Development of a Quantitative Method for Detection of Multiclass Veterinary Drugs in Feed Using Modified QuPPe Extraction and LC–MS/MS
Abstract
:1. Introduction
2. Results and Discussion
2.1. Optimization of Sample Preparation
2.1.1. Moisture Content
2.1.2. Extraction Conditions
2.2. Optimization of LC–MS/MS Conditions
2.3. Method Validation
2.3.1. Specificity, LOD, and LOQ
2.3.2. Linearity
2.3.3. Matrix Effect
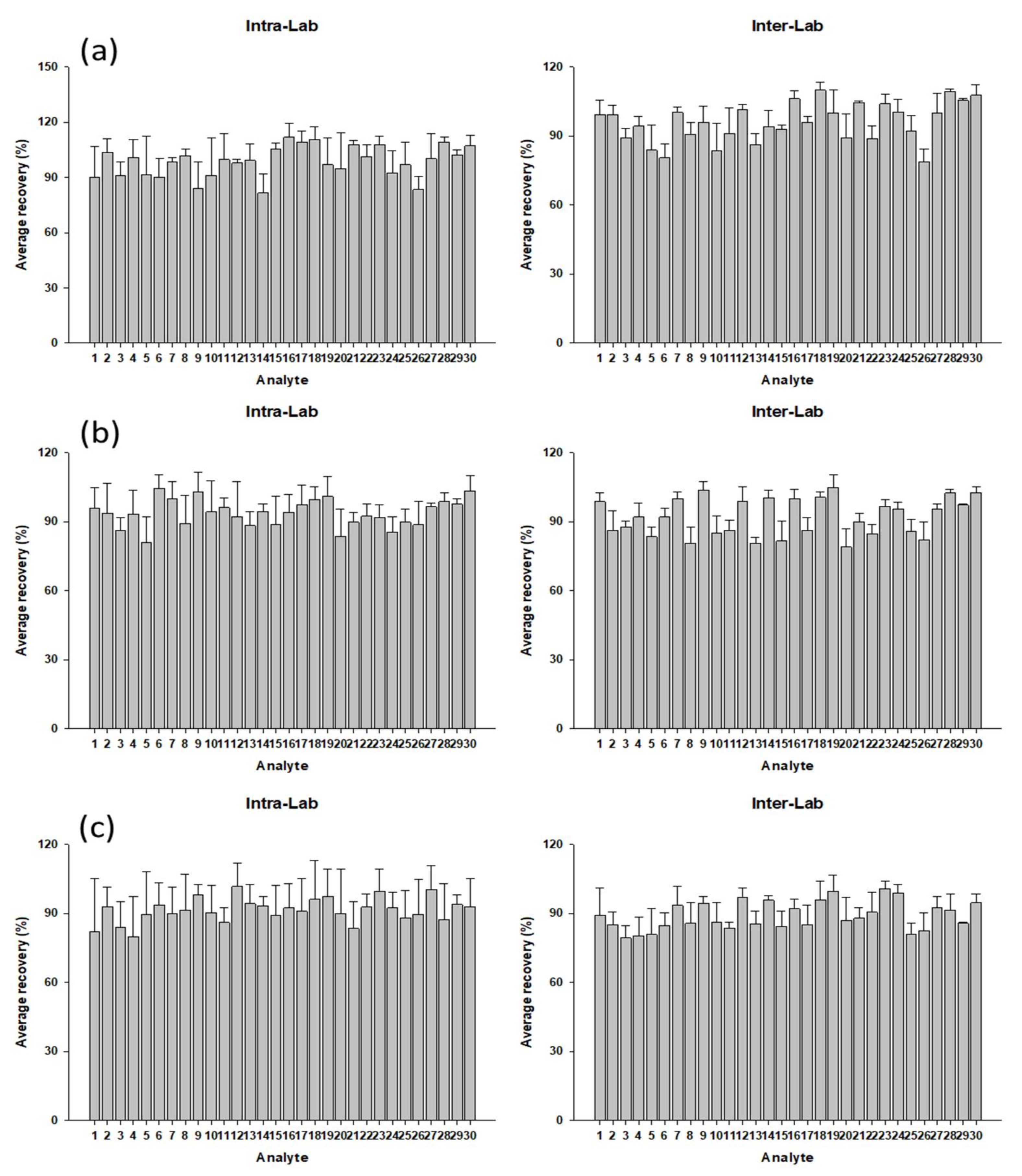
2.3.4. Accuracy and Precision
2.4. Analysis of Real Feed Samples
3. Materials and Methods
3.1. Chemical and Reagents
3.2. Optimization of Sample Preparation
3.2.1. Moisture Content
3.2.2. Extraction Solvent Conditions
3.3. Sample Preparation Using the Optimized QuPPe Method
3.4. LC–MS/MS Condition
3.5. Method Validation
3.6. Real Feed Sample Analysis
3.7. Data Analysis
4. Conclusions
Supplementary Materials
Author Contributions
Funding
Institutional Review Board Statement
Informed Consent Statement
Data Availability Statement
Conflicts of Interest
Sample Availability
References
- Lopes, R.P.; de Freitas Passos, É.E.; de Alkimim Filho, J.F.; Vargas, E.A.; Augusti, D.V.; Augusti, R. Development and validation of a method for the determination of sulfonamides in animal feed by modified QuEChERS and LC–MS/MS analysis. Food Control 2012, 28, 192–198. [Google Scholar] [CrossRef]
- Xu, X.; Xu, X.; Han, M.; Qiu, S.; Hou, X. Development of a modified QuEChERS method based on magnetic multiwalled carbon nanotubes for the simultaneous determination of veterinary drugs, pesticides and mycotoxins in eggs by UPLC-MS/MS. Food Chem. 2019, 276, 419–426. [Google Scholar] [CrossRef] [PubMed]
- Mol, H.G.; Plaza-Bolanos, P.; Zomer, P.; de Rijk, T.C.; Stolker, A.A.; Mulder, P.P. Toward a generic extraction method for simultaneous determination of pesticides, mycotoxins, plant toxins, and veterinary drugs in feed and food matrixes. Anal. Chem. 2008, 80, 9450–9459. [Google Scholar] [CrossRef] [PubMed]
- Valese, A.C.; Molognoni, L.; de Souza, N.C.; de Sa Ploencio, L.A.; Costa, A.C.O.; Barreto, F.; Daguer, H. Development, validation and different approaches for the measurement uncertainty of a multi-class veterinary drugs residues LC-MS method for feeds. J. Chromatogr. B Anal. Technol. Biomed. Life Sci. 2017, 1053, 48–59. [Google Scholar] [CrossRef] [PubMed]
