Next Article in Journal
Preparation of Polycarbonate-ZnO Nanocomposite Films: Surface Investigation after UV Irradiation
Next Article in Special Issue
Identification of 3-Oxindole Derivatives as Small Molecule HIV-1 Inhibitors Targeting Tat-Mediated Viral Transcription
Previous Article in Journal
Hit Compounds and Associated Targets in Intracellular Mycobacterium tuberculosis
Previous Article in Special Issue
In Silico Screening of Novel TMPRSS2 Inhibitors for Treatment of COVID-19
 
 
Retraction published on 19 August 2025, see Molecules 2025, 30(16), 3414.
Font Type:
Arial Georgia Verdana
Font Size:
Aa Aa Aa
Line Spacing:
Column Width:
Background:
Article

RETRACTED: Synthesis and Evaluation of Anti-HIV Activity of Mono- and Di-Substituted Phosphonamidate Conjugates of Tenofovir

by
Aaminat Qureshi
1,
Louise A. Ouattara
2,
Naglaa Salem El-Sayed
3,4,
Amita Verma
3,5,
Gustavo F. Doncel
2,
Muhammad Iqbal Choudhary
1,6,7,8,*,
Hina Siddiqui
1,* and
Keykavous Parang
3,*
1
H.E.J. Research Institute of Chemistry, International Center for Chemical and Biological Sciences, University of Karachi, Karachi 75270, Pakistan
2
CONRAD, Department of Obstetrics and Gynecology, Eastern Virginia Medical School, Norfolk, VA 23507, USA
3
Center for Targeted Drug Delivery, Department of Biomedical and Pharmaceutical Sciences, Chapman University School of Pharmacy, Harry and Diane Rinker Health Science Campus, Irvine, CA 92618, USA
4
Cellulose and Paper Department, National Research Center, Dokki, Cairo 12622, Egypt
5
Bioorganic and Medicinal Chemistry Research Laboratory, Department of Pharmaceutical Sciences, Sam Higginbottom University of Agriculture, Technology and Sciences, Prayagraj 211007, India
6
Dr. Panjwani Center for Molecular Medicine and Drug Research, International Center for Chemical and Biological Sciences, University of Karachi, Karachi 75270, Pakistan
7
Department of Biochemistry, King Abdul Aziz University, Jeddah 21452, Saudi Arabia
8
Department of Chemistry, Faculty of Science and Technology, Universitas Airlangga, Komplek Campus C, Surabaya 60115, Indonesia
*
Authors to whom correspondence should be addressed.
Molecules 2022, 27(14), 4447; https://doi.org/10.3390/molecules27144447
Submission received: 5 May 2022 / Revised: 4 July 2022 / Accepted: 5 July 2022 / Published: 12 July 2022 / Retracted: 19 August 2025
(This article belongs to the Special Issue Antiviral Agents for RNA-Virus Infection)

Abstract

The activity of nucleoside and nucleotide analogs as antiviral agents requires phosphorylation by endogenous enzymes. Phosphate-substituted analogs have low bioavailability due to the presence of ionizable negatively-charged groups. To circumvent these limitations, several prodrug approaches have been proposed. Herein, we hypothesized that the conjugation or combination of the lipophilic amide bond with nucleotide-based tenofovir (TFV) (1) could improve the anti-HIV activity. During the current study, the hydroxyl group of phosphonates in TFV was conjugated with the amino group of L-alanine, L-leucine, L-valine, and glycine amino acids and other long fatty ester hydrocarbon chains to synthesize 43 derivatives. Several classes of derivatives were synthesized. The synthesized compounds were characterized by 1H NMR, IR, UV, and mass spectrometry. In addition, several of the synthesized compounds were evaluated as racemic mixtures for anti-HIV activity in vitro in a single round infection assay using TZM-bl cells at 100 ng/mL. TFV (1) was used as a positive control and inhibited HIV infection by 35%. Among all the evaluated compounds, the disubstituted heptanolyl ester alanine phosphonamidate with naphthol oleate (69), pentanolyl ester alanine phosphonamidate with phenol oleate (62), and butanolyl ester alanine phosphonamidate with naphthol oleate (87) ester conjugates of TFV were more potent than parent drug TFV with 79.0%, 76.5%, 71.5% inhibition, respectively, at 100 ng/mL. Furthermore, two fatty acyl amide conjugates of tenofovir alafenamide (TAF) were synthesized and evaluated for comparative studies with TAF and TFV conjugates. Tetradecanoyl TAF conjugate 95 inhibited HIV infection by 99.6% at 100 ng/mL and showed comparable activity to TAF (97–99% inhibition) at 10–100 ng/mL but was more potent than TAF when compared at molar concentration.

Graphical Abstract

1. Introduction

Acquired immunodeficiency syndrome (AIDS) caused by the human immune deficiency virus (HIV) is still a major global health challenge [1]. According to the Joint United Nations Programmes on HIV/AIDS statistics, in the year 2021, about 28.2 million people were accessing antiretroviral therapy. Moreover, millions of people have died from the disease. Despite the success of highly active antiretroviral therapies, the rapid emergence of drug-resistant mutants has sharply limited the clinical applications of existing anti-HIV drugs, requiring an active pipeline of new antiretrovirals [2].
The US Food and Drug Administration (FDA) approved several drugs to treat HIV infection [3]. An important limitation of antiviral drugs as therapeutic agents is, in many cases, their low oral bioavailability (less than 20%) and poor transport into cells, which in the case of nucleotide-based drugs is attributed to their ionizable groups [4].
A prodrug is a compound that undergoes a transformation within the body before eliciting its therapeutic action. The prodrug approach is extensively used to increase drug bioavailability, as well as drug targeting after oral administration [5]. This strategy is based on chemically modifying an active substance by attaching pro-moieties, which ideally overcome the biochemical and physical barriers associated with the parent compound. Limited oral bioavailability is usually attributed to poor membrane permeability, low aqueous solubility (in the gastrointestinal fluids), or extensive first-pass metabolism [6].
Several prodrug strategies have been applied to circumvent this problem in antiviral drugs (Figure 1). Tenofovir (1) (TFV) is a nucleotide analog of deoxyadenosine monophosphate. Sofosbuvir (2) is a masked phosphorylated nucleotide drug that has cell permeability and oral bioavailability against the hepatitis C virus [7]. Valacyclovir (VACV) (3) (Figure 1), the valine ester prodrug of acyclovir (ACV) targeting intestinal oligopeptide transporter 1 (PepT1), has proven to be a safe and effective drug [8,9,10,11]. Valganciclovir (4), an acyclic guanosine analog, was first used intravenously to treat CMV infection in AIDS patients. To circumvent the inconvenience and risks associated with frequent ganciclovir intravenous administration and its low bioavailability, an oral formulation was further developed [12]. Famciclovir (5) (Figure 1) is a prodrug of penciclovir containing acetyl diester and 6-deoxy promoieties. The prodrug is efficiently converted to the parent drug via enzymatic deacetylation and oxidation after oral administration [13]. Fosamprenavir (6) (Figure 1) is a prodrug of amprenavir and has the advantage of increased water solubility and improved oral bioavailability. This allows for a reduction in the daily dose [14].
Adefovir is an acyclic analog of deoxyadenosine. It displays low oral bioavailability compared to other acyclic nucleoside phosphonate analogs due to the limited intestinal permeability of the anionic phosphonate moiety. Hence, various prodrugs of adefovir, such as adefovir dipivoxil (7) (Figure 1) were designed to mask the charged phosphonate groups and improve the oral absorption of adefovir [15,16]. Other pronucleotides include β-d-2′-deoxy-2′-α-fluoro-2′-β-C-methyluridine nucleotide prodrug (PSI-7977) that has been investigated for the treatment of hepatitis C Virus [17]. Remdesivir is also among the first examples of a phosphoramidate prodrug aimed at delivering a nucleoside monophosphate into lung cells to efficiently generate the nucleoside triphosphate inhibitor of viral RNA polymerases [18].
Interestingly, many water-soluble compounds have been shown to move well across cell membranes, utilizing specialized carrier-mediated transport mechanisms [19]. These membrane transporters play a key role in determining the exposure of the cells or organisms to a variety of solutes, including nutrients and cellular byproducts, as well as drug molecules. Efforts have been made to improve drug bioavailability by conjugating different pro-moieties, targeting various active transportation systems present in the small intestine.
Tenofovir (1) (TFV) (Figure 1) has activity against HIV-1, HIV-2, and hepatitis B viruses (HBV) [20]. Tenofovir disoproxil fumarate (8) (TDF, Viread®) (Figure 1) is an ester prodrug of TFV that is hydrolyzed to TFV intracellularly, and phosphorylated to the active metabolite, TFV diphosphate. TDF is used in combination with other antiviral medications, such as 2′,3′-dideoxy-5-fluoro-3′-thiacytidine (emtricitabine, FTC). Resistance to TDF is conferred by the reverse transcriptase (RT) K65R and/or K70E mutations. Tenofovir alafenamide fumarate (TAF) (9) (Figure 1) is another prodrug of tenofovir. TAF has higher antiviral activity and distribution in the lymphatic system with fewer side effects, such as impaired kidney function [21,22,23,24]. All prodrugs are safe and effective and are used as part of combination therapy or for prevention [25].
With the constant emergence of HIV mutants of clinical relevance and the need to reduce the number of ARVs for chronic treatment [26], it is logical to develop new long-acting and more potent nucleoside conjugates that display broad-spectrum activity against drug-resistant HIV. We previously demonstrated that several fatty acids, such as 2-methoxydodecanoic acid, 4-oxatetradecanoic acid, and 12-thioethyldodecanoic acid, reduced HIV-1 replication in acutely infected T-lymphocytes [27]. For example, 12-thioethyldodecanoic acid was moderately active (EC50 = 9.4 μM) against HIV-infected T4 lymphocytes. Protein N-myristoylation in HIV-1 is catalyzed by NMT, which is inhibited by myristic acid derivatives. Myristoylated proteins include PR160gag-pol, Pr55gag, p17gag, and p27nef proteins of HIV-1 [28]. Furthermore, fatty acyl derivatives of 3-fluoro-2′,3′-dideoxythymidine (FLT), 3′-azido-2′,3′-dideoxythymidine (AZT) [29], 2′,3′-didehydro-2′,3′-dideoxythymidine (d4T) [30], FTC [31], and 3TC [32] exhibited a significantly higher cellular uptake and anti-HIV profile against wild-type cell-free, cell-associated, and resistant viruses when compared with the corresponding parent nucleosides. The fatty acids were found to also have modest anti-HBV activity [33]. For example, myristic acid conjugate of FTC (IC90 = 15.7–16.1 nM) exhibited 6.6- and 35.2 times higher activity than FTC (IC90 = 103–567 nM) against multidrug-resistant viruses B-NNRTI and B-K65R, indicating that FTC conjugation with myristic acid generates a more potent analog with a better resistance profile than its parent compound. The fatty acyl conjugation changes the uptake, activity profile, and mechanism of activity, presumably by interfering with the posttranslational myristoylation of proteins in the HIV life cycle. Intracellular hydrolysis to the parent nucleoside is one of the factors that contribute to overall anti-HIV activity.
Based on these reports, we hypothesized that the modification of the nucleotide-based TFV conjugated with different amino acids and fatty acids would improve its lipophilicity, thereby leading to improved anti-HIV activity. Thus, several mono- and disubstituted classes of fatty ester conjugates of TFV were synthesized and evaluated for HIV inhibition. The design of compounds was based on generating diversity in the phosphonate group by conjugating different amino acids, alcohol, phenols, naphthols, and fatty acids. The synthesis of compounds consists of L-alanine monosubstituted phosphonamidate derivatives (1620), L-leucine monosubstituted phosphonamidate derivatives (2628), L-alanine disubstituted esters (3234, and 36), phosphonadiamidate (35, 37, and 38), phosphonamidate ester derivatives (3946), L-alanine 2-pentanolyl ester substituted phosphonamidate esters (5254), and diester derivatives of phenolated and naphtholated TFV (5663), L-alanine 2-heptanolyl substituted phosphonamidate ester (68), diester derivatives of naphtholated TFV (69), L-alanine 1-butanolyl substituted phosphonamidate ester (74), and diester derivatives of phenolated TFV (7577), L-valine 1-butanolyl substituted phosphonamidate ester (84), diester derivatives of phenolated and naphtholated TFV (8487), and glycine1-butanolyl phosphonamidate diester derivatives of phenolated TFV (94) (Figure 2). Alternatively, tetradecanoyl and 12-azidododecanoyl amide conjugates of TAF (95 and 96) (Figure 3) were synthesized for comparative studies with TAF and TFV conjugates. All compounds containing the stereocenter at phosphorus were evaluated as racemic mixtures. It is worth emphasizing that this work was a preliminary study to screen and identify lead compounds and templates and develop the structure–activity relationship. Further optimization, biostability, and in vivo work are planned in future studies and are beyond the scope of this manuscript.

2. Results and Discussion

2.1. Chemistry

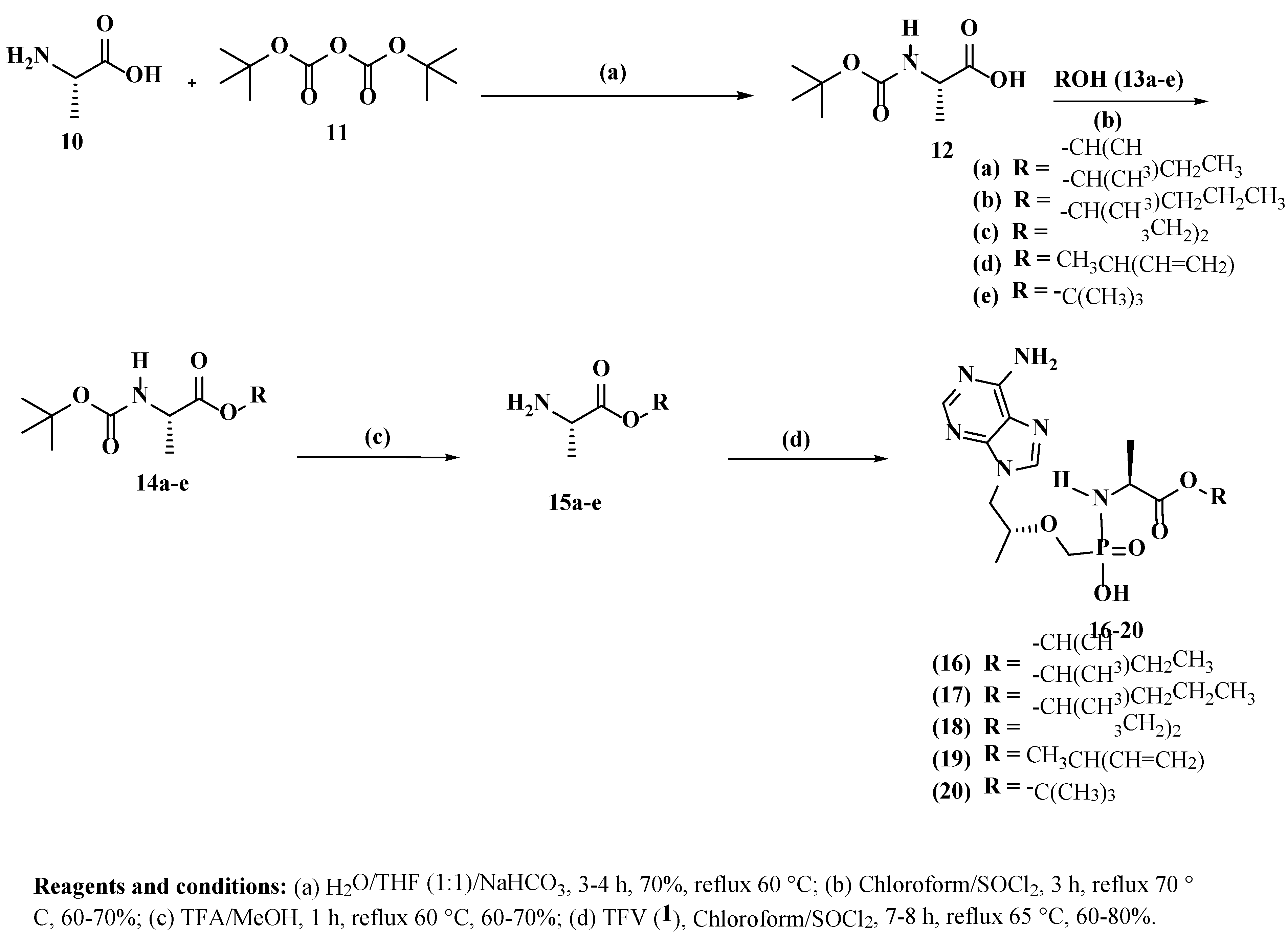
The synthesis of monosubstituted phosphonamidate conjugates of TFV is depicted in Scheme 1 and Scheme 2 in order to evaluate their anti-HIV activities. The synthesis was accomplished by the protection of the NH2 group of amino acid L-alanine 10 or L-leucine 21 with di-tert-butyl dicarbonate 11 in the presence of NaHCO3 and H2O/THF (1:1 v/v) as a solvent under reflux until the starting materials were consumed. N-Boc protected amino acids 12 and 22 were further esterified with alcohols 13 and 23, respectively, in the presence of thionyl chloride and chloroform (used as a solvent) to form the protected N-Boc protected amino esters 14 and 24. The protected amino esters 14 and 24 were deprotected with trifluoracetic acid in the presence of methanol to form amino esters 15 and 25, respectively. Further reaction of 15 and 25 with TFV (1) in the presence of thionyl chloride in chloroform and triethylamine (TEA) as a base generated compounds 1620 and 2628, respectively (Scheme 1 and Scheme 2). Compounds 1620 and 2628 did not contain masked phosphates and were synthesized as a control for comparative studies.
Figure 1 shows the chemical structures of phosphondiamidate and phosphonamidite ester derivatives of TFV. Phosphondiamidate derivatives of TFV (3234) were synthesized, as depicted in Scheme 3. The NH2 group of L-alanine 10 was protected with BOC (11) in the presence of NaHCO3 and H2O/THF (1:1 v/v), as described above, to afford N-Boc-protected amino acid 12 that was further esterified with different alcohols (1-butanol, 2-pentanol, and 4-methoxy-1-butanol, 29ac) in the presence of thionyl chloride and chloroform (used as a solvent) to obtain the protected amino esters 30ac. The protected amino ester was deprotected with trifluoracetic acid in the presence of methanol to form amino esters 31ac. Further reaction of 31ac with compound 20 in the presence of thionyl chloride afforded compounds 3234.
Phosphondiamidate 36 and phosphonamidate esters 35 and 37 were synthesized by the reaction of compound 20 with phenol, ethane diamine, and naphthol in the presence of thionyl chloride and chloroform.
A library of phosphonamidate ester derivatives of TFV was prepared via the reaction of compound 20 with substituted phenols (1,3-dihydroxybenzene and 1,4-dihydroxybenzene). The reaction was performed in chloroform (used as a solvent) in the presence of thionyl chloride. The precipitates were formed, which were filtered to afford the intermediate product 38 that was further substituted with different fatty acids (stearic acid, palmitic acid, oleic acid, and 11-azidoundecanoic acid) in the presence of thionyl chloride and chloroform (used as a solvent) to afford fatty ester derivatives of amino esters of TFV (3946, Scheme 3). The chemical structures of all synthetic compounds were elucidated by different spectroscopic techniques, such as ESI-MS, HR-ESI-MS, 1H NMR, UV, I.R., and/or 13C NMR, COSY, NOESY, and HMBC.
The synthesis of phosphonamidate diester derivatives of phenolated TFV was accomplished, as shown in Scheme 4 and Scheme 5. L-Alanine N-Boc protected amino acid (12) was esterified with different alcohols, 2-pentanol (47) and 3-heptanol (64), in the presence of thionyl chloride and chloroform (as a solvent) to form the protected amino esters 48 and 65, respectively. N-Boc was deprotected with trifluoroacetic acid in the presence of methanol to form amino esters 49 and 66, which were further reacted with TFV (1) in the presence of thionyl chloride to form intermediate compounds 50 and 67. Compounds 50 and 67 were then treated with different phenols (1,3-dihydroxybenzene, 1,4-dihydroxybenzene, and 1,4-dihydroxynaphthalene). The reactions were performed in chloroform to synthesize alcohol-substituted intermediates 5254, and 68, which were further reacted with different fatty acids (stearic acid, palmitic acid, oleic acid, and 11-azidoundecanoic acid) to form phosphonamidate ester derivatives of phenolated TFV 5663, and 69 in the presence of thionyl chloride and chloroform (Scheme 4 and Scheme 5). The chemical structures of all synthetic compounds were confirmed by different spectroscopic techniques such as ESI-MS, HR-ESI-MS, 1H NMR, 13C NMR, UV, and the I.R. Terminal azido group was incorporated into a number of compounds, such as 42 and 63, since we previously reported that 12-azidodecanoic acid has modest anti-HIV activities.
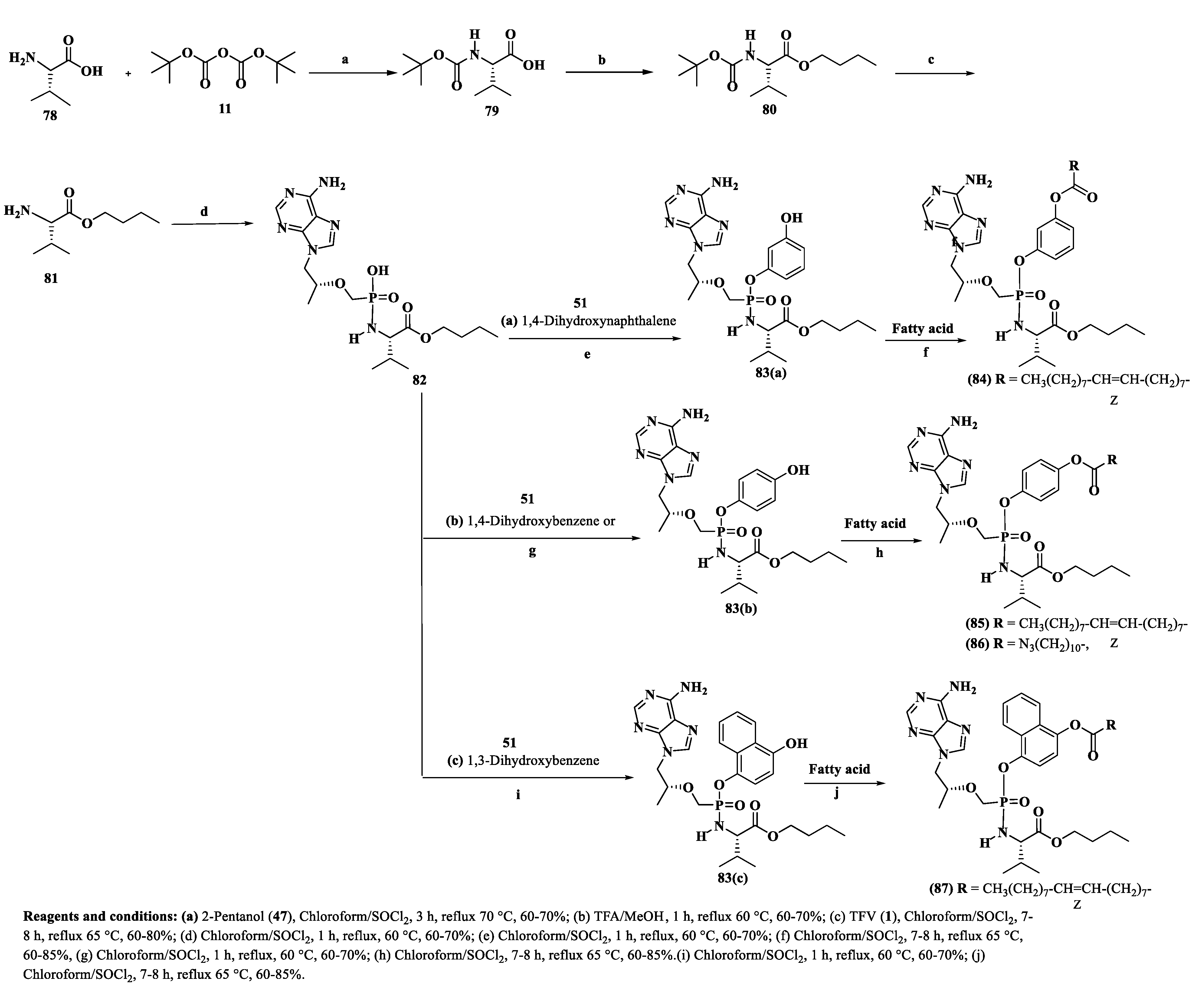
Similarly, the synthesis of additional phenolated and naphtholated phosphonamidate diester derivatives of L-alanine, L-valine, and glycine (Scheme 6, Scheme 7 and Scheme 8) was accomplished by the protection of the NH2 group of amino acids 10 (L-alanine), 78 (L-valine), and 88 (glycine) with BOC (11) in the presence of NaHCO3, and H2O/THF (1:1 v/v) (as a solvent) under reflux until the starting material was consumed. The protected amino acids 12, 79, and 89 were further esterified with 1-butanol in the presence of thionyl chloride and chloroform (as a solvent) to form the protected amino esters 71, 80, and 90, respectively. The protected amino esters were deprotected with trifluoracetic acid in the presence of methanol to form amino esters 72, 81, and 91, which were further treated with TFV (1) in the presence of thionyl chloride to form intermediate compounds 73, 82, and 92, respectively. The intermediate compounds were reacted with different alcohols (1,3-dihydroxybenzene, 1,4-dihydroxybenzene, and 1,4-dihydroxynaphthalene) to synthesize compounds 74, 83, and 93. Phenol and naphthol-substituted intermediates were further reacted with different fatty acids (palmitic acid, oleic acid, and 11-azidoundecanoic acid) to form fatty ester derivatives (7577, 8487, and 94) in the presence of thionyl chloride and chloroform. The chemical structures of all synthetic compounds were confirmed by different spectroscopic techniques, such as ESI-MS, HR-ESI-MS, 1H NMR, 13C NMR, UV, and IR.
Finally, the synthesis of fatty acyl amino substituted TAF conjugates was conducted through the reaction of TAF (9) with myristoyl chloride in the presence of N,N-diisopropylethylamine (DIPEA) in dimethylformamide (DMF) at 70 °C to afford myristoyl conjugate 95. Alternatively, 9 was reacted with 12-azidododecanoic acid in the presence of 1-hydroxy-7-benzotriazole (HOAt) and DIPEA to yield 12-azidododecanoyl TAF conjugate 96 (Scheme 9). The anti-HIV activities of the conjugates were compared with the physical mixture of myristic acid and TAF (50:50 mole/mole, 97) and TAF (9).

