A High-Throughput Clinical Laboratory Methodology for the Therapeutic Monitoring of Ibrutinib and Dihydrodiol Ibrutinib
Abstract
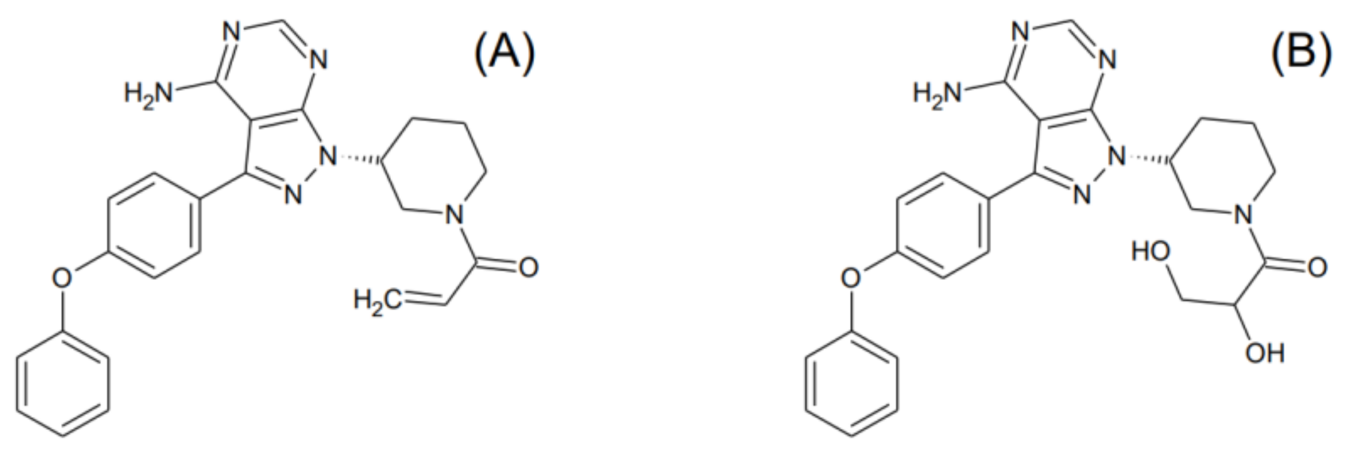
:1. Introduction
2. Materials and Methods
2.1. Chemicals and Solutions
2.2. Sample Preparation
2.3. Analysis
2.4. Quantitation
2.5. Method Validation
2.6. Proof-of-Concept Experiments
2.7. Data Evaluation
3. Results
3.1. Bioanalytical Method Validation
3.2. Stability of IBR and DIB in the Early Preanalytical Phase
3.3. Assay Error Equations of IBR, DIB, and the Active Moiety (IBR + DIB)
3.4. 24 h Therapeutic Monitoring of IBR and DIB in the Plasma of Chronic Lymphocyte Leukemia Patients Receiving IBR
4. Discussion
5. Conclusions
Supplementary Materials
Author Contributions
Funding
Institutional Review Board Statement
Informed Consent Statement
Data Availability Statement
Conflicts of Interest
Sample Availability
References
- IMBRUVICA–Full Prescribing Information. Revised 01/2015. Available online: https://www.accessdata.fda.gov/drugsatfda_docs/label/2015/205552s002lbl.pdf (accessed on 12 February 2022).