- Turnidge, J. Antibiotic use in animals--prejudices, perceptions and realities. J. Antimicrob. Chemother. 2004, 53, 26–27. [Google Scholar] [CrossRef] [PubMed]
- Zhang, M.; Li, E.; Su, Y.; Zhang, Y.; Xie, J.; He, L. Quick Multi-Class Determination of Residues of Antimicrobial Veterinary Drugs in Animal Muscle by LC-MS/MS. Molecules 2018, 23, 1736. [Google Scholar] [CrossRef] [Green Version]
- Kanda, M.; Nakajima, T.; Hayashi, H.; Hashimoto, T.; Kanai, S.; Nagano, C.; Matsushima, Y.; Tateishi, Y.; Yoshikawa, S.; Tsuruoka, Y.; et al. Multi-residue Determination of Polar Veterinary Drugs in Livestock and Fishery Products by Liquid Chromatography/Tandem Mass Spectrometry. J. AOAC Int. 2015, 98, 230–247. [Google Scholar] [CrossRef] [Green Version]
- The European Medicines Agency. Commission Regulation (EU) No. 37/2010 of 22 December 2009 on Pharmacologically Active Substances and Their Classification Regarding Maximum Residue Limits in Foodstuffs of Animal Origin; The European Medicines Agency: Amsterdam, The Netherlands, 2010. [Google Scholar]
- Kumar, A.; Bhattacharyya, A.; Shinde, R.; Dhanshetty, M.; Elliott, C.T.; Banerjee, K. Development and validation of a multiresidue method for pesticides and selected veterinary drugs in animal feed using liquid- and gas chromatography with tandem mass spectrometry. J. Chromatogr. A 2020, 1627, 461416–461423. [Google Scholar] [CrossRef]
- Lara, F.J.; Chan, D.; Dickinson, M.; Lloyd, A.S.; Adams, S.J. Evaluation of direct analysis in real time for the determination of highly polar pesticides in lettuce and celery using modified Quick Polar Pesticides Extraction method. J. Chromatogr. A 2017, 1496, 37–44. [Google Scholar] [CrossRef]
- Dias, J.; Lopez, S.H.; Mol, H.; de Kok, A. Influence of different hydrophilic interaction liquid chromatography stationary phases on method performance for the determination of highly polar anionic pesticides in complex feed matrices. J. Sep. Sci. 2021, 44, 2165–2176. [Google Scholar] [CrossRef]
- Lopez, S.H.; Dias, J.; Mol, H.; de Kok, A. Selective multiresidue determination of highly polar anionic pesticides in plant-based milk, wine and beer using hydrophilic interaction liquid chromatography combined with tandem mass spectrometry. J. Chromatogr. A 2020, 1625, 461226–461233. [Google Scholar] [CrossRef] [PubMed]