2.2. Biological Activities

Selected compounds were evaluated for their cytotoxicity on TZM-bl cells and were found to be non-toxic to the cells at 100 ng/mL, except for in compound 87, which showed cytotoxicity similar to the positive control (nonoxynol-9) (Figure 4). TAF conjugates 95 and 96 and the physical mixture 97 were found to show no significant toxicity at concentrations of 1–100 ng/mL (Figure 5) in TZM-bl cells.
Selected compounds were then screened for their efficacy against HIV infection in a single round infection assay using TZM-bl cells at 100 ng/mL (50 ng/mL for 87) (Figure 6). The median Relative Luminescence Unit (RLU) adjusted per assay was calculated and plotted. The experiments were repeated three or four times, and each experiment included triplicates per condition. The objective was to determine the relative anti-HIV activities of the conjugates in comparison to the parent molecule, TFV (1).
L-Alanine (1620), and L-leucine (2628) monosubstituted phosphonamidite derivatives exhibited significantly lower anti-HIV activity (0–17% inhibition) vs. TFV (1) (median = 35%), suggesting that monosubstitution is not an effective strategy for improving the HIV inhibition (Table S1, Supplementary Materials).
Among the disubstituted conjugates, i.e., tert-butyl alanine substituted phosphondiamidates (3234), compound 32 (15%) showed less activity to TFV. Other conjugates, 33 and 34, showed significantly less inhibitory activity (5.0–11.7%), suggesting that having two phosphonamidates does not confer improved HIV inhibitory activity as compared to TFV (1), presumably due to the limited hydrolysis of the amidate linkage. tert-Butyl alanine disubstituted phosphonamidate ester derivatives (35 and 3746) exhibited 0–25.8.% inhibition, with compounds 39 and 40 showing the highest inhibition. These data suggest that no dramatic improvement of inhibitory activity was shown by tert-butyl alanine phosphonamidate ester or phosphondiamidate derivatives. Less activity to TFV (1) was shown by compounds 42 (10.2%) and 76 (18.5%), both containing the same long fatty ester 11-azidoundecanoyl chain at the meta position. The only difference between these two compounds was the presence of tert-butyl alanine phosphonamidate in compound 42, and n-butanolyl alanine phosphonamidate in compound 76. Comparable activity was observed in compound 61 (39.7%) with a long fatty ester chain at the meta position of phenolate ring, and 2-pentanolyl alanine phosphonamidate. However, less activity was observed with compound 32 (15%) with butyl alanine and tert-butyl alanine phosophdiamidate. These data indicate that the size and nature of the substituents contribute to the anti-HIV activity, possibly due to an alteration in the rate of uptake and differential release profile of the compounds.
Selected 2-pentanolyl alanine phosphonamidate ester conjugates of TFV (5263) showed more diverse anti-HIV activities depending on the substituents. Meta and para-substituted 11-azidoundecanoyl phenolate conjugates 60 (42.5%) and 63 (58%) exhibited higher inhibitory activity than TFV. The only difference between compounds 60 and 63 was the presence of the 11-azidoundecanoyl long chain group chain at para position rather than meta. Both compounds have 2-pentanolyl alanine phosphonamidite. Meta oleic acid phenolate conjugate 62 (76.5%) was 2.2-fold more potent than TFV, while the same fatty acid on naphthol conjugate 56 (40.6%) showed slightly higher activity, although 57 (4.6%) was less effective. The absence of fatty acyl esters on naphthol or phenol in compounds 5254 (no inhibition to 35.1%) or the presence of another type of fatty acid in compound 61 (39.7%) impaired or did not significantly change the antiviral activity. Compound 59 with oleic acid on the para position of phenolate demonstrated a complete loss of activity when compared with meta-substituted oleic phenolate conjugate 62 (76.5%). These data suggest that the nature and position of the fatty acid contribute significantly to the anti-HIV activity, presumably due to changes in cellular uptake and release.
Changing the 2-pentanolyl in compound 56 (40.6%) to 3-heptanolyl in compound 69 (79%), significantly enhanced the anti-HIV activity by 2.3-fold, making it more potent than TFV (1). This suggested that the nature of ester substitution on the alanine is critical for generating compounds with higher anti-HIV activity. The corresponding butanolyl-substituted naphtholated conjugate 77 showed no activity. The importance of alkyl ester substitution was also obvious when comparing compounds 84 (24.3%) and 62 (76.5%), with the only difference being the presence of butyl instead of a pentyl phenolated ester. In general, 2-butanolyl alanine conjugates were less active than the corresponding 2-pentanyl alanine conjugates, as observed for compounds 75 (22.1%), 61 (39.7%), 76 (18.5%) and 60 (42.5%), 77 (no inhibition), and 56 (40.6%).
2-Butanolyl ester valine naphtholated conjugate 87 (71.5%) was more potent than the corresponding butanoyl ester alanine naphtholated conjugate 77 (no inhibition%), but less active than 3-heptanoyl ester alanine naphtholated conjugate 69 (79%), suggesting that the selection of the amino acid, substituted ester on the amino acid and the fatty acid ester on the naphtholated conjugate are critical for optimal activity. Compound 87 with a long oleic acid ester chain at the para position of the naphthol ring and butyl-substituted valine attached similarly to phosphonamidite inhibited the HIV infection by 71.5% at 100 ng/mL. 2-Butyl glycine conjugate 94 (no inhibition) was not potent as compared to the corresponding isoleucine conjugate 85 (11.4%).
Among all the selected compounds, compounds 62, 69, and 87 (Figure 6 and Table S1, Supplementary Materials), demonstrated higher HIV inhibition than TFV (1). Compound 69 significantly inhibited HIV infection by 79.0% at 100 ng/mL. The compound contains a long hydrocarbon chain of oleic acid with a double bond at para position of the naphthol ring and 3-heptanoyl-substituted alanine on the phosphonamidate (Figure 7). A slight decrease in activity was observed in compound 62 (76.5% inhibition) when the oleate ester was positioned at meta position of the phenolate ring, and 2-pentanolyl alanine was attached as phosphonamidate (Figure 7). The compound was still more potent than the parent drug TFV (1). Compounds 56 (40.6%), 60 (42.5%), 63 (58.0%), and 93 (58.0%) (Figure 7) also exhibited slightly higher activity than TFV.
For the TAF conjugates 95, 96, and 97 the inhibitory activity was more than 99% at 100 ng/mL and was comparable to TAF (Figure 8 and Table S2, Supplementary Materials). Indeed, compound 95 exhibited 99.6% inhibition at a lower molar concentration of 0.145 µM (100 ng/mL) vs. 0.210 µM (100 ng/mL) for TAF (9). Thus, lower concentrations (10, 1, 0.1, 0.01 and 0.001 ng/mL) were examined. Among these two compounds (95 and 96) and the physical mixture (97), tetradecanoyl conjugate of TAF (95) was found to be significantly more potent. Tetradecanoyl conjugate 95 showed 98.4%, 70.9%, and 33% inhibition vs. the corresponding physical mixture of myristic acid and TAF, which showed 91.7%, 60.4%, and 27.9% inhibition at concentrations of 10, 1, and 0.1 ng/mL, respectively. Furthermore, compound 95 showed a comparable 98.4% inhibition at a lower molar concentration of 0.0145 µM (10 ng/mL) vs. 0.021 µM (10 ng/mL) for TAF. These data indicate the importance of conjugation in improving anti-HIV activity. Compound 95 generated comparable anti-HIV activity (~99% inhibition) to TAF at lower molar concentrations, suggesting higher potency for the fatty acyl conjugated TAF. We previously observed that fatty acyl conjugates of FTC demonstrated higher potency against the resistant virus when compared with the parent FTC [26]. Further investigations are required to determine whether the fatty acyl conjugation of TAF can enhance the long-acting anti-HIV activity and potency against the TFV-resistant virus in a similar way. Further optimization, biostability, and in vivo characterization are needed to determine the biological relevance and added value of these conjugates.

3. Materials and Methods

3.1. General

The experimental part defines different methods and technical characteristics of the present work, which include the synthesis of fatty ester conjugates and different purification methods. Characterization of the synthesized compounds was achieved through various spectroscopic techniques, such as 1H NMR, 13C NMR, NOESY, COSY, HMBC, HSQC, IR, UV, and mass spectrometry. The synthesized analogs were also evaluated for their anti-HIV activity.
All chemicals were of analytical grade and were directly used without any purification. TFV (1) was purchased from Supelco by Sigma-Aldrich (St. Louis, USA), Pennsylvania, United States. L-Leucine and L-alanine, sodium iodide, palmitic acid, 1-butanol, 2-methyl-1-butanol, orcinol 2-methoxyethanol, 3-pentanol, phenol, resorcinol, hydroquinone, 1,4-dihydroxynaphthalene, N,N-dimethylformamide, tetrahydrofuran, dichloromethane, acetone, acetonitrile, methanol, hexane, ethyl acetate, and sodium azide were purchased from Sigma-Aldrich Co. (St. Louis, MO, USA). Tert-Butyloxycarbonyl (BOC) and triethylamine (TEA) were acquired from E. Merck (Darmstadt, Germany). Thionyl chloride and oxalyl chloride were purchased from Tokyo Chemical Industry (Tokyo, Japan). Ethanol, trifluoroacetic acid, stearic acid, and oleic acid were acquired from E Merck, (Darmstadt, Germany). 11-Bromodecanoic acid was purchased from ICN Biomedicals Inc. (Costa Mesa, CA 92626 United States). 2,4-Pentanediol and 2-pentanol were purchased from Merck (Kenilworth, NJ, United States). Dimethyl sulfoxide (DMSO) was purchased from Fisher Scientific (Schwerte, Germany). All reagents were of analytical grade and used directly without purification.
Thin-layer chromatography (TLC) was performed on pre-coated silica gel GF-254 aluminum plates (Kieselgel 60, 254 mm thick, E. Merck, Darmstadt, Germany). Spots on TLC plates were visualized under ultraviolet light at 254 and 366 nm. Melting points were recorded on an electronic melting point apparatus (SMP3), Sigma-Aldrich Co. (St. Louis, MO, USA). Electron impact mass spectra (EI-MS) were recorded on a Finnigan MAT-311A (Bremen, Germany) mass spectrometer (MASPEC Data System). 1H NMR and 13C NMR spectra were recorded in deuterated DMSO or CD3OD with Avance Bruker AM-300, AMX-400, and AMX-500 MHz equipment (Zurich, Switzerland). The chemical shifts (δ) were shown on a ppm scale, and coupling constants or J values were expressed in Hz relative to internal standard tetramethyl silane SiMe4. IR spectra (KBr discs) were run on a FTS 3000 MX, Bio-RAD Merlin (Excalibur Model) spectrophotometer. Reagents and solvents were obtained from Sigma-Aldrich (St. Louis, USA) and Merck (Germany).

