Metabolic Engineering of Shikimic Acid Biosynthesis Pathway for the Production of Shikimic Acid and Its Branched Products in Microorganisms: Advances and Prospects
Abstract
1. Introduction
2. The SA Pathway and Its Regulatory Mechanism in E. coli
3. SA Production by Metabolic Engineering
3.1. Engineering to Collect the Carbon Flux for SA Accumulation
3.2. Engineering to Expand the Metabolic Flux for Enhanced SA Production
3.3. Engineering for the Inhibition of SA Transport
3.4. Strain Improvement Using Synthetic Biology Technology
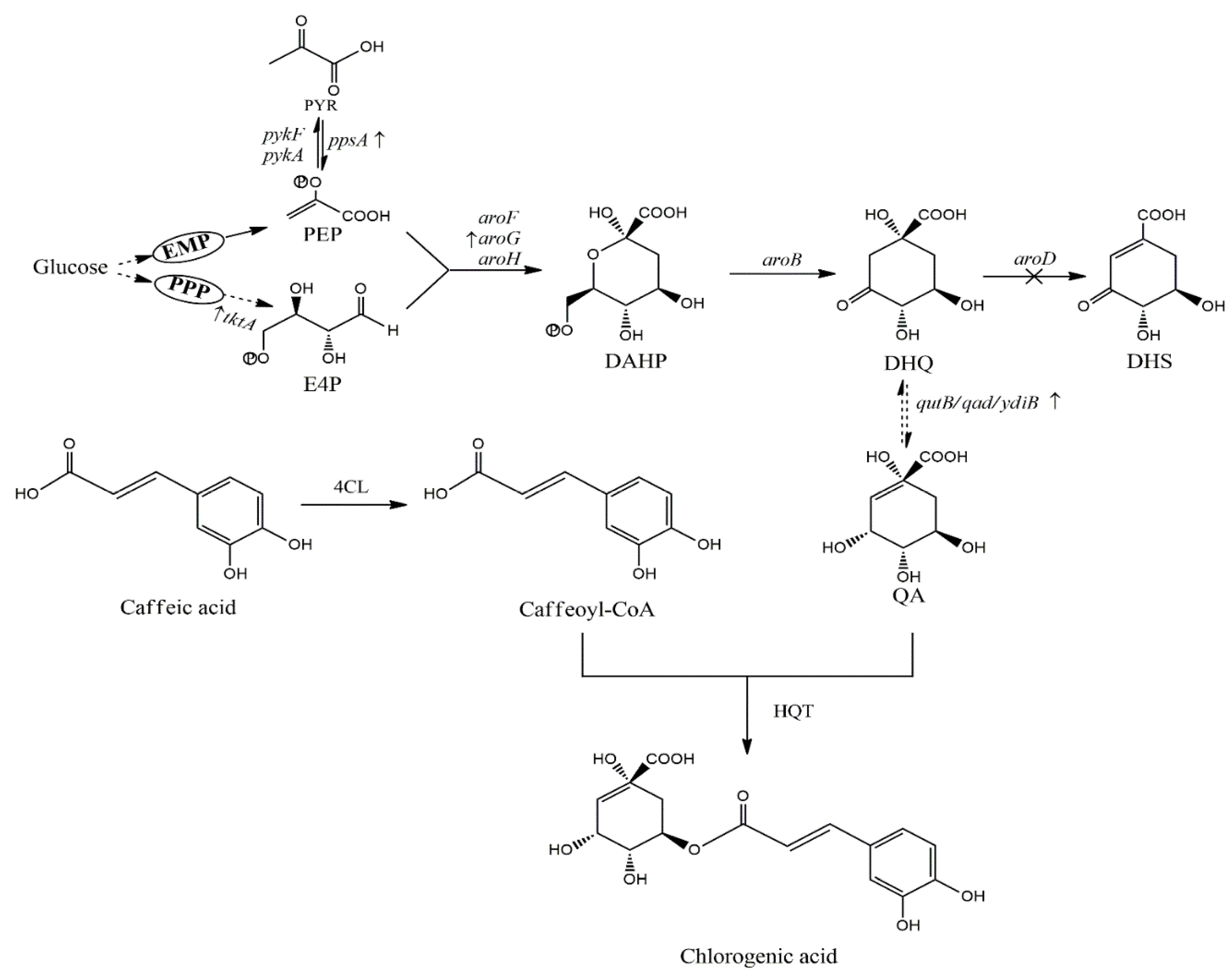
3.5. QA Production by Metabolic Engineering
3.6. Regulation of the CCM Pathway
3.7. Modification of the Shikimate Pathway
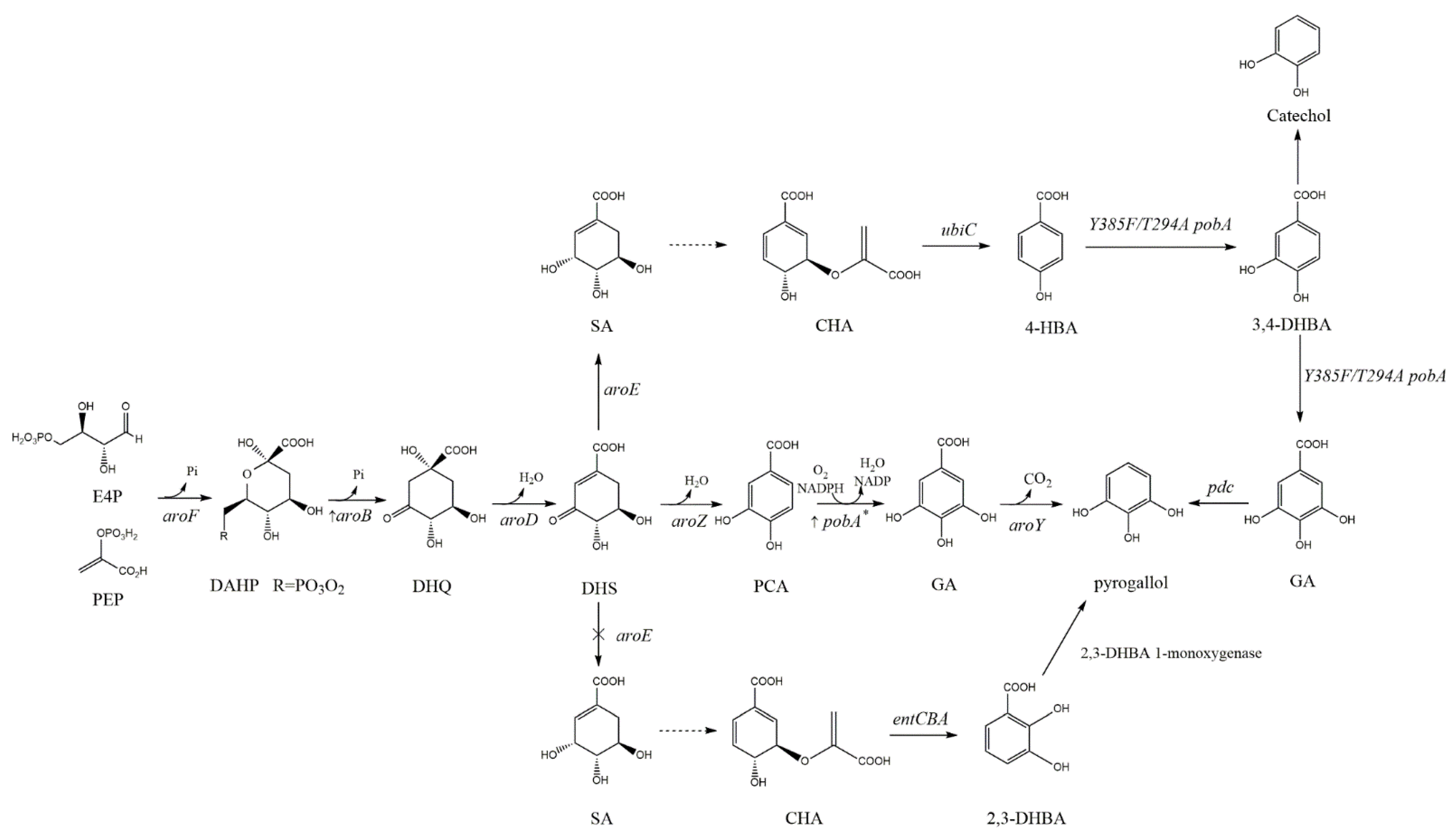
4. GA and Pyrogallol Production by Metabolic Engineering
4.1. Metabolic Engineering to Broaden the Shikimate Pathway for GA Production
4.2. Metabolic Engineering to Broaden the Shikimate Pathway for Pyrogallol Production
5. Catechol Production by Metabolic Engineering
5.1. The Metabolic Pathway of Catechol Production from DHS
5.2. The Metabolic Pathway of Catechol Production from 4-HBA
5.3. The Metabolic Pathway of Catechol Production from Anthranilate (ANT)
6. Conclusions and Future Directions
Author Contributions
Funding
Institutional Review Board Statement
Conflicts of Interest
References
- Derrer, B.; Macheroux, P.; Kappes, B. The shikimate pathway in apicomplexan parasites: Implications for drug development. Front. Biosci. Landmark 2013, 18, 944–969. [Google Scholar]
- Blanco, B.; Prado, V.; Lence, E.; Otero, J.M.; Garcia-Doval, C.; van Raaij, M.J.; Llamas-Saiz, A.L.; Lamb, H.; Hawkins, A.R.; Gonzalez-Bello, C. Mycobacterium tuberculosis Shikimate Kinase Inhibitors: Design and Simulation Studies of the Catalytic Turnover. J. Am. Chem. Soc. 2013, 135, 12366–12376. [Google Scholar] [CrossRef]
- Richards, T.A.; Dacks, J.B.; Campbell, S.A.; Blanchard, J.L.; Foster, P.G.; McLeod, R.; Roberts, C.W. Evolutionary origins of the eukaryotic shikimate pathway: Gene fusions, horizontal gene transfer, and endosymbiotic replacements. Eukaryot Cell 2006, 5, 1517–1531. [Google Scholar] [CrossRef]
- Catalina, D.; Quiroz, D.; Carmona, B.; Bolívar, F.; Escalante, A. Current perspectives on applications of shikimic and aminoshikimic acids in pharmaceutical chemistry. Res. Rep. Med. Chem. 2014, 4, 35–46. [Google Scholar]
- Martinez, J.A.; Bolivar, F.; Escalante, A. Shikimic Acid Production in Escherichia coli: From Classical Metabolic Engineering Strategies to Omics Applied to Improve Its Production. Front. Bioeng. Biotechnol. 2015, 3, 145. [Google Scholar] [CrossRef]
- Meza, E.; Becker, J.; Bolivar, F.; Gosset, G.; Wittmann, C. Consequences of phosphoenolpyruvate: Sugar phosphotranferase system and pyruvate kinase isozymes inactivation in central carbon metabolism flux distribution in Escherichia coli. Microb. Cell Fact. 2012, 11, 127. [Google Scholar] [CrossRef]
- Kramer, M.; Bongaerts, J.; Bovenberg, R.; Kremer, S.; Muller, U.; Orf, S.; Wubbolts, M.; Raeven, L. Metabolic engineering for microbial production of shikimic acid. Metab. Eng. 2003, 5, 277–283. [Google Scholar] [CrossRef]
- Abdelaziz, F.; El-Behedy, E.; Mohtady, H. New Targets for Antibacterial Agents. Biotechnol. Mol. Biol. Rev. 2008, 3, 46–57. [Google Scholar]
- Díaz-Quiroz, D.C.; Cardona-Félix, C.S.; Viveros-Ceballos, J.L.; Reyes-González, M.A.; Bolívar, F.; Ordoñez, M.; Escalante, A. Synthesis, biological activity and molecular modelling studies of shikimic acid derivatives as inhibitors of the shikimate dehydrogenase enzyme of Escherichia coli. J. Enzym. Inhib. Med. Chem. 2018, 33, 397–404. [Google Scholar] [CrossRef]
- Frost, J.W.; Draths, K.M.; Ward, L.T. Synthesis of Quinic Acid from Glucose. U.S. Patent 5,798,236, 25 August 1998. [Google Scholar]
- Ghosh, S.; Chisti, Y.; Banerjee, C.U. Production of shikimic acid. Biotechnol. Adv. 2012, 30, 1425–1431. [Google Scholar] [CrossRef]
- Zhao, J.; Khan, I.A.; Fronczek, F.R. Gallic acid. Acta Crystallogr. Sect. E 2011, 67, o316–o317. [Google Scholar] [CrossRef] [PubMed]