- Peru, K.M.; Kuchta, S.L.; Headley, J.V.; Cessna, A.J. Development of a hydrophilic interaction chromatography-mass spectrometry assay for spectinomycin and lincomycin in liquid hog manure supernatant and run-off from cropland. J. Chromatogr. A 2006, 1107, 152–158. [Google Scholar] [CrossRef]
- Danezis, G.P.; Anagnostopoulos, C.J.; Liapis, K.; Koupparis, M.A. Multi-residue analysis of pesticides, plant hormones, veterinary drugs and mycotoxins using HILIC chromatography—MS/MS in various food matrices. Anal. Chim. Acta 2016, 942, 121–138. [Google Scholar] [CrossRef] [PubMed]
- Chiaochan, C.; Koesukwiwat, U.; Yudthavorasit, S.; Leepipatpiboon, N. Efficient hydrophilic interaction liquid chromatography-tandem mass spectrometry for the multiclass analysis of veterinary drugs in chicken muscle. Anal. Chim. Acta 2010, 682, 117–129. [Google Scholar] [CrossRef] [PubMed]
- Anastassiades, M.; Lehotay, S.J.; Stajnbaher, D.; Schenck, F.J. Fast and easy multiresidue method employing acetonitrile extraction/partitioning and “dispersive solid-phase extraction” for the determination of pesticide residues in produce. J. AOAC Int. 2003, 86, 412–431. [Google Scholar] [CrossRef] [PubMed] [Green Version]
- Perestrelo, R.; Silva, P.; Porto-Figueira, P.; Pereira, J.A.M.; Silva, C.; Medina, S.; Camara, J.S. QuEChERS—Fundamentals, relevant improvements, applications and future trends. Anal. Chim. Acta 2019, 1070, 1–28. [Google Scholar] [CrossRef] [PubMed]
- González-Curbelo, M.Á.; Socas-Rodríguez, B.; Herrera-Herrera, A.V.; González-Sálamo, J.; Hernández-Borges, J.; Rodríguez-Delgado, M.Á. Evolution and applications of the QuEChERS method. TrAC Trends Anal. Chem. 2015, 71, 169–185. [Google Scholar] [CrossRef]
- Anastassiades, M.; Kolberg, D.I.; Eichhorn, E.; Wachtler, A.-K.; Benkenstein, A.; Zechmann, S.; Mack, D.; Wildgrube, C.; Barth, A.; Sigalov, I.; et al. Quick Method for the Analysis of Numerous Highly Polar Pesticides in Food Involving Extraction with Acidified Methanol and LC-MS/MS Measurement. I Food of Plant Origin (QuPPe-PO-Method). Available online: https://www.eurl-pesticides.eu/library/docs/srm/meth_QuPPe.pdf (accessed on 25 June 2022).
