Photo-Induced Reactions between Glyoxal and Hydroxylamine in Cryogenic Matrices
Abstract
:1. Introduction
2. Results and Discussion
2.1. Formation of Hydroxyketene–Hydroxylamine Complexes
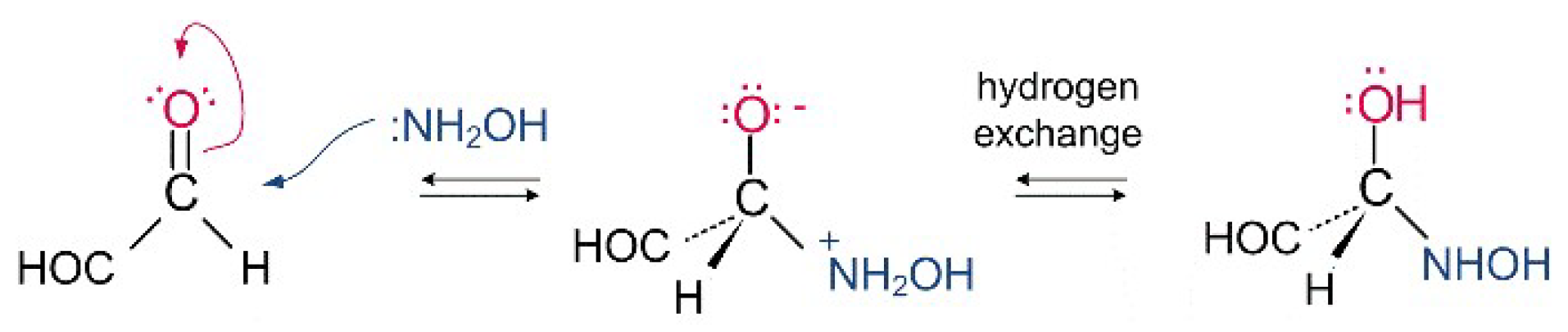
2.2. Formation of Hydroxy(hydroxyamino)acetaldehyde (Hemiaminal)
3. Experimental and Computational Methods
4. Conclusions
Supplementary Materials
Author Contributions
Funding
Institutional Review Board Statement
Informed Consent Statement
Data Availability Statement
Acknowledgments
Conflicts of Interest
Sample Availability
References
- Vrekoussis, M.; Wittrock, F.; Richter, A.; Burrows, J.P. Temporal and spatial variability of glyoxal as observed from space. Atmos. Chem. Phys. 2009, 9, 4485–4504. [Google Scholar] [CrossRef] [Green Version]
- Fu, T.M.; Jacob, D.J.; Wittrock, F.; Burrows, J.P.; Vrekoussis, M.; Henze, D.K. Global budgets of atmospheric glyoxal and methylglyoxal, and implications for formation of secondary organic aerosols. J. Geophys. Res. Atmos. 2008, 113, D15303. [Google Scholar] [CrossRef] [Green Version]
- Myriokefalitakis, S.; Vrekoussis, M.; Tsigaridis, K.; Wittrock, F.; Richter, A.; Brühl, C.; Volkamer, R.; Burrows, J.P.; Kanakidou, M. The influence of natural and anthropogenic secondary sources on the glyoxal global distribution. Atmos. Chem. Phys. 2008, 8, 4965–4981. [Google Scholar] [CrossRef] [Green Version]
- Osamura, Y.; Schaefer, H.F.; Dupuis, M.; Lester, W.A. A unimolecular reaction ABC → A + B + C involving three product molecules and a single transition state. Photodissociation of glyoxal: HCOHCO → H2 + CO + CO. J. Chem. Phys. 1981, 75, 5828–5836. [Google Scholar] [CrossRef]
- Burak, I.; Hepburn, J.W.; Sivakumar, N.; Hall, E.G.; Chawla, G.; Houston, P.L. State-to-state photodissociation dynamics of trans-glyoxal. J. Chem. Phys. 2004, 86, 1258–1268. [Google Scholar] [CrossRef]
- Zhu, L.; Kellis, D.; Ding, C.F. Photolysis of glyoxal at 193, 248, 308 and 351 nm. Chem. Phys. Lett. 1996, 257, 487–491. [Google Scholar] [CrossRef]
- Dobeck, L.M.; Lambert, H.M.; Kong, W.; Pisano, P.J.; Houston, P.L. H2 Production in the 440-nm Photodissociation of Glyoxal. J. Phys. Chem. A 1999, 103, 10312–10323. [Google Scholar] [CrossRef]
- Koch, D.M.; Khieu, N.H.; Peslherbe, G.H. Ab initio studies of the glyoxal unimolecular dissociation pathways. J. Phys. Chem. A 2001, 105, 3598–3604. [Google Scholar] [CrossRef]
- Kao, C.C.; Ho, M.L.; Chen, M.W.; Lee, S.J.; Chen, I.C. Internal state distributions of fragment HCO via S0 and T1 pathways of glyoxal after photolysis in the ultraviolet region. J. Chem. Phys. 2004, 120, 5087–5095. [Google Scholar] [CrossRef] [PubMed] [Green Version]
- Salter, R.J.; Blitz, M.A.; Heard, D.E.; Pilling, M.J.; Seakins, P.W. New chemical source of the HCO radical following photoexcitation of glyoxal, (HCO)2. J. Phys. Chem. A 2009, 113, 8278–8285. [Google Scholar] [CrossRef] [PubMed]
- Liggio, J.; Li, S.M.; McLaren, R. Heterogeneous reactions of glyoxal on particulate matter: Identification of acetals and sulfate esters. Environ. Sci. Technol. 2005, 39, 1532–1541. [Google Scholar] [CrossRef] [PubMed]
- Volkamer, R.; San Martini, F.; Molina, L.T.; Salcedo, D.; Jimenez, J.L.; Molina, M.J. A missing sink for gas-phase glyoxal in Mexico City: Formation of secondary organic aerosol. Geophys. Res. Lett. 2007, 34, 1–5. [Google Scholar] [CrossRef] [Green Version]