- Knop, D.R.; Draths, K.M.; Chandran, S.S.; Barker, J.L.; von Daeniken, R.; Weber, W.; Frost, J.W. Hydroaromatic equilibration during biosynthesis of shikimic acid. J. Am. Chem. Soc. 2001, 123, 10173–10182. [Google Scholar] [CrossRef]
- Jiang, M.; Zhang, H. Engineering the shikimate pathway for biosynthesis of molecules with pharmaceutical activities in E. coli. Curr. Opin. Biotechnol. 2016, 42, 1–6. [Google Scholar] [CrossRef] [PubMed]
- Rawat, G.; Tripathi, P.; Saxena, R.K. Expanding horizons of shikimic acid. Recent progresses in production and its endless frontiers in application and market trends. Appl. Microbiol. Biotechnol. 2013, 97, 4277–4287. [Google Scholar] [CrossRef]
- Abrecht, S.; Harrington, P.; Iding, H.; Karpf, M.; Trussardi, R.; Wirz, B.; Zutter, U. The Synthetic Development of the Anti-Influenza Neuraminidase Inhibitor Oseltamivir Phosphate (Tamiflu®): A Challenge for Synthesis & Process Research. CHIMIA Int. J. Chem. 2004, 58, 621–629. [Google Scholar]
- Saxena, R.K.; Tripathi, P.; Rawat, G. Pandemism of swine flu and its prospective drug therapy. Eur. J. Clin. Microbiol. Infect. Dis. 2012, 31, 3265–3279. [Google Scholar] [CrossRef]
- Bilal, M.; Wang, S.W.; Iqbal, H.M.N.; Zhao, Y.P.; Hu, H.B.; Wang, W.; Zhang, X.H. Metabolic engineering strategies for enhanced shikimate biosynthesis: Current scenario and future developments. Appl. Microbiol. Biotechnol. 2018, 102, 7759–7773. [Google Scholar] [CrossRef]
- Federspiel, M.; Fischer, R.; Hennig, M.; Mair, H.-J.; Oberhauser, T.; Rimmler, G.; Albiez, T.; Bruhin, J.; Estermann, H.; Gander, C.; et al. Industrial Synthesis of the Key Precursor in the Synthesis of the Antiinfluenza Drug Oseltamivir Phosphate (Ro 64-0796/002, GS-4104-02): Ethyl (3R,4S,5S)-4,5-Epoxy-3-(1-ethyl-propoxy)-cyclohex-1-ene-1-carboxylate. Org. Proc. Res. Dev. 1999, 3, 266–274. [Google Scholar] [CrossRef]
- Gu, P.; Fan, X.; Liang, Q.; Qi, Q.; Li, Q. Novel technologies combined with traditional metabolic engineering strategies facilitate the construction of shikimate-producing Escherichia coli. Microb. Cell Fact. 2017, 16, 167. [Google Scholar] [CrossRef] [PubMed]
- Balderas-Hernandez, V.E.; Trevino-Quintanilla, L.G.; Hernandez-Chavez, G.; Martinez, A.; Bolivar, F.; Gosset, G. Catechol biosynthesis from glucose in Escherichia coli anthranilate-overproducer strains by heterologous expression of anthranilate 1,2-dioxygenase from Pseudomonas aeruginosa PAO1. Microb. Cell Fact. 2014, 13, 136. [Google Scholar] [CrossRef]
- Draths, K.M.; Knop, D.R.; Frost, J.W. Shikimic acid and quinic acid: Replacing isolation from plant sources with recombinant microbial biocatalysis. J. Am. Chem. Soc. 1999, 121, 1603–1604. [Google Scholar] [CrossRef]
- Huaqing, H.; Siguang, L.; Qishou, X. Advances of metabolic engineering in biosynthesis of quinic acid. Zhong guo Sheng wu Gong Cheng za zhi = J. Chin. Biotechnol. 2005, 25, 57–61. [Google Scholar]
- Harper, E.T.; Harris, R.A. Glycolytic Pathway. eLS 2001. [Google Scholar] [CrossRef]
- Wamelink, M.M.C.; Struys, E.A.; Jakobs, C. The biochemistry, metabolism and inherited defects of the pentose phosphate pathway: A review. J. Inherit. Metab. Dis. 2008, 31, 703–717. [Google Scholar] [CrossRef]
- Dell, K.A.; Frost, J.W. Identification and removal of impediments to biocatalytic synthesis of aromatics from D-glucose: Rate-limiting enzymes in the common pathway of aromatic amino acid biosynthesis. J. Am. Chem. Soc. 1993, 115, 11581–11589. [Google Scholar] [CrossRef]
- Whipp, M.; Camakaris, H.; Pittard, A. Cloning and analysis of the shiA gene, which encodes the shikimate transport system of Escherichia coli K-12. Gene 1998, 209, 185–192. [Google Scholar] [CrossRef]
- Li, Z.; Wang, H.; Ding, D.; Liu, Y.; Zhang, D. Metabolic engineering of Escherichia coli for production of chemicals derived from the shikimate pathway. J. Ind. Microbiol. Biotechnol. 2020, 47, 525–535. [Google Scholar] [CrossRef]
