, F.; Zhang, Z.; Dai, Y.; Guo, D.; Liang, W.; Liu, Y. Facile Synthesis of Magnetic Biochar Derived from Burley Tobacco Stems towards Enhanced Cr(VI) Removal: Performance and Mechanism. Nanomaterials 2022, 12, 678. [Google Scholar] [CrossRef]
- Da’na, E.; Al-Arjan, W.S.; Al-Saeed, S.; El-Aassar, M.R. One-Pot Synthesis of Amine-Functionalized Nano-Silica via Sol-Gel Assisted by Reverse Micelle Microemulsion for Environmental Application. Nanomaterials 2022, 12, 947. [Google Scholar] [CrossRef]
- Xu, X.; Li, P.; Yang, S.; Zhang, T.; Han, X.; Zhou, G.; Cao, Y.; Teng, D. The Performance and Mechanism of a Mg-Al Double-Layer Oxide in Chloride ion Removal from an Aqueous Solution. Nanomaterials 2022, 12, 846. [Google Scholar] [CrossRef]
- Azam, M.; Wabaidur, S.M.; Khan, M.R.; Al-Resayes, S.I.; Islam, M.S. Heavy Metal Ions Removal from Aqueous Solutions by Treated Ajwa Date Pits: Kinetic, Isotherm, and Thermodynamic Approach. Polymers 2022, 14, 914. [Google Scholar] [CrossRef]
- Hernández-Barreto, D.F.; Rodriguez-Estupiñán, J.P.; Moreno-Piraján, J.C.; Sierra Ramírez, R.; Giraldo, L. Adsorption and Photocatalytic Study of Phenol Using Composites of Activated Carbon Prepared from Onion Leaves (Allium fistulosum) and Metallic Oxides (ZnO and TiO2). Catalysts 2020, 10, 574. [Google Scholar] [CrossRef]
- Hasani, N.; Selimi, T.; Mele, A.; Thaçi, V.; Halili, J.; Berisha, A.; Sadiku, M. Theoretical, Equilibrium, Kinetics and Thermodynamic Investigations of Methylene Blue Adsorption onto Lignite Coal. Molecules 2022, 27, 1856. [Google Scholar] [CrossRef]
- Lach, J.; Ociepa-Kubicka, A.; Mrowiec, M. Oxytetracycline Adsorption from Aqueous Solutions on Commercial and High-Temperature Modified Activated Carbons. Energies 2021, 14, 3481. [Google Scholar] [CrossRef]
- Wu, F.-C.; Tseng, R.-L.; Juang, R.-S. Initial behavior of intraparticle diffusion model used in the description of adsorption kinetics. Chem. Eng. J. 2009, 153, 1–8. [Google Scholar] [CrossRef]
- Kong, S.; Xiang, X.; Jin, B.; Guo, X.; Wang, H.; Zhang, G.; Huang, H.; Cheng, K. B, O and N Codoped Biomass-Derived Hierarchical Porous Carbon for High-Performance Electrochemical Energy Storage. Nanomaterials 2022, 12, 1720. [Google Scholar] [CrossRef]
- Lee, B.-H.; Lee, H.-M.; Chung, D.; Kim, B.-J. Effect of Mesopore Development on Butane Working Capacity of Biomass-Derived Activated Carbon for Automobile Canister. Nanomaterials 2021, 11, 673. [Google Scholar] [CrossRef]
- Suhdi, S.; Wang, S.C. The Production of Carbon Nanofiber on Rubber Fruit Shell-Derived Activated Carbon by Chemical Activation and Hydrothermal Process with Low Temperature. Nanomaterials 2021, 11, 2038. [Google Scholar] [CrossRef]
- Khurshid, H.; Mustafa, M.R.U.; Isa, M.H. Modified Activated Carbon Synthesized from Oil Palm Leaves Waste as a Novel Green Adsorbent for Chemical Oxygen Demand in Produced Water. Sustainability 2022, 14, 1986. [Google Scholar] [CrossRef]
- Martwong, E.; Chuetor, S.; Junthip, J. Adsorption of Paraquat by Poly(Vinyl Alcohol)-Cyclodextrin Nanosponges. Polymers 2021, 13, 4110. [Google Scholar] [CrossRef]