- Golge, O. Validation of Quick Polar Pesticides (QuPPe) Method for Determination of Eight Polar Pesticides in Cherries by LC-MS/MS. Food Anal. Methods 2021, 14, 1432–1437. [Google Scholar] [CrossRef]
- Kaczynski, P. Clean-up and matrix effect in LC-MS/MS analysis of food of plant origin for high polar herbicides. Food Chem. 2017, 230, 524–531. [Google Scholar] [CrossRef]
- Heydebreck, F. Monitoring of Paraquat in soya products intended for animal feed. Int. J. Food Contam. 2021, 8, 4–12. [Google Scholar] [CrossRef]
- Adams, S.; Guest, J.; Dickinson, M.; Fussell, R.J.; Beck, J.; Schoutsen, F. Development and Validation of Ion Chromatography-Tandem Mass Spectrometry-Based Method for the Multiresidue Determination of Polar Ionic Pesticides in Food. J. Agric. Food Chem. 2017, 65, 7294–7304. [Google Scholar] [CrossRef] [PubMed]
- Na, T.W.; Seo, H.J.; Jang, S.N.; Kim, H.; Yun, H.; Kim, H.; Ahn, J.; Cho, H.; Hong, S.H.; Kim, H.J.; et al. Multi-residue analytical method for detecting pesticides, veterinary drugs, and mycotoxins in feed using liquid- and gas chromatography coupled with mass spectrometry. J. Chromatogr. A 2022, 1676, 463257–463265. [Google Scholar] [CrossRef] [PubMed]
- Ministry of Food and Drug Safety, South Korea. Guidelines for the Standard Procedure for Preparing Test Methods for Food, etc. 2016. Available online: https://www.mfds.go.kr/brd/m_1060/view.do?seq=12920&srchFr=&srchTo=&srchWord=&srchTp=&itm_seq_1=0&itm_seq_2=0&multi_itm_seq=0&company_cd=&company_nm=&page=69 (accessed on 25 June 2022).
- Wang, J.; Xu, J.; Ji, X.; Wu, H.; Yang, H.; Zhang, H.; Zhang, X.; Li, Z.; Ni, X.; Qian, M. Determination of veterinary drug/pesticide residues in livestock and poultry excrement using selective accelerated solvent extraction and magnetic material purification combined with ultra-high-performance liquid chromatography-tandem mass spectrometry. J. Chromatogr. A 2020, 1617, 460808–460815. [Google Scholar] [CrossRef] [PubMed]
- Schlüsener, M.P.; Spiteller, M.; Bester, K. Determination of antibiotics from soil by pressurized liquid extraction and liquid chromatography–tandem mass spectrometry. J. Chromatogr. A 2003, 1003, 21–28. [Google Scholar] [CrossRef]
- Han, Y.; Song, L.; Zhao, P.; Li, Y.; Zou, N.; Qin, Y.; Li, X.; Pan, C. Residue determination of glufosinate in plant origin foods using modified Quick Polar Pesticides (QuPPe) method and liquid chromatography coupled with tandem mass spectrometry. Food Chem. 2016, 197, 730–736. [Google Scholar] [CrossRef]
- Hidalgo-Ruiz, J.L.; Romero-Gonzalez, R.; Martinez Vidal, J.L.; Garrido Frenich, A. Monitoring of polar pesticides and contaminants in edible oils and nuts by liquid chromatography-tandem mass spectrometry. Food Chem. 2021, 343, 128495–128502. [Google Scholar] [CrossRef]
- Sun, F.C.; Li, X.W.; Li, L.L.; Ding, Y.Q.; Zhao, H. Simultaneous Determination of Tetracycline, Macrolide and Sulfonamide Antibiotics in Soils Using Accelerated Solvent Extraction Followed by Solid-Phase Extraction and High Performance Liquid Chromatography Tandem Mass Spectrometry. Adv. Mater. Res. 2013, 718–720, 1071–1076. [Google Scholar] [CrossRef]
- Wang, Q.; Zhang, M.; Tomita, T.; Vogelstein, J.T.; Zhou, S.; Papadopoulos, N.; Kinzler, K.W.; Vogelstein, B. Selected reaction monitoring approach for validating peptide biomarkers. Proc. Natl. Acad. Sci. USA 2017, 114, 13519–13524. [Google Scholar] [CrossRef] [Green Version]
