Extractability of Curcuminoids Is Enhanced with Milk and Aqueous-Alcohol Mixtures
Abstract
:1. Introduction
2. Results and Discussion
2.1. Analytical Method Validation
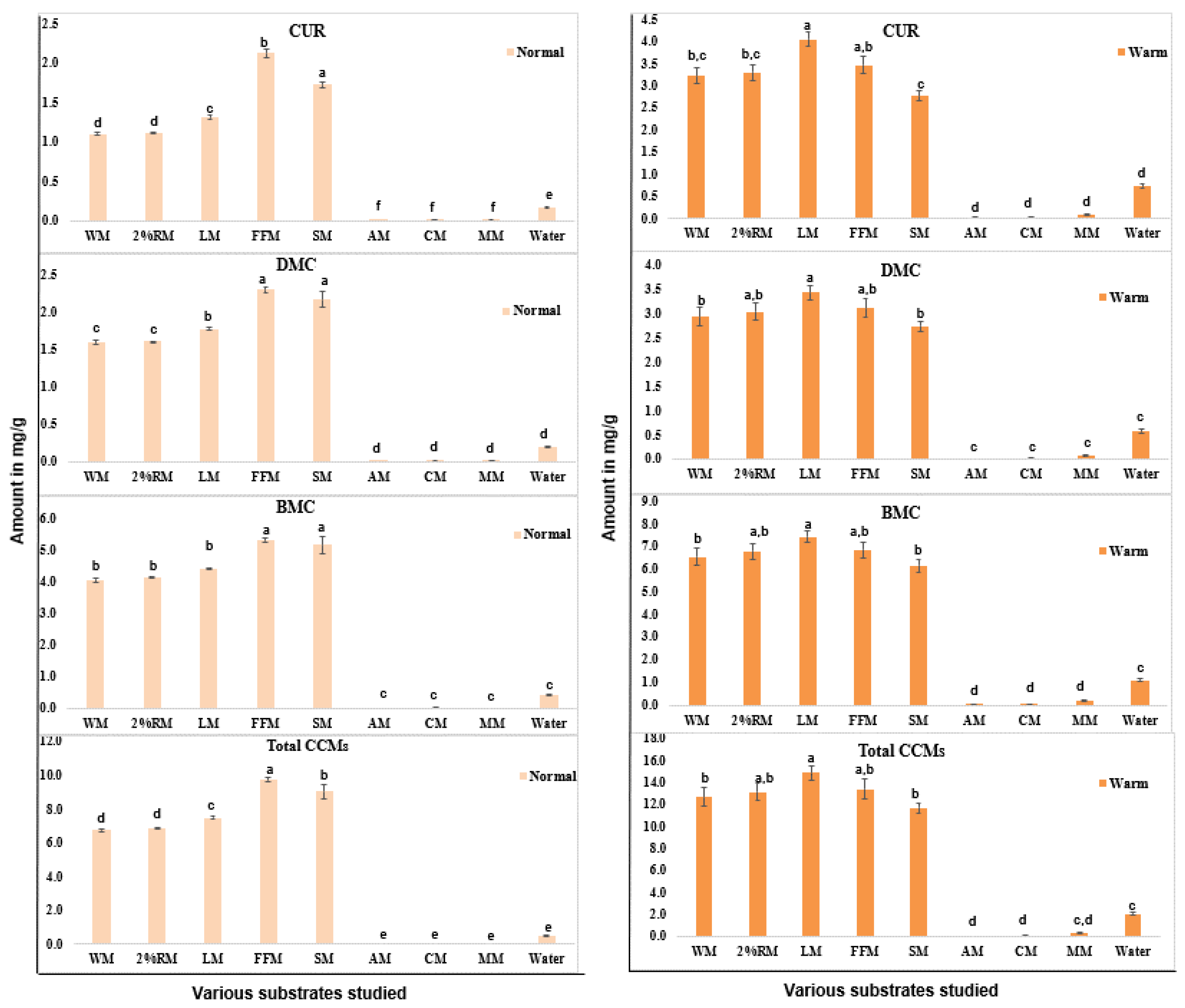
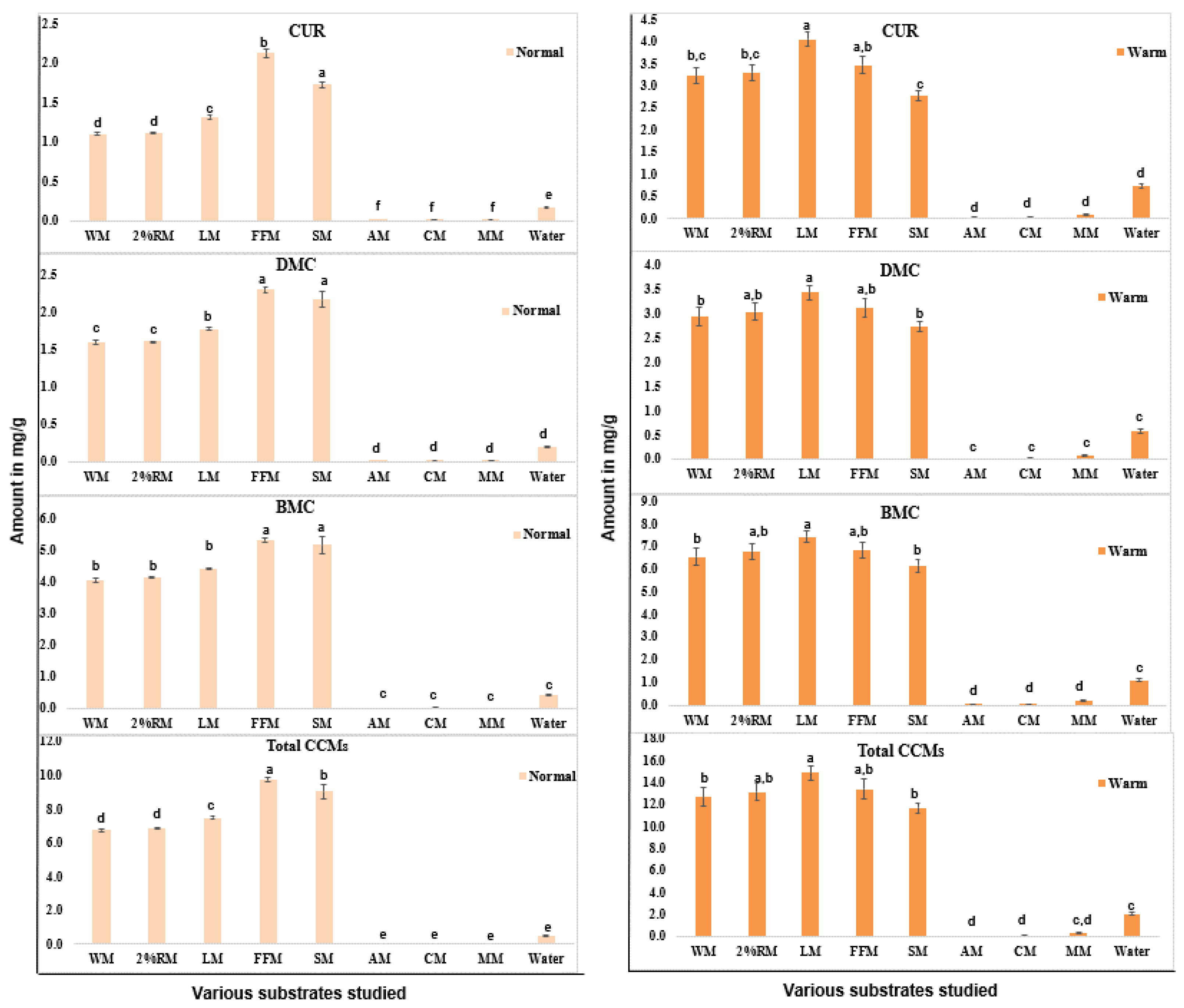
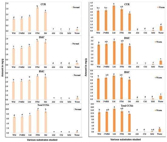
2.2. The Extractability of Curcuminoids in Different Milk Samples
2.3. The Extractability of Curcuminoids in Different Proportions of Aqueous-Alcohol Mixtures
3. Materials and Methods
3.1. Materials
3.2. Preparation of Standard and Sample Solutions
3.3. Sample Extraction
3.4. Instrumentation
3.5. Method Validation and Statistical Analysis
4. Conclusions
Supplementary Materials
Author Contributions
Funding
Institutional Review Board Statement
Informed Consent Statement
Data Availability Statement
Conflicts of Interest
Sample Availability
References
- Kotha, R.R.; Luthria, D.L. Curcumin: Biological, Pharmaceutical, Nutraceutical, and Analytical Aspects. Molecules 2019, 24, 2930. [Google Scholar] [CrossRef] [PubMed] [Green Version]
- Salehi, B.; Stojanović-Radić, Z.; Matejić, J.; Sharifi-Rad, M.; Anil Kumar, N.V.; Martins, N.; Sharifi-Rad, J. The Therapeutic Potential of Curcumin: A Review of Clinical Trials. Eur. J. Med. Chem. 2019, 163, 527–545. [Google Scholar] [CrossRef] [PubMed]
- Nelson, K.M.; Dahlin, J.L.; Bisson, J.; Graham, J.; Pauli, G.F.; Walters, M.A. The Essential Medicinal Chemistry of Curcumin. J. Med. Chem. 2017, 60, 1620–1637. [Google Scholar] [CrossRef] [PubMed]
- Kharat, M.; McClements, D.J. Recent Advances in Colloidal Delivery Systems for Nutraceuticals: A Case Study—Delivery by Design of Curcumin. J. Colloid Interface Sci. 2019, 557, 506–518. [Google Scholar] [CrossRef] [PubMed]
- Li, H.; Sureda, A.; Devkota, H.P.; Pittalà, V.; Barreca, D.; Silva, A.S.; Tewari, D.; Xu, S.; Nabavi, S.M. Curcumin, the Golden Spice in Treating Cardiovascular Diseases. Biotechnol. Adv. 2020, 38, 107343. [Google Scholar] [CrossRef]
- Anand, P.; Kunnumakkara, A.B.; Newman, R.A.; Aggarwal, B.B. Bioavailability of Curcumin: Problems and Promises. Mol. Pharm. 2007, 4, 807–818. [Google Scholar] [CrossRef] [PubMed]