- Mankil, J. Conversion of shikimic acid into 2-crotonyloxymethyl-(4R,5R,6S)-4,5,6-trihydroxycyclohex-2-ene analogous to a glyoxalase I inhibitor. J. Antibiot. 1987, 40, 720–722. [Google Scholar]
- Zhang, Y.; Liu, A.; Ye, Z.G. New approach to the total synthesis of (-)-zeylenone from shikimic acid. Chem. Pharm. Bull. 2006, 54, 1459–1461. [Google Scholar] [CrossRef]
- Kmietowicz, Z. Tamiflu reduces complications of flu, new review finds. BMJ 2015, 350, h537. [Google Scholar] [CrossRef]
- Choi, M.; Choi, S.-J.; Jang, S.; Choi, H.-I.; Kang, B.-M.; Hwang, S.T.; Kwon, O. Shikimic acid, a mannose bioisostere, promotes hair growth with the induction of anagen hair cycle. Sci. Rep. 2019, 9, 17008. [Google Scholar] [CrossRef] [PubMed]
- Ma, X.; Ning, S. Shikimic acid promotes estrogen receptor (ER)-positive breast cancer cells proliferation via activation of NF-κB signaling. Toxicol. Lett. 2019, 312, 65–71. [Google Scholar] [CrossRef] [PubMed]
- Davis, B.D.; Mingioli, E.S. Aromatic biosynthesis. VII. Accumulation of two derivatives of shikimic acid by bacterial mutants. J. Bacteriol. 1953, 66, 129–136. [Google Scholar] [CrossRef] [PubMed]
- Iomantas, Y.A.V.; Abalakina, E.G.; Polanuer, B.M.; Yampolskaya, T.A.; Bachina, T.A.; Kozlov, Y.I. Method for producing shikimic acid. US Patent 6,436,664, 2 October 2002. [Google Scholar]
- Johansson, L.; Lindskog, A.; Silfversparre, G.; Cimander, C.; Nielsen, K.F.; Lidén, G. Shikimic acid production by a modified strain of E. coli (W3110.shik1) under phosphate-limited and carbon-limited conditions. Biotechnol. Bioeng. 2005, 92, 541–552. [Google Scholar] [CrossRef]
- Chen, K.; Dou, J.; Tang, S.; Yang, Y.; Wang, H.; Fang, H.; Zhou, C. Deletion of the aroK gene is essential for high shikimic acid accumulation through the shikimate pathway in E. coli. Bioresour. Technol. 2012, 119, 141–147. [Google Scholar] [CrossRef]
- Ghosh, S.; Mohan, U.; Banerjee, U.C. Studies on the production of shikimic acid using the aroK knockout strain of Bacillus megaterium. World J. Microbiol. Biotechnol. 2016, 32, 127. [Google Scholar] [CrossRef]
- Lee, M.Y.; Hung, W.P.; Tsai, S.H. Improvement of shikimic acid production in Escherichia coli with growth phase-dependent regulation in the biosynthetic pathway from glycerol. World J. Microbiol. Biotechnol. 2017, 33, 25. [Google Scholar] [CrossRef]
- Michel, G.; Roszak, A.W.; Sauve, V.; Maclean, J.; Matte, A.; Coggins, J.R.; Cygler, M.; Lapthorn, A.J. Structures of shikimate dehydrogenase AroE and its Paralog YdiB. A common structural framework for different activities. J. Biol. Chem. 2003, 278, 19463–19472. [Google Scholar] [CrossRef]
- Lindner, H.; Nadeau, G.; Matte, A.; Michel, G.; Ménard, R.; Cygler, M. Site-directed Mutagenesis of the Active Site Region in the Quinate/Shikimate 5-Dehydrogenase YdiB of Escherichia coli. J. Biol. Chem. 2005, 280, 7162–7169. [Google Scholar] [CrossRef]
- García, S.; Flores, N.; De Anda, R.; Hernández, G.; Gosset, G.; Bolívar, F.; Escalante, A. The Role of the ydiB Gene, Which Encodes Quinate/Shikimate Dehydrogenase, in the Production of Quinic, Dehydroshikimic and Shikimic Acids in a PTS- Strain of Escherichia coli. Microb. Physiol. 2016, 27, 11–21. [Google Scholar] [CrossRef]
- Escalante, A.; Calderon, R.; Valdivia, A.; de Anda, R.; Hernandez, G.; Ramirez, O.T.; Gosset, G.; Bolivar, F. Metabolic engineering for the production of shikimic acid in an evolved Escherichia coli strain lacking the phosphoenolpyruvate: Carbohydrate phosphotransferase system. Microb. Cell Fact. 2010, 9, 21. [Google Scholar] [CrossRef] [PubMed]
- Bai, J.-R.; Wu, Y.-P.; Elena, G.; Zhong, K.; Gao, H. Insight into the effect of quinic acid on biofilm formed by Staphylococcus aureus. RSC Adv. 2019, 9, 3938–3945. [Google Scholar] [CrossRef]
- Gosset, G. Improvement of Escherichia coli production strains by modification of the phosphoenolpyruvate: Sugar phosphotransferase system. Microb. Cell Fact. 2005, 4, 14. [Google Scholar] [CrossRef] [PubMed]
- Chandran, S.S.; Yi, J.; Draths, K.M.; von Daeniken, R.; Weber, W.; Frost, J.W. Phosphoenolpyruvate availability and the biosynthesis of shikimic acid. Biotechnol. Prog. 2003, 19, 808–814. [Google Scholar] [CrossRef] [PubMed]