- Suo, F.; Liu, X.; Li, C.; Yuan, M.; Zhang, B.; Wang, J.; Ma, Y.; Lai, Z.; Ji, M. Mesoporous activated carbon from starch for superior rapid pesticides removal. Int. J. Biol. Macromol. 2019, 121, 806–813. [Google Scholar] [CrossRef]
- Huang, C.-F.; Tu, C.-W.; Lee, R.-H.; Yang, C.-H.; Hung, W.-C.; Andrew Lin, K.-Y. Study of various diameter and functionality of TEMPO-oxidized cellulose nanofibers on paraquat adsorptions. Polym. Degrad. Stab. 2019, 161, 206–212. [Google Scholar] [CrossRef]
- Pluangklang, C.; Rangsriwatananon, K. Facile Method by Bentonite Treated with Heat and Acid to Enhance Pesticide Adsorption. Appl. Sci. 2021, 11, 5147. [Google Scholar] [CrossRef]
- Insuwan, W.; Rangsriwatananon, K. Removal of Paraquat from Aqueous Solutions onto Zeolite LTL. Eng. J. 2017, 21, 15–23. [Google Scholar] [CrossRef]
- Keawkumay, C.; Rongchapo, W.; Sosa, N.; Suthirakun, S.; Koleva, I.Z.; Aleksandrov, H.A.; Vayssilov, G.N.; Wittayakun, J. Paraquat adsorption on NaY zeolite at various Si/Al ratios: A combined experimental and computational study. Mater. Chem. Phys. 2019, 238, 121824. [Google Scholar] [CrossRef]
- Jiang, H.; Dong, X.; Shou, J. Synthesis of Novel Magnetic Carbon Microtube-Based Solid Acid and Its Catalytic Activities for Biodiesel Synthesis. Catalysts 2022, 12, 305. [Google Scholar] [CrossRef]












| Condition | Ultimate Analysis ** | |||
|---|---|---|---|---|
| C | H | N | O * | |
| OPL | 42.264 | 6.309 | 1.377 | 50.050 |
| Condition | 1 SBET (m2·g−1) | 2 Micropore Surface Area (m2·g-1) | 3 External Surface Area (m2·g−1) | 4 Vtotal (cm3·g–1) | 5 Dmic (nm) | 6 Dmes (nm) | 7 Daverage (nm) |
|---|---|---|---|---|---|---|---|
| OPL−KOH−800−1:0.25 | 283 | 156 | 126 | 0.845 | 1.231–1.931 | 2.020–13.376 | 11.96 |
| OPL−KOH−800−1:1 | 961 | 692 | 269 | 0.566 | 0.548–1.931 | 2.020–13.376 | 2.36 |
| OPL−KOH−800−1:4 | 1685 | 1281 | 404 | 0.907 | 0.523–1.931 | 2.020–13.376 | 2.15 |
| Sample | Condition | SBET (m2·g−1) | Vtotal (cm3·g−1) | Daverage (nm) | Ref |
|---|---|---|---|---|---|
| Onion Leaves (Allium fistulosum) | Chemical activation process using (H3PO4) | 1100 | 0.879 | 1.050 | [41] |
| Biochar derived from tobacco stems | Stems and pyrolyzed 400 °C for 30 min | 33 | 0.072 | 1.631 | [37] |
| Bamboo shoot shell | (HTC) 800 °C | 513 | 0.27 | 2.09 | [5] |
| Oil Palm Male Flowers | Microwave-Assisted Pyrolysis Combined KOH Activation | 991 | 0.49 | - | [35] |
| Water ferns | (HTC) followed by a chemical activation process using (KOH) at 700 °C | 2848 | 1.552 | - | [20] |
| Oil palm leave | (HTC) followed by a chemical activation process using (KOH) at 700 °C | 1685 | 0.907 | 2.15 | This study |
| Condition | ID | IG | ID/IG |
|---|---|---|---|
| OPL−HTC−800 | 157.10 | 162.42 | 0.96 |
| OPL−KOH−800−1:0.25 | 55.12 | 57.28 | 0.96 |
| OPL−KOH−800−1:1 | 64.46 | 65.78 | 0.97 |
| OPL−KOH−800−1:4 | 49.11 | 49.49 | 0.99 |
| Condition | Ultimate Analysis ** | |||
|---|---|---|---|---|
| C | H | N | O * | |
| OPL−HT−200−12 | 46.204 | 5.699 | 1.748 | 46.349 |
| OPL−HTC−800 | 72.296 | 2.355 | 0.841 | 24.508 |
| OPL−KOH−800−1:0.25 | 73.352 | 2.742 | 1.350 | 22.556 |
| OPL−KOH−800−1:1 | 75.338 | 4.188 | 0.590 | 19.884 |
| OPL−KOH−800−1:4 | 77.860 | 5.059 | 0.084 | 16.997 |
| Model | Parameter | Paraquat |
|---|---|---|