- Riley, R.D.; Ahmed, I.; Debray, T.P.; Willis, B.H.; Noordzij, J.P.; Higgins, J.P.; Deeks, J.J. Summarising and validating test accuracy results across multiple studies for use in clinical practice. Stat. Med. 2015, 34, 2081–2103. [Google Scholar] [CrossRef] [Green Version]
- Zhan, J.; Zhong, Y.Y.; Yu, X.J.; Peng, J.F.; Chen, S.; Yin, J.Y.; Zhang, J.J.; Zhu, Y. Multi-class method for determination of veterinary drug residues and other contaminants in infant formula by ultra performance liquid chromatography-tandem mass spectrometry. Food Chem. 2013, 138, 827–834. [Google Scholar] [CrossRef]
- Kim, E.; Park, H.; Park, S.; Choi, J.; Yoon, H.J.; Kim, J.-H. Simultaneous determination of multi-class veterinary drugs in fishery products with liquid chromatography–tandem mass spectrometry. Appl. Biol. Chem. 2021, 64, 40–56. [Google Scholar] [CrossRef]
- Almeida, A.M.; Castel-Branco, M.M.; Falcao, A.C. Linear regression for calibration lines revisited: Weighting schemes for bioanalytical methods. J. Chromatogr. B Anal. Technol. Biomed. Life Sci. 2002, 774, 215–222. [Google Scholar] [CrossRef]
- Panuwet, P.; Hunter, R.E., Jr.; D’Souza, P.E.; Chen, X.; Radford, S.A.; Cohen, J.R.; Marder, M.E.; Kartavenka, K.; Ryan, P.B.; Barr, D.B. Biological Matrix Effects in Quantitative Tandem Mass Spectrometry-Based Analytical Methods: Advancing Biomonitoring. Crit. Rev. Anal. Chem. 2016, 46, 93–105. [Google Scholar] [CrossRef] [PubMed] [Green Version]
- Rao, T.N. Validation of Analytical Methods; IntechOpen: London, UK, 2018. [Google Scholar]
- Codex Alimentarius. Guidelines for the Design and Implementation of National Regulatory Food Safety Assurance programme Associated with the Use of Veterinary Drugs in Food Producing Animals CAC/GL 71. 2009. Available online: http://www.fao.org/input/download/standards/11252/CXG_071e_2014.pdf (accessed on 25 June 2022).
- European Commission. SANTE/11813/2017. Guidance Document on Analytical Quality Control and Method Validation Procedures for Pesticide Residues and Analysis in Food and Feed. European Commission Directorate-General for Health and Food Safety 2017. Available online: https://www.eurl-pesticides.eu/userfiles/file/EurlALL/SANTE_11813_2017-fin.pdf (accessed on 25 June 2022).
- Kim, J.; Park, H.; Kang, H.S.; Cho, B.H.; Oh, J.H. Comparison of Sample Preparation and Determination of 60 Veterinary Drug Residues in Flatfish Using Liquid Chromatography-Tandem Mass Spectrometry. Molecules 2020, 25, 1206. [Google Scholar] [CrossRef] [PubMed] [Green Version]
- Yu, H.; Tao, Y.; Chen, D.; Pan, Y.; Liu, Z.; Wang, Y.; Huang, L.; Dai, M.; Peng, D.; Wang, X.; et al. Simultaneous determination of fluoroquinolones in foods of animal origin by a high performance liquid chromatography and a liquid chromatography tandem mass spectrometry with accelerated solvent extraction. J. Chromatogr. B Anal. Technol. Biomed. Life Sci. 2012, 885–886, 150–159. [Google Scholar] [CrossRef]
- Kim, H.J.; Jeong, M.H.; Park, H.J.; Kim, W.C.; Kim, J.E. Development of an immunoaffinity chromatography and HPLC-UV method for determination of 16 sulfonamides in feed. Food Chem. 2016, 196, 1144–1149. [Google Scholar] [CrossRef]
- Patyra, E.; Przenioslo-Siwczynska, M.; Kwiatek, K. Determination of Sulfonamides in Feeds by High-Performance Liquid Chromatography after Fluorescamine Precolumn Derivatization. Molecules 2019, 24, 452. [Google Scholar] [CrossRef] [Green Version]
- MAFRA. National Law Information Center. Available online: https://www.law.go.kr/%ED%96%89%EC%A0%95%EA%B7%9C%EC%B9%99/%EC%82%AC%EB%A3%8C%20%EB%93%B1%EC%9D%98%20%EA%B8%B0%EC%A4%80%20%EB%B0%8F%20%EA%B7%9C%EA%B2%A9 (accessed on 6 July 2022).