- Scheers, E.; Leclercq, L.; de Jong, J.; Bode, N.; Bockx, M.; Laenen, A.; Cuyckens, F.; Skee, D.; Murphy, J.; Sukbuntherng, J.; et al. Absorption, metabolism, and excretion of oral 14 C radiolabeled ibrutinib: An open-label, phase I, single-dose study in healthy men. Drug Metab. Dispos. 2015, 43, 289–297. [Google Scholar] [CrossRef] [PubMed] [Green Version]
- Timofeeva, N.; Gandhi, V. Ibrutinib combinations in CLL therapy: Scientific rationale and clinical results. Blood Cancer J. 2021, 11, 79. [Google Scholar] [CrossRef] [PubMed]
- Zimmermann, S.M.; Peer, C.J.; Figg, W.D. Ibrutinib’s off-target mechanism: Cause for dose optimization. Cancer Biol. Ther. 2021, 22, 529–531. [Google Scholar] [CrossRef] [PubMed]
- Paydas, S. Management of adverse effects/toxicity of ibrutinib. Crit. Rev. Oncol. Hematol. 2019, 136, 56–63. [Google Scholar] [CrossRef] [PubMed]
- Hou, J.-Z.; Ryan, K.; Du, S.; Fang, B.; Marks, S.; Page, R.; Peng, E.; Szymanski, K.; Winters, S.; Le, H. Real-world ibrutinib dose reductions, holds and discontinuations in chronic lymphocytic leukemia. Future Oncol. 2021, 17, 4959–4969. [Google Scholar] [CrossRef]
- Bose, P.; Gandhi, V.V.; Keating, M.J. Pharmacokinetic and pharmacodynamic evaluation of ibrutinib for the treatment of chronic lymphocytic leukemia: Rationale for lower doses. Expert Opin. Drug Metab. Toxicol. 2016, 12, 1381–1392. [Google Scholar] [CrossRef]
- Shakeel, F.; Iqbal, M. Bioavailability enhancement and pharmacokinetic profile of an anticancer drug ibrutinib by self-nanoemulsifying drug delivery system. J. Pharm. Pharmacol. 2016, 68, 772–780. [Google Scholar] [CrossRef]
- Tang, B.; Tang, P.; He, J.; Yang, H.; Li, H. Characterization of the binding of a novel antitumor drug ibrutinib with human serum albumin: Insights from spectroscopic, calorimetric and docking studies. J. Photochem. Photobiol. B 2018, 184, 18–26. [Google Scholar] [CrossRef]
- Gallais, F.; Ysebaert, L.; Despas, F.; De Barros, S.; Dupré, L.; Quillet-Mary, A.; Protin, C.; Thomas, F.; Obéric, L.; Alla, B.; et al. Population pharmacokinetics of ibrutinib and its dihydrodiol metabolite in patients with lymphoid malignancies. Clin. Pharmacokinet. 2020, 59, 1171–1183. [Google Scholar] [CrossRef]
- Chen, L.S.; Bose, P.; Cruz, N.D.; Jiang, Y.; Wu, Q.; Thompson, P.A.; Feng, S.; Kroll, M.H.; Qiao, W.; Huang, X.; et al. A pilot study of lower doses of ibrutinib in patients with chronic lymphocytic leukemia. Blood 2018, 132, 2249–2259. [Google Scholar] [CrossRef] [Green Version]
- Yasu, T.; Momo, K.; Kuroda, S.; Kawamata, T. Fluconazole increases ibrutinib concentration. Am. J. Ther. 2020, 27, e620–e621. [Google Scholar] [CrossRef] [PubMed]
- Eisenmann, E.D.; Fu, Q.; Muhowski, E.M.; Jin, Y.; Uddin, M.E.; Garrison, D.A.; Weber, R.H.; Woyach, J.A.; Byrd, J.C.; Sparreboom, A.; et al. Intentional modulation of ibrutinib pharmacokinetics through CYP3A inhibition. Cancer Res. Commun. 2021, 1, 79–89. [Google Scholar] [CrossRef] [PubMed]
- Gribben, J.G.; Bosch, F.; Cymbalista, F.; Geiser, C.H.; Ghia, P.; Hillmen, P.; Moreno, C.; Stilgenbauer, S. Optimising outcomes for patients with chronic lymphocytic leukaemia on ibrutinib therapy: European recommendations for clinical practice. Br. J. Haematol. 2018, 180, 666–679. [Google Scholar] [CrossRef] [PubMed] [Green Version]
- Goutelle, S.; Woillard, J.B.; Neely, M.; Yamada, W.; Bourguignon, L. Nonparametric methods in population pharmacokinetics. J. Clin. Pharmacol. 2022, 62, 142–157. [Google Scholar] [CrossRef] [PubMed]