- Prasad, S.; Gupta, S.C.; Tyagi, A.K.; Aggarwal, B.B. Curcumin, a Component of Golden Spice: From Bedside to Bench and Back. Biotechnol. Adv. 2014, 32, 1053–1064. [Google Scholar] [CrossRef]
- Amalraj, A.; Pius, A.; Gopi, S.; Gopi, S. Biological Activities of Curcuminoids, Other Biomolecules from Turmeric and Their Derivatives—A Review. J. Tradit. Complement. Med. 2017, 7, 205–233. [Google Scholar] [CrossRef] [Green Version]
- Kunnumakkara, A.B.; Bordoloi, D.; Padmavathi, G.; Monisha, J.; Roy, N.K.; Prasad, S.; Aggarwal, B.B. Curcumin, the Golden Nutraceutical: Multitargeting for Multiple Chronic Diseases. Br. J. Pharmacol. 2017, 174, 1325–1348. [Google Scholar] [CrossRef] [PubMed] [Green Version]
- Mirzaei, H.; Shakeri, A.; Rashidi, B.; Jalili, A.; Banikazemi, Z.; Sahebkar, A. Phytosomal Curcumin: A Review of Pharmacokinetic, Experimental and Clinical Studies. Biomed. Pharmacother. 2017, 85, 102–112. [Google Scholar] [CrossRef] [PubMed]
- Rahimi Yazdi, S.; Corredig, M. Heating of Milk Alters the Binding of Curcumin to Casein Micelles. A Fluorescence Spectroscopy Study. Food Chem. 2012, 132, 1143–1149. [Google Scholar] [CrossRef] [PubMed]
- Aguié-Béghin, V.; Sausse, P.; Meudec, E.; Cheynier, V.; Douillard, R. Polyphenol−β-Casein Complexes at the Air/Water Interface and in Solution: Effects of Polyphenol Structure. J. Agric. Food Chem. 2008, 56, 9600–9611. [Google Scholar] [CrossRef] [PubMed]
- Yuksel, Z.; Avci, E.; Erdem, Y.K. Characterization of Binding Interactions between Green Tea Flavanoids and Milk Proteins. Food Chem. 2010, 121, 450–456. [Google Scholar] [CrossRef]
- Sahu, A.; Kasoju, N.; Bora, U. Fluorescence Study of the Curcumin—Casein Micelle Complexation and Its Application as a Drug Nanocarrier to Cancer Cells. Biomacromolecules 2008, 9, 2905–2912. [Google Scholar] [CrossRef]
- Kimpel, F.; Schmitt, J.J. Review: Milk Proteins as Nanocarrier Systems for Hydrophobic Nutraceuticals. J. Food Sci. 2015, 80, R2361–R2366. [Google Scholar] [CrossRef]
- Kotha, R.R.; Tareq, F.S.; Byrdwell, C.; Luthria, D.L. Rapid and Sensitive Analytical Assessment of Curcuminoids and Three Common Turmeric Adulterants in a Single Run Using Liquid Chromatography and Tandem Mass Spectrometry. ACS Food Sci. Technol. 2021, 1, 2174–2181. [Google Scholar] [CrossRef]