| Analyte | logP | LOD (µg/kg) | LOQ (µg/kg) | Linear Range (µg/kg) | r2 | Spiked Concentration (µg/kg) | ||||
|---|---|---|---|---|---|---|---|---|---|---|
| Corn Feed | Cow Feed | Pet Feed | Low | Middle | High | |||||
| Amphenicols (1) | ||||||||||
| Florfenicol amine | 2.2 | 4 | 10 | 10–1250 | 0.9993 | 0.9999 | 0.9998 | 50 | 100 | 250 |
| Anthelmintics (1) | ||||||||||
| Diethylcarbamazine | 0.57 | 4 | 10 | 10–1250 | 0.9966 | 0.9977 | 0.9975 | 50 | 100 | 250 |
| Cephalosporins (4) | ||||||||||
| Cefadroxil | 1.18 | 80 | 200 | 200–25,000 | 0.9959 | 0.991 | 0.9906 | 1000 | 2000 | 5000 |
| Cefalexin | 1.47 | 80 | 200 | 200–25,000 | 0.9946 | 0.9995 | 0.9982 | 1000 | 2000 | 5000 |
| Cefalonium | −0.19 | 80 | 200 | 200–25,000 | 0.9983 | 0.9908 | 0.998 | 1000 | 2000 | 5000 |
| Cephaprin | 1.25 | 8 | 20 | 20–2500 | 0.9952 | 0.9926 | 0.9988 | 100 | 200 | 500 |
| Coccidiostats (1) | ||||||||||
| Amprolium | −2.86 | 4 | 10 | 10–1250 | 0.9983 | 0.9985 | 0.9984 | 50 | 100 | 250 |
| Lincosamides (1) | ||||||||||
| Lincomycin | −0.53 | 4 | 10 | 10–1250 | 0.9993 | 0.9893 | 0.9852 | 50 | 100 | 250 |
| Macrolide (1) | ||||||||||
| Tulathromycin | 2.65 | 8 | 20 | 20–2500 | 0.9953 | 0.9994 | 0.9985 | 100 | 200 | 500 |
| Nitroimidazole (1) | ||||||||||
| Metronidazole-OH | 0.62 | 8 | 20 | 20–2500 | 0.9964 | 0.999 | 0.9928 | 100 | 200 | 500 |
| Penicillins (3) | ||||||||||
| Cloxacillin | 2.88 | 4 | 10 | 10–1250 | 0.9984 | 0.9999 | 0.9908 | 50 | 100 | 250 |
| Nafcillin | 2.81 | 8 | 20 | 20–2500 | 0.9963 | 0.9983 | 0.9909 | 100 | 200 | 500 |
| Penicillin V | 2.09 | 8 | 20 | 20–2500 | 0.994 | 0.9874 | 0.9963 | 100 | 200 | 500 |
| Phenylhydrazines (1) | ||||||||||
| Diminazene | 4.04 | 4 | 10 | 10–1250 | 0.9986 | 0.9985 | 0.9987 | 50 | 100 | 250 |
| Polypeptides (1) | ||||||||||
| Bacitracin | 3.72 | 80 | 200 | 200–25,000 | 0.9866 | 0.9871 | 0.9957 | 1000 | 2000 | 5000 |
| Pyrethrins (1) | ||||||||||
| Tetramethrin | 2.9 | 4 | 10 | 10–1250 | 0.9898 | 0.9969 | 0.997 | 50 | 100 | 250 |
| Quinolones (5) | ||||||||||
| Danofloxacin | 2.07 | 4 | 10 | 10–1250 | 0.99 | 0.989 | 0.9857 | 50 | 100 | 250 |
| Marbofloxacin | 0.58 | 4 | 10 | 10–1250 | 0.9981 | 0.9913 | 0.9954 | 50 | 100 | 250 |
| Ofloxacin | 1.55 | 4 | 10 | 10–1250 | 0.999 | 0.9984 | 0.9912 | 50 | 100 | 250 |
| Orbifloxacin | 3.03 | 4 | 10 | 10–1250 | 0.9961 | 0.9963 | 0.9977 | 50 | 100 | 250 |
| Sarafloxacin | 2.77 | 8 | 20 | 20–2500 | 0.9992 | 0.9964 | 0.9975 | 100 | 200 | 500 |
| Sulfonamides (3) | ||||||||||
| Phthalylsulfathizole | 4.12 | 8 | 20 | 20–2500 | 0.9966 | 0.9951 | 0.9984 | 100 | 200 | 500 |
| Succinylsulfathiazole | 0.87 | 8 | 20 | 20–2500 | 0.9943 | 0.999 | 0.9926 | 100 | 200 | 500 |
| Sulfisoxazole | 3.41 | 4 | 10 | 10–1250 | 0.9986 | 0.9998 | 0.9963 | 50 | 100 | 250 |
| Tetracycline (3) | ||||||||||
| Doxycycline | 0.35 | 8 | 20 | 20–2500 | 0.9963 | 0.9996 | 0.9997 | 100 | 200 | 500 |