- Neely, M.N.; van Guilder, M.G.; Yamada, W.M.; Schumitzky, A.; Jelliffe, R.W. Accurate detection of outliers and subpopulations with Pmetrics, a nonparametric and parametric pharmacometric modeling and simulation package for R. Ther. Drug Monit. 2012, 34, 467–476. [Google Scholar] [CrossRef] [Green Version]
- Jelliffe, R. Using the BestDose clinical software—Examples with aminoglycosides. In Individualized Drug Therapy for Patients: Basic Foundations, Relevant Software, and Clinical Applications, 1st ed.; Jelliffe, R.W., Neely, M., Eds.; Elsevier: Amsterdam, The Netherlands, 2017; pp. 59–75. [Google Scholar]
- Jelliffe, R.W.; Tahani, B. Pharmacoinformatics: Equations for serum drug assay error patterns; implications for therapeutic drug monitoring and dosage. In Proceedings of the Annual Symposium on Computer Application in Medical Care, Washington, DC, USA, 30 October–3 November 1993; pp. 517–521. [Google Scholar]
- Jelliffe, R.W.; Schumitzky, A.; Bayard, D.; Fu, X.; Neely, M. Describing assay precision—Reciprocal of variance is correct, not CV percent: Its use should significantly improve laboratory performance. Ther. Drug Monit. 2015, 37, 389–394. [Google Scholar] [CrossRef] [Green Version]
- Gu, H.; Liu, G.; Wang, J.; Aubry, A.-F.; Arnold, M.E. Selecting the correct weighting factors for linear and quadratic calibration curves with least-squares regression algorithm in bioanalytical LC-MS/MS assays and impacts of using incorrect weighting factors on curve stability, data quality, and assay performance. Anal. Chem. 2014, 86, 8959–8966. [Google Scholar]
- Karvaly, G.B.; Neely, M.N.; Kovács, K.; Vincze, I.; Vásárhelyi, B.; Jelliffe, R.W. Development of a methodology to make individual estimates of the precision of liquid chromatography-tandem mass spectrometry drug assay results for use in population pharmacokinetic modeling and the optimization of dosage regimens. PLoS ONE 2020, 15, e0229873. [Google Scholar] [CrossRef]
- Karvaly, G.B.; Vincze, I.; Karádi, I.; Vásárhelyi, B.; Zsáry, A. Sensitive, high-throughput liquid chromatography-tandem mass spectrometry analysis of atorvastatin and its pharmacologically active metabolites in serum for supporting precision pharmacotherapy. Molecules 2021, 26, 1324. [Google Scholar] [CrossRef]
- Karvaly, G.B.; Karádi, I.; Vincze, I.; Neely, M.N.; Trojnár, E.; Prohászka, Z.; Imreh, É.; Vásárhelyi, B.; Zsáry, A. A pharmacokinetics-based approach to the monitoring of patient adherence to atorvastatin therapy. Pharmacol. Res. Perspect. 2021, 9, e00856. [Google Scholar] [CrossRef] [PubMed]
- Huynh, H.H.; Pressiat, C.; Sauvageon, H.; Madelaine, I.; Maslanka, P.; Lebbé, V.; Thieblemont, C.; Goldwirt, L.; Mourah, S. Development and validation of a simultaneous quantification method of 14 tyrosine kinase inhibitors in human plasma using LC-MS/MS. Ther. Drug Monit. 2017, 39, 43–54. [Google Scholar] [CrossRef] [PubMed]
- Rood, J.J.M.; Dormans, P.J.A.; van Haren, M.J.; Schellens, J.H.M.; Beijnen, J.H.; Sparidans, R.W. Bioanalysis of ibrutinib, and its dihydrodiol- and glutathione cycle metabolites by liquid chromatography-tandem mass spectrometry. J. Chromatogr. B 2018, 1090, 14–21. [Google Scholar] [CrossRef] [PubMed]
- European Medicines Agency. Guideline on Bioanalytical Method Validation. EMEA/CHMP/192217/2009 Rev. 1 Corr. 2**. 21 July 2011. Available online: https://www.ema.europa.eu/en/documents/scientific-guideline/guideline-bioanalytical-method-validation_en.pdf (accessed on 7 March 2022).