- Corrigan, A.L.; Hanley, S.W.; De Haan, D.O. Uptake of glyoxal by organic and inorganic aerosol. Environ. Sci. Technol. 2008, 42, 4428–4433. [Google Scholar] [CrossRef]
- Galloway, M.M.; Loza, C.L.; Chhabra, P.S.; Chan, A.W.H.; Yee, L.D.; Seinfeld, J.H.; Keutsch, F.N. Analysis of photochemical and dark glyoxal uptake: Implications for SOA formation. Geophys. Res. Lett. 2011, 38, 1–5. [Google Scholar] [CrossRef] [Green Version]
- Rossignol, S.; Aregahegn, K.Z.; Tinel, L.; Fine, L.; Nozière, B.; George, C. Glyoxal induced atmospheric photosensitized chemistry leading to organic aerosol growth. Environ. Sci. Technol. 2014, 48, 3218–3227. [Google Scholar] [CrossRef]
- Mucha, M.; Mielke, Z. Complexes of Atmospheric α-Dicarbonyls with Water: FTIR Matrix Isolation and Theoretical Study. J. Phys. Chem. A 2007, 111, 2398–2406. [Google Scholar] [CrossRef] [PubMed]
- Mucha, M.; Mielke, Z. Photochemistry of the glyoxal–hydrogen peroxide complexes in solid argon: Formation of 2-hydroxy-2-hydroperoxyethanal. Chem. Phys. Lett. 2009, 482, 87–92. [Google Scholar] [CrossRef]
- Mielke, Z.; Mucha, M.; Bil, A.; Golec, B.; Coussan, S.; Roubin, P. Photo-Induced Hydrogen Exchange Reaction between Methanol and Glyoxal: Formation of Hydroxyketene. ChemPhysChem 2008, 9, 1774–1780. [Google Scholar] [CrossRef]
- Mucha, M.; Mielke, Z. Structure and photochemistry of the methanol complexes with methylglyoxal and diacetyl: FTIR matrix isolation and theoretical study. Chem. Phys. 2009, 361, 27–34. [Google Scholar] [CrossRef]
- Bil, A.; Kochman, M.A. Photoinduced Double Proton Transfer in the Glyoxal-Methanol Complex Revisited: The Role of the Excited States. J. Chem. Theory Comput. 2020, 16, 3273–3286. [Google Scholar] [CrossRef] [PubMed]
- Bil, A.; Kochman, M.A.; Mierzwicki, K. Photoinduced double proton transfer in the glyoxal-methanol complex along T reaction path—A quantum chemical topological study. J. Mol. Struct. 2021, 1227, 129426. [Google Scholar] [CrossRef]
- Golec, B.; Sałdyka, M.; Mielke, Z. Complexes of formaldehyde and α-dicarbonyls with hydroxylamine: FTIR matrix isolation and theoretical study. Molecules 2021, 26, 1144. [Google Scholar] [CrossRef] [PubMed]
- Kölmel, D.K.; Kool, E.T. Oximes and Hydrazones in Bioconjugation: Mechanism and Catalysis. Chem. Rev. 2017, 117, 10358–10376. [Google Scholar] [CrossRef] [PubMed]
- Agten, S.M.; Dawson, P.E.; Hackeng, T.M. Oxime conjugation in protein chemistry: From carbonyl incorporation to nucleophilic catalysis. J. Pept. Sci. 2016, 22, 271–279. [Google Scholar] [CrossRef] [PubMed]
- Collins, J.; Xiao, Z.; Müllner, M.; Connal, L.A. The emergence of oxime click chemistry and its utility in polymer science. Polym. Chem. 2016, 7, 3812–3826. [Google Scholar] [CrossRef]
- Evans, D.A.; Borg, G.; Scheidt, K.A. Remarkably stable tetrahedral intermediates: Carbinols from nucleophilic additions to N-acylpyrroles. Angew. Chemie—Int. Ed. 2002, 41, 3188–3191. [Google Scholar] [CrossRef]
- Hooley, R.J.; Iwasawa, T.; Rebek, J. Detection of reactive tetrahedral intermediates in a deep cavitand with an introverted functionality. J. Am. Chem. Soc. 2007, 129, 15320–15339. [Google Scholar] [CrossRef] [PubMed]
- Kawamichi, T.; Haneda, T.; Kawano, M.; Fujita, M. X-ray observation of a transient hemiaminal trapped in a porous network. Nature 2009, 461, 633–635. [Google Scholar] [CrossRef]