3.2. Chemistry

General Procedure for the Synthesis of Amino Ester Conjugates of TFV (1628). Amino acids (L-alanine/L-leucine) (1 mmol) were protected with tert-butyloxycarbonyl (1 mmol) in the presence of sodium bicarbonate (NaHCO3) (1 mol). The reaction mixture was refluxed for 3–4 h at 60 °C in H2O/THF (1:1) (10 mL) as a solvent. The progress of the reaction was monitored periodically with TLC. The precipitates were formed, filtered, washed with water, and dried under vacuum at 40 °C. The yields of the compounds were in the range of (60–70%).
The protected amino acid (1 mmol) was reacted with different alcohols (1 mmol) in the presence of thionyl chloride (SOCl2) (1 mmol). The compounds were mixed and refluxed for 3 h at 70 °C in chloroform to form the protected amino ester. The progress of the reaction was monitored by thin-layer chromatography. After the reaction was completed, water was added to afford precipitates. These precipitates were filtered, washed with water, and dried under vacuum (yield 60–70%). The protected amino ester (1 mmol) was deprotected with trifluoracetic acid (TFA) (1 mmol) in the presence of methanol (as a solvent), and the reaction mixture was stirred at 60 °C for 1 h. The advancement in reaction was monitored from time to time with TLC. An oily product was formed. The purification of compounds was accomplished by solvent extraction DCM: H2O (1:1).
The amino ester (1 mmol) and TFV (1 mmol) were added to chloroform (10 mL) in the presence of thionyl chloride SOCl2 (1 mmol) as a catalyst. The reaction mixture was refluxed for 7–8 h at 65 °C. The reaction progress was periodically monitored using thin-layer chromatography. The final product was purified by using column chromatography and solvent extraction DCM: H2O (1:1 v/v). The compound was dried under a vacuum (60–80%). All compounds were characterized with 1H NMR, 13C NMR, NOESY, COSY, HMBC, HSQC, IR, UV, and mass spectrometry.
General Procedure for the Synthesis of Phosphonadiamidate Diester Derivatives of TFV (3246). L-Alanine (1 mmol) was protected with di-tert-butyl dicarbonate (1 mmol) and sodium bicarbonate (NaHCO3) (1 mmol). The reaction mixture was refluxed for 3–4 h at 60 °C in H2O/THF (1:1 v/v) (10 mL), and used as a solvent. The reaction progress was monitored with TLC. The yield of the compounds was in the range of 60–70%.
The protected amino acid (1 mmol) reacted with different alcohols (1 mmol) in the presence of thionyl chloride (SOCl2) (1 mmol) and refluxed for 3 h at 70 °C in chloroform to form the protected amino ester. After the reaction was completed, water was added to afford the precipitates. These precipitates were filtered, washed with water, and dried under vacuum (yield 60–70%). The protected amino esters (1 mmol) were deprotected with trifluoracetic acid (TFA) (1 mmol) in the presence of methanol (as a solvent), and the reaction mixture was stirred at 60 °C for 1 h. An oily product was formed. The purification of compounds was achieved by solvent extraction with DCM: H2O (1:1 v/v).
The amino ester (1 mmol) and intermediate compound 26 (1 mmol) were added in chloroform (10 mL) in the presence of thionyl chloride SOCl2 (1 mmol) which was used as a catalyst. The reaction mixture was refluxed for 7–8 h at 65 °C. The final products 3234 were purified using column chromatography and solvent extraction DCM:H2O (1:1 v/v), and dried under vacuum (60–80%).
Intermediate compound 26 (1 mmol), triethylamine (TEA) (0.05 mL), and thionyl chloride (SOCl2) (1 mmol) were taken along with chloroform (10 mL); then, the corresponding alcohol (1 mmol) was added to the reaction flask, followed by further stirring for 1 h at 60 °C. The completion of the reaction was monitored with TLC, and the products were extracted with dichloromethane through solvent extraction with water to form compounds 35, 37, and 38. Pure product 38 (1 mmol) was refluxed with various fatty acids (1 mmol) for 7–8 h at 65 °C. This reaction resulted in good yields of compounds 3646 (60–85%). Intermediate compound 26 (1 mmol) was reacted with ethane diamine (1 mmol) in the presence of DMF as a solvent and thionyl chloride. The reaction mixture was refluxed for 1 h at 60 °C (40–50% yield). All compounds were characterized using 1H NMR, IR, UV, and mass spectrometry. The representative compounds 29, 32, 39, 58, and 65 were further evaluated with 13C NMR. Compounds 28 and 69 were also evaluated using 31P NMR. NOESY, COSY, HMBC, and HSQC were used for compounds 28 and 58.
General Procedure for the Synthesis of Phosphonadiamidate Diester Derivatives of Phenolated TFV (5294). In the reaction flask containing the intermediate compounds 50, 67, 73, 82, and 92 (1 mmol), a few drops of triethylamine (TEA) (0.05 mL) and thionyl chloride (SOCl2) (1 mmol) were added along with chloroform (10 mL); then, the corresponding alcohol (1 mmol) was added, followed by further stirring for 1 h at 60 °C. The progress of the reaction was monitored with TLC, and the products were extracted with dichloromethane through solvent extraction with water. Pure intermediate products were obtained after washing with hexane. The intermediate products (1 mmol) were refluxed with various fatty acids (1 mmol) for 7–8 h at 65 °C. This reaction furnished good yields of the compounds (60–85%). All compounds were characterized using 1H NMR, IR, UV, and mass spectrometry.
P-(((1-(6-Amino-9H-purin-9-yl)propan-2-yl)oxy)methyl)-N-(1-(sec-butoxy)-1-oxopropan-2-yl)phosphonamidic acid (16). Rf = 0.7, m.p: 163–164 °C; 1H NMR (500 MHz, DMSO-d6): δH 8.87 (1H, s, H-3), 8.06 (1H, s, H-8), 7.77 (2H, s, NH2), 5.61 (1H, s, OH), 5.40 (2H, s, H-13), 4.87 (1H, s, NH), 4.69 (2H, d, J10-11 = 9.6 Hz, H-10), 4.00 (1H, m, H-11), 3.73 (1H, m, H-14), 3.10 (1H, m, H-16), 2.24 (1H, m, H-17), 1.83 (6H, d, J12-11, J20-14 = 7.1 Hz, H-20, H-12), 1.13 (3H, d, J19-16 = 6.9 Hz, H-19), 0.94 (3H, t, J-18-17 = 7.5 Hz, H-18). EI-MS m/z (rel. int %): Calcd. Formula [C16H27N6O5P]: 414.2, Found: 414.3 [M]+; IR Umax (KBR): 3667.1 (NH), 2960.9 (OH), 2938.5 (C-H), 2491.6 (O=P-OH), 1662.2 (C=O), 1460.3 (C-O-H bending), 1381.1 (P=O), 1212.1 (O-C) cm−1. UV λmax (log ε) in MeOH: λ230 1.832, λ261 1.744 and λ341 0.787 nm.
P-(((1-(6-Amino-9H-purin-9-yl)propan-2-yl)oxy)methyl)-N-(1-oxo-1-(pentan-2-yloxy)prop-an-2-yl)phosphonamidic acid (17). Rf = 0.7, m.p: 168-170 °C; 1H NMR (500 MHz, DMSO-d6): δH 8.86 (1H, s, H-3), 7.94 (1H, s, H-8), 7.75 (2H, s, NH2), 5.61 (1H, s, OH), 5.40 (2H, s, H-13), 4.83 (1H, s, NH), 4.68 (2H, d, J10-11 = 10.2 Hz, H-10), 4.62 (2H, d, J16-17 = 7.8 Hz, H-16), 3.75 (1H, m, H-11), 3.67 (1H, m, H-14), 3.10 (2H, m, H-17), 2.43 (6H, d, J12-11, J21-14 = 7.9 Hz, H-21, H-12), 2.24 (2H, m, H-18), 1.11 (3H, d, J20-16 = 7.2 Hz, H- 20), 0.86 (3H, t J-19-18 = 4.2 Hz, H-19); IR Umax (KBR): 3416.0 (NH), 2959.1 (OH), 2938.5 (C-H), 2491.6 (O=P-OH), 1648.5 (C=O), 1456.7 (C-O-H bending), 1382.9 (P=O), 1215.5 (O-C) cm−1; UV λmax (log ε) in MeOH: λ214 0.877 and λ261 1.284 nm.
P-(((1-(6-Amino-9H-purin-9-yl)propan-2-yl)oxy)methyl)-N-(1-oxo-1-(pentan-3-yloxy)prop-an-2-yl)phosphonamidic acid (18). Rf = 0.7, m.p: 129–131 °C; 1H NMR (300 MHz, DMSO-d6): δH 8.46 (1H, s, H-3), 7.68 (1H, s, H-8), 7.31 (2H, s, NH2), 5.50 (1H, s, OH), 5.27 (2H, s, H-13), 5.04 (1H, s, NH), 4.59 (2H, d, J10-11 = 11.0 Hz, H-10), 4.09 (1H, m, H-11), 3.92 (1H, m, H-14), 3.58 (1H, m, H-16), 1.97 (3H, d, J12-11 = 5.9 Hz, H- 12), 1.50 (4H, m, H-18, H-20), 1.30 (3H, d, J22-14 = 7.2 Hz, H- 22), 1.08 (6H, t J-19-18, J-21-20 = 7.2 Hz, H-19, H-21); EI-MS m/z (rel. int %): Calcd. Formula [C17H29N6O5P]: 428.2, Found: 427.2 [M-H]+; IR Umax (KBR): 3436.4 (NH), 2955.0 (OH), 2949.3 (C-H), 2493.7 (O=P-OH), 1757.6 (C=O), 1467.1 (C-O-H bending), 1383.5 (P=O), 1242.5 (O-C) cm−1; UV λmax (log ε) in MeOH: λ230 1.919 and λ241 1.451 nm.
P-(((1-(6-Amino-9H-purin-9-yl)propan-2-yl)oxy)methyl)-N-(1-(but-3-en-2-yloxy)-1-oxopro-pan-2-yl)phosphonamidic acid (19). Rf = 0.5, m.p: 132–133 °C; 1H NMR (300 MHz, DMSO-d6): δH 8.60 (1H, s, H-3), 8.45 (1H, s, H-8), 7.83 (2H, s, NH2), 7.18 (3H, m, H-17, H-18), 5.39 (1H, s, OH), 5.26 (2H, s, H-13), 4.61 (2H, d, J10-11 = 11.0 Hz, H-10), 5.43 (1H, s, NH), 3.49 (2H, m, H-11, H-14), 3.58 (1H, m, H-16), 1.97 (3H, d, J12-11 = 5.9 Hz, H- 12), 1.50 (4H, m, H-18, H-20), 1.30 (3H, d, J22-14 = 7.2 Hz, H- 22), 1.08 (6H, t J-19-18, J-21-20 = 7.2 Hz, H-19, H-21); FAB-MS m/z (+ve mode) (rel. int %): Calcd. Formula [C16H25N6O5P] 412.2: Found: 413.2 [M+H]+; IR Umax (KBR): 3462.1 (NH), 2931.2 (OH), 2931.2 (C-H), 2663.8 (O=P-OH), 1629.5 (C=O), 1449.2 (C-O-H bending), 1360.5 (P=O), 1243.3 (O-C) cm−1; UV λmax (log ε) in MeOH: λ 223 1.319 and λ 229 1.308 nm.
P-(((1-(6-Amino-9H-purin-9-yl)propan-2-yl)oxy)methyl)-N-(1-(tert-butoxy)-1-oxopropan-2-yl)phosphonamidic acid (20). Rf = 0.8, m.p: 142–145 °C; 1H NMR (400 MHz, DMSO-d6): δH 8.56 (1H, s, H-3), 8.14 (1H, s, H-8), 7.69 (2H, s, NH2), 5.44 (2H, s, H-13), 5.37 (2H, d, J10-11 = 9.2 Hz, H-10), 5.28 (1H, s, NH), 4.49 (1H, s, OH), 4.06 (1H, m, H-11), 4.18 (1H, m, H-14), 2.18 (3H, d, J12-11 = 11.1 Hz, H- 12), 2.01 (3H, d, J20-14 = 7.6 Hz, H-20), 1.27 (9H, s, H-17, H-18, H-19); EI-MS m/z (rel. int %): Calcd. Formula [C16H27N6O5P]: 414.2, Found: 414.3 [M]+; IR Umax (KBR): 3440.8 (NH), 3329.3 (OH), 2930.0 (C-H), 2492.1 (O=P-OH), 1627.7 (C=O), 1437.5 (C-O-H bending), 1311.4 (P=O), 1242.5 (O-C) cm−1; UV λmax (log ε) in MeOH: λ229 1.296, λ261 1.179, and λ341 0.412 nm.
P-(((1-(6-Amino-9H-purin-9-yl)propan-2-yl)oxy)methyl)-N-(4-methyl-1-(2-methylbutoxy)-1-oxopentan-2-yl)phosphonamidic acid (26). Rf = 0.6, m.p: 170–172 °C; 1H NMR (500 MHz, DMSO-d6): δH 8.48 (1H, s, H-3), 7.83 (1H, s, H-8), 7.52 (2H, s, NH2), 5.26 (1H, s, OH), 5.05 (1H, s, NH), 4.79 (2H, s, H-13), 4.72 (2H, d, J10-11 = 11.7 Hz, H-10), 4.59 (2H, d, J16-17 = 7.8 Hz, H-16), 4.08 (1H, m, H-11), 3.95 (2H, m, H-14, H-22), 3.59 (2H, t J 21-22-14 = 5.1 Hz, H-21), 2.35 (1H, m, H-17), 2.06 (3H, d, J12-11, = 5.7 Hz, H-2), 1.99 (3H, d, J23-22 = 6.0 Hz, H-23), 1.42 (3H, d, J24-22 = 7.2 Hz, H-24), 1.24 (2H, m, H-18), 1.07 (3H, t J-19-18 = 6.9 Hz, H-19), 0.75 (3H, d, J20-17 = 7.2 Hz, H-20); EI-MS m/z (rel. int %): Calcd. Formula [C20H35N6O5P]: 470.2, Found: 470.8 [M]+; IR Umax (KBR): 3399.7 (NH), 2974.1 (OH), 2937.2 (C-H), 2493.7 (O=P-OH), 1699.0 (C=O), 1478.8 (C-O-H bending), 1411.6 (P=O), 1227.7 (O-C) cm−1; UV λmax (log ε) in MeOH: λ207 0.420, λ231 0.725, λ265 0.068 and λ296 0.003 nm.
(E)-P-(((1-(6-Amino-9H-purin-9-yl)propan-2-yl)oxy)methyl)-N-(1-((3,7-dimethylocta-2,6-dien-1-yl)oxy)-4-methyl-1-oxopentan-2-yl)phosphonamidic acid (27). Rf = 0.6, m.p: 122–124 °C; 1H NMR (300 MHz, DMSO-d6): δH 8.56 (1H, s, H-3), 7.73 (1H, s, H-8), 7.09 (2H, s, NH2), 5.42 (1H, t J-17-16-18 = 8.0 Hz, H-17), 5.36 (1H, t J 21-22-20 = 5.6 Hz, H-21), 5.28 (1H, s, OH), 5.23 (2H, s, H-13), 5,20 (2H, d, J10-11 = 9.5 Hz, H-10), 5.18 (1H, s, NH), 5.12 (2H, d, J16-17 = 9.6 Hz, H-16), 4.49 (1H, m, H-11), 4.18 (2H, m, H-14, H-29), 2.59 (2H, d, J26-29 = 7.2 Hz, H-26), 2.19 (4H, d, J19-20, J20-19 = 4.7 Hz, H-19, H-20), 2.07 (3H, s, H-25), 2.04 (3H, d, J12-11 = 5.3 Hz, H- 12), 2.02 (3H, d, J28-29 = 6.3 Hz, H-28), 2.01 (3H, d, J27-29 = 6.9 Hz, H-27), 1.97 (3H, s, H-23), 1.89 (3H, s, H-24); EI-MS m/z (rel. int %): Calcd. Formula [C25H41N6O5P]: 536.3, Found: 536.3 [M]+; IR Umax (KBR): 3328.2 (NH), 2929.4 (OH), 2851.8 (C-H), 2120.2 (O=P-OH), 1627.3 (C=O), 1441.9 (C-O-H bending), 1359.5 (P=O), 1244.1 (O-C) cm−1; UV λmax (log ε) in MeOH: λ 214 1.111, λ230 1.431, λ280 1.222 and λ311 1.120 nm.