- Filho, R.C.N.; Galvan, D.; Effting, L.; Terhaag, M.M.; Yamashita, F.; Benassi, M.D.T.; Spinosa, W.A. Effects of Adding Spices with Antioxidants Compounds in Red Ale Style Craft Beer: A Simplex-Centroid Mixture Design Approach. Food Chem. 2021, 365, 130478. [Google Scholar] [CrossRef]
- Hayward, L.; Wedel, A.; McSweeney, M.B. Acceptability of Beer Produced with Dandelion, Nettle, and Sage. Int. J. Gastron. Food Sci. 2019, 18, 100180. [Google Scholar] [CrossRef]
- Tozetto, L.M.; Nascimento, R.F.D.; De Oliveira, M.H.; Van Beik, J.; Canteri, M.H.G. Production and Physicochemical Characterization of Craft Beer with Ginger (Zingiber Officinale). Food Sci. Technol. 2019, 39, 962–970. [Google Scholar] [CrossRef] [Green Version]
- Isaac-Lam, M.F. Determination of Alcohol Content in Alcoholic Beverages Using 45 MHz Benchtop NMR Spectrometer. Int. J. Spectrosc. 2016, 2016, e2526946. [Google Scholar] [CrossRef]
- Ducruet, J.; Rébénaque, P.; Diserens, S.; Kosińska-Cagnazzo, A.; Héritier, I.; Andlauer, W. Amber Ale Beer Enriched with Goji Berries—The Effect on Bioactive Compound Content and Sensorial Properties. Food Chem. 2017, 226, 109–118. [Google Scholar] [CrossRef] [PubMed]
- Di Renzo, L.; Cioccoloni, G.; Sinibaldi Salimei, P.; Ceravolo, I.; De Lorenzo, A.; Gratteri, S. Alcoholic Beverage and Meal Choices for the Prevention of Noncommunicable Diseases: A Randomized Nutrigenomic Trial. Oxid. Med. Cell. Longev. 2018, 2018, 5461436. [Google Scholar] [CrossRef]
- Validation of Analytical Procedures: Text and Methodology: ICH. Available online: http://www.ich.org/products/guidelines/quality/quality-single/article/validation-of-analytical-procedures-text-and-methodology.html (accessed on 17 August 2018).
- Maheshwari, M. Comparative bioavailability of curcumin, turmeric and Biocurcumax™ in traditional vehicles using non-everted rat intestinal sac model. J. Funct. Foods 2010, 2, 60–65. [Google Scholar] [CrossRef]
- Han, J.; Ye, T.; Liu, Y.H.; Chen, X.; Miao, G.P. Effects of food matrix and probiotics on the bioavailability of curcumin in different nanoformulations. J. Sci. Food Agric. 2021, 101, 5627–5635. [Google Scholar] [CrossRef] [PubMed]