| Minocycline | 0.05 | 8 | 20 | 20–2500 | 0.9925 | 0.991 | 0.9914 | 100 | 200 | 500 |
| Oxytetracycline | −0.54 | 8 | 20 | 20–2500 | 0.9802 | 0.9828 | 0.9837 | 100 | 200 | 500 |
| Neuroleptic agents (1) | ||||||||||
| Phenothiazine | 3.21 | 4 | 10 | 10–1250 | 0.9911 | 0.9916 | 0.9877 | 50 | 100 | 250 |
| Triazene trypanocidal agents (1) | ||||||||||
| Isometamidium | 4.4 | 4 | 10 | 10–1250 | 0.9979 | 0.9977 | 0.994 | 50 | 100 | 250 |
| Other (1) | ||||||||||
| Monoacetyl dapson | 3.8 | 8 | 20 | 20–2500 | 0.9953 | 0.9981 | 0.9964 | 100 | 200 | 500 |
| Compound Name | Chemical Group | RT (min) | ESI | Quantification, m/z (CE, eV) | Qualification 1, m/z (CE, eV) | Qualification 2, m/z (CE, eV) |
|---|---|---|---|---|---|---|
| Amprolium | Coccidiostats | 2.8 | + | 243.09 > 150.20 (17) | 243.09 > 94.10 (33) | 243.09 > 81.20 (51) |
| Bacitracin | Polypeptides | 15.3 | + | 474.90 > 199.10 (35) | 474.90 > 110.10 (77) | 474.90 > 227.00 (35) |
| Cefadroxil | Cephalosporins | 9.8 | + | 363.91 > 158.00 (21) | 363.91 > 140.10 (39) | 363.91 > 68.10 (59) |
| Cefalexin | Cephalosporins | 10.1 | + | 348.10 > 158.00 (20) | 348.10 > 106.00 (26) | 348.10 > 174.00 (14) |
| Cefalonium | Cephalosporins | 9.7 | + | 458.94 > 337.00 (15) | 459.00 > 152.00 (25) | 459.00 > 158.00 (23) |
| Cephaprin | Cephalosporins | 8.5 | + | 424.00 > 292.00 (21) | 424.00 > 151.90 (33) | 424.00 > 181.00 (31) |
| Cloxacillin | Penicillins | 16.5 | + | 435.86 > 178.00 (33) | 435.86 > 220.10 (25) | 435.86 > 320.90 (25) |
| Danofloxacin | Quinolones | 10.8 | + | 358.00 > 340.10 (29) | 358.00 > 314.10 (25) | 358.00 > 96.00 (31) |
| Diethylcarbamazine | Anthelmintics | 7.5 | + | 200.09 > 127.03 (20) | 200.09 > 100.00 (25) | 200.09 > 72.03 (30) |
| Diminazene | Phenylhydrazines | 8.3 | + | 282.01 > 119.10 (25) | 282.01 > 102.10 (55) | 282.01 > 135.10 (27) |
| Doxycycline | Tetracycline | 14.8 | + | 445.13 > 428.00 (27) | 445.13 > 320.90 (43) | 445.13 > 267.00 (49) |
| Florfenicol amine | Amphenicols | 3.3 | + | 248.10 > 230.00 (13) | 248.10 > 130.00 (28) | 248.10 > 91.00 (60) |
| Isometamidium | Triazene Trypanocidal agents | 13.1 | + | 460.02 > 313.10 (27) | 460.02 > 298.10 (33) | 460.02 > 269.10 (71) |
| Lincomycin | Lincosamides | 9.4 | + | 407.20 > 359.20 (29) | 407.20 > 126.10 (31) | 407.20 > 82.20 (117) |
| Marbofloxacin | Quinolones | 9.8 | + | 363.00 > 320.10 (21) | 363.00 > 72.10 (47) | 363.00 > 345.00 (29) |
| Metronidazole-OH | Nitroimidazole | 7 | + | 188.00 > 126.00 (23) | 188.00 > 123.10 (19) | 188.00 > 41.20 (47) |
| Minocycline | Tetracycline | 12.3 | + | 457.99 > 441.10 (27) | 457.99 > 283.10 (59) | 457.99 > 337.00 (51) |
| Monoacetyl dapsone | Other | 12.1 | + | 290.05 > 262.10 (17) | 290.05 > 134.10 (19) | 290.05 > 179.10 (19) |
| Nafcillin | Penicillins | 17.2 | + | 414.98 > 199.1 (21) | 414.98 > 171.0 (51) | 414.98 > 143.0 (60) |