P-(((1-(6-Amino-9H-purin-9-yl)propan-2-yl)oxy)methyl)-N-(1-((2-hydroxy-1,3-dioxo-2,3-dihydro-1H-inden-2-yl)oxy)-4-methyl-1-oxopentan-2-yl)phosphonamidic acid (28). Rf = 0.8, m.p: 127–128 °C; 1H NMR (300 MHz, DMSO-d6): δH 8.70 (1H, s, H-3), 8.66 (4H, s, H-19, H-20, H-21, H-22), 8.46 (1H, s, H-8), 7.69 (2H, s, NH2), 5.49 (1H, s, OH), 5.26 (2H, s, H-13), 5.02 (1H, s, OH), 4.66 (1H, s, NH), 4.54 (2H, d, J10-11 = 9.9 Hz, H-10), 4.06 (1H, m, H-11), 3.95 (1H, m, H-14), 1.98 (2H, t J25-26 = 8.8 Hz, H-25), 1.54 (1H, m, H-26), 1.32 (3H, d, J12-11 = 6.9 Hz, H-12), 1.08 (3H, d, J27-26 = 6.9 Hz, H-27), 0.85 (3H, d, J28-26 = 6.9 Hz, H-28); 13C NMR (125 MHz, DMSO-d6): δC 167.0, 166.2, 165.0, 140.6, 144.8, 135.1, 134.1, 131.3, 129.5, 128.9, 127.7, 127.3, 123.7, 69.2, 50.4, 36.6, 66.3, 59.3, 45.3, 18.0, 14.0; ESI-MS m/z (rel. int %): Calcd. Formula [C24H29N6O8P]: 560.2, Found: 560.8 [M]+; IR Umax (KBR): 3440.8 (NH), 3329.6 (OH), 2930.9 (C-H), 2491.1 (O=P-OH), 1628.2 (C=O), 1437.1 (C-O-H bending), 1311.8 (P=O), 1243.2 (O-C) cm−1; UV λmax (log ε) in MeOH: λ230 1.942, λ283 1.992, and λ310 1.844 nm.
13C NMR broad-band decoupled spectrum (DMSO-d6) showed a total of twenty-three carbon signals, including two methyl, three methylene, eight methine, and eight quaternary carbons. Quaternary C-15, C-17, and C-24 of the ester group were the most downfield signals that appeared at δC 167.0, 166.2, and 165.0 ppm, respectively. Methine C-3 and C-8 resonated at δC 145.7 and δC 140.6 ppm, respectively, and were located between the two nitrogen groups. C-1 appeared downfield at δC 144.8 ppm, due to being directly attached to the amino group. Another quaternary C-5 appeared at δC 135.1 ppm. Quaternary C-18 and C-23 resonated at δC 134.1 and δC 131.3 ppm, respectively, because of the proximity of carbonyl groups. Another quaternary C-16 appeared at δC 130.3 ppm. Methine C-19, C-20, C-21, and C-22 resonated at δC 129.5, 128.9, 127.7, and 127.3, respectively. Quaternary C-6 appeared at δC 123.7 ppm. Methine C-11, C-14, and C-26 appeared at δC 69.2, 50.4, and 36.6 ppm, respectively. Methylene C-13, C-10, and C-25 appeared at δC 66.3, 59.3, and 45.3 ppm, respectively. Methyl C-12, C-27, and C-28 appeared at δC 18.0, and 14.0 ppm, respectively.
The structure of the coupling part in the compound was elucidated by 2D NMR. Proton–proton coupling connectivity was found in the HH-COSY spectrum due to H-10, H-11, H12, H-14, H-19, H-20, H-25, H-26, H-27, and H-28. Carbon proton long-range coupling connectivity was observed in the HMBC spectrum. The phase-sensitive NOESY spectrum of the compound showed a strong correlation between H-8, and H-10. The stereo relationship between H-11, and H-12 was also deduced between the two protons. Other clear connectivities from methyl protons H-27, and H-28 to H-26 were also observed. The aromatic protons H-19, and H-22 showed coupling with H-20, and H-21.
Tert-butyl((((1-(6-amino-9H-purin-9-yl)propan-2-yl)oxy)methyl)(((S)-1-butoxy-1-oxopropan-2-yl)amino)phosphoryl)alaninate (32). Rf = 0.8, m.p.: 127–128 °C; 1H-NMR (300 MHz, DMSO-d6): δH 8.57 (1H, s, H-3), 7.24 (1H, s, H-8), 6.99 (2H, s, NH2), 4.95 (2H, s, H-13), 4.36 (2H, d, J10,11 = 9.9 Hz, H-10), 4.32 (2H, s, NH), 4.06 3.91 (2H, t, J21,22 = 8.7 Hz, H-21), 3.77 (1H, s, H-11), 3.77 (1H, s, H-11), 3.77 (1H, s, H-14), 3.77 (1H, s, H-19), 2.39 (9H, s, H-16, H-17, H-18), 2.16 (2H, t, m H-22), 2.11 (2H, m, H-24), 1.83 (6H, d, J12,11 = 7.2 Hz, J20,19 = 6.9 Hz, H-12, H-20), 1.05 (3H, d, J15,14 = 7.3 Hz, H-15), 0.86 (3H, d, J24,23 = 7.3 Hz, H-24), 0.85 (3H, d, J28,26 = 6.9 Hz, H-28); 13C NMR (125 MHz, DMSO-d6): 169.0, 166.2, 164.8, 149.7, 144.9, 141.0, 127.1, 94.3, 89.7, 71.3, 69.2, 66.3, 59.3, 36.6, 20.8, 18.0, 14.0; ESI-MS m/z (rel. int %): Calcd. Formula [C23H40N7O6P]: 541.3, Found: 541.2 [M]+; IR Umax (KBR): 3810.3 (NH), 3411.0 (OH), 2920.4 (C-H), 2099.9 (O=P-OH), 1652.6 (C=O), 1435.1 (C-O-H bending), 1315.3 (P=O), 1223.1 (O-C) cm−1; UV λmax (log ε) in MeOH: λ219 1.233, λ230 1.776, λ270 0.325, λ278 0.268, λ303 0.058 and λ315 0.062 nm.
13C-NMR broad-band decoupled spectrum (DMSO-d6) exhibited a total of eighteen carbon signals, including three methyl, four methylene, five methine, and five quaternary carbons. Quaternary carbons C-15, C-2ʹ, C-5, and C-6 of ester and amine groups were the most downfield signals, appearing at δC 169.0, δC 166.2, δC 164.8, and δC 149.7, respectively. Methine carbon C-3 resonated at δC 144.9, and C-8 at δC 141.0, being present between the two nitrogen groups. C-1 appeared downfield at δC 127.1 due to being directly attached to the -NH2 group. Quaternary carbon C-16 appeared at δC 94.3. Methine carbons C-11, C-14, and C-1ʹ appeared at δC 89.7, δC 50.4, and δC 59.3. Methylene carbons C-10, C-13, and C-3ʹ appeared at δC 66.3, δC 71.3, and δC 69.2. Other methylene carbons C-4′ and C-5′ appeared at δC 36.6. Methyl carbons C-12, C-20, and C-6ʹ appeared at δC 20.8, and δC 18.0. Other methyl carbons, including C-17, C-18, and C-19 appeared at δC 14.0.
Tert-butyl((((1-(6-amino-9H-purin-9-yl)propan-2-yl)oxy)methyl)((1-oxo-1-(pentan-2-yloxy) propan-2-yl)amino)phosphoryl)alaninate (33). Rf = 0.56, m.p: 131–133 °C; 1H NMR (300 MHz, DMSO-d6): δH 8.62 (1H, s, H-3), 8.46 (1H, s, H-8), 7.93 (2H, s, NH2), 5.27 (2H, s, NH), 4.79 (2H, s, H-13), 4.61 (2H, d, J10-11 = 11.7 Hz, H-10), 4.08 (1H, m, H-3ʹ), 3.95 (3H, m, H-11, H-14, H-1ʹ), 3.60 (4H, t J4ʹ-5ʹ, J5ʹ-4ʹ = 5.4 Hz, H-4ʹ, H-5ʹ), 3.16 (6H, d, J12-11, J20-14 = 5.1 Hz, H-20, H-12), 2.48 (6H, d, J7ʹ-1ʹ, J8ʹ-3ʹ = 6.7 Hz, H-6ʹ, H-7ʹ), 2.21 (9H, s, H-17, 18, 19), 1.07 (3H, t, J6ʹ-5ʹ = 7.2 Hz, H-6ʹ); ESI-MS m/z (rel. int %): Calcd. Formula [C24H42N7O6P]: 555.3, Found: 555.3 [M]+; IR Umax (KBR): 3810.3 (NH), 3014.4 (OH), 2934.7 (C-H), 2499.9 (O=P-OH), 1600.0 (C=O), 1410.5 (C-O-H bending), 1302.9 (P=O), 1260.3 (O-C) cm−1. UV λmax (log ε) in MeOH: λ218 1.207, λ230 1.927, λ283 1.950 and λ311 1.801 nm.
Tert-butyl((((1-(6-amino-9H-purin-9-yl)propan-2-yl)oxy)methyl)((1-(4-methoxybutoxy)-1-oxopropan-2-yl)amino)phosphoryl)alaninate (34). Rf = 0.50, m.p: 120–122 °C; 1H NMR (300 MHz, DMSO-d6): δH 8.69 (1H, s, H-3), 8.46 (1H, s, H-8), 8.03 (2H, s, NH2), 5.26 (2H, s, H-13), 4.66 (1H, s, NH), 4.58 (2H, d, J10-11 = 12.6 Hz, H-10), 4.52 (1H, s, NH), 4.08 (3H, m, H-11, H-14, H-1ʹ), 3.89 (1H, m, H-14), 3.95 (4H, m, H-4ʹ, H-5ʹ), 3.85 (1H, s, MeO), 3.59 (4H, t, J3ʹ-4ʹ, J6ʹ-5ʹ = 4.8 Hz, H-3ʹ, H-6ʹ), 2.21 (9H, s, H-17, 18, 19), 1.07 (9H, d, J12-11, J20-14, J6ʹ-1ʹ = 5.1 Hz, H-20, H-12, H-6ʹ); ESI-MS m/z (rel. int %): Calcd. Formula [C24H42N7O7P]: 571.3, Found: 571.7 [M]+; IR Umax (KBR): 3437.9 (NH), 3121.6 (OH), 2918.6 (C-H), 2499.9 (O=P-OH), 1614.8 (C=O), 1467.4 (C-O-H bending), 1386.1 (P=O), 1243.7 (O-C) cm−1; UV λmax (log ε) in MeOH: λ275 1.679 and λ311 1.286 nm.
Tert-butyl((((1-(6-amino-9H-purin-9-yl)propan-2-yl)oxy)methyl)(phenoxy)phosphoryl)ala-ninate (35). Rf = 0.6, m.p: 161–163 °C; 1H NMR (400 MHz, DMSO-d6): δH 8.94 (1H, s, H-3), 8.56 (1H, s, H-8), 8.14 (2H, s, NH2), 7.74 (1H, d, J2ʹ-3ʹ = 7.2 Hz, H-2ʹ), 7.33 (1H, t, J3ʹ-4ʹ-2ʹ = 7.6 Hz, H-3ʹ), 7.18 (1H, t, J5ʹ-6ʹ-4ʹ = 10.4 Hz, H-5ʹ), 7.18 (1H, t J5ʹ-6ʹ-4ʹ = 10.4 Hz, H-5ʹ),7.09 (1H, d, J6ʹ-5ʹ = 7.2 Hz, H-6ʹ), 6.94 (1H, t J4ʹ-5ʹ-3ʹ = 4.0 Hz, H-4ʹ), 5.41 (2H, d, J10-11 = 94.4 Hz, H-10), 5.36 (1H, s, NH), 5.28 (2H, s, H-13), 4.18 (1H, m, H-11), 3.97 (1H, m, H-14), 2.04 (3H, d, J12-11 = 7.0 Hz, H-12), 1.97 (9H, s, H-17, H-18, H-19), 1.88 (3H, d, J20-14 = 8.0 Hz, H- 20); ESI-MS m/z (rel. int %): Calcd. Formula [C22H31N6O5P]: 490.0, Found: 491.9 [M+H]+; IR Umax (KBR): 3534.6 (NH), 3327.5 (OH), 2930.5 (C-H), 2662.6 (O=P-OH), 1628.1 (C=O), 1441.9 (C-O-H bending), 1383.3 (P=O), 1244.2 (O-C) cm−1; UV λmax (log ε) in MeOH: λ229 1.504, λ261 1.391, and λ341 0.507 nm.
Tert-butyl((((1-(6-amino-9H-purin-9-yl)propan-2-yl)oxy)methyl)((2-aminoethyl)amino) phosphoryl)alaninate (36). Rf = 0.56, m.p: 130–131 °C; 1H NMR (300 MHz, DMSO-d6): δH 8.48 (1H, s, H-3), 7.77 (1H, s, H-8), 7.26 (2H, s, NH2), 5.26 (1H, s, H-13), 4.66 (1H, s, NH), 4.60 (2H, d, J10-11 = 10.2 Hz, H-10), 4.53 (1H, s, NH), 4.10 (1H, m, H-11), 3.89 (1H, m, H-14), 3.58 (4H, t J1ʹ-2ʹ, J2ʹ-1ʹ = 4.8 Hz, H-1ʹ, H-2ʹ), 3.47 (2H, s, NH2), 3.16 (3H, d, J12-11 = 5.1 Hz, H-12), 2.33 (3H, s, H-19), 2.22 (6H, s, H-17, 18) 1.11 (3H, d, J20-14 = 4.2 Hz, H-20); ESI-MS m/z (rel. int %): Calcd. Formula [C18H33N8O4P]: 456.2, Found: 456.5; IR Umax (KBR): 3645.5 (NH), 3121.6 (OH), 2941.8 (C-H), 2491.5 (O=P-OH), 1694.4 (C=O), 1476.4 (C-O-H bending), 1322.0 (P=O), 1231.7 (O-C) cm−1; UV λmax (log ε) in MeOH: λ218 1.170, λ230 1.924, λ283 1.942 and λ311 1.790 nm.
Tert-butyl(((1-(6-amino-9H-purin-9-yl)propan-2-yl)oxy)methyl)(naphthalen-1-yloxy)pho-sphoryl)alaninate) (37). Rf = 0.7, m.p: 168–169 °C 1H NMR (300 MHz, DMSO-d6): δH 8.86 (1H, s, H-3), 8.06 (1H, s, H-8), 7.77 (2H, s, NH2), 7.63 (1H, t J3ʹ-4ʹ-2ʹ = 4.2 Hz, H-3ʹ), 7.52 (1H, dd, J2ʹ-3ʹ = 8.1 Hz, J2ʹ-4ʹ = 2.4 Hz, H-2ʹ), 7.44 (1H, t J9ʹ-10ʹ-8ʹ = 4.9 Hz, H-9ʹ), 7.32 (1H, d, J10ʹ-9ʹ = 6.6 Hz, H-10ʹ), 7.22 (1H, d, J8ʹ-7ʹ = 6.3 Hz, H-8ʹ), 7.22 (1H, d, J4ʹ-3ʹ = 6.9 Hz, H-4ʹ), 5.40 (2H, s, H-13), 4.76 (1H, s, NH), 4.61 (2H, d, J10-11 = 4.5 Hz, H-10), 4.00 (1H, m, H-11), 3.70 (1H, m, H-14), 1.27 (9H, s, H-17, H-18, H-19), 1.11 (3H, d, J12-11 = 7.2 Hz, H-12), 0.93 (3H, d, J20-14 = 7.4 Hz, H-20); ESI-MS m/z (rel. int %): Calcd. Formula [C26H33N6O5P]: 540.2, Found: 540.3 [M]+; IR Umax (KBR): 3494.9 (NH), 3355.7 (OH), 2938.1 (C-H), 2490.7 (O=P-OH), 1702.0 (C=O), 1481.2 (C-O-H bending), 1409.5 (P=O), 1233.6 (O-C) cm−1; UV λmax (log ε) in MeOH: λ229 2.306, λ260 2.007, and λ341 1.158 nm.
3-(((((1-(6-Amino-9H-purin-9-yl)propan-2-yl)oxy)methyl)((1-(tert-butoxy)-1-oxopropan-2-yl)amino)phosphoryl)oxy)phenyl stearate (39). Rf = 0.7, m.p: 134–136 °C; 1H NMR (300 MHz, DMSO-d6): δH 8.61 (1H, s, H-3), 8.49 (1H, s, H-8), 7.83 (1H, s, NH), 7.52 (1H, s, NH), 7.29 (2H, d, J6ʹ-2ʹ-4ʹ = 1.5 Hz, H-6ʹ), 7.25 (2H, dd, J2ʹ-3ʹ = 6.3, J2ʹ-4ʹ = 1.2 Hz, H-2ʹ), 7.17 (1H, t J3ʹ-4ʹ-2ʹ = 7.5 Hz, H-3ʹ), 7.01 (1H, dd, J4ʹ-3ʹ = 7.5 Hz, J4ʹ-2ʹ = 1.5 Hz, H-2ʹ), 5.26 (1H, s, NH), 4.79 (2H, s, H-13), 4.60 (2H, d, J10-11 = 11.1 Hz, H-10), 3.99 (2H, m, H-11, H-14), 3.59 (2H, t J9ʹ-10ʹ = 5.1 Hz, H-9ʹ), 3.50 (2H, m, H-10ʹ), 3.47 (9H, s, H- 17, 18, 19), 3.15 (3H, d, J12-11 = 4.2 Hz, H-12), 2.21 (28 H, br-s, H-11ʹ-12ʹ-13ʹ-14ʹ-15ʹ-16ʹ-17ʹ-18ʹ-19ʹ-20ʹ-21ʹ-22ʹ-23ʹ-24ʹ), 1.07 (6H, t J25ʹ-24ʹ, J20-14 = 7.2 Hz, H-20, H-25ʹ); 13C NMR (125 MHz, DMSO-d6): δc 167.0, 166.2, 156.8, 145.7, 145.2, 144.6, 142.0, 130.8, 130.5, 128.9, 127.7, 102.4, 102.1, 69.0, 68.6, 50.4, 66.4, 36.6, 29.0, 28.0, 18.0, 14.0; ESI-MS m/z (rel. int %): Calcd. Formula [C40H65N6O7P]: 772.5, Found: 772.3 [M]+; IR Umax (KBR): 3852.0 (NH), 3418.5 (OH), 2937.0 (C-H), 2491.4 (O=P-OH), 1691.2 (C=O), 1470.5 (C-O-H bending), 1397.6 (P=O), 1214.5 (O-C) cm−1; UV λmax (log ε) in MeOH: λ219 1.380, λ230 1.803, λ282 1.824, and λ311 1.686 nm.
13C-NMR broad-band decoupled spectrum (DMSO-d6) of the compound displayed a total of twenty-six carbon signals, including three methyl, four methylene, ten methine, and nine quaternary carbons. Quaternary carbons C-15 and C-11ʹ of the ester group were the most downfield signals at δC 167.0, and δC 166.2, respectively. C-1 appeared downfield at δC 156.8 due to being directly attached to the -NH2 group. Another quaternary carbon C-5 appeared at δC 145.7. Methine C-3 resonated at δC 145.2, and C-8 at δC 144.6, being present between the two nitrogen groups. Quaternary carbons C-4ʹ, and C-1ʹ directly attached to carbonyl groups resonating at δC 142.0, and δC 130.8, respectively. Quaternary carbons C-6 appeared at δC 130.5. Other quaternary carbons C-5ʹ and C-6ʹ appeared at δC 128.9, and δC 127.7, respectively. Methine carbons C-2ʹ, and C-3ʹresonated at δC 102.4, and δC 102.1, respectively. Quaternary carbons C-16 appeared at δC 69.0. Methine carbons C-11, and C-14 appeared at δC 68.6, and δC 50.4, respectively. Methylene carbons C-13 and C-12ʹ appeared at δC 66.4, and δC 36.6, respectively. Methylene carbons C-13ʹ-C-27ʹ resonated at δC 29.0. Methyl carbons C-17, C-18, and C-19 appeared at δC 28.0, while methyl carbons C-28ʹ, C-12, and C-20 resonated at δC 18.0, and δC 14.0.