- Yixuan, L.; Qaria, M.A.; Sivasamy, S.; Jianzhong, S.; Daochen, Z. Curcumin production and bioavailability: A comprehensive review of curcumin extraction, synthesis, biotransformation and delivery systems. Ind. Crops Prod. 2021, 172, 114050. [Google Scholar] [CrossRef]
- Sohn, S.-I.; Priya, A.; Balasubramaniam, B.; Muthuramalingam, P.; Sivasankar, C.; Selvaraj, A.; Valliammai, A.; Jothi, R.; Pandian, S. Biomedical Applications and Bioavailability of Curcumin—An Updated Overview. Pharmaceutics 2021, 13, 2102. [Google Scholar] [CrossRef] [PubMed]
- Tabanelli, R.; Brogi, S.; Calderone, V. Improving Curcumin Bioavailability: Current Strategies and Future Perspectives. Pharmaceutics 2021, 13, 1715. [Google Scholar] [CrossRef] [PubMed]
- Luthria, D.L.; Mukhopadhyay, S.; Krizek, D.T. Content of Total Phenolics and Phenolic Acids in Tomato (Lycopersicon Esculentum Mill.) Fruits as Influenced by Cultivar and Solar UV Radiation. J. Food Compos. Anal. 2006, 19, 771–777. [Google Scholar] [CrossRef]
- Tareq, F.S.; Kotha, R.R.; Ferreira, J.F.S.; Sandhu, D.; Luthria, D.L. Influence of Moderate to High Salinity on the Phytochemical Profiles of Two Salinity-Tolerant Spinach Genotypes. ACS Food Sci. Technol. 2021, 1, 205–214. [Google Scholar] [CrossRef]
- Luthria, D.L. A Simplified UV Spectral Scan Method for the Estimation of Phenolic Acids and Antioxidant Capacity in Eggplant Pulp Extracts. J. Funct. Foods 2012, 4, 238–242. [Google Scholar] [CrossRef]


| Analyte | QC Level (ng/mL) | Intra-Day (n = 3) | Interday (n = 6; 2 × 3) | ||||
|---|---|---|---|---|---|---|---|
| Mean ± SD (ng/mL) | Accuracy % | RSD % | Mean ± SD (ng/mL) | Accuracy % | RSD % | ||
| Curcumin (CUR) | 10 | 10.62 ± 0.37 | 106.18 | 3.52 | 9.64 ± 1.13 | 96.43 | 11.74 |
| 100 | 92.55 ± 6.23 | 92.55 | 6.74 | 92.09 ± 4.72 | 92.10 | 5.13 | |
| 1000 | 976.17 ± 8.22 | 97.62 | 0.84 | 982.15 ± 12.58 | 98.20 | 1.28 | |
| 10,000 | 10,357.27 ± 466.06 | 103.57 | 4.50 | 10,217.33 ± 403.43 | 102.20 | 3.95 | |
| Demethoxycurcumin (DMC) | 10 | 9.61 ± 0.34 | 96.12 | 3.57 | 9.49 ± 0.53 | 94.89 | 5.63 |
| 100 | 96.61 ± 3.12 | 96.61 | 3.23 | 95.47 ± 4.89 | 95.50 | 5.12 | |