- R Core Team. R: A Language and Environment for Statistical Computing; R Foundation for Statistical Computing: Vienna, Austria, 2022; Available online: https://www.R-project.org/ (accessed on 7 March 2022).
- Kim, H.; Han, S.; Cho, Y.-S.; Yoon, S.-K.; Bae, K.-S. Development of R packages: ‘NonCompart’ and ‘ncar’ for noncompartmental analysis (NCA). Transl. Clin. Pharmacol. 2018, 26, 10–15. [Google Scholar] [CrossRef] [Green Version]
- Clinical Data Interchange Standards Consortium (CDISC). Study Data Tabulation Model Implementation Guide: Human Clinical Trials Version 3.2. Available online: https://www.cdisc.org/standards/foundational/sdtmig/sdtmig-v3-2 (accessed on 31 March 2022).
- Retmana, I.A.; Beijnen, J.H.; Sparidans, R.W. Chromatographic bioanalytical assays for targeted covalent kinase inhibitors and their metabolites. J. Chromatogr. B 2021, 1162, 122466. [Google Scholar] [CrossRef]
- De Vries, R.; Smit, J.W.; Hellemans, P.; Jiao, J.; Murphy, J.; Skee, D.; Snoeys, J.; Sukbuntherng, J.; Vliegen, M.; de Zwart, L.; et al. Stable isotope-labelled intravenous microdose for absolute bioavailability and effect on grapefruit juice on ibrutinib in healthy adults. Br. J. Clin. Pharmacol. 2015, 81, 235–245. [Google Scholar] [CrossRef]
- Marastaci, E.; Sukbuntherng, J.; Loury, D.; de Jong, J.; de Trixhe, X.W.; Vermeulen, A.; De Nicolao, G.; O’Brien, S.; Byrd, J.C.; Advani, R.; et al. Population pharmacokinetic model of ibrutinib, a Bruton tyrosine kinase inibitor, in patients with B cell malignancies. Cancer Chemother. Pharmacol. 2015, 75, 111–121. [Google Scholar]
- Beauvais, D.; Goossens, J.-F.; Boyle, E.; Allal, B.; Lafont, T.; Chatelut, E.; Herbaux, C.; Morschhauser, F.; Genay, S.; Odou, P.; et al. Development and validation of an UHPLC-MS/MS method for simultaneous quantification of ibrutinib and its dihydrodiol-metabolite in human cerebrospinal fluid. J. Chromatogr. B 2018, 1093–1094, 158–166. [Google Scholar] [CrossRef]
- Jiang, Z.; Shi, L.; Zhang, Y.; Lin, G.; Wang, Y. Simultaneous measurement of acalabrutinib, ibrutinib, and their metabolites in beagle dog plasma by UPLC-MS/MS and its application to a pharmacokinetic study. J. Pharm. Biomed. Anal. 2020, 191, 113613. [Google Scholar] [CrossRef]
- Mukai, Y.; Yoshida, T.; Kondo, T.; Inotsume, N.; Toda, T. Novel high-performance liquid chromatography-tandem mass spectrometry method for simultaneous quantification of BCR-ABL and Bruton’s tyrosine kinase inhibitors and their three active metabolites in human plasma. J. Chromatogr. B 2020, 1137, 121928. [Google Scholar] [CrossRef]