3-(((((1-(6-Amino-9H-purin-9-yl)propan-2-yl)oxy)methyl)((1-(tert-butoxy)-1-oxopropan-2-yl)amino)phosphoryl)oxy)phenyl palmitate (40). Rf = 0.5, m.p: 131–135 °C; 1H NMR (300 MHz, DMSO-d6): δH 9.03 (1H, s, H-3), 8.76 (2H, dd, J2ʹ-3ʹ, J4ʹ-3ʹ = 9.3, J2ʹ-4ʹ, J4ʹ-2ʹ= 3.4 Hz, H-2ʹ, H-4ʹ), 8.38 (1H, s, H-8), 7.95 (2H, d, J6ʹ-2ʹ-4ʹ = 2.3 Hz, H-6ʹ), 7.80 (1H, t J3ʹ-4ʹ-2ʹ = 8.7 Hz, H-3ʹ), 7.70 (1H, s, NH2), 4.88 (1H, s, NH), 4.85 (2H, s, H-13), 4.68 (2H, d, J10-11 = 10.8 Hz, H-10), 4.28 (2H, t J9ʹ-10ʹ = 6.0 Hz, H-9ʹ), 3.75 (2H, t J10ʹ-11ʹ = 9.8 Hz, H-10ʹ), 2.73 (2H, m, H-11, H-14), 2.27 (24 H, br-s, H-11ʹ-12ʹ-13ʹ-14ʹ-15ʹ-16ʹ-17ʹ-18ʹ-19ʹ-20ʹ-21ʹ-22ʹ), 1.75 (9H, s, H- 17, 18, 19), 1.23 (6H, d, J12-11, J20-14 = 7.8 Hz, H-12, H-20), 1.01 (3H, t J23ʹ-22ʹ = 5.1 Hz, H-23ʹ); ESI-MS m/z (rel. int %): Calcd. Formula [C38H61N6O7P]: 744.4, Found: 744.6 [M]+; IR Umax (KBR): 3411.9 (NH), 3418.5 (OH), 2939.1 (C-H), 2491.6 (O=P-OH), 1690.8 (C=O), 1471.8 (C-O-H bending), 1399.0 (P=O), 1211.0 (O-C) cm−1; UV λmax (log ε) in MeOH: λ219 1.362, λ230 1.767, λ282 1.769, and λ311 1.628 nm.
3-((((1-(6-Amino-9H-purin-9-yl)propan-2-yl)oxy)methyl)((1-(tert-butoxy)-1-oxopropan-2-yl)amino)phosphoryl)phenyl oleate (41). Rf = 0.54, m.p: 119–121 °C; 1H NMR (300 MHz, DMSO-d6): δH 8.68 (1H, s, H-3), 8.64 (1H, s, H-8), 7.69 (2H, s, NH2), 7.50 (1H, t J5ʹ-4ʹ-6ʹ = 7.8 Hz, H-5ʹ), 7.36 (1H, dd, J4ʹ-5ʹ = 8.1, J4ʹ-6ʹ = 1.8, H-5ʹ), 7.27 (1H, dd, J6ʹ-5ʹ = 7.5, J6ʹ-4ʹ = 1.5, H-4ʹ), 7.11 (1H, d, J2ʹ-6ʹ-4ʹ = 1.8 Hz, H-2ʹ), 5.26 (2H, s, H-13), 5.02 (1H, s, NH), 4.59 (2H, m, H-15ʹ, H-16ʹ), 4.35 (2H, d, J10-11 = 7.8 Hz, H-10), 3.95 (2H, m, H-11, H-14), 3.59 (2H, t J8ʹ-9ʹ = 5.1 Hz, H-8ʹ), 3.47 (26 H, br-s, H-10ʹ-11ʹ-12ʹ-13ʹ-14ʹ-17ʹ-18ʹ-19ʹ-20ʹ-21ʹ-22ʹ-23ʹ), 2.21 (9H, s, H- 17, 18, 19), 1.54 (2H, m, H-9ʹ), 1.32 (6H, d, J12-11, J20-14 = 6.9 Hz, H-12, H-20), 1.07 (3H, t J24ʹ-23ʹ = 7.2 Hz, H-24ʹ); ESI-MS m/z (rel. int %): Calcd. Formula [C41H65N6O7P]: 784.5, Found: 784.7 [M]+; IR Umax (KBR): 3411.9 (NH), 3328.3 (OH), 2931.4 (C-H), 2120.1 (O=P-OH), 1629.2 (C=O), 1449.1 (C-O-H bending), 1362.7 (P=O), 1243.7 (O-C) cm−1; UV λmax (log ε) in MeOH: λ210 0.596, λ220 0.696, λ230 1.065, λ278 0.520, and λ310 0.418 nm.
4-(((((1-(6-Amino-9H-purin-9-yl)propan-2-yl)oxy)methyl)((1-(tert-butoxy)-1-oxopropan-2-yl)amino)phosphoryl)oxy)phenyl 11-azidoundecanoate (42). Rf = 0.64, m.p: 142–145 °C; 1H NMR (300 MHz, DMSO-d6): δH 8.79 (1H, s, H-3), 8.45 (1H, s, H-8), 7.90 (2H, d, J2ʹ-3ʹ, J6ʹ-5ʹ = 7.5 Hz, H-2ʹ, H-6ʹ), 7.81 (2H, s, NH2), 7.60 (2H, d, J3ʹ-2ʹ, J5ʹ-6ʹ = 7.8 Hz, H-3ʹ, H-5ʹ), 5.26 (2H, s, H-13), 4.66 (1H, s, NH), 4.54 (2H, d, J10-11 = 10.2 Hz, H-10), 4.05 (2H, m, H-11, H-14), 3.60 (2H, t J8ʹ-9ʹ = 4.8 Hz, H-9ʹ), 2.19 (16 H, br-s, H-9ʹ-10ʹ-11ʹ-12ʹ-13ʹ-14ʹ-15ʹ-16ʹ), 1.97 (9H, s, H- 17, 18, 19), 1.18 (2H, t J17ʹ-16ʹ = 7.2 Hz, H-17ʹ), 1.07 (3H, d, J12-11 = 9.9 Hz, H-12), 0.85 (3H, d, J20-14 = 8.6 Hz, H-20); ESI-MS m/z (rel. int %): Calcd. Formula [C33H50N9O7P]: 715.4, Found: 715.3 [M]+; IR Umax (KBR): 3899.9 (NH), 3232.9 (OH), 2872.5 (C-H), 2017.0 (O=P-OH), 1651.0 (C=O), 1445.7 (C-O-H bending), 1387.7 (P=O), 1297.6 (O-C) cm−1; UV λmax (log ε) in MeOH: λ 219 1.606, λ230 2.193, λ284 2.343 and λ310 2.091 nm.
4-(((((1-(6-Amino-9H-purin-9-yl)propan-2-yl)oxy)methyl)((1-(tert-butoxy)-1-oxopropan-2-yl)amino)phosphoryl)oxy)phenyl palmitate (43). Rf = 0.7, m.p: 146–149 °C; 1H NMR (400 MHz, DMSO-d6): δH 8.65 (2H, s, H-3, H-8), 8.44 (2H, s, NH2), 7.87 (2H, d, J2ʹ-3ʹ, J6ʹ-5ʹ = 8.4 Hz, H-2ʹ, H-6ʹ), 7.53 (2H, d, J3ʹ-2ʹ, J5ʹ-6ʹ = 8.4 Hz, H-3ʹ, H-5ʹ), 5.26 (2H, s, H-13), 4.65 (1H, s, NH), 4.58 (2H, d, J10-11 = 9.2 Hz, H-10), 4.07 (2H, m, H-11, H-14), 3.92 (2H, m, H-9ʹ), 3.59 (2H, t J8ʹ-9ʹ = 5.2 Hz, H-8ʹ), 3.47 (9H, s, H- 17, 18, 19), 3.15 (6H, d, J12-11, J20-14 = 5.2 Hz, H-12, H-20), 2.20 (24 H, br-s, H-10ʹ-11ʹ-12ʹ-13ʹ-14ʹ-15ʹ-16ʹ-17ʹ-18ʹ-19ʹ-20ʹ-21ʹ), 1.07 (3H, t J22ʹ-21ʹ = 7.2 Hz, H-22ʹ); ESI-MS m/z (rel. int %): Calcd. Formula [C38H61N6O7P]: 744.4, Found: 744.3 [M]+; IR Umax (KBR): 3414.2 (NH), 3355.7 (OH), 2934.2 (C-H), 2492.2 (O=P-OH), 1698.8 (C=O), 1478.9 (C-O-H bending), 1411.9 (P=O), 1231.9 (O-C) cm−1.; UV λmax (log ε) in MeOH: λ218 1.066, and λ261 1.558 nm.
4-(((((1-(6-Amino-9H-purin-9-yl)propan-2-yl)oxy)methyl)((1-(tert-butoxy)-1-oxopropan-2-yl)amino)phosphoryl)oxy)phenyl stearate (44). Rf = 0.7, m.p: 168–170 °C; 1H NMR (400 MHz, DMSO-d6): δH 8.79 (1H, s, H-3), 8.45 (2H, s, NH2), 7.90 (2H, d, J2ʹ-3ʹ, J6ʹ-5ʹ = 7.5 Hz, H-2ʹ, H-6ʹ), 7.80 (1H, s, H-8), 7.62 (2H, d, J3ʹ-2ʹ, J5ʹ-6ʹ = 8.1 Hz, H-3ʹ, H-5ʹ), 5.26 (2H, s, H-13), 4.66 (1H, s, NH), 4.59 (2H, d, J10-11 = 11.2 Hz, H-10), 3.94 (2H, m, H-11, H-14), 3.60 (2H, t J8ʹ-9ʹ = 4.8 Hz, H-8ʹ), 3.52 (2H, m, H-9ʹ), 3.47 (9H, s, H- 17, 18, 19), 3.15 (6H, d, J12-11, J20-14 = 4.2 Hz, H-12, H-20), 2.19 (28 H, br-s, H-10ʹ-11ʹ-12ʹ-13ʹ-14ʹ-15ʹ-16ʹ-17ʹ-18ʹ-19ʹ-20ʹ-21ʹ-22ʹ-23ʹ), 1.07 (3H, t J24ʹ-23ʹ = 6.9 Hz, H-24ʹ); ESI-MS m/z (rel. int %): Calcd. Formula [C40H65N6O7P]: 772.5, Found: 772.2 [M]+; IR Umax (KBR): 3734.4 (NH), 3371.9 (OH), 2939.4 (C-H), 2491.9 (O=P-OH), 1698.9 (C=O), 1479.2 (C-O-H bending), 1411.6 (P=O), 1231.5 (O-C) cm−1; UV λmax (log ε) in MeOH: λ213 1.042, λ230 1.536, λ279 0.951, and λ311 0.833 nm.
4-(((((1-(6-Amino-9H-purin-9-yl)propan-2-yl)oxy)methyl)((1-(tert-butoxy)-1-oxopropan-2-yl)amino)phosphoryl)oxy)phenyl oleate (45). Rf = 0.53, m.p: 165–167 °C; 1H NMR (300 MHz, DMSO-d6): δH 8.68 (1H, s, H-3), 8.44 (1H, s, H-8), 7.70 (2H, s, NH2), 7.63 (2H, d, J2ʹ-3ʹ, J6ʹ-5ʹ,= 10.0 Hz, H-2ʹ, H-6ʹ), 7.38 (2H, d, J3ʹ-2ʹ, J5ʹ-6ʹ = 10.0 Hz, H-3ʹ, H-5ʹ), 5.25 (2H, s, H-13), 4.74 (2H, m, H-15ʹ, H-16ʹ), 4.69 (1H, s, NH), 4.63 (2H, d, J10-11 = 9.8 Hz, H-10), 3.93 (2H, m, H-11, H-14), 3.59 (2H, t J8ʹ-9ʹ = 5.1 Hz, H-8ʹ), 3.47 (16 H, br-s, H-9ʹ-10ʹ-11ʹ-12ʹ-13ʹ-14ʹ-17ʹ-18ʹ), 2.20 (16 H, br-s, H-19ʹ-20ʹ-21ʹ-22ʹ-23ʹ), 1.21 (9H, s, H- 17, 18, 19), 1.07 (6H, d, J12-11, J20-14 = 9.9 Hz, H-12, H-20), 0.77 (3H, t, J24ʹ-23ʹ = 7.2 Hz, H-24ʹ); ESI-MS m/z (rel. int %): Calcd. Formula [C41H65N6O7P]: 784.5, Found: 784.9 [M]+; IR Umax (KBR): 3899.9 (NH), 3418.7 (OH), 2973.2 (C-H), 2017.0 (O=P-OH), 1644.3 (C=O), 1457.8 (C-O-H bending), 1387.8 (P=O), 1216.8 (O-C) cm−1; UV λmax (log ε) in MeOH: λ217 0.959, λ220 0.968, λ230 1.407, λ280 1.259, and λ311 1.095 nm.
3-(((((1-(6-Amino-9H-purin-9-yl)propan-2-yl)oxy)methyl)((1-(tert-butoxy)-1-oxopropan-2-yl)amin-o)phosphoryl)oxy)phenyl 11-azidoundecanoate (46). Rf = 0.69, m.p: 183–184 °C; 1H NMR (300 MHz, DMSO-d6): δH 8.74 (1H, s, H-3), 8.47 (1H, s, H-8), 7.79 (2H, s, NH2), 7.29 (1H, d, J6ʹ-2ʹ-4ʹ = 1.5 Hz, H-6ʹ), 7.18 (1H, t J3ʹ-4ʹ-2ʹ = 7.5 Hz, H-3ʹ), 7.09 (2H, dd, J2ʹ-3ʹ, J4ʹ-3ʹ = 7.5 Hz, J2ʹ-6ʹ, J4ʹ-6ʹ = 1.5 Hz, H-2ʹ, H-4ʹ), 5.25 (2H, s, H-13), 4.63 (2H, d, J10-11 = 9.8 Hz, H-10), 4.51 (1H, s, NH), 3.94 (2H, m, H-11, H-14), 3.59 (2H, t J9ʹ-10ʹ = 5.1 Hz, H-9ʹ), 2.22 (16 H, br-s, H-10ʹ-11ʹ-12ʹ-13ʹ-14ʹ-15ʹ-16ʹ-17ʹ), 2.05 (9H, s, H- 17, 18, 19), 1.28 (2H, t J18ʹ-17ʹ = 7.2 Hz, H-18ʹ), 1.09 (3H, d, J12-11 = 9.8 Hz, H-12), 0.89 (3H, d, J20-14 = 9.8 Hz, H-20); ESI-MS m/z (rel. int %): Calcd. Formula [C33H50N9O7P]: 715.4, Found: 715.6 [M]+; IR Umax (KBR): 3769.3 (NH), 3411.4 (OH), 2932.2 (C-H), 2490.9 (O=P-OH), 1700.6 (C=O), 1480.0 (C-O-H bending), 1409.7 (P=O), 1234.1 (O-C) cm−1; UV λmax (log ε) in MeOH: λ220 1.573, λ230 2.154, λ285 2.691 and λ299 2.473 nm.
Pentan-2-yl((((1-(6-amino-9H-purin-9-yl)propan-2-yl)oxy)methyl)((4-hydroxynaphthalen-1-yl)oxy)phosphoryl)alaninate (52). Rf = 0.55, m.p: 130–132 °C; 1H NMR (400 MHz, DMSO-d6): δH 8.61 (1H, s, OH), 8.44 (2H, s, NH2), 7.85 (1H, d, J2ʹ-3ʹ = 7.1 Hz, H-2ʹ), 7.71 (1H, s, H-3), 7.53 (1H, d, J3ʹ-2ʹ = 7.4 Hz, H-3ʹ), 7.54 (1H, s, H-8), 7.27 (2H, dd, J7ʹ-8ʹ J10ʹ-9ʹ = 9.1 Hz, J7ʹ-8ʹ J10ʹ-9ʹ = 1.9 Hz, H-7ʹ, H-10ʹ), 7.17 (1H, d, J8ʹ-9ʹ = 8.2 Hz, H-8ʹ), 7.08 (1H, d, J9ʹ-8ʹ = 7.4 Hz, H-9ʹ), 5.26 (2H, s, H-13), 4.56 (1H, s, NH), 4.55 (2H, d, J10-11 = 6.5 Hz, H-10), 4.08 (1H, m, H-16), 3.94 (2H, m, H-11, H-14), 1.84 (3H, d, J12-11 = 6.7 Hz, H-12), 1.91 (6H, d, J20-16, J21-14 = 7.6 Hz, H-20, H-21), 1.07 (3H, t J19-18 = 7.4 Hz, H-19) 0.84 (4H, m, H-17, H-18); ESI-MS m/z (rel. int %): Calcd. Formula [C27H35N6O6P]: 570.2, Found: 570.5 [M]+; IR Umax (KBR): 3785.0 (NH), 3234.1 (OH), 2873.2 (C-H), 2452.0 (O=P-OH), 1651.0 (C=O), 1445.9 (C-O-H bending), 1388.4 (P=O), 1297.7 (O-C) cm−1; UV λmax (log ε) in MeOH: λ230 1.979, λ284 2.232 and λ310 2.041 nm.
Pentan-2-yl((((1-(6-amino-9H-purin-9-yl)propan-2-yl)oxy)methyl)(4-hydroxyphenoxy)pho-sphoryl)alaninate (53). Rf = 0.76, m.p: 138–141 °C; 1H NMR (400 MHz, DMSO-d6): δH 8.48 (1H, s, H-3), 7.74 (1H, s, H-8), 7.29 (2H, s, NH2), 7.18 (2H, d, J2ʹ-3ʹ, J6ʹ-5ʹ= 7.4 Hz, H-2ʹ-6ʹ), 7.08 (2H, d, J3ʹ-2ʹ, J5ʹ-6ʹ = 7.1 Hz, H-3ʹ-5ʹ), 5.49 (1H, s, OH), 5.26 (2H, s, H-13), 5.03 (1H, s, NH), 4.59 (2H, d, J10-11 = 6.5 Hz, H-10), 4.09 (1H, m, H-16), 3.95 (2H, m, H-11, H-14), 1.24 (4H, m, H-17, H-18), 1.06 (9H, d, J12-11, J20-16, J21-14 = 7.1 Hz, H-12, H-20, H-21), 0.86 (3H, t J19-18 = 7.2 Hz, H-19); ESI-MS m/z (rel. int %): Calcd. Formula [C23H33N6O6P]: 520.2, Found: 520.6 [M]+; IR Umax (KBR): 3656.2 (NH), 3233.9 (OH), 3038.4 (C-H), 2452.5 (O=P-OH), 1607.5 (C=O), 1487.1 (C-O-H bending), 1348.4 (P=O), 1224.0 (O-C) cm−1; UV λmax (log ε) in MeOH: λ230 2.243, λ243 2.082 and λ286 2.414 nm.
Pentan-2-yl((((1-(6-amino-9H-purin-9-yl)propan-2-yl)oxy)methyl)(3-hydroxyphenoxy)pho-sphoryl)alaninate (54). Rf = 0.6, m.p: 113–115 °C; 1H NMR (300 MHz, DMSO-d6): δH 8.65 (1H, s, H-3), 8.46 (1H, s, H-8), 7.29 (2H, s, NH2), 7.46 (1H, t J3ʹ-4ʹ-2ʹ = 7.1 Hz, H-3ʹ), 7.28 (1H, dd, J2ʹ-3ʹ = 6.8 Hz, J2ʹ-6ʹ = 2.0 Hz, H-2ʹ), 7.22 (1H, d, J6ʹ-2ʹ-4ʹ = 1.8 Hz, H-6ʹ), 7.10 (1H, dd, J4ʹ-3ʹ = 7.2 Hz, J4ʹ-6ʹ = 2.0 Hz, H-2ʹ), 5.26 (1H, s, OH), 4.79 (2H, s, H-13), 4.67 (1H, s, NH), 4.55 (2H, d, J10-11 = 7.2 Hz, H-10), 3.95 (3H, m, H-11, H-14, H-16), 1.06 (9H, d, J12-11, J20-16, J21-14 = 7.4 Hz, H-12, H-20, H-21), 1.07 (3H, t J19-18 = 7.6 Hz, H-19), 0.81 (4H, m, H-17, H-18); ESI-MS m/z (rel. int %): Calcd. Formula [C23H33N6O6P]: 520.2, Found: 520.1 [M]+; IR Umax (KBR): 3893.1 (NH), 3661.1 (OH), 3038.3 (C-H), 2452.5 (O=P-OH), 1607.3 (C=O), 1487.0 (C-O-H bending), 1348.2 (P=O), 1223.8 (O-C) cm−1; UV λmax (log ε) in MeOH: λ230 1.984, λ284 2.247 and λ309 2.051 nm.
4-(((((1-(6-Amino-9H-purin-9-yl)propan-2-yl)oxy)methyl)((1-oxo-1-(pentan-2-yloxy)propan-2-yl)amino)phosphoryl)oxy)naphthalen-1-yl oleate (56). Rf = 0.58, m.p: 130–133 °C; 1H NMR (400 MHz, DMSO-d6): δH 8.56 (1H, s, H-3), 8.46 (1H, s, H-8), 7.93 (2H, s, NH2), 7.81 (1H, d, J2ʹ-3ʹ = 7.5 Hz, H-2ʹ), 7.57 (1H, d, J1ʹ-2ʹ = 7.5 Hz, H-1ʹ), 7.46 (1H, t J9ʹ-8ʹ = 7.3 Hz, H-9ʹ), 7.28 (1H, dd, J7ʹ-8ʹ = 6.7 Hz, J7ʹ-9ʹ = 2.0 Hz, H-7ʹ), 7.18 (1H, t J8ʹ-9ʹ = 7.6 Hz, H-8ʹ), 7.10 (1H, dd, J10ʹ-9ʹ = 6.9 Hz, J10ʹ-8ʹ = 2.1 Hz, H-10ʹ), 5.27 (2H, s, H-19ʹ, H-20ʹ), 4.79 (2H, s, H-13), 4.56 (2H, d, J10-11 = 7.5 Hz, H-10), 4.07 (1H, m, H-16), 3.97 (2H, m, H-11, H-14), 3.60 (2H, t J12ʹ-13ʹ = 6.3 Hz, H-12ʹ), 2.21 (26 H, br-s, H-13ʹ-14ʹ-15ʹ-16ʹ-17ʹ-18ʹ-21ʹ-22ʹ-23ʹ-24ʹ-25ʹ-26ʹ-27ʹ), 1.28 (4H, m, H-17, H-18). 1.23 (9H, d, J11-12, J20-16, J21-14 = 7.4 Hz, H-11, H-20, H-21), 0.89 (3H, t J19-18 = 7.3 Hz, H-19), 0.77 (3H, t J28ʹ-27ʹ = 7.0 Hz, H-28ʹ); ESI-MS m/z (rel. int %): Calcd. Formula [C45H67N6O7P]: 834.5, Found: 834.2 [M]+; IR Umax (KBR): 3787.8 (NH), 3433.9 (OH), 2951.5 (C-H), 2483.5 (O=P-OH), 1695.4 (C=O), 1444.9 (C-O-H bending), 1378.9 (P=O), 1219.2 (O-C) cm−1; UV λmax (log ε) in MeOH: λ230 2.269, λ248 2.089 and λ286 2.451 nm.
4-(((((1-(6-Amino-9H-purin-9-yl)propan-2-yl)oxy)methyl)((1-oxo-1-(pentan-2-loxy)propan-2-yl)amino)phosphoryl)oxy)naphthalen-1-yl 11-azidoundecanoate (57). Rf = 0.8, Mp: 180–182 °C; 1H NMR (400 MHz, DMSO-d6): δH 8.56 (1H, s, H-3), 8.46 (1H, s, H-8), 7.93 (2H, s, NH2), 7.81 (1H, d, J2ʹ-3ʹ = 7.5 Hz, H-2ʹ), 7.57 (1H, d, J1ʹ-2ʹ = 7.5 Hz, H-1ʹ), 7.46 (1H, t J9ʹ-8ʹ = 7.3 Hz, H-9ʹ), 7.28 (1H, dd, J7ʹ-8ʹ = 6.7 Hz, J7ʹ-9ʹ = 2.0 Hz, H-7ʹ), 7.18 (1H, t J8ʹ-9ʹ = 7.6 Hz, H-8ʹ), 7.10 (1H, dd, J10ʹ-9ʹ = 6.9 Hz, J10ʹ-8ʹ = 2.1 Hz, H-10ʹ), 5.27 (2H, s, H-19ʹ, H-20ʹ), 4.79 (2H, s, H-13), 4.56 (2H, d, J10-11 = 7.5 Hz, H-10), 4.07 (1H, m, H-16), 3.97 (2H, m, H-11, H-14), 3.60 (2H, t J12ʹ-13ʹ = 6.3 Hz, H-12ʹ), 2.21 (26 H, br-s, H-13ʹ-14ʹ-15ʹ-16ʹ-17ʹ-18ʹ-21ʹ-22ʹ-23ʹ-24ʹ-25ʹ-26ʹ-27ʹ), 1.28 (4H, m, H-17, H-18), 1.23 (9H, d, J11-12, J20-16, J21-14 = 7.4 Hz, H-11, H-20, H-21), 0.89 (3H, t J19-18 = 7.3 Hz, H-19), 0.77 (3H, t J28ʹ-27ʹ = 7.0 Hz, H-28ʹ); ESI-MS m/z (rel. int %): Calcd. Formula [C38H54N9O7P]: 779.4, Found: 778.3 [M-H]+; IR Umax (KBR): 3787.8 (NH), 3433.9 (OH), 2979.3 (C-H), 2484.5 (O=P-OH), 1734.2 (C=O), 1486.9 (C-O-H bending), 1368.1 (P=O), 1257.9 (O-C) cm−1; UV λmax (log ε) in MeOH: λ230 1.577, λ281 1.470 and λ311 1.358 nm.