- Lu, J.; Tang, J.L.; Liu, Y.; Zhu, X.N.; Zhang, T.C.; Zhang, X.L. Combinatorial modulation of galP and glk gene expression for improved alternative glucose utilization. Appl. Microbiol. Biotechnol. 2012, 93, 2455–2462. [Google Scholar] [CrossRef] [PubMed]
- Cui, Y.Y.; Ling, C.; Zhang, Y.Y.; Huang, J.; Liu, J.Z. Production of shikimic acid from Escherichia coli through chemically inducible chromosomal evolution and cofactor metabolic engineering. Microb. Cell Fact. 2014, 13, 21. [Google Scholar] [CrossRef]
- Suzuki, K.; Babitzke, P.; Kushner, S.; Romeo, T. Identification of a novel regulatory protein (CsrD) that targets the global regulatory RNAs CsrB and CsrC for degradation by RNase E. Genes Dev. 2006, 20, 2605–2617. [Google Scholar] [CrossRef]
- Yakandawala, N.; Romeo, T.; Friesen, A.D.; Madhyastha, S. Metabolic engineering of Escherichia coli to enhance phenylalanine production. Appl. Microbiol. Biotechnol. 2008, 78, 283–291. [Google Scholar] [CrossRef]
- Kogure, T.; Kubota, T.; Suda, M.; Hiraga, K.; Inui, M. Metabolic engineering of Corynebacterium glutamicum for shikimate overproduction by growth-arrested cell reaction. Metab. Eng. 2016, 38, 204–216. [Google Scholar] [CrossRef]
- Cao, M.; Gao, M.; Suastegui, M.; Mei, Y.; Shao, Z. Building microbial factories for the production of aromatic amino acid pathway derivatives: From commodity chemicals to plant-sourced natural products. Metab. Eng. 2020, 58, 94–132. [Google Scholar] [CrossRef]
- Licona-Cassani, C.; Lara, A.R.; Cabrera-Valladares, N.; Escalante, A.; Hernandez-Chavez, G.; Martinez, A.; Bolivar, F.; Gosset, G. Inactivation of Pyruvate Kinase or the Phosphoenolpyruvate: Sugar Phosphotransferase System Increases Shikimic and Dehydroshikimic Acid Yields from Glucose in Bacillus subtilis. J. Mol. Microbiol. Biotechnol. 2014, 24, 37–45. [Google Scholar] [CrossRef] [PubMed]
- Zhang, B.; Liu, Z.Q.; Liu, C.; Zheng, Y.G. Application of CRISPRi in Corynebacterium glutamicum for shikimic acid production. Biotechnol. Lett. 2016, 38, 2153–2161. [Google Scholar] [CrossRef] [PubMed]
- Meijie, L.; Changqing, L.; Jianming, Y.; Rui, N.; Mo, X.; Fuli, L.; Haibo, Z. Common problems associated with the microbial productions of aromatic compounds and corresponding metabolic engineering strategies. Biotechnol. Adv. 2020, 41, 107548. [Google Scholar]
- Liu, D.F.; Ai, G.M.; Zheng, Q.X.; Liu, C.; Jiang, C.Y.; Liu, L.X.; Zhang, B.; Liu, Y.M.; Yang, C.; Liu, S.J. Metabolic flux responses to genetic modification for shikimic acid production by Bacillus subtilis strains. Microb. Cell Fact. 2014, 13, 40. [Google Scholar] [CrossRef] [PubMed]
- Kubota, T.; Tanaka, Y.; Takemoto, N.; Hiraga, K.; Yukawa, H.; Inui, M. Identification and expression analysis of a gene encoding a shikimate transporter of Corynebacterium glutamicum. Microbiology 2015, 161, 254–263. [Google Scholar] [CrossRef]
- Ma, W.Q.; Zhang, Z.; Liu, Y.L.; Wang, H.Z. Advances in mechanism of Escherichia coli carbon catabolite repression. Yi Chuan = Hered. 2010, 32, 571–576. [Google Scholar] [CrossRef]
- Biggs, B.W.; De Paepe, B.; Santos, C.N.; De Mey, M.; Kumaran Ajikumar, P. Multivariate modular metabolic engineering for pathway and strain optimization. Curr. Opin. Biotechnol. 2014, 29, 156–162. [Google Scholar] [CrossRef]
- Zhang, B.; Zhou, N.; Liu, Y.M.; Liu, C.; Liu, S.J. Ribosome binding site libraries and pathway modules for shikimic acid synthesis with Corynebacterium glutamicum. Microb. Cell Fact. 2015, 14, 71. [Google Scholar] [CrossRef]
- Chen, X.Z.; Li, M.M.; Zhou, L.; Shen, W.; Algasan, G.; Fan, Y.; Wang, Z.X. Metabolic engineering of Escherichia coli for improving shikimate synthesis from glucose. Bioresour. Technol. 2014, 166, 64–71. [Google Scholar] [CrossRef]
- Hou, J.; Gao, C.; Guo, L.; Qiang, D.; Tang, W.; Hu, G.; Chen, X.; Liu, L. Rewiring carbon flux in Escherichia coli using a bifunctional molecular switch. Metab. Eng. 2020, 61, 47–57. [Google Scholar] [CrossRef]