- Dolotko, O.; Wiench, J.W.; Dennis, K.W.; Pecharsky, V.K.; Balema, V.P. Mechanically induced reactions in organic solids: Liquid eutectics or solid-state processes? New J. Chem. 2010, 34, 25–28. [Google Scholar] [CrossRef]
- Suni, V.; Kurup, M.R.P.; Nethaji, M. Unusual isolation of a hemiaminal product from 4-cyclohexyl-3-thiosemicarbazide and di-2-pyridyl ketone: Structural and spectral investigations. J. Mol. Struct. 2005, 749, 177–182. [Google Scholar] [CrossRef] [Green Version]
- Singh, S.K.; Zhu, C.; La Jeunesse, J.; Fortenberry, R.C.; Kaiser, R.I. Experimental identification of aminomethanol (NH2CH2OH)—the key intermediate in the Strecker Synthesis. Nat. Commun. 2022, 13, 375. [Google Scholar] [CrossRef] [PubMed]
- Gericke, K.H.; Lock, M.; Schmidt, F.; Comes, F.J. Photodissociation dynamics of NH2OH from the first absorption band. J. Chem. Phys. 1994, 101, 1988–1995. [Google Scholar] [CrossRef] [Green Version]
- Luckhaus, D.; Scott, J.L.; Crim, F.F. An experimental and theoretical study of the vibrationally mediated photodissociation of hydroxylamine. J. Chem. Phys. 1999, 110, 1533–1541. [Google Scholar] [CrossRef]
- Diem, M.; MacDonald, B.G.; Lee, E.K.C. Photolysis and laser-excited fluorescence and phosphorescence emission of trans-glyoxal in an argon matrix at 13 K. J. Phys. Chem. 1981, 85, 2227–2232. [Google Scholar] [CrossRef]
- Legay, F.; Legay-Sommaire, N. NO diffusion and dimer formation in a nitrogen matrix studied by FTIR spectroscopy. Chem. Phys. Lett. 1993, 211, 516–522. [Google Scholar] [CrossRef]
- Jacox, M.E.; Milligan, D.E. Matrix-isolation study of the reaction of H atoms with NO. The infrared spectrum of HNO. J. Mol. Spectrosc. 1973, 48, 536–559. [Google Scholar] [CrossRef]
- Hadži, D.; Bratoš, S. Vibrational spectroscopy of the hydrogen bond. In The Hydrogen Bond: Recent Developments in Theory and Experiments; Schuster, P., Zundel, G., Sandorfy, C., Eds.; North-Holland Publishing Company: Amsterdam, The Netherlands, 1975; pp. 565–612. [Google Scholar]
- Yeo, G.A.; Ford, T.A. The infrared spectrum of the hydroxylamine dimer. J. Mol. Struct. 1990, 217, 307–323. [Google Scholar] [CrossRef]
- Frisch, M.J.; Pople, J.A.; Binkley, J.S. Self-consistent molecular orbital methods 25. Supplementary functions for Gaussian basis sets. J. Chem. Phys. 1984, 80, 3265–3269. [Google Scholar] [CrossRef]
- Krishnan, R.; Binkley, J.S.; Seeger, R.; Pople, J.A. Self-consistent molecular orbital methods. XX. A basis set for correlated wave functions. J. Chem. Phys. 1980, 72, 650–654. [Google Scholar] [CrossRef]
- Kuchttsu, K.; Fukuyama, T.; Morino, Y. Average structures of butadiene, acrolein, and glyoxal determined by gas electron diffraction and spectroscopy. J. Mol. Struct. 1968, 1, 463–479. [Google Scholar] [CrossRef]
- Osamura, Y.; Schaefer, H.F. Internal rotation barrier and transition state for glyoxal. J. Chem. Phys. 1981, 74, 4576–4580. [Google Scholar] [CrossRef]
- Boys, S.F.; Bernardi, F. The calculation of small molecular interactions by the differences of separate total energies. Some procedures with reduced errors. Mol. Phys. 1970, 19, 553–566. [Google Scholar] [CrossRef]
- Frisch, M.J.; Trucks, G.W.; Schlegel, H.B.; Scuseria, G.E.; Robb, M.A.; Cheeseman, J.R.; Montgomery, J.A.; Vreven, T.; Kudin, K.N.; Burant, J.C.; et al. Gaussian 03, Revision C.02, Guassian Inc.: Pittsburgh, PA, USA, 2003.