4-(((((1-(6-Amino-9H-purin-9-yl)propan-2-yl)oxy)methyl)((1-oxo-1-(pentan-2-yloxy)propan-2-yl)amino)phosphoryl)oxy)phenyl palmitate (58). Rf = 0.58, m.p: 110–112 °C; 1H NMR (400 MHz, DMSO-d6): δH 8.46 (1H, s, H-3), 7.74 (1H, s, H-8), 7.65 (2H, d, J2ʹ-3ʹ, J6ʹ-5ʹ = 6.8 Hz, H-2ʹ, H-6ʹ), 7.30 (2H, d, J3ʹ-2ʹ, J5ʹ-6ʹ = 7.2 Hz, H-3ʹ-5ʹ), 7.23 (2H, s, NH2), 5.27 (2H, s, H-13), 4.65 (2H, d, J10-11 = 7.4 Hz, H-10), 4.53 (1H, s, NH), 3.96 (3H, m, H-11, H-14, H-16), 3.58 (2H, t J9ʹ-10ʹ = 8.3 Hz, H-9ʹ)), 2.22 (26 H, br-s, H-10ʹ-11ʹ-12ʹ-13ʹ-14ʹ-15ʹ-16ʹ-17ʹ-18ʹ-19ʹ-20ʹ-21ʹ-22ʹ), 1.21 (4H, m, H-17, H-18), 1.07 (9H, d, J12-11, J20-16, J21-14 = 7.6 Hz, H-11, H-20, H-21), 0.86 (6H, t J19-18, J23ʹ-22ʹ = 8.0 Hz, H-19, H-23ʹ); 13C NMR (125 MHz, DMSO-d6): 167.0, 166.2, 159.1, 145.7, 135.7, 130.9, 129.3, 128.9, 127.7, 127.3, 119.3, 112.3, 117.0, 69.2, 66.3, 59.3, 55.2, 50.4, 36.6, 34.6, 29.0, 18.0, 14.0; ESI-MS m/z (rel. int %): Calcd. Formula [C39H63N6O7P]: 758.5, Found: 758.2 [M]+; IR Umax (KBR): 3856.6 (NH), 3657.5 (OH), 3059.8 (C-H), 2365.9 (O=P-OH), 1696.1 (C=O), 1443.6 (C-O-H bending), 1379.7 (P=O), 1219.7 (O-C) cm−1; UV λmax (log ε) in MeOH: λ230 1.510, λ281 1.416 and λ311 1.311 nm.
13C NMR broad-band decoupled spectrum (DMSO-d6) showed a total of twenty-three carbon signals, including two methyl, five methylene, nine methine, and seven quaternary carbons. Quaternary C-7ʹ, C-15 of ester, and the amine group were the most downfield signals that appeared at δC 167.0 ppm and δC 166.2 ppm, respectively. Methine C-3 resonated at δC 145.7 ppm and C-8 at δC 135.7 ppm, being present between the two nitrogen groups. C-1 appeared downfield at δC 159.1 ppm due to being directly attached to the -NH2 group. Another quaternary C-5 appeared at δC 130.9 ppm. Methine C-6ʹ and C-2ʹ appeared at δC 129.3 ppm and δC 128.9 ppm. Another methine C-3ʹ and C-5ʹ appeared at δC 127.7 ppm and δC 127.3 ppm. Quaternary C-1ʹ and C-4ʹ resonated at δC 119.3 ppm and δC 112.3 ppm directly attached to the carbonyl group. Another quaternary C-6 appeared at δC 117.0 ppm. Methine C-11, C-14, and C-16 appeared at δC 69.2 ppm, 55.2, and 50.4 ppm. Methylene C-13, C-10, and C-9ʹ appeared at δC 66.3 ppm, δC 59.3 ppm, and δC 36.6 ppm. Other methylene C-17 and C-18 resonated at δC 34.6 ppm. Methylene C-10ʹ-C-22ʹ was observed at δC 29.0 ppm. Methyl C-12, C-19, C-20, C-21, and C-23ʹ appeared at δC 18.0 ppm and δC 14.0 ppm.
The structure of the coupling part in the compound was elucidated by 2D NMR. Proton–proton coupling connectivity occurred due to H-8′, H-9′, H-10, H-11, H12, H-14, H-20, H-12′, H-25, H-26, H-27, and H-28 being found in the HH-COSY spectrum and carbon–proton long-range coupling connectivity in the HMBC spectrum. The phase-sensitive NOESY spectrum of the compound showed a strong correlation between H-8 and H-10. The stereo relationship between H-11 and H-12 was also deduced between the two protons. Other clear connectivities were observed from the methyl protons H-27 and H-28 to H-26. The aromatic protons H-9′ and H-8′ also showed coupling with H-7′ and H-10.
4-(((((1-(6-Amino-9H-purin-9-yl)propan-2-yl)oxy)methyl)((1-oxo-1-(pentan-2-yloxy)propan-2-yl)amino)phosphoryl)oxy)phenyl oleate (59). Rf = 0.62, m.p: 150–152 °C; 1H NMR (400 MHz, DMSO-d6): δH 8.60 (1H, s, H-3), 8.45 (1H, s, H-8), 7.84 (2H, d, J2ʹ-3ʹ, J6ʹ-5ʹ= 8.0 Hz, H-2ʹ-6ʹ), 7.51 (2H, d, J3ʹ-2ʹ, J5ʹ-6ʹ= 7.6 Hz, H-3ʹ-5ʹ), 7.28 (2H, s, NH2), 5.26 (2H, s, H-13), 4.79 (2H, s, H-15ʹ, H-16ʹ), 4.53 (1H, s, NH), 4.55 (2H, d, J10-11 = 7.1 Hz, H-10), 3.94 (3H, m, H-11, H-14, H-16), 3.59 (4H, t J8ʹ-9ʹ J9ʹ-10ʹ = 8.0 Hz, H-8ʹ-9ʹ)), 2.21 (24 H, br-s, H-10ʹ-11ʹ-12ʹ-13ʹ-14ʹ-17ʹ-18ʹ-19ʹ-20ʹ-21ʹ-22ʹ-23ʹ), 1.23 (4H, m, H-17, H-18), 1.06 (9H, d, J12-11, J20-16, J21-14 = 7.0 Hz, H-11, H-20, H-21), 0.89 (6H, t J19-18, J24ʹ-23ʹ = 7.9 Hz, H-19, H-24ʹ); ESI-MS m/z (rel. int %): Calcd. Formula [C41H65N6O7P]: 784.5, Found: 784.1 [M]+; IR Umax (KBR): 3894.3 (NH), 3655.8 (OH), 2997.1 (C-H), 2365.2 (O=P-OH), 1645.4 (C=O), 1442.7 (C-O-H bending), 1379.6 (P=O), 1258.3 (O-C) cm−1; UV λmax (log ε) in MeOH: λ230 2.364, λ242 2.112, λ286 2.741 and λ296 2.639 nm.
4-(((((1-(6-Amino-9H-purin-9-yl)propan-2-yl)oxy)methyl)((1-oxo-1-(pentan-2-yloxy)propan-2-yl)amino)phosphoryl)oxy)phenyl 11-azidoundecanoate (60). Rf = 0.68, m.p: 133–135 °C; 1H NMR (400 MHz, DMSO-d6): δH 8.61 (1H, s, H-3), 8.48 (1H, s, H-8), 7.86 (2H, d, J2ʹ-3ʹ, J6ʹ-5ʹ= 7.5 Hz, H-2ʹ-6ʹ), 7.51 (2H, d, J3ʹ-2ʹ, J5ʹ-6ʹ= 7.5 Hz, H-3ʹ-5ʹ), 7.29 (2H, s, NH2), 5.26 (1H, s, NH), 4.79 (2H, s, H-13), 4.59 (2H, d, J10-11 = 7.0 Hz, H-10), 3.95 (3H, m, H-11, H-14, H-16), 3.59 (2H, t J9ʹ-10ʹ = 8.1 Hz, H-8ʹ), 2.21 (18 H, br-s, H-10ʹ-11ʹ-12ʹ-13ʹ-14ʹ-15ʹ-16ʹ-17ʹ-18ʹ), 1.34 (4H, m, H-17, H-18), 1.07 (9H, d, J12-11, J20-16, J21-14 = 7.5 Hz, H-11, H-20, H-21), 0.76 (3H, t J19-18 = 7.1 Hz, H-19); ESI-MS m/z (rel. int %): Calcd. Formula [C34H52N9O7P]: 729.4, Found: 730.1 [M+H]+; IR Umax (KBR): 3898.9 (NH), 3655.1 (OH), 2976.2 (C-H), 1775.1 (O=P-OH), 1599.6 (C=O), 1409.8 (C-O-H bending), 1302.1 (P=O), 1260.0 (O-C) cm−1; UV λmax (log ε) in MeOH: λ230 2.422, λ242 2.188, λ286 2.834 and λ297 2.703 nm.
3-(((((1-(6-Amino-9H-purin-9-yl)propan-2-yl)oxy)methyl)((1-oxo-1-(pentan-2-yloxy)propan-2-yl)amino)phosphoryl)oxy)phenyl stearate (61). Rf = 0.59, m.p: 140–142 °C; 1H NMR (400 MHz, DMSO-d6): δH 8.46 (1H, s, H-3), 7.74 (1H, s, H-8), 7.62 (2H, s, NH2), 7.30 (1H, dd, J2ʹ-3ʹ = 7.9 Hz, J2ʹ-4ʹ= 1.8 Hz, H-2ʹ), 7.23 (1H, d, J6ʹ-5ʹ= 1.8 Hz, H-6ʹ), 7.19 (1H, t J3ʹ-4ʹ-2ʹ = 7.3 Hz, H-3ʹ), 7.11 (1H, dd, J4ʹ-3ʹ = 8.3 Hz, J4ʹ-2ʹ= 1.6 Hz, H-4ʹ), 5.27 (2H, s, H-13), 4.65 (2H, d, J10-11 = 7.3 Hz, H-10), 4.53 (1H, s, NH), 3.96 (3H, m, H-11, H-14, H-16), 3.58 (2H, t J9ʹ-10ʹ = 8.5 Hz, H-9ʹ), 2.22 (30 H, br-s, H-10ʹ-11ʹ-12ʹ-13ʹ-14ʹ-15ʹ-16ʹ-17ʹ-18ʹ-19ʹ-20ʹ-21ʹ-22ʹ-23ʹ-24ʹ), 1.27 (4H, m, H-17, H-18), 1.06 (9H, d, J12-11, J20-16, J21-14 = 7.0 Hz, H-11, H-20, H-21), 0.86 (6H, t J19-18, J25ʹ-24ʹ = 7.9 Hz, H-19, H-25ʹ); ESI-MS m/z (rel. int %): Calcd. Formula [C41H67N6O7P]: 786.5, Found: 786.2 [M]+; IR Umax (KBR): 3892.2 (NH), 3656.8 (OH), 3036.9 (C-H), 2363.4 (O=P-OH), 1607.6 (C=O), 1538.6 (C-O-H bending), 1348.3 (P=O), 1224.0 (O-C) cm−1; UV λmax (log ε) in MeOH: λ230 2.299, λ243 2.093 and λ287 2.439 nm.
3-(((((1-(6-Amino-9H-purin-9-yl)propan-2-yl)oxy)methyl)((1-oxo-1-(pentan-2-yloxy)propan -2-yl)amino)phosphoryl)oxy)phenyl oleate (62). Rf = 0.67, m.p: 131–133 °C; 1H NMR (400 MHz, DMSO-d6): δH 8.58 (1H, s, H-3), 8.46 (1H, s, H-8), 7.44 (2H, s, NH2), 7.28 (2H, dd, J4ʹ-3ʹ, J6ʹ-5ʹ = 7.6 Hz, J4ʹ-5ʹ, J4ʹ-6ʹ= 2.0 Hz, H-4ʹ-6ʹ), 7.18 (1H, t J5ʹ-4ʹ-6ʹ = 8.0 Hz, H-5ʹ), 7.12 (1H, d, J2ʹ-4ʹ = 2.1 Hz, H-2ʹ), 5.26 (2H, s, H-15ʹ, H-16ʹ), 4.66 (1H, s, NH), 4.57 (2H, d, J10-11 = 8.0 Hz, H-10), 4.10 (1H, m, H-16), 3.95 (2H, m, H-11, H-14), 3.77 (2H, s, H-13), 3.59 (2H, t J8ʹ-9ʹ = 8.4 Hz, H-8ʹ), 2.20 (26 H, br-s, H-9ʹ-10ʹ-11ʹ-12ʹ-13ʹ-14ʹ-17ʹ-18ʹ-19ʹ-20ʹ-21ʹ-22ʹ-23ʹ), 1.27 (4H, m, H-17, H-18), 1.06 (9H, d, J12-11, J20-16, J21-14 = 7.0 Hz, H-11, H-20, H-21), 0.86 (6H, t J19-18, J24ʹ-23ʹ = 7.5 Hz, H-19, H-24ʹ); ESI-MS m/z (rel. int %): Calcd. Formula [C41H65N6O7P]: 784.5, Found: 785.1 [M+H]+; IR Umax (KBR): 3892.6 (NH), 3679.0 (OH), 2977.6 (C-H), 2479.8 (O=P-OH), 1584.6 (C=O), 1484.6 (C-O-H bending), 1366.7 (P=O), 1257.7 (O-C) cm−1; UV λmax (log ε) in MeOH: λ230 2.404, λ242 2.209 and λ285 2.802 nm.
3-(((((1-(6-Amino-9H-purin-9-yl)propan-2-yl)oxy)methyl)((1-oxo-1-(pentan-2-yloxy)propan-2-yl)amino)phosphoryl)oxy)phenyl 11-azidoundecanoate (63). Rf = 0.71, m.p: 117–119 °C; 1H NMR (300 MHz, DMSO-d6): δH 8.61 (1H, s, H-3), 8.48 (1H, s, H-8), 7.86 (2H, s, NH2), 7.29 (1H, d, J6ʹ-2ʹ-4ʹ = 2.0 Hz, H-6ʹ), 7.28 (1H, dd, J2ʹ-3ʹ = 7.0 Hz, J2ʹ-4ʹ = 2.1 Hz, H-2ʹ), 7.18 (1H, t J3ʹ-4ʹ-6ʹ = 7.0 Hz, H-3ʹ), 7.10 (1H, dd, J4ʹ-3ʹ = 7.3 Hz, J4ʹ-2ʹ = 2.0 Hz, H-2ʹ), 5.26 (1H, s, NH), 4.79 (2H, s, H-13), 4.59 (2H, d, J10-11 = 7.0 Hz, H-10), 3.95 (3H, m, H-11, H-14, H-16), 3.59 (2H, t J9ʹ-10ʹ = 8.0 Hz, H-9ʹ), 2.21 (26 H, br-s, H-10ʹ-11ʹ-12ʹ-13ʹ-14ʹ-15ʹ-16ʹ-17ʹ-18ʹ), 1.27 (4H, m, H-17, H-18), 1.06 (9H, d, J12-11, J20-16, J21-14 = 7.4 Hz, H-11, H-20, H-21), 0.86 (3H, t J19-18 = 7.0 Hz, H-19); ESI-MS m/z (rel. int %): Calcd. Formula [C34H52N9O7P]: 729.4, Found: 729.1 [M]+; IR Umax (KBR): 3656.0 (NH), 3232.4 (OH), 2872.6 (C-H), 2363.9 (O=P-OH), 1651.2 (C=O), 1445.9 (C-O-H bending), 1387.9 (P=O), 1298.0 (O-C) cm−1; UV λmax (log ε) in MeOH: λ230 2.404, λ242 2.209 and λ285 2.802 nm.
4-(((((1-(6-Amino-9H-purin-9-yl)propan-2-yl)oxy)methyl)((1-(heptan-3-yloxy)-1-oxopropan-2-yl)amino)phosphoryl)oxy)naphthalen-1-yl oleate (69). Rf = 0.69, m.p: 129–131 °C; 1H NMR (300 MHz, DMSO-d6): δH 8.75 (1H, s, H-3), 8.56 (1H, s, H-8), 7.93 (2H, s, NH2), 7.82 (1H, d, J2ʹ-3ʹ = 7.0 Hz, H-2ʹ), 7.68 (1H, d, J3ʹ-2ʹ = 7.3 Hz, H-3ʹ), 7.56 (1H, t J8ʹ-9ʹ-7ʹ = 7.3 Hz, H-8ʹ), 7.38 (1H, dd, J7ʹ-8ʹ = 7.4 Hz, J7ʹ-9ʹ = 2.1 Hz, H-7ʹ), 7.28 (1H, t J9ʹ-8ʹ-10ʹ = 7.3 Hz, H-9ʹ), 7.20 (1H, dd, J10ʹ-9ʹ = 7.2 Hz, J10ʹ-8ʹ = 2.1 Hz, H-10ʹ), 5.37 (2H, s, H-19ʹ, H-20ʹ), 4.89 (2H, s, H-13), 4.77 (1H, s, NH), 4.65 (2H, d, J10-11 = 7.3 Hz, H-10), 4.17 (1H, m, H-11), 3.95 (2H, m, H-14, H-16), 3.70 (2H, t J12ʹ-13ʹ = 7.1 Hz, H-12ʹ), 2.31 (30 H, br-s, H-13ʹ-14ʹ-15ʹ-16ʹ-17ʹ-18ʹ-21ʹ-22ʹ-23ʹ-24ʹ-25ʹ-26ʹ-27ʹ-18-19), 1.36 (4H, m, H-17, H-21) 1.16 (6H, d, J12-11, J23-14 = 7.0 Hz, H-12, H-23), 0.89 (6H, t J20-19, J22-21 = 7.0 Hz, H-20, H-22), 0.77 (3H, t J27ʹ-26ʹ = 7.3 Hz, H-27ʹ); ESI-MS m/z (rel. int %): Calcd. Formula [C47H71N6O7P]: 862.5, Found: 862.7 [M]+; IR Umax (KBR): 3700.7 (NH), 3223.1 (OH), 2997.6 (C-H), 2360.5 (O=P-OH), 1695.5 (C=O), 1443.9 (C-O-H bending), 1324.6 (P=O), 1219.1 (O-C) cm−1; UV λmax (log ε) in MeOH: λ230 1.571, λ279 1.265, and λ311 1.098 nm.
3-(((((1-(6-Amino-9H-purin-9-yl)propan-2-yl)oxy)methyl)((1-butoxy-1-oxopropan-2-yl)ami-no)phosphoryl)oxy)phenyl palmitate (75). Rf = 0.55, m.p: 123–125 °C; 1H NMR (300 MHz, DMSO-d6): δH 8.62 (1H, s, H-3), 8.47 (1H, s, H-8), 7.87 (2H, s, NH2), 7.26 (2H, dd, J2ʹ-3ʹ, J4ʹ-3ʹ = 7.4 Hz, J2ʹ-4ʹ, J4ʹ-2ʹ = 2.1 Hz, H-2ʹ, H-4ʹ), 7.19 (1H, t J3ʹ-4ʹ-2ʹ = 7.5 Hz, H-3ʹ), 7.10 (1H, d, J6ʹ-4ʹ-2ʹ = 2.0 Hz, H-6ʹ), 5.39 (1H, s, NH), 5.28 (2H, s, H-13), 4.81 (2H, d, J10-11 = 7.4 Hz, H-10), 4.63 (2H, t J16-17 = 8.4 Hz, H-16), 3.96 (2H, m, H-11, H-14), 3.59 (2H, t J9ʹ-10ʹ = 8.4 Hz, H-9ʹ), 2.20 (26 H, br-s, H-10ʹ-11ʹ-12ʹ-13ʹ-14ʹ-15ʹ-16ʹ-17ʹ-18ʹ-19ʹ-20ʹ-21ʹ-22ʹ), 1.26 (4H, m, H-17, H-18), 1.08 (6H, d, J12-11, J20-14 = 7.0 Hz, H-12, H-20), 1.07 (6H, t J19-18, J23ʹ-22ʹ = 7.7 Hz, H-19, H-23ʹ); ESI-MS m/z (rel. int %): Calcd. Formula [C38H61N6O7P]: 744.4, Found: 743.8 [M-H]+; IR Umax (KBR): 3749.4 (NH), 3210.2 (OH), 2937.8 (C-H), 2492.3 (O=P-OH), 1611.4 (C=O), 1479.7 (C-O-H bending), 1411.0 (P=O), 1233.1 (O-C) cm−1; UV λmax (log ε) in MeOH: λ231 2.145, λ269 2.314, and λ311 1.090 nm.
3-(((((1-(6-Amino-9H-purin-9-yl)propan-2-yl)oxy)methyl)((1-butoxy-1-oxopropan-2-yl)ami-no)phosphoryl)oxy)phenyl 11-azidoundecanoate (76). Rf = 0.63, m.p: 108–110 °C; 1H NMR (300 MHz, DMSO-d6): δH 8.70 (1H, s, H-3), 8.43 (1H, s, H-8), 8.01 (2H, s, NH2), 7.41 (1H, t J3ʹ-4ʹ-2ʹ = 7.5 Hz, H-3ʹ), 7.26 (1H, dd, J2ʹ-3ʹ = 7.4 Hz, J2ʹ-4ʹ = 2.0 Hz, H-2ʹ), 7.15 (1H, dd, J4ʹ-3ʹ = 7.0 Hz, J4ʹ-2ʹ = 2.3 Hz, H-4ʹ), 7.10 (1H, d, J6ʹ-4ʹ-2ʹ = 2.0 Hz, H-6ʹ), 4.24 (2H, s, H-13), 4.80 (2H, s, H-18ʹ), 4.58 (2H, d, J10-11 = 7.4 Hz, H-10), 4.41 (1H, s, NH), 3.93 (2H, m, H-11, H-14), 3.57 (2H, t J16-17 = 7.9 Hz, H-16), 3.47 (2H, t J9ʹ-10ʹ = 7.0 Hz, H-9ʹ), 2.40 (4H, m, H-17, H-18), 2.20 (16 H, br-s, H-10ʹ-11ʹ-12ʹ-13ʹ-14ʹ-15ʹ-16ʹ-17ʹ), 1.05 (6H, d, J12-11, J20-14 = 7.0 Hz, H-12, H-20), 0.87 (6H, t J19-18 = 7.0 Hz, H-19); ESI-MS m/z (rel. int %): Calcd. Formula [C33H50N9O7P]: 715.4, Found:715.9 [M]+; IR Umax (KBR): 3620.4 (NH), 3333.9 (OH), 2915.2 (C-H), 2339.1 (O=P-OH), 1751.5 (C=O), 1533.6 (C-O-H bending), 1386.1 (P=O), 1189.7 (O-C) cm−1; UV λmax (log ε) in MeOH: λ232 2.161, and λ293 2.388 nm.