- Komera, I.; Gao, C.; Guo, L.; Hu, G.; Chen, X.; Liu, L. Bifunctional optogenetic switch for improving shikimic acid production in E. coli. Biotechnol. Biofuels Bioprod. 2022, 15, 13. [Google Scholar] [CrossRef] [PubMed]
- Cha, M.N.; Kim, H.J.; Kim, B.G.; Ahn, J.H. Synthesis of chlorogenic acid and p-coumaroyl shikimates from glucose using engineered Escherichia coli. J. Microbiol. Biotechnol. 2014, 24, 1109–1117. [Google Scholar] [CrossRef] [PubMed]
- Rao, A.V.; Chakraborty, T.; Sankaranayanan, D.; Purandare, A.V. Studies Directed Towards the Synthesis of Immunosuppressive Agent FK-506: Synthesis of the Entire Top-Half. Tetrahedron Lett. 1991, 32, 547–550. [Google Scholar] [CrossRef]
- Jang, S.A.; Park, D.W.; Kwon, J.E.; Song, H.S.; Park, B.; Jeon, H.; Sohn, E.H.; Koo, H.J.; Kang, S.C. Quinic acid inhibits vascular inflammation in TNF-alpha-stimulated vascular smooth muscle cells. Biomed. Pharmacother. 2017, 96, 563–571. [Google Scholar] [CrossRef] [PubMed]
- Lu, J.L.; Liao, J.C. Metabolic engineering and control analysis for production of aromatics: Role of transaldolase. Biotechnol. Bioeng. 1997, 53, 132–138. [Google Scholar] [CrossRef]
- Patnaik, R.; Spitzer, R.G.; Liao, J.C. Pathway engineering for production of aromatics in Escherichia coli: Confirmation of stoichiometric analysis by independent modulation of AroG, TktA, and Pps activities. Biotechnol. Bioeng. 1995, 46, 361–370. [Google Scholar] [CrossRef] [PubMed]
- Kim, T.H.; Namgoong, S.; Kwak, J.H.; Lee, S.Y.; Lee, H.S. Effects of tktA, aroFFBR, and aroL e xpression in the tryptophan-producing Escherichia coli. J. Microbiol. Biotechnol. 2000, 10, 789–796. [Google Scholar]
- Berry, A. Improving production of aromatic compounds in Escherichia coli by metabolic engineering. Trends Biotechnol. 1996, 14, 250–256. [Google Scholar] [CrossRef]
- Kim, B.G.; Jung, W.D.; Mok, H.; Ahn, J.H. Production of hydroxycinnamoyl-shikimates and chlorogenic acid in Escherichia coli: Production of hydroxycinnamic acid conjugates. Microb. Cell Fact. 2013, 12, 15. [Google Scholar] [CrossRef]
- Liao, C.L.; Lai, K.C.; Huang, A.C.; Yang, J.S.; Lin, J.J.; Wu, S.H.; Wood, W.G.; Lin, J.G.; Chung, J.G. Gallic acid inhibits migration and invasion in human osteosarcoma U-2 OS cells through suppressing the matrix metalloproteinase-2/-9, protein kinase B (PKB) and PKC signaling pathways. Food Chem. Toxicol. 2012, 50, 1734–1740. [Google Scholar] [CrossRef]
- Yoon, C.-H.; Chung, S.-J.; Lee, S.-W.; Park, Y.-B.; Lee, S.-K.; Park, M.-C. Gallic acid, a natural polyphenolic acid, induces apoptosis and inhibits proinflammatory gene expressions in rheumatoid arthritis fibroblast-like synoviocytes. Jt. Bone Spine 2012, 80, 274–279. [Google Scholar] [CrossRef] [PubMed]
- Lu, Z.; Nie, G.; Belton, P.S.; Tang, H.; Zhao, B. Structure-activity relationship analysis of antioxidant ability and neuroprotective effect of gallic acid derivatives. Neurochem. Int. 2006, 48, 263–274. [Google Scholar] [CrossRef] [PubMed]
- Bilal, M.; Yue, S.; Hu, H.; Wang, W.; Zhang, X. Systematically engineering Escherichia coli for enhanced shikimate biosynthesis coutilizing glycerol and glucose. Biofuels Bioprod. Biorefin. 2018, 12, 348–361. [Google Scholar] [CrossRef]
- Dai, J.; Mumper, R.J. Plant Phenolics: Extraction, Analysis and Their Antioxidant and Anticancer Properties. Molecules 2010, 15, 7313–7352. [Google Scholar] [CrossRef]
- Scapagnini, G.; Vasto, S.; Abraham, N.G.; Caruso, C.; Zella, D.; Galvano, F. Erratum to: Modulation of Nrf2/ARE Pathway by Food Polyphenols: A Nutritional Neuroprotective Strategy for Cognitive and Neurodegenerative Disorders. Mol. Neurobiol. 2011, 44, 202. [Google Scholar] [CrossRef][Green Version]
- Vita, J.A. Polyphenols and cardiovascular disease: Effects on endothelial and platelet function. Am. J. Clin. Nutr. 2005, 81, 292–297. [Google Scholar] [CrossRef]
- Li, X.C. Improved Pyrogallol Autoxidation Method: A Reliable and Cheap Superoxide-Scavenging Assay Suitable for All Antioxidants. J. Agric. Food Chem. 2012, 60, 6418–6424. [Google Scholar] [CrossRef]