- Trucks, G.W.; Frisch, M.J.; Schlegel, H.B.; Scuseria, G.E.; Robb, M.A.; Cheeseman, J.R.; Scalmani, G.; Barone, V.; Petersson, G.A.; Nakatsuji, H.; et al. Gaussian 16, Revision B.01, Gaussian Inc.: Wallingford, UK, 2016.
- Martin, J.L.M.; Van Alsenoy, C. GAR2PED; University of Antwerp: Antwerpen, Belgium, 1995. [Google Scholar]







| H(OH)CCO–NH2OH | Approximate Description | ||||
|---|---|---|---|---|---|
| Exp. | Calc. a | Exp. | Exp. | Calc. a | |
| 1a (Ar) | IHKH | 1b (Ar) | 1b (N2) | IVHKH | |
| 3608.0 | 3607.1 | 3667 (70) | ν(OH) HA, IVHKH | ||
| 3537.2 | 3533(365) | ν(OH) HA, IHKH | |||
| 3400.0 | 3394.5 | 3488 (548) | ν(OH) HK, IVHKH | ||
| 3260 (697) | ν(OH) HK, IHKH | ||||
| 2116.4 b | 2114 (431) | 2116.4 b | 2119.7 | 2115 (391) | νasCCO HK, IHKH |
| 1360.3 | 1358.5 | 1349 (34) | δNOH HA, IVHKH | ||
| 1339.6 | 1353 (47) | δCH + νsCCO HK, IHKH, IVHKH | |||
| 1153.7 | 1159 (128) 1154 (26) | 1158.6 | 1158.8 | 1167 (144) 1126 (43) | ωNH2 + δCH HA, HK, IHKH, IVHKH |
| 799.8 sh 792.2 | 752 (119) | 623 (102) | τ(OH) HK, IHKH | ||
| CHOCH(OH)NHOH | ||||
|---|---|---|---|---|
| Exp. a | Calc. b | |||
| 2 (Ar) | 2 (N2) | IHHA | IIHHA | IIIHHA |
| 3623.8 | 3676 (63) | 3655 (73) | 3677 (73) | |
| 3558.0 | 3656 (71) | 3578 (71) | 3656 (66) | |
| 1769.2, 1758.7, 1750.0, 1745.8, 1733.4 | 1754.3 | 1718 (85) | 1720 (87) | 1721 (92) |
| 1390.9 | 1393 (7) | 1416 (46) | 1385 (16) | |
| 1373.5 | 1358 (32) | 1394 (12) | 1363 (12) | |
| 1302.5 | 1306.3 | 1293 (29) | 1299 (37) | 1303 (19) |
| 1228.7, 1226.5, 1204.6 | 1203.7 | 1208 (50) | 1249 (29) | 1224 (90) |
| 1185.1, 1179.4, 1176.5 | 1169 (55) | 1162 (85) | 1153 (23) | |
| 1089.3, 1080.4, 1075.7, 1052.5 | 1081.7, 1060.0 | 1060 (72) | 1036 (29) | 1073 (68) |
| 1038.5, 1021.2, 1014.7 | 1013.6 | 1036 (10) | 998 (59) | 1042 (17) |
| 996.4, 990.2 | 984 (94) | 953 (14) | 990 (59) | |
| 920.8, 893.1, 887.3, 884.0 | 916 (34) | 871 (68) | 951 (3) | |
| 835.7, 827.5, 824.0 | 806 (36) | 806 (31) | 884 (66) | |
| H(OD)CCO–NHDOD/ H(OD)CCO–ND2OH | H(OD)CCO–NHDOD | Approximate Description | ||||
|---|---|---|---|---|---|---|
| Exp. | Calc. a | Calc. a | Exp. b | Exp. b | Calc. a | |
| 1a (Ar) | IHKH-d2 | IHKH-d4 | 1b (Ar) | 1b (N2) | IV HKH-d2 | |
| 3536.1 | 3533 (305) | ν(OH) HAd4, IHKH-d4 | ||||
| 3349.6 | 3356 (43) | ν(NH) HAd2, IV HKH-d2 | ||||
| 2614.2 | 2615 (184) | 2661.4 | 2664.5 c 2658.4 | 2710 (38) | ν(OD) HAd2, IHKH-d2, IVHKH-d2 | |