| Langmuir | qm (mg·g−1) | 97.755 ± 7.058 |
| kL (L·mg−1) | 0.100 ± 0.047 | |
| R2 | 0.916 | |
| Freundlich | 38.615 ± 7.532 | |
| 5.986 ± 0.039 | ||
| R2 | 0.906 | |
| Temkin | 13.621 ± 4.082 | |
| 5.034 ± 9.253 | ||
| R2 | 0.898 | |
| Jovanovic | 90.764 ± 5.572 | |
| 0.069 ± 0.025 | ||
| R2 | 0.906 |
| Model | Parameter | Paraquat |
|---|---|---|
| Pseudo-first-order | k1 (min−1) | 1.397 ± 0.153 |
| qe (mg·g−1) | 91.774 ± 0.581 | |
| R2 | 0.997 | |
| Pseudo-second-order | k2 (min·mg·g−1) | 0.069 ± 0.010 |
| qe (mg·g−1) | 92.673 ± 0.374 | |
| R2 | 0.999 | |
| Elovich | 4.343 × 1029 ± 6.465 × 1030 | |
| 0.781 ± 0.166 | ||
| R2 | 0.998 | |
| Inter-particle diffusion | kdiff (mg·g−1·min−1/2) | 3.236 ± 1.959 |
| c (mg·g−1) | 63.143 ± 14.155 | |
| R2 | 0.254 |
| Sample | qm (mg·g−1) | kL (L·mg−1) | Paraquat Concentration (mg·L−1) | Dosage (g·L−1) | Ref |
|---|---|---|---|---|---|
| Water ferns | 5.78 | 0.26 | 1.5–4.5 | 1.00 | [20] |
| NAC water ferns | 20.00 | 1.39 | 1.5–45 | 1.00 | [20] |
| Mesoporous silica | 11.75 | 1.19 | 8–16 | 0.04 | [28] |
| Poly(Vinyl Alcohol)- Cyclodextrin | 102.00 | 0.09 | 25–300 | 2.00 | [49] |
| Starch-derived carbons | 66.20 | 25.61 | 1–150 | 2.00 | [50] |
| Carbon tubes | 218.61 | 0.03 | 70–500 | 0.20 | [19] |
| Magnetic adsorbent | 242.40 | 0.66 | 30–900 | 2.50 | [26] |
| TEMPO-oxidized cellulose nanofibers | 115.00 | 3.51 | 10 | 0.10 | [51] |
| Bentonite | 94.34 | 480.83 | 50 | 2.00 | [52] |
| K-Zeolite LTL | 166.71 | 1.05 | 50–500 | 2.50 | [53] |
| H-Zeolite LTL | 25.67 | 1.26 | 50–500 | 2.50 | [53] |
| NaY zeolite | 234.40 | 0.05 | 100–1500 | 2.50 | [54] |
| Nanoporous for Oil palm leave | 97.76 | 0.10 | 25–400 | 1.00 | This study |
Publisher’s Note: MDPI stays neutral with regard to jurisdictional claims in published maps and institutional affiliations. |
© 2022 by the authors. Licensee MDPI, Basel, Switzerland. This article is an open access article distributed under the terms and conditions of the Creative Commons Attribution (CC BY) license (https://creativecommons.org/licenses/by/4.0/).
Share and Cite
Chanpee, S.; Kaewtrakulchai, N.; Khemasiri, N.; Eiad-ua, A.; Assawasaengrat, P. Nanoporous Carbon from Oil Palm Leaves via Hydrothermal Carbonization-Combined KOH Activation for Paraquat Removal. Molecules 2022, 27, 5309. https://doi.org/10.3390/molecules27165309
Chanpee S, Kaewtrakulchai N, Khemasiri N, Eiad-ua A, Assawasaengrat P. Nanoporous Carbon from Oil Palm Leaves via Hydrothermal Carbonization-Combined KOH Activation for Paraquat Removal. Molecules. 2022; 27(16):5309. https://doi.org/10.3390/molecules27165309
Chicago/Turabian StyleChanpee, Sirayu, Napat Kaewtrakulchai, Narathon Khemasiri, Apiluck Eiad-ua, and Pornsawan Assawasaengrat. 2022. "Nanoporous Carbon from Oil Palm Leaves via Hydrothermal Carbonization-Combined KOH Activation for Paraquat Removal" Molecules 27, no. 16: 5309. https://doi.org/10.3390/molecules27165309
APA StyleChanpee, S., Kaewtrakulchai, N., Khemasiri, N., Eiad-ua, A., & Assawasaengrat, P. (2022). Nanoporous Carbon from Oil Palm Leaves via Hydrothermal Carbonization-Combined KOH Activation for Paraquat Removal. Molecules, 27(16), 5309. https://doi.org/10.3390/molecules27165309