- Marklund, S.; Marklund, G. Involvement of superoxide anion radical in autoxidation of pyragallol and a convenient assay for superoxide dismutase. Eur. J. Biochem. 1974, 47, 469–474. [Google Scholar] [CrossRef]
- Wang, J.; Shen, X.L.; Yuan, Q.P.; Yan, Y.J. Microbial synthesis of pyrogallol using genetically engineered Escherichia coli. Metab. Eng. 2018, 45, 134–141. [Google Scholar] [CrossRef]
- Nicolis, E.; Lampronti, I.; Dechecchi, M.C.; Borgatti, M.; Tamanini, A.; Bianchi, N.; Bezzerri, V.; Mancini, I.; Giri, M.G.; Rizzotti, P.; et al. Pyrogallol, an active compound from the medicinal plant Emblica officinalis, regulates expression of pro-inflammatory genes in bronchial epithelial cells. Int. Immunopharmacol. 2008, 8, 1672–1680. [Google Scholar] [CrossRef]
- Kambourakis, S.; Draths, K.M.; Frost, J.W. Synthesis of Gallic Acid and Pyrogallol from Glucose: Replacing Natural Product Isolation with Microbial Catalysis. J. Am. Chem. Soc. 2000, 122, 9042–9043. [Google Scholar] [CrossRef]
- Chen, Z.; Shen, X.; Wang, J.; Wang, J.; Yuan, Q.; Yan, Y. Rational engineering of p-hydroxybenzoate hydroxylase to enable efficient gallic acid synthesis via a novel artificial biosynthetic pathway. Biotechnol. Bioeng. 2017, 114, 2571–2580. [Google Scholar] [CrossRef] [PubMed]
- Huo, Y.X.; Ren, H.; Yu, H.; Zhao, L.; Yu, S.; Yan, Y.; Chen, Z. CipA-mediating enzyme self-assembly to enhance the biosynthesis of pyrogallol in Escherichia coli. Appl. Microbiol. Biotechnol. 2018, 102, 10005–10015. [Google Scholar] [CrossRef] [PubMed]
- Borman, S. New Biosynthetic Route to Catechol Discovered. Chem. Eng. News 1992, 70, 26. [Google Scholar] [CrossRef]
- Szmant, H.H. Organic Building Blocks of the Chemical Industry; John and Wiley and Sons: New York, NY, USA, 1989. [Google Scholar]
- Reisman, H.B. Economic Analysis of Fermentation Processes; CRC Revivals: Boca Raton, FL, USA, 1988; Volume 15, pp. 249–259. [Google Scholar]
- Gurujeyalakshmi, G.; Oriel, P. Isolation of phenol-degrading Bacillus stearothermophilus and partial characterization of the phenol hydroxylase. Appl. Environ. Microbiol. 1989, 55, 500–502. [Google Scholar] [CrossRef]
- Robinson, G.K.; Stephens, G.M.; Dalton, H.; Geary, P.J. The Production of Catechols from Benzene and Toluene by Pseudomonas Putida in Glucose Fed-Batch Culture. Biocatalysis 2009, 6, 81–100. [Google Scholar] [CrossRef]
- Draths, K.M.; Frost, J.W. Conversion of D-glucose into catechol: The not-so-common pathway of aromatic biosynthesis. J. Am. Chem. Soc. 1991, 113, 9361–9363. [Google Scholar] [CrossRef]
- Hernandez, J.R.; Martinez-Martinez, L.; Canton, R.; Coque, T.M.; Pascual, A.; Spanish Group for Nosocomial, I. Nationwide study of Escherichia coli and Klebsiella pneumoniae producing extended-spectrum beta-lactamases in Spain. Antimicrob. Agents Chemother. 2005, 49, 2122–2125. [Google Scholar] [CrossRef]
- Li, W.; Xie, D.; Frost, J.W. Benzene-free synthesis of catechol: Interfacing microbial and chemical catalysis. J. Am. Chem. Soc. 2005, 127, 2874–2882. [Google Scholar] [CrossRef]
- Niu, W.; Draths, K.M.; Frost, J.W. Benzene-free synthesis of adipic acid. Biotechnol. Prog. 2002, 18, 201–211. [Google Scholar] [CrossRef]
- Pugh, S.; Mckenna, R.; Osman, M.; Thompson, B.; Nielsen, D.R. Rational engineering of a novel pathway for producing the aromatic compounds p-hydroxybenzoate, protocatechuate, and catechol in Escherichia coli. Process Biochem. 2014, 49, 1843–1850. [Google Scholar] [CrossRef]
- Costaglioli, P.; Barthe, C.; Claverol, S.; Brozel, V.S.; Perrot, M.; Crouzet, M.; Bonneu, M.; Garbay, B.; Vilain, S. Evidence for the involvement of the anthranilate degradation pathway in Pseudomonas aeruginosa biofilm formation. Microbiologyopen 2012, 1, 326–339. [Google Scholar] [CrossRef] [PubMed]
- Sun, X.; Lin, Y.; Huang, Q.; Yuan, Q.; Yan, Y. A novel muconic acid biosynthesis approach by shunting tryptophan biosynthesis via anthranilate. Appl. Environ. Microbiol. 2013, 79, 4024–4030. [Google Scholar] [CrossRef] [PubMed]