- Veeraraghavan, S.; Viswanadha, S.; Thappali, S.; Govindarajulu, B.; Vakkalanka, S.; Rangasamy, M. Simultaneous quantification of lenalidomide, ibrutinib and its active metabolite PCI-45227 in rat plasma by LC-MS/MS: Application to a pharmacokinetic study. J. Pharm. Biomed. Anal. 2015, 107, 151–158. [Google Scholar] [CrossRef] [PubMed]
- Feliu, C.; Konecki, C.; Candau, T.; Vautier, D.; Haudecoeur, C.; Gozalo, C.; Cazaubon, Y.; Djerada, Z. Quantification of 15 antibiotics widely used in the critical care unit with a LC-MS/MS system: An easy method to perform a daily therapeutic drug monitoring. Pharmaceuticals 2021, 14, 1214. [Google Scholar] [CrossRef] [PubMed]
- Mzik, M.; Vánová, N.; Kriegelstein, M.; Hroch, M. Differential adsorption of an analyte and its D4, D5 and 13C6 labeled analogues combined with instrument-specific carry-over issues: The Achilles’ heel of ibrutinib TDM. J. Pharm. Biomed. Anal. 2021, 206, 114366. [Google Scholar] [CrossRef]
- Rood, J.J.M.; Jamalpoor, A.; van Hoppe, S.; van Haren, M.J.; Wasmann, R.E.; Janssen, M.J.; Schinkel, A.H.; Masereeuw, R.; Beijnen, J.H.; Sparidans, R.W. Extrahepatic metabolism of ibrutinib. Investig. New Drugs 2021, 39, 1–14. [Google Scholar] [CrossRef] [PubMed]
- Yeo, K.R.; Ventakrishnan, K. Physiologically-based pharmacokinetic models as enablers of precision dosing in drug development: Pivotal role of the human mass balance study. Clin. Pharm. Ther. 2021, 109, 51–54. [Google Scholar]




| Participant 1 | Participant 2 | Participant 3 | |
|---|---|---|---|
| Gender | female | male | female |
| Age | 79 | 79 | 60 |
| Diagnosis | CLL | CLL | CLL |
| Reported co-morbidities | melanoma malignum, hypertension | none | resected gall-bladder |
| Ibrutinib daily dose | 420 mg | 420 mg | 280 mg |
| eGFR (mL/min/1.73 m2) | 50.9 | 57.6 | >90 |
| glutaryl oxaloacetate transaminase (U/L) | 18 | 20 | 17 |
| glutaryl pyruvate transaminase (U/L) | 12 | 13 | 14 |
| gamma-glutamyl transferase (U/L) | 23 | 12 | 20 |
| white blood cell count (G/L) | 2.7 | 27.8 | 241 |
| neutrophile (%) | 59.2 | 0.0 | 0.0 |
| eosinophile (%) | 0.4 | 0.0 | 0.0 |
| basophile (%) | 1.5 | 0.0 | 0.0 |
| monocyte (%) | 9.6 | 0.0 | 0.0 |
| lymphocyte (%) | 29.3 | 0.0 | 0.0 |
| immature granulocyte (%) | 9.3 | 0.0 | 0.1 |
| Ibrutinib | Dihydrodiol Ibrutinib | ||||||
|---|---|---|---|---|---|---|---|