| 2432 (382) | 2472 (261) 2410 (148) | 2495.7 | 2579 (278) | ν(OD) HKd, I HKH-d2, IHKH-d4, IVHKH-d2 | ||
| 2113 c | 2114 (441) | 2116 (438) | 2113 c | 2119.6 2116.7 | 2118 (394) | νasCCO HK, IHKH-d2,d4, IV HKH-d2 |
| 1360.4 | 1360.3 | 1381 (30) | δCH + νsCCO HKd, IVHKH, IV HKH-d2 | |||
| 1161.2 1157.2 1153.6 | 1160.7 1155.6 | 1179 (32) | γNHD HAd2, IV HKH-d2 | |||
| 1136.8 | 1137.2 | 1169 (25) | δCH + νCO HKd, IVHKH-d2 | |||
| 1000.0 | 1029 (45) | 1028 (49) | 1017.6 | 1026.5 1021.4 | 1009 (53) | δ(COD) HKd, IHKH-d2, IV HKH-d2 |
| CHOCH(OD)NDOD | ||||
|---|---|---|---|---|
| Exp. a | Calc. b | |||
| 2 (Ar) | 2 (N2) | IHHA-d | IIHHA-d | IIIHHA-d |
| 2674.2 | 2713 (39) | 2702 (40) | 2715 (41) | |
| 2624.3 | 2702 (39) | 2642 (41) | 2702 (40) | |
| 1764.2, 1749.6, 1745.4, 1744.0 | 1761.9, 1745.0 | 1719 (84) | 1711 (88) | 1721 (90) |
| 1339.3 | 1346.6 | 1347 (3) | 1367 (12) | 1341 (18) |
| 1254.9, 1245.4, 1233.0 | 1255.9, 1251.8, 1246.0 | 1143 (67) | 1176 (40) | 1169 (20) |
| 1094.0 | 1136 (29) | 1101 (29) | 1143 (9) | |
| 986.2 | 1013.3, 1010.5 | 990 (8) | 974 (41) | 992 (2) |
| 788.5, 785.3, 782.9 | 800.3, 788.0, 783.4 | 750 (58) | 729 (35) | 745 (43) |
Publisher’s Note: MDPI stays neutral with regard to jurisdictional claims in published maps and institutional affiliations. |
© 2022 by the authors. Licensee MDPI, Basel, Switzerland. This article is an open access article distributed under the terms and conditions of the Creative Commons Attribution (CC BY) license (https://creativecommons.org/licenses/by/4.0/).
Share and Cite
Golec, B.; Sałdyka, M.; Mielke, Z. Photo-Induced Reactions between Glyoxal and Hydroxylamine in Cryogenic Matrices. Molecules 2022, 27, 4797. https://doi.org/10.3390/molecules27154797
Golec B, Sałdyka M, Mielke Z. Photo-Induced Reactions between Glyoxal and Hydroxylamine in Cryogenic Matrices. Molecules. 2022; 27(15):4797. https://doi.org/10.3390/molecules27154797
Chicago/Turabian StyleGolec, Barbara, Magdalena Sałdyka, and Zofia Mielke. 2022. "Photo-Induced Reactions between Glyoxal and Hydroxylamine in Cryogenic Matrices" Molecules 27, no. 15: 4797. https://doi.org/10.3390/molecules27154797
APA StyleGolec, B., Sałdyka, M., & Mielke, Z. (2022). Photo-Induced Reactions between Glyoxal and Hydroxylamine in Cryogenic Matrices. Molecules, 27(15), 4797. https://doi.org/10.3390/molecules27154797