- Liu, D.; Meng, J.; Wang, Z.; Chen, T.; Zhao, X. Progress and application on multivariate modular metabolic engineering in metabolic engineering. Huagong Jinzhan/Chem. Ind. Eng. Prog. 2016, 35, 3619–3626. [Google Scholar]
- Blazeck, J.; Garg, R.; Reed, B.; Alper, H.S. Controlling promoter strength and regulation in Saccharomyces cerevisiae using synthetic hybrid promoters. Biotechnol. Bioeng. 2012, 109, 2884–2895. [Google Scholar] [CrossRef]
- Juminaga, D.; Baidoo, E.E.; Redding-Johanson, A.M.; Batth, T.S.; Burd, H.; Mukhopadhyay, A.; Petzold, C.J.; Keasling, J.D. Modular engineering of L-tyrosine production in Escherichia coli. Appl. Environ. Microbiol. 2012, 78, 89–98. [Google Scholar] [CrossRef]
- Wu, J.; Liu, P.; Fan, Y.; Bao, H.; Chen, J. Multivariate modular metabolic engineering of Escherichia coli to produce resveratrol from L-tyrosine. J. Biotechnol. 2013, 167, 404–411. [Google Scholar] [CrossRef]
- Nicolaou, S.A.; Gaida, S.M.; Papoutsakis, E.T. A comparative view of metabolite and substrate stress and tolerance in microbial bioprocessing: From biofuels and chemicals, to biocatalysis and bioremediation. Metab. Eng. 2010, 12, 307–331. [Google Scholar] [CrossRef]
- Yin, X.; Liang, C.; Feng, Y.; Zhang, H.; Wang, Y.; Li, Y. Research progress on synthetic scaffold in metabolic engineering—A review. Chin. J. Biotechnol. 2019, 35, 363–374. [Google Scholar]
- Liu, X.L.; Lin, J.; Hu, H.F.; Zhou, B.; Zhu, B.Q. Enhanced production of shikimic acid using a multi-gene co-expression system in Escherichia coli. Chin. J. Nat. Med. 2016, 14, 286–293. [Google Scholar] [CrossRef]
- Liu, C.; Zhang, B.; Liu, Y.M.; Yang, K.; Liu, S.J. New Intracellular Shikimic Acid Biosensor for Monitoring Shikimate Synthesis in Corynebacterium glutamicum. ACS Synth. Biol. 2018, 7, 591–601. [Google Scholar] [CrossRef] [PubMed]
- Niu, F.X.; He, X.; Huang, Y.B.; Liu, J.Z. Biosensor-guided atmospheric and room-temperature plasma mutagenesis and shuffling for high-level production of shikimic acid from sucrose in Escherichia coli. J. Agric. Food Chem. 2020, 68, 11765–11773. [Google Scholar] [CrossRef] [PubMed]
- Choi, K.R.; Jang, W.D.; Yang, D.; Cho, J.S.; Park, D.; Lee, S.Y. Systems metabolic engineering strategies: Integrating systems and synthetic biology with metabolic engineering. Trends Biotechnol. 2019, 37, 817–837. [Google Scholar] [CrossRef] [PubMed]




| Strains-Production | Relevant Characteristics | Culture Method | Titer (g/L) | Yield (mol/mol) | Productivity (g/L/h) | Source or Reference |
|---|---|---|---|---|---|---|
| E. coli W3110.shik1-SA | ∆aroL, ↑aroGFBR, ↑aroFFBR, | Batch culture | ns | 0.059 | ns | [36] |
| B. megaterium MTCC428-SA | ∆aroK | Batch culture | 6 | ns | ns | [38] |
| E. coli DHPYAAS-T7-SA | ∆ptsHIcrr, ∆aroL, ∆ydiB, ↑aroE, ↑aroB, ↑glk, ↑tktA, ↑aroFfbr, ∆aroK | Shake flask | 1.85 | 0.426 | ns | [37] |
| C. Glutamicum-SA | ∆qsuD, ∆qsuB, ∆aroK, ∆ptsH, and ∆hdpA, ↑tkt, ↑tal, ↑aroG, ↑aroBDE, ↑IolT1, ↑glk1, ↑glk2, ↑ppsk), ↑gapA | Fed-Batch | 141 | 0.510 | 2.938 | [51] |
| B. subtilis DE1-SA | ∆aroA, ↑aroE130, ↑aroD | Shake flask | 1.1 | ns | ns | [35] |
| SK4/rpsM-SA | ∆aroL, ∆aroK, ↑aroB, ↑aroG*, ↑ppsA, ↑tktA, ColE1 ori, kmr, rpsM, aroK | Shake flask | 1.74 | ns | ns | [39] |
| SK5/pSK6-SA | ∆aroL, ∆aroK, ∆ydiB, ∆ppc,∆ldhA, ColE1 ori, aroB, tktA, aroG*, DHQ/SDH, rpsM, aroK, Sper | Shake flask | 5.33 | ns | ns | [39] |
| E. coli SP1.1/pKD12.112-SA | serA::aroB, aroL478::Tn10 aroK17::CmR, ↑aroFFBR, ↑PtacaroE | Fed-Batch | 38 | 0.12 | ns | [22] |
| E. coli SP1.1/pKD12.138-SA | serA::aroB, aroL478::Tn10, aroK17::CmR, ↑tktA | Fed-Batch | 52 | 0.18 | 0.87 | [13] |
| E. coli JB4/pJB5.291-SA | ∆aroD, ∆aroE, ↑aroFFBR, ↑tktA, ↑aroD·E | Fed-Batch | 34 | 0.15 | 0.52 | [13] |
| E. coli PB12.SA22 ydiB-SA | ∆ydiB, ∆aroL, ∆aroK, ↑pJLB aroGfbr, ↑tktA, ↑aroB, ↑aroE | Batch culture | 8.2 | 0.24 | ns | [42] |
| E. coli SP1.1/pKD12.138-SA | serA::aroB, aroL478::Tn10 aroK17::CmR, ↑tktA | Fed-Batch | 35 | 0.19 | 0.73 | [13] |