| Ofloxacin | Quinolones | 10.2 | + | 362.10 > 261.00 (40) | 362.10 > 318.00 (30) | 362.10 > 221.00 (45) |
| Orbifloxacin | Quinolones | 11.1 | + | 396.06 > 352.10 (27) | 396.06 > 295.10 (33) | 396.06 > 254.00 (41) |
| Oxytetracycline | Tetracycline | 11.4 | + | 461.10 > 426.00 (30) | 461.10 > 201.00 (40) | 461.10 > 337.00 (40) |
| Penicillin V | Penicillins | 16.2 | + | 351.00 > 114.00 (40) | 351.00 > 160.00 (25) | 351.00 > 229.20 (25) |
| Phenothiazine | Neuroleptic agents | 19.6 | + | 198.92 > 167.10 (37) | 198.92 > 166.10 (51) | 198.92 > 139.10 (63) |
| Phthalylsulfathizole | Sulfonamides | 12.4 | + | 403.85 > 156.10 (29) | 403.85 > 149.00 (47) | 403.85 > 108.00 (43) |
| Sarafloxacin | Quinolones | 11.5 | + | 386.01 > 299.10 (35) | 386.01 > 322.10 (31) | 386.01 > 348.10 (43) |
| Succinylsulfathiazole | Sulfonamides | 10.6 | + | 355.84 > 108.00 (37) | 355.84 > 65.00 (81) | 355.84 > 73.00 (63) |
| Sulfisoxazole | Sulfonamides | 11.8 | + | 268.10 > 156.00 (20) | 268.10 > 113.00 (20) | 268.10 > 92.00 (35) |
| Tetramethrin | Pyrethrins | 21.2 | + | 332.15 > 135.07 (35) | 332.15 > 107.05 (40) | 332.15 > 163.99 (30) |
| Tulathromycin | Macrolide | 10.3 | + | 806.53 > 577.30 (37) | 806.53 > 158.10 (53) | 806.53 > 116.00 (81) |
Publisher’s Note: MDPI stays neutral with regard to jurisdictional claims in published maps and institutional affiliations. |
© 2022 by the authors. Licensee MDPI, Basel, Switzerland. This article is an open access article distributed under the terms and conditions of the Creative Commons Attribution (CC BY) license (https://creativecommons.org/licenses/by/4.0/).
Share and Cite
Jang, S.; Seo, H.; Kim, H.; Kim, H.; Ahn, J.; Cho, H.; Hong, S.; Lee, S.; Na, T. Development of a Quantitative Method for Detection of Multiclass Veterinary Drugs in Feed Using Modified QuPPe Extraction and LC–MS/MS. Molecules 2022, 27, 4483. https://doi.org/10.3390/molecules27144483
Jang S, Seo H, Kim H, Kim H, Ahn J, Cho H, Hong S, Lee S, Na T. Development of a Quantitative Method for Detection of Multiclass Veterinary Drugs in Feed Using Modified QuPPe Extraction and LC–MS/MS. Molecules. 2022; 27(14):4483. https://doi.org/10.3390/molecules27144483
Chicago/Turabian StyleJang, Sunyeong, Hyungju Seo, Hojin Kim, Hyoyoung Kim, Jongsung Ahn, Hyunjeong Cho, Sunghie Hong, Seunghwa Lee, and Taewoong Na. 2022. "Development of a Quantitative Method for Detection of Multiclass Veterinary Drugs in Feed Using Modified QuPPe Extraction and LC–MS/MS" Molecules 27, no. 14: 4483. https://doi.org/10.3390/molecules27144483
APA StyleJang, S., Seo, H., Kim, H., Kim, H., Ahn, J., Cho, H., Hong, S., Lee, S., & Na, T. (2022). Development of a Quantitative Method for Detection of Multiclass Veterinary Drugs in Feed Using Modified QuPPe Extraction and LC–MS/MS. Molecules, 27(14), 4483. https://doi.org/10.3390/molecules27144483