| 1000 | 991.69 ± 4.09 | 99.17 | 0.41 | 992.26 ± 18.71 | 99.20 | 1.89 | |
| 10,000 | 10,147.24 ± 264.25 | 101.47 | 2.60 | 10,082.29 ± 296.44 | 100.80 | 2.94 | |
| bisDemethoxycurcumin (BMC) | 10 | 9.76 ± 0.81 | 97.56 | 8.31 | 9.70 ± 0.79 | 96.97 | 8.19 |
| 100 | 101.20 ± 3.55 | 101.20 | 3.51 | 101.27 ± 2.62 | 101.30 | 2.59 | |
| 1000 | 1007.07 ± 24.41 | 100.71 | 2.42 | 995.65 ± 20.92 | 99.57 | 2.10 | |
| 10,000 | 10,253.55 ± 185.62 | 102.54 | 1.81 | 100,025.44 ± 263.53 | 100.25 | 2.63 | |
| Milk | Amount of Fat (g) | Concentration (mg/mL) * | Fat (% DV) | Amount of Protein (g) | Concentration (mg/mL) * |
|---|---|---|---|---|---|
| Homogenized | 8 | 33.3 | 10 | 8 | 33.3 |
| 2% Reduced fat | 5 | 20.8 | 8 | 8 | 33.3 |
| Low fat | 2.5 | 10.4 | 4 | 8 | 33.3 |
| Fat free | 0 | 0.0 | 0 | 8 | 33.3 |
| Soy | 4.5 | 18.8 | 6 | 8 | 33.3 |
| Almond | 2.5 | 10.4 | 3 | 1 | 4.2 |
| Coconut | 4 | 16.7 | 5 | 0 | 0.0 |
| Milkadamia | 3.5 | 14.6 | 4 | 1 | 4.2 |
Publisher’s Note: MDPI stays neutral with regard to jurisdictional claims in published maps and institutional affiliations. |
© 2022 by the authors. Licensee MDPI, Basel, Switzerland. This article is an open access article distributed under the terms and conditions of the Creative Commons Attribution (CC BY) license (https://creativecommons.org/licenses/by/4.0/).
Share and Cite
Kotha, R.R.; Tareq, F.S.; Luthria, D.L. Extractability of Curcuminoids Is Enhanced with Milk and Aqueous-Alcohol Mixtures. Molecules 2022, 27, 4883. https://doi.org/10.3390/molecules27154883
Kotha RR, Tareq FS, Luthria DL. Extractability of Curcuminoids Is Enhanced with Milk and Aqueous-Alcohol Mixtures. Molecules. 2022; 27(15):4883. https://doi.org/10.3390/molecules27154883
Chicago/Turabian StyleKotha, Raghavendhar R., Fakir Shahidullah Tareq, and Devanand L. Luthria. 2022. "Extractability of Curcuminoids Is Enhanced with Milk and Aqueous-Alcohol Mixtures" Molecules 27, no. 15: 4883. https://doi.org/10.3390/molecules27154883
APA StyleKotha, R. R., Tareq, F. S., & Luthria, D. L. (2022). Extractability of Curcuminoids Is Enhanced with Milk and Aqueous-Alcohol Mixtures. Molecules, 27(15), 4883. https://doi.org/10.3390/molecules27154883