4-(((((1-(6-Amino-9H-purin-9-yl)propan-2-yl)oxy)methyl)((1-butoxy-1-oxopropan-2-yl)ami-no)phosphoryl)oxy)naphthalen-1-yl oleate (77). Rf = 0.76, m.p: 128–129 °C; 1H NMR (300 MHz, DMSO-d6): δH 8.64 (1H, s, H-3), 8.46 (1H, s, H-8), 7.93 (2H, s, NH2), 7.82 (1H, d, J2ʹ-3ʹ = 7.0 Hz, H-2ʹ), 7.53 (1H, d, J3ʹ-2ʹ = 7.0 Hz, H-3ʹ), 7.46 (1H, t J9ʹ-8ʹ-10ʹ = 7.0 Hz, H -9ʹ), 7.27 (1H, dd, J7ʹ-8ʹ = 7.0 Hz, J7ʹ-9ʹ = 2.0 Hz, H-7ʹ), 7.18 (1H, t J8ʹ-9ʹ-7ʹ = 7.3 Hz, H -8ʹ), 7.10 (1H, dd, J10ʹ-9ʹ = 7.2 Hz, J10ʹ-8ʹ = 2.0 Hz, H-10ʹ), 5.27 (2H, s, H-19ʹ, H-20ʹ), 5.09 (1H, s, NH), 4.79 (2H, s, H-13), 4.61 (2H, d, J10-11 = 7.5 Hz, H-10), 4.08 (2H, t J16-17 = 8.2 Hz, H-16), 3.96 (2H, m, H-11, H-14), 3.60 (2H, t J12ʹ-13ʹ = 7.4 Hz, H-12ʹ), 2.21 (26 H, br-s, H-13ʹ-14ʹ-15ʹ-16ʹ-17ʹ-18ʹ-21ʹ-22ʹ-23ʹ-24ʹ-25ʹ-26ʹ-27ʹ), 1.27 (4H, m, H-17, H-18), 1.06 (6H, d, J12-11, J20-14 = 6.9 Hz, H-12, H-20), 0.89 (6H, t J19-18, J28ʹ-27ʹ = 7.0 Hz, H-19, H-28ʹ); ESI-MS m/z (rel. int %): Calcd. Formula [C44H65N6O7P]: 820.5, Found: 820.5 [M]+; IR Umax (KBR): 3453.0 (NH), 3326.2 (OH), 2873.5 (C-H), 1875.1 (O=P-OH), 1651.3 (C=O), 1446.2 (C-O-H bending), 1388.4 (P=O), 1298.6 (O-C) cm-1; UV λmax (log ε) in MeOH: λ230 1.488, λ262 0.395, and λ307 0.090 nm.
3-(((((1-(6-Amino-9H-purin-9-yl)propan-2-yl)oxy)methyl)((1-butoxy-3-methyl-1-oxobutan-2-yl)amino)phosphoryl)oxy)phenyl oleate (84). Rf = 0.63, m.p: 131–135 °C; 1H NMR (300 MHz, DMSO-d6): δH 8.72 (1H, s, H-3), 8.45 (1H, s, H-8), 8.03 (2H, s, NH2), 7.43 (1H, t J5ʹ-4ʹ-6ʹ = 7.0 Hz, H-5ʹ), 7.26 (1H, dd, J6ʹ-5ʹ = 7.0 Hz, J6ʹ-4ʹ = 2.1 Hz, H-6ʹ), 7.17 (1H, dd, J4ʹ-5ʹ = 7.5 Hz, J4ʹ-6ʹ = 2.0 Hz, H-4ʹ), 7.11 (1H, d, J2ʹ-6ʹ-4ʹ = 2.1 Hz, H-2ʹ), 5.26 (2H, s, H-15ʹ, H-16ʹ), 4.80 (2H, s, H-13), 4.60 (2H, d, J10-11 = 7.0 Hz, H-10), 4.43 (1H, s, NH), 4.08 (1H, m, H-11), 3.95 (2H, m, H-14, H-20), 3.59 (2H, t J16-17 = 7.0 Hz, H-16), 3.49 (2H, t J8ʹ-9ʹ = 7.0 Hz, H-8ʹ), 2.40 (4H, m, H-17, H-18), 2.21 (26 H, br-s, H-9ʹ-10ʹ-11ʹ-12ʹ-13ʹ-14ʹ-17ʹ-18ʹ-19ʹ-20ʹ-21ʹ-22ʹ-23ʹ), 1.07 (9H, d, J12-11, J21-20, J22-20 = 7.0 Hz, H-11, H-21, H-22), 0.89 (6H, t J19-18, J24ʹ-23ʹ = 7.4 Hz, H-19, H-24ʹ); ESI-MS m/z (rel. int %): Calcd. Formula [C42H67N6O7P]: 798.5, Found: 798.8 [M]+; IR Umax (KBR): 3679.2 (NH), 3109.4 (OH), 2973.5 (C-H), 2493.6 (O=P-OH), 1696.4 (C=O), 1481.1 (C-O-H bending), 1408.0 (P=O), 1236.4 (O-C) cm−1; UV λmax (log ε) in MeOH: λ230 1.586, λ279 1.173 and λ310 0.851 nm.
4-(((((1-(6-Amino-9H-purin-9-yl)propan-2-yl)oxy)methyl)((1-butoxy-3-methyl-1-oxobutan-2-yl)amino)phosphoryl)oxy)phenyl oleate (85). Rf = 0.76, m.p: 163–165 °C; 1H NMR (300 MHz, DMSO-d6): δH 8.64 (1H, s, H-3), 8.46 (1H, s, H-8), 7.93 (2H, s, NH2), 7.83 (2H, d, J2ʹ-3ʹ, J6ʹ-5ʹ = 7.0 Hz, H-2ʹ-6ʹ), 7.58 (2H, d, J3ʹ-2ʹ, J5ʹ-6ʹ = 7.4 Hz, H-3ʹ-5ʹ), 5.27 (2H, s, H-15, H-16ʹ), 4.79 (2H, s, H-13), 4.60 (2H, d, J10-11 = 7.4 Hz, H-10), 4.37 (1H, s, NH), 4.08 (2H, m, H-16), 3.95 (2H, m, H-14, H-20), 3.60 (2H, t J8ʹ-9ʹ = 6.8 Hz, H-9ʹ), 3.50 (1H, m, H-11), 2.21 (26 H, br-s, H-9ʹ-10ʹ-11ʹ-12ʹ-13ʹ-14ʹ-17ʹ-18ʹ-19ʹ-20ʹ-21ʹ-22ʹ-23ʹ), 1.26 (4H, m, H-17, H-18), 1.06 (9H, d, J12-11, J21-20, J22-20 = 7.0 Hz, H-11, H-21, H-22), 0.89 (6H, t J19-18, J24ʹ-23ʹ = 7.5 Hz, H-19,H-23ʹ); 13C NMR (125 MHz, DMSO-d6): δc 167.0, 166.4, 166.2, 145.7, 145.3, 144.9, 141.0, 131.5, 131.0, 130.9, 128.9, 128.7, 127.3, 127.1, 69.3, 66.3, 59.3, 50.4, 36.6, 29.0, 27.0, 20.8, 18.0, 14.0; ESI-MS m/z (rel. int %): Calcd. Formula [C42H67N6O7P]: 798.5, Found: 798.5 [M]+; IR Umax (KBR): 3453.0 (NH), 3326.2 (OH), 2873.5 (C-H), 1875.1 (O=P-OH), 1651.3 (C=O), 1446.2 (C-O-H bending), 1388.4 (P=O), 1298.6 (O-C) cm−1; UV λmax (log ε) in MeOH: λ231 2.040, and λ294 2.295 nm.
13C-NMR broad-band decoupled spectrum (DMSO-d6) displayed a total of twenty-six carbon signals, including three methyl, six methylene, ten methine, and seven quaternary carbons. Quaternary carbons C-7ʹ, C-15, and C-6 of the ester and amine groups were the most downfield signals that appeared at δC 167.0, δC 166.4, and δC 166.2, respectively. Methine carbons C-3 resonated at δC 145.7, and C-8 at δC 131.5, being present between the two nitrogen groups. C-1 appeared downfield at δC 144.9 due to being directly attached to the -NH2 group. Another quaternary carbon C-5 appeared at δC 145.3. The quaternary carbons C-3ʹ and C-6ʹ resonated at δC 141.0 which directly attached to the carbonyl group. Methine carbons C-15ʹ, and C-16ʹ appeared at δC 131.0, and δC 130.9. Methine carbons C-1ʹ, and C-5ʹ appeared at δC 128.9 and δC 128.7, respectively. C-4ʹ, and C-2ʹ appeared at δC 127.3, and δC 127.1. Methine carbons C-11, C-14, and C-15 appeared at δC 69.3, and δC 50.4. Methylene carbons C-13, C-10, C-16, and C-8ʹ appeared at δC 66.3, δC 59.3, and δC 36.6. Other methylene carbons C-17-C-18 resonated at δC 36.6. Methylene carbons C-9ʹ-C-14ʹ, and C-17ʹ-C-23ʹ showed at δC 29.0, and δC 27.0. Methyl carbons C-12, C-21, and C-22 appeared at δC 20.8, and δC 18.0, respectively. Other methyl carbons, C-24ʹ and C-19 were obtained at δC 14.0.
4-(((((1-(6-Amino-9H-purin-9-yl)propan-2-yl)oxy)methyl)((1-butoxy-3-methyl-1-oxobutan-2-yl)amino)phosphoryl)oxy)phenyl 11-azidoundecanoate (86). Rf = 0.63, m.p: 121–128 °C; 1H NMR (300 MHz, DMSO-d6): δH 8.63 (1H, s, H-3), 8.47 (1H, s, H-8), 7.93 (2H, s, NH2), 7.82 (2H, d, J2ʹ-3ʹ, J6ʹ-5ʹ = 7.5 Hz, H-2ʹ-6ʹ), 7.59 (2H, d, J3ʹ-2ʹ, J5ʹ-6ʹ = 7.0 Hz, H-3ʹ-5ʹ), 5.27 (1H, s, NH), 4.79 (2H, s, H-13), 4.61 (2H, d, J10-11 = 7.1 Hz, H-10), 3.96 (2H, m, H-14, H-20), 3.61 (2H, t J16-17 = 7.0 Hz, H-16), 3.52 (2H, t J9ʹ-10ʹ = 7.0 Hz, H-9ʹ), 2.41 (1H, m, H-11), 2.21 (18 H, br-s, H-10ʹ-11ʹ-12ʹ-13ʹ-14ʹ-15ʹ-16ʹ-17ʹ-18ʹ), 1.35 (4H, m, H-17, H-18), 1.07 (9H, d, J12-11, J21-20, J22-20 = 7.0 Hz, H-11, H-21, H-22), 0.89 (3H, t J19-18 = 7.0 Hz, H-19); ESI-MS m/z (rel. int %): Calcd. Formula [C35H54N9O7P]: 743.4, Found: 744.6 [M+H]+; IR Umax (KBR): 3453.0 (NH), 3232.2 (OH), 2823.8 (C-H), 1875.1 (O=P-OH), 1650.9 (C=O), 1446.5 (C-O-H bending), 1388.9 (P=O), 1298.9 (O-C) cm−1; UV λmax (log ε) in MeOH: λ230 1.504, and λ361 0.466 nm.
4-(((((1-(6-Amino-9H-purin-9-yl)propan-2-yl)oxy)methyl)((1-butoxy-3-methyl-1-oxobutan-2-yl)amino)phosphoryl)oxy)naphthalen-1-yl oleate (87). Rf = 0.83, m.p: 110–113 °C; 1H NMR (300 MHz, DMSO-d6): δH 8.64 (1H, s, H-3), 8.46 (1H, s, H-8), 7.93 (2H, s, NH2), 7.82 (1H, d, J2ʹ-1ʹ = 7.0 Hz, H-2ʹ), 7.58 (1H, d, J1ʹ-2ʹ = 7.3 Hz, H-1ʹ), 7.46 (1H, t J9ʹ-8ʹ-10ʹ = 8.0 Hz, H-9ʹ), 7.28 (1H, dd, J7ʹ-8ʹ = 7.7 Hz, J7ʹ-9ʹ = 2.1 Hz, H-7ʹ), 7.18 (1H, t J8ʹ-9ʹ-7ʹ = 8.0 Hz, H-8ʹ), 7.10 (1H, dd, J10ʹ-9ʹ = 7.7 Hz, J10ʹ-8ʹ = 2.4 Hz, H-10ʹ), 5.27 (2H, s, H-19ʹ, H-20ʹ), 5.08 (1H, s, NH), 4.79 (2H, s, H-13), 4.60 (2H, d, J10-11 = 7.6 Hz, H-10), 4.08 (2H, t J16-17 = 8.0 Hz, H-16), 3.95 (2H, m, H-14, H-20), 3.60 (2H, t J12ʹ-13ʹ = 7.6 Hz, H-12ʹ), 2.40 (1H, m, H-11), 2.20 (26 H, br-s, H-13ʹ-14ʹ-15ʹ-16ʹ-17ʹ-18ʹ-21ʹ-22ʹ-23ʹ-24ʹ-25ʹ-26ʹ-27ʹ), 1.26 (4H, m, H-17, H-18), 1.06 (9H, d, J12-11, J21-20, J22-20 = 7.5 Hz, H-12, H-21, H-22), 0.89 (6H, t J19-18, J28ʹ-27ʹ = 7.3 Hz, H-19 -28ʹ); ESI-MS m/z (rel. int %): Calcd. Formula [C46H69N6O7P]: 848.5, Found: 848.1 [M]+; IR Umax (KBR): 3665.6 (NH), 3204.8 (OH), 2938.1 (C-H), 2492.0 (O=P-OH), 1699.8 (C=O), 1480.3 (C-O-H bending), 1234.0 (P=O), 1170.4 (O-C) cm−1; UV λmax (log ε) in MeOH: λ231 2.111, and λ292 2.368 nm.
Butyl((((1-(6-amino-9H-purin-9-yl)propan-2-yl)oxy)methyl)((4-hydroxynaphthalen-1-l)oxy) phosphoryl)glycinate (93). Rf = 0.56, m.p: 112–115 °C; 1H NMR (300 MHz, DMSO-d6): δH 10.83 (1H, s, OH), 8.64 (1H, s, H-3), 8.47 (1H, s, H-8), 7.60 (2H, s, NH2), 7.30 (2H, dd, J7ʹ-8ʹ J10ʹ-9ʹ = 7.5 Hz, J7ʹ-8ʹ J10ʹ-9ʹ = 1.2 Hz, H-7ʹ, H-10ʹ), 7.19 (2H, t J8ʹ-9ʹ, J9ʹ-8ʹ = 7.5 Hz, H-8ʹ, H-9ʹ), 7.08 (2H, d, J2ʹ-3ʹ J3ʹ-2ʹ = 7.5 Hz, H-3ʹ, H-5ʹ), 5.50 (1H, s, NH), 5.27 (2H, s, H-13), 4.89 (2H, d, J10-11 = 9.9 Hz, H-10), 4.57 (2H, t J16-17 = 8.5 Hz, H-16), 3.96 (1H, m, H-11), 3.69 (2H, s, H-14), 1.26 (4H, m, H-17, H-18), 1.07 (3H, d, J12-11 = 6.7 Hz, H-12), 0.81 (3H, t J19-18 = 7.5 Hz, H-19); ESI-MS m/z (rel. int %): Calcd. Formula [C25H31N6O6P]: 542.2, Found: 542.5 [M]+; IR Umax (KBR): 3766.2 (NH), 3484.1 (OH), 2978.0 (C-H), 2481.1 (O=P-OH), 1732.2 (C=O), 1486.2 (C-O-H bending), 1336.4 (P=O), 1257.8 (O-C) cm−1; UV λmax (log ε) in MeOH: λ230 1.322 and λ269 0.148 nm.
4-(((((1-(6-Amino-9H-purin-9-yl)propan-2-yl)oxy)methyl)((2-butoxy-2-oxoethyl)amino)pho- sphoryl)oxy)phenyloleate (94). Rf = 0.63, m.p: 160–163 °C; 1H NMR (300 MHz, DMSO-d6): δH 8.64 (1H, s, H-3), 8.46 (1H, s, H-8), 7.93 (2H, s, NH2), 7.81 (2H, d, J6ʹ-5ʹ J2ʹ-3ʹ = 8.0 Hz, H-2ʹ, H-6ʹ), 7.58 (2H, d, J5ʹ-6ʹ J3ʹ-2ʹ = 7.2 Hz, H-3ʹ, H-5ʹ), 5.27 (2H, s, H-13), 4.79 (2H, s, H-15ʹ, H-16ʹ), 4.60 (2H, d, J10-11 = 11.2 Hz, H-10), 4.37 (1H, s, NH), 4.08 (2H, t J16-17 = 8.0 Hz, H-16), 3.95 (1H, m, H-11), 3.60 (2H, t J8ʹ-9ʹ = 7.2 Hz, H-8ʹ), 3.47 (2H, s, H-14), 2.21 (26 H, br-s, H-9ʹ-10ʹ-11ʹ-12ʹ-13ʹ-14ʹ-17ʹ-18ʹ-19ʹ-20ʹ-21ʹ-22ʹ-23ʹ), 1.28 (4H, m, H-17, H-18), 1.06 (3H, d, J12-11 = 7.8 Hz, H-12), 0.89 (6H, t J19-18, J24ʹ-23ʹ= 7.8 Hz, H-19, H-24ʹ); ESI-MS m/z (rel. int %): Calcd. Formula [C39H61N6O7P]: 756.4, Found: 756.9 [M]+; IR Umax (KBR): 3766.2 (NH), 3484.7 (OH), 2970.4 (C-H), 2495.5 (O=P-OH), 1664.4 (C=O), 1486.5 (C-O-H bending), 1369.6 (P=O), 1272.4 (O-C) cm−1; UV λmax (log ε) in MeOH: λ230 1.572, λ281 1.505 and λ311 1.373 nm.
Isopropyl(phenoxy((((S)-1-(6-tetradecanamido-9H-purin-9-yl)propan-2-yl)oxy)methyl)phosphoryl)-L-alaninate (95). Compound 95 was obtained by the reaction of (9, 9.3 mg, 2 mmol) with myristoyl chloride (1.5 mmol) using DIPEA in 5 mL of (DMF/DCM 1:1) for 24 h. The compound was purified by silica gel column chromatography. Yield (5.23 mg, 55.7%, colorless solid). 1H NMR (400 MHz, CDCl3): δH 8.89-8.73 (1H, br-s, NHCO), 8.70 (1H, s, H-3 of purine ring), 8.24 (1H, s, H-8 of purine ring), 7.23 (2H, t, J3ʹ-2ʹ, J5ʹ-6ʹ = 8.0 Hz, H-3ʹand H-5ʹ of phenoxy ring), 7.11 (1H, t, J4ʹ-3ʹ, J4ʹ-5ʹ = 7.2 and 7.6 Hz, H-4ʹ of phenoxy ring), 7.00 (2H, d, J2ʹ-3ʹ, J6ʹ-5ʹ = 8.8 Hz, H-2ʹ and H-6ʹ of phenoxy ring), 5.03-4.94 (1H, m, CH of propan-2-yl moiety), 4.44 (1H, dd, J =2.8, 14 Hz, CH2 of propan-2-yl moiety), 4.18 (1H, dd, J = 8.0 and 7.6 Hz, CH2 of propan-2-yl moiety), 3.99 (2H, m, NH of alanine moiety and CH of propyloxy group), 3.67 (2H, m, CH2 of methane group), 2.83 (2H, t, J =7.2 Hz, α-CH2 of the myristoyl moiety), 1.67-1.57 (2 H, m, β-CH2 of myristoyl moiety), 1.29- 1.22 (32 H, m, CH3 of propyloxy, CH3 of alanine moiety and 2 CH3 groups of the isopropyl moiety, and 10 CH2 of the myristoyl moiety), 0.87 (3H, t Jʹ = 6.8 Hz, CH3 of myristoyl moiety); 13C NMR (101 MHz, CDCl3): δ 174.39, 173.12, 172.86, 152.53, 151.43, 149.99, 149.06, 143.77, 129.74, 125.01, 120.24, 69.26, 65.36, 63.81, 51.46, 49.85, 48.60, 37.93, 34.13, 31.93, 29.65, 29.52, 29.44, 29.37, 29.27, 29.16, 24.92, 22.70, 21.73, 21.58, 16.47, 14.14.; ESI-MS m/z (rel. int %): Calcd. Formula [C35H55N6O6P]: 686.4, Found: 687.4 [M+H]+.
Isopropyl(((((S)-1-(6-(12-azidododecanamido)-9H-purin-9-yl)propan-2-yl)oxy)methyl)(phenoxy)phosphoryl)-L-alaninate (96). Compound 96 was obtained by the reaction of TAF (9, 9.3 mg, 2 mmol) with 12-azidododecanoic acid (1.5 mmol) using HOAt as an activating agent and DIPEA as a base in 5 mL of DMF/DCM (1:1 v/v) for 24 h. The compound was purified by silica gel column chromatography. Yield (4.5 mg, 55.7%, colorless solid).
The physical mixture of TAF with myristic acid (97). The physical mixture was prepared by mixing 1mmole of TAF (9) with 1 mmole of myristic acid. The mixture was dissolved in 6 mL of THF:MeOH (1:2 v/v), and then the solvents were evaporated completely and dried under a vacuum overnight.