| Concentration (nmol/L) | Accuracy (%) | SD (nmol/L) | RSD | Concentration (nmol/L) | Accuracy (%) | SD (nmol/L) | RSD |
| 0.488 | 139 | 0.068 | 10.0% | 0.453 | 339 | 0.830 | 54.2% |
| 0.976 | 134 | 0.213 | 16.3% | 0.906 | 209 | 0.864 | 45.8% |
| 1.99 | 120 | 0.200 | 8.31% | 1.85 | 137 | 0.299 | 11.9% |
| 2.30 | 101 | 0.091 | 3.91% | 2.15 | 95.4 | 0.561 | 27.3% |
| 5.96 | 102 | 0.325 | 5.33% | 5.56 | 92.1 | 1.20 | 23.5% |
| 12.2 | 104 | 0.334 | 2.63% | 11.3 | 118 | 1.98 | 18.1% |
| 23.0 | 99.3 | 0.904 | 3.96% | 21.5 | 94.1 | 1.43 | 7.06% |
| 57.2 | 99.2 | 3.43 | 6.04% | 52.9 | 114 | 3.29 | 0.59% |
| 92.0 | 104 | 5.59 | 5.85% | 85.9 | 92.8 | 3.88 | 4.86% |
| 146 | 106 | 0.386 | 1.88% | 136 | 116 | 4.85 | 1.20% |
| 184 | 107 | 10.3 | 5.19% | 172 | 94.2 | 14.2 | 8.78% |
| 230 | 108 | 10.6 | 4.24% | 215 | 91.7 | 12.4 | 6.31% |
| 320 | 108 | 13.3 | 3.84% | 297 | 108 | 12.7 | 3.96% |
| 343 | 107 | 17.9 | 4.88% | 318 | 110 | 10.3 | 2.94% |
| 388 | 110 | 19.4 | 4.55% | 360 | 112 | 15.4 | 3.82% |
| 411 | 106 | 19.7 | 4.52% | 381 | 110 | 19.1 | 4.53% |
| 434 | 107 | 20.3 | 4.39% | 403 | 112 | 18.4 | 4.06% |
| 481 | 102 | 23.6 | 4.80% | 447 | 115 | 24.4 | 4.76% |
| 731 | 99.4 | 32.3 | 4.45% | 649 | 105 | 17.1 | 2.40% |
| 1187 | 106 | 58.2 | 4.62% | 1100 | 107 | 38.4 | 3.25% |
| Matrix Identifier | Ibrutinib | Dihydrodiol Ibrutinib | ||
|---|---|---|---|---|
| Low Level: 2.0 ng/mL (4.54 nmol/L) | High Level: 80 ng/mL (182 nmol/L) | Low Level: 2.0 ng/mL (4.21 nmol/L) | High Level: 80 ng/mL (169 nmol/L) | |
| A | 0.894 | 1.002 | 1.226 | 0.942 |
| B | 1.069 | 0.975 | 0.920 | 0.993 |
| C | 0.906 | 1.073 | 1.039 | 1.044 |
| D | 0.815 | 1.014 | 1.278 | 1.009 |
| E | 0.849 | 1.131 | 1.267 | 1.104 |
| F | 1.004 | 0.958 | 1.173 | 0.952 |
| Mean ± SD | 0.923 ± 0.096 | 1.03 ± 0.065 | 1.15 ± 0.143 | 1.01 ± 6.0 |
| RSD (%) | 10.4 | 6.4 | 12.4 | 6.4 |
| Algorithm | NSSR | Slope | Intercept | ||||||
|---|---|---|---|---|---|---|---|---|---|
| IBR | DIB | IBR + DIB | IBR | DIB | IBR + DIB | IBR | DIB | IBR + DIB | |
| Theil | 1.876 | 3.567 | 3.386 | 0.0479 | 0.0418 | 0.0387 | 0.06635 | 0.5308 | 0.4115 |
| Siegel | 2.352 | 2.516 | 4.682 | 0.0472 | 0.0438 | 0.0385 | 0.05559 | 0.6814 | 0.3526 |
| OLS | 106.9 | 4.428 | 1.986 | 0.0480 | 0.0342 | 0.0373 | −0.1285 | 1.970 | 0.6084 |
| 2nd LS | 1.667 | 2.615 | 1.934 | 0.0457 * | 0.0447 * | 0.0359 * | 0.08408 | 1.071 | 0.8606 |
| Parameter | Ibrutinib | Dihydrodiol Ibrutinib | Ibrutinib + Dihydrodiol Ibrutinib | ||||||
|---|---|---|---|---|---|---|---|---|---|