| E. coli SP1.1 PTS/pSC6.090B-SA | ∆aroL, ∆aroK, ↑aroFFbr, ↑aroE, ↑glf, ↑glk, ↑tktA | Fed-Batch | 87 | 0.36 | 5.2 | [46] |
| E. coli SA 110-SA | ↑aroGfbr, ↑tktA, ↑aroB, ↑aroE, ∆aroL, ∆aroK, ↓pps, ↓csrB | Shake flask | 1.34 | 0.21 | ns | [48] |
| E. coli SA 116-SA | ↑aroGfbr, ↑tktA, ↑aroB, ↑aroE, ↑pntAB, ↑nadK, ∆aroL, ∆aroK, ↓pps, ↓csrB | Shake flask | 3.12 | 0.33 | ns | [48] |
| E. coli PB12.SA22-SA | ↑aroGFBR, ↑tktA, ↑aroB, ↑aroE, ∆aroL, ∆aroK | Shake flask | 7 | 0.29 | ns | [43] |
| C. glutamicum RES167ΔaroK-SA | ∆aroK, ↑RiboJ, GFP, (aroGMU, aroBMU, aroDMU, aroEMU) with various RBS | Fed-Batch | 11.40 | ns | ns | [60] |
| C. glutamicum TD -SA | ↑tkt, ∆pyk | Shake flask | 7.76 | ns | ns | [54] |
| B. subtilis BSSA/Ωpyk::pSApyk-SA | ↑aroD, ↑aroA, ∆pyk | Shake flask | 3.46 | ns | ns | [56] |
| E coli B0013 SA5/pTH-aroGfbr-ppsA-tktA-SA | ∆aroL, ∆aroK, ∆ydiB | Shake flask | 14.6 | 0.29 | ns | [61] |
| E. coli HJS203 | HJS200, Ampr, Cmr, p15A-PrpsL-tetR-LAA-Ptet-aroGfbr-PP9-tktA-PP9-aroBopt-aroE, pPMB1-PrpsA P1-aroK-DAS+4 | Batch culture | 14.33 | 0.23 | ns | [62] |
| E. coli S8 | E. coli MG1655, ΔptsHIcrr::Zmglf, ΔaroL::tktA, ΔaroK, PJ23119-GB, ΔaroK::rpE, ΔyidB, carrying pJ01-TetR(166)-TEVp(118), NX3 | Fed-batch | 76 | 1.05 | [63] | |
| E. coli AB2848aroD/pKD136/pTW8090A-QA | ∆aroD, ↑qad (from Klebsiella pneumoniae), ↑tktA, ↑aroF, ↑aroB | Shake flask | 10.7 | ns | 0.45 | [10] |
| E. coli strain B-101-QA | ∆aroD, ↑NtHQT, ↑4CL, ↑ydiB | Shake flask | 0.45 | ns | 0.19 | [72] |
| E. coli AB2834/pKD136/pKD8.243A-GA | ↑aroE, ↑aroB, ↑aroZ(from K. pneumoniae), ↑aroY (from K. pneumoniae), ↑catA (from Acinetobacter calcoaceticus) | Shake flask | 3.75 | 0.33 | ns | [92] |
| E. coli KL7-GA | ∆aroE, ↑aroGfbr, ↑aroZ, ↑pobA*, ↑aroB | Fed-Batch | 20 | 0.12 | 0.42 | [84] |
| strain Y385F/T294A-GA | ↑ pobA* | Shake flask | 1.15 | ns | ns | [85] |
| E. coli JM12-pyrogallol | pCS-entCBA-APTA and pZE-nahGopt | Shake flask | 1.04 | ns | ns | [82] |
| RHY5-pyrogallol | aroL, ppsA, tktA, aroGfbr from E. coli, ubiC from E. coli, two operons, PLlacO1-cipA-Y385F/T294A pobA and PLlacO1-pdc and PLlacO1-PDC | Shake flask | 0.08 | ns | ns | [86] |
| W3110 trpD9923/pJLBaroGfbrtktA/pTrc-ant3-Catechol | ΔptsH, ptsI, ↑antABC, ↑aroGfbr, ↑tktA, ↑aroF, ↑aroB, | Fed-Batch | 4.47 | 0.16 | ns | [21] |
| E. coli WN1/pWL1.290A-Catechol | ΔaroE, ↑tktA, ↑aroB, ↑aroZ, ↑aroFfbr, ↑aroY, | Shake flask | 8.50 | 7.00 | ns | [94] |
| E. coli N74dpheA pUbic-PobA pECL | ΔpheA, ↑ubiC,↑pobA, ↑ECL | Batch culture | 0.63 | 0.06 | ns | [96] |
Publisher’s Note: MDPI stays neutral with regard to jurisdictional claims in published maps and institutional affiliations. |
© 2022 by the authors. Licensee MDPI, Basel, Switzerland. This article is an open access article distributed under the terms and conditions of the Creative Commons Attribution (CC BY) license (https://creativecommons.org/licenses/by/4.0/).
Share and Cite
Wu, S.; Chen, W.; Lu, S.; Zhang, H.; Yin, L. Metabolic Engineering of Shikimic Acid Biosynthesis Pathway for the Production of Shikimic Acid and Its Branched Products in Microorganisms: Advances and Prospects. Molecules 2022, 27, 4779. https://doi.org/10.3390/molecules27154779
Wu S, Chen W, Lu S, Zhang H, Yin L. Metabolic Engineering of Shikimic Acid Biosynthesis Pathway for the Production of Shikimic Acid and Its Branched Products in Microorganisms: Advances and Prospects. Molecules. 2022; 27(15):4779. https://doi.org/10.3390/molecules27154779
Chicago/Turabian StyleWu, Sijia, Wenjuan Chen, Sujuan Lu, Hailing Zhang, and Lianghong Yin. 2022. "Metabolic Engineering of Shikimic Acid Biosynthesis Pathway for the Production of Shikimic Acid and Its Branched Products in Microorganisms: Advances and Prospects" Molecules 27, no. 15: 4779. https://doi.org/10.3390/molecules27154779
APA StyleWu, S., Chen, W., Lu, S., Zhang, H., & Yin, L. (2022). Metabolic Engineering of Shikimic Acid Biosynthesis Pathway for the Production of Shikimic Acid and Its Branched Products in Microorganisms: Advances and Prospects. Molecules, 27(15), 4779. https://doi.org/10.3390/molecules27154779