| Patient 1 | Patient 2 | Patient 3 | Patient 1 | Patient 2 | Patient 3 | Patient 1 | Patient 2 | Patient 3 | |
| AUC0–24 (nmol × L/h) | 1786 | 1740 | 613 | 2347 | 2528 | 1800 | 4134 | 4268 | 2414 |
| AUMC0–24 (nmol × L) | 7488 | 7434 | 2051 | 16,593 | 11,626 | 8172 | 24,082 | 19,071 | 10,230 |
| cmax (nmol/L) | 265.6 | 374.0 | 163.2 | 184.7 | 253.7 | 216.6 | 450.3 | 627.7 | 358.3 |
| Dose-normalized cmax [nmol/(L × mmol)] | 278.7 | 392.4 | 256.6 | Cannot be calculated | 472.5 | 658.6 | 563.3 | ||
| tmax (h) | 2.0 | 1.0 | 1.0 | 2.0 | 1.0 | 2.0 | 2.0 | 1.0 | 1.0 |
| CL/F (L/h) | 515 | 523 | 1008 | Cannot be calculated | Cannot be calculated | ||||
| MRT0–24 (h) | 4.19 | 4.28 | 3.34 | 7.07 | 4.60 | 4.54 | 5.82 | 4.47 | 4.24 |
| ke (1/h) | 0.126 | 0.113 | 0.121 | 0.069 | 0.130 | 0.122 | 0.085 | 0.123 | 0.122 |
| t1/2 (h) | 5.49 | 6.12 | 5.74 | 10.1 | 5.35 | 5.68 | 8.13 | 5.64 | 5.70 |
| V/F (L) | 4080 | 4620 | 8346 | Cannot be calculated | Cannot be calculated | ||||
Publisher’s Note: MDPI stays neutral with regard to jurisdictional claims in published maps and institutional affiliations. |
© 2022 by the authors. Licensee MDPI, Basel, Switzerland. This article is an open access article distributed under the terms and conditions of the Creative Commons Attribution (CC BY) license (https://creativecommons.org/licenses/by/4.0/).
Share and Cite
Karvaly, G.B.; Vincze, I.; Balogh, A.; Köllő, Z.; Bödör, C.; Vásárhelyi, B. A High-Throughput Clinical Laboratory Methodology for the Therapeutic Monitoring of Ibrutinib and Dihydrodiol Ibrutinib. Molecules 2022, 27, 4766. https://doi.org/10.3390/molecules27154766
Karvaly GB, Vincze I, Balogh A, Köllő Z, Bödör C, Vásárhelyi B. A High-Throughput Clinical Laboratory Methodology for the Therapeutic Monitoring of Ibrutinib and Dihydrodiol Ibrutinib. Molecules. 2022; 27(15):4766. https://doi.org/10.3390/molecules27154766
Chicago/Turabian StyleKarvaly, Gellért Balázs, István Vincze, Alexandra Balogh, Zoltán Köllő, Csaba Bödör, and Barna Vásárhelyi. 2022. "A High-Throughput Clinical Laboratory Methodology for the Therapeutic Monitoring of Ibrutinib and Dihydrodiol Ibrutinib" Molecules 27, no. 15: 4766. https://doi.org/10.3390/molecules27154766
APA StyleKarvaly, G. B., Vincze, I., Balogh, A., Köllő, Z., Bödör, C., & Vásárhelyi, B. (2022). A High-Throughput Clinical Laboratory Methodology for the Therapeutic Monitoring of Ibrutinib and Dihydrodiol Ibrutinib. Molecules, 27(15), 4766. https://doi.org/10.3390/molecules27154766