3.3. Cytotoxicity and Anti-HIV Assays

Compounds were dissolved in DMSO typically at a concentration of 1–4 mg/mL. Certain compounds were dissolved at 30 mg/mL in DMSO, and the vial was rocked at RT for complete dissolution. The compounds were then stored at −20 °C. TZM-bl cells were plated (104 cells per well in 96-well plate), and 100 ng/mL (or 50 ng/mL for compound 87, 0.1–100 ng/mL for 95 and 96) of the compound was applied to the cells the following day with or without HIV in triplicates. For toxicity testing, 100 µL of medium with or without compounds was added to each well for 48 h. The surfactant nonoxynol-9 (N9) was used as a cytotoxic positive control. The media was removed and replaced with 20 µL of CellTiter 96® AQueous One Solution Cell Proliferation Assay (Promega, USA), and 100 µL of cDMEM media for 3–4 h. Absorbance was read at 490 nm. An HIV-1BAL strain, generously obtained from Dr. Susana Asin’s lab (originally from NIH AIDS repository) was amplified in our lab using Interleukin-2 stimulated human peripheral blood mononuclear cells and also tittered in our lab in TZMbl cells (ATCC). The TCID50s were calculated according to the Kaerber formula [34]. For antiviral activity (inhibition) testing, we used the Bright-Glo Luciferase Assay System (Promega, USA) following the manufacturer’s instructions. Briefly, 100 µL of medium +/− TFV compounds containing HIV-1BaL (5 × 103 TCID50) was added to each well. After 48 h, the cells were lysed with 100 μL of Glo Lysis buffer. Lysate 50 µL was transferred into a 96-well black microtiter plate, after which 50 μL of Bright-Glo assay reagent was added, and the luminescence was measured and expressed in relative luminescence units (RLU). The average percentage of infection of the HIV-1BaL growth in three wells exposed to TFV compounds was calculated, and compared to the control (cells exposed to growth medium and HIV; no compounds) 100% infection was detected. The % HIV inhibition is 100 minus % HIV infection.

4. Conclusions

Several classes of amino esters conjugates of TFV (1) were synthesized. Three compounds 62, 69, and 87 showed higher potency than TFV (1), while others showed comparable or lower activity. Compound 69 significantly inhibited HIV infection by 79.0% at 100 ng/mL, and was about 2.2-fold more active than TFV. Compound 69 contains a long hydrocarbon chain of oleic acid with a double bond at para position of the naphthol ring and 3-heptyl-substituted alanine on the phosphonamidate. Comparable or slightly lower anti-HIV activity was obtained for compounds 62 and 87 with similar structural features. Due to its chemical modification and inferred physicochemical properties, we speculate that this compound would be better suited than TFV as a long-acting formulation. In this study, the data revealed that the nature of the amino acid on phosphonamidate, the size of the alkyl ester moiety on the amino acid, and the presence of a specific fatty acid on the phenolate or naphtholate ester within the nucleotide-based compound are key features underpinning their performance. Furthermore, fatty acyl amide conjugation generated compounds with comparable activity to TAF. Thus, this strategy may be used to improve the anti-HIV activity of TFV. This work represents a preliminary study to show the proof of concept. However, more research is needed based on the identified templates for the optimization and development of long-acting TFV-based anti-HIV agents. The most potent compounds will be further evaluated in vivo to determine their potential application as long-acting antiretrovirals.

Supplementary Materials

The following are available online at https://www.mdpi.com/article/10.3390/molecules27144447/s1. Supplementary data to this article can be found online to report detailed structure elucidation of representative compounds 28 and 58, and 1H NMR, UV, IR and mass spectrometry spectra of all other synthesized compounds. Figure S1. COSY, NOESY, and HMBC correlation of compound 28; Figure S2. COSY, NOESY, and HMBC correlation of compound 58. 13C NMR spectra were provided for 28, 32, 39, 58, and 85, and 31P NMR for 28 and 69. UPLC of representative compounds 28, 53, 58, 60, 61, 63, 69, and 87. Table S1. Percentage of HIV inhibition in TZM-bl cells co-exposed to TFV or TFV derivatives and HIVBAL. Table S2. Percentage of HIV inhibition in TZM-bl cells co exposed to TAF (9) and TAF conjugates (95, 96) and the physical mixture of TAF with myristic acid (97) and HIVBAL.

Author Contributions

K.P., H.S. and M.I.C. planned and designed the experiments; A.Q., A.V. and N.S.E.-S. performed the chemistry; L.A.O. and G.F.D. conducted the antiviral and cytotoxicity assays; K.P. and H.S. contributed reagents/materials/analysis tools; A.Q., K.P., M.I.C. and H.S. wrote the manuscript. L.A.O. and G.F.D. provided edits. All authors have read and agreed to the published version of the manuscript.

Funding

The biological activities reported in this study was supported from funds from Chapman University School of Pharmacy (KP) and Director’s Funds from Eastern Virginia Medical School (LAO, and GFD).

Institutional Review Board Statement

Not applicable.

Informed Consent Statement

Not applicable.

Data Availability Statement

Not applicable.

Acknowledgments

The authors also acknowledge the support of the core facility at the Chapman University School of Pharmacy (USA). We also acknowledge the financial support of the Searle Company (Pakistan).

Conflicts of Interest

The authors declare no conflict of interest.

References

  1. Campiani, G.; Ramunno, A.; Maga, G.; Nacci, V.; Fattorusso, C.; Catalanotti, B.; Novellino, E. Non-nucleoside HIV-1 reverse transcriptase (RT) inhibitors: Past, present, and future perspectives. Curr. Pharm. Des. 2002, 8, 615–657. [Google Scholar] [CrossRef] [PubMed]
  2. Menéndez-Arias, L.; Delgado, R. Update and latest advances in antiretroviral therapy. Trends Pharm. Sci. 2022, 43, 16–29. [Google Scholar] [CrossRef] [PubMed]
  3. Yang, Y.; Kang, D.; Nguyen, L.A.; Smithline, Z.B.; Pannecouque, C.; Zhan, P.; Steitz, T.A. Structural basis for potent and broad inhibition of HIV-1 RT by thiophene [3,2-d] pyrimidine non-nucleoside inhibitors. eLife 2018, 7, e36340. [Google Scholar] [CrossRef] [PubMed]
  4. Shirvani, P.; Fassihi, A.; Saghaie, L. Recent Advances in the Design and Development of Non-nucleoside Reverse Transcriptase Inhibitor Scaffolds. Med. Chem. 2019, 14, 52–77. [Google Scholar] [CrossRef]
  5. Ettmayer, P.; Amidon, G.L.; Clement, B.; Testa, B. Lessons learned from marketed and investigational prodrugs. J. Med. Chem. 2004, 47, 2393–2404. [Google Scholar] [CrossRef]
  6. Albert, A. Chemical aspects of selective toxicity. Nature 1958, 182, 421–423. [Google Scholar] [CrossRef] [PubMed]
  7. Asselah, T. Sofosbuvir for the treatment of hepatitis C virus. Expert Opin. Pharmacother. 2014, 15, 121–130. [Google Scholar] [CrossRef]
  8. Hostetler, K.Y.; Beadle, J.R.; Hornbuckle, W.E.; Bellezza, C.A.; Tochkov, I.A.; Cote, P.J.; Tennant, B.C. Antiviral activities of oral 1-O-hexadecylpropanediol-3-phosphoacyclovir and acyclovir in woodchucks with chronic woodchuck hepatitis virus infection. Antimicrob. Agents Chemother. 2000, 44, 1964–1969. [Google Scholar] [CrossRef] [PubMed]
  9. Hostetler, K.Y.; Rybak, R.J.; Beadle, J.R.; Gardner, M.F.; Aldern, K.A.; Wright, K.N.; Kern, E.R. In vitro and in vivo Activity of 1-O-Hexadecylpropane-Diol-3-Phospho-Ganciclovir and 1-O-Hexadecylpropanediol-3-Phospho-Penciclovir in Cytomegalovirus and Herpes Simplex Virus Infections. Antivir. Chem. Chemother. 2001, 12, 61–70. [Google Scholar] [CrossRef] [PubMed]
  10. Weller, S.; Blum, M.R.; Doucette, M.; Burnette, T.; Cederberg, D.M.; de Miranda, P.; Smiley, M.L. Pharmacokinetics of the acyclovir pro-drug valaciclovir after escalating single-and multiple-dose administration to normal volunteers. Clin. Pharmacol. Ther. 1993, 54, 595–605. [Google Scholar] [CrossRef]
  11. Steingrimsdottir, H.; Gruber, A.; Palm, C.; Grimfors, G.; Kalin, M.; Eksborg, S. Bioavailability of aciclovir after oral administration of acyclovir, and its prodrug valaciclovir to patients with leukopenia after chemotherapy. Antimicrob. Agents Chemother. 2000, 44, 207–209. [Google Scholar] [CrossRef]
  12. Biron, K.K. Antiviral drugs for cytomegalovirus diseases. Antivir. Res. 2006, 71, 154–163. [Google Scholar] [CrossRef] [PubMed]
  13. Hodge, R.V. Famciclovir and penciclovir. The mode of action of famciclovir including its conversion to penciclovir. Antivir. Chem. Chemother. 1993, 4, 67–84. [Google Scholar]
  14. Wire, M.B.; Shelton, M.J.; Studenberg, S. Fosamprenavir. Clin. Pharmacokinet. 2006, 45, 137–168. [Google Scholar] [CrossRef] [PubMed]
  15. Naesens, L.; Bischofberger, N.; Augustijns, P.; Annaert, P.; Van den Mooter, G.; Arimilli, M.N.; De Clercq, E. Antiretroviral efficacy and pharmacokinetics of oral bis (isopropyloxycarbonyloxymethyl) 9-(2-phosphonylmethoxypropyl) adenine in mice. Antimicrob. Agents Chemother. 1998, 42, 1568–1573. [Google Scholar] [CrossRef]
  16. Mulato, A.S.; Cherrington, J.M. Anti-HIV activity of adefovir (PMEA) and PMPA in combination with antiretroviral compounds: In vitro analyses. Antivir. Res. 1997, 36, 91–97. [Google Scholar] [CrossRef]
  17. Sofia, M.J.; Bao, D.; Chang, W.; Du, J.; Nagarathnam, D.; Rachakonda, S.; Furman, P.A. Discovery of a β-d-2′-deoxy-2′-α-fluoro-2′-β-C-methyluridine nucleotide prodrug (PSI-7977) for the treatment of hepatitis C virus. J. Med. Chem. 2010, 53, 7202–7218. [Google Scholar] [CrossRef]
  18. Mackman, R.L. Phosphoramidate Prodrugs Continue to Deliver, The Journey of Remdesivir (GS-5734) from RSV to SARS-CoV-2. ACS Med. Chem. Lett. 2002, 13, 338–347. [Google Scholar] [CrossRef]
  19. Yang, N.J.; Hinner, M.J. Getting across the cell membrane: An overview for small molecules, peptides, and proteins. Site-Specif. Protein Labeling 2015, 13, 29–53. [Google Scholar]
  20. Lyseng-Williamson, K.A.; Reynolds, N.A.; Plosker, G.L. Tenofovir disoproxil fumarate: A review of its use in the management of HIV infection. Drugs 2005, 65, 413–432. [Google Scholar] [CrossRef]
  21. Atta, M.G.; De Seigneux, S.; Lucas, G.M. Clinical pharmacology in HIV therapy. Clin. J. Am. Soc. Nephrol. 2019, 14, 435–444. [Google Scholar] [CrossRef]
  22. Birkus, G.; Kutty, N.; He, G.X.; Mulato, A.; Lee, W.; McDermott, M.; Cihlar, T. Activation of 9-[(R)-2-[[(S)-[[(S)-1-(Isopropoxycarbonyl) ethyl] amino] phenoxyphosphinyl]-methoxy] propyl] adenine (GS-7340) and other tenofovir phosphonoamidate prodrugs by human proteases. Mol. Pharmacol. 2008, 74, 92–100. [Google Scholar] [CrossRef]
  23. Eisenberg, E.J.; He, G.X.; Lee, W.A. Metabolism of GS-7340, a novel phenyl monophosphoramidate intracellular prodrug of PMPA, in blood. Nucleosides Nucleotides Nucleic Acids 2001, 20, 1091–1098. [Google Scholar] [CrossRef]
  24. Lee, W.A.; He, G.X.; Eisenberg, E.; Cihlar, T.; Swaminathan, S.; Mulato, A.; Cundy, K.C. Selective intracellular activation of a novel prodrug of the human immunodeficiency virus reverse transcriptase inhibitor tenofovir leads to preferential distribution and accumulation in lymphatic tissue. Antimicrob. Agents Chemother. 2005, 49, 1898–1906. [Google Scholar] [CrossRef] [PubMed]
  25. Venter, W.D.; Moorhouse, M.; Sokhela, S.; Fairlie, L.; Mashabane, N.; Masenya, M.; Hill, A. Dolutegravir plus two different prodrugs of tenofovir to treat HIV. N. Eng. J. Med. 2019, 9, 803–815. [Google Scholar] [CrossRef]
  26. Kirtane, A.R.; Abouzid, O.; Minahan, D.; Bensel, T.; Hill, A.L.; Selinger, C.; Traverso, G. Development of an oral once-weekly drug delivery system for HIV antiretroviral therapy. Nat. Commun. 2018, 9, 1–12. [Google Scholar] [CrossRef] [PubMed]
  27. Pemmaraju, B.; Agarwal, H.K.; Oh, D.; Buckheit, K.W.; Buckheit Jr, R.W.; Tiwari, R.; Parang, K. Synthesis and biological evaluation of 5′-O-dicarboxylic fatty acyl monoester derivatives of anti-HIV nucleoside reverse transcriptase inhibitors. Tet. Lett. 2014, 55, 1983–1986. [Google Scholar] [CrossRef] [PubMed]
  28. Langner, C.A.; Travis, J.K.; Caldwell, S.J.; Tianbao, J.E.; Li, Q.; Bryant, M.L.; Devadas, B.; Gokel, G.W.; Kobayashi, G.S.; Gordon, J.I. 4-Oxatetradecanoic acid is fungicidal for Cryptococcus neoformans and inhibits replication of human immunodeficiency virus. J. Biol. Chem. 1992, 267, 17159–17169. [Google Scholar] [CrossRef]
  29. Parang, K.; Wiebe, L.I.; Knaus, E.E.; Huang, J.S.; Tyrrell, D.L. In vitro anti-hepatitis B virus activities of 5′-O-myristoyl analogue derivatives of 3′-fluoro-2′,3′-dideoxythymidine (FLT) and 3′-azido-2′,3′-dideoxythymidine (AZT). J. Pharm. Pharm. Sci. 1998, 1, 107–113. [Google Scholar]
  30. Agarwal, H.K.; Loethan, K.; Mandal, D.; Doncel, G.F.; Parang, K. Synthesis and biological evaluation of fatty acyl ester derivatives of 2′,3′-didehydro-2′,3′-dideoxythymidine Bioorg. Med. Chem. Lett. 2011, 21, 1917–1921. [Google Scholar] [CrossRef]
  31. Agarwal, H.K.; Chhikara, B.S.; Bhavaraju, S.; Mandal, D.; Doncel, G.F.; Parang, K. Emtricitabine prodrugs with improved anti-HIV activity and cellular uptake. Mol. Pharm. 2013, 10, 467–476. [Google Scholar] [CrossRef] [PubMed]
  32. Agarwal, H.K.; Chhikara, B.S.; Hanley, M.J.; Ye, G.; Doncel, G.F.; Parang, K. Synthesis and biological evaluation of fatty acyl ester derivatives of (-)-2′,3′-dideoxy-3′-thiacytidine. J. Med. Chem. 2012, 55, 4861–4871. [Google Scholar] [CrossRef] [PubMed]
  33. Parang, K.; Wiebe, L.I.; Knaus, E.E.; Huang, J.-S.; Tyrrell, D.L.; Csizmadia, F. In vitro antiviral activities of myristic acid analogs against human immunodeficiency and hepatitis B viruses. Antivir. Res. 1997, 34, 75–90. [Google Scholar] [CrossRef]
  34. Kärber, G. Beitrag zur kollektiven Behandlung pharmakologischer Reihenversuche. Naunyn-Schmiedebergs Arch. Für Exp. Pathol. Und Pharmakol. 1931, 162, 480–483. [Google Scholar] [CrossRef]
Figure 1. Chemical Structures of Antiviral Prodrugs.
Figure 1. Chemical Structures of Antiviral Prodrugs.
Molecules 27 04447 g001
Figure 2. Chemical Structures of Synthesized TFV Conjugates.
Figure 2. Chemical Structures of Synthesized TFV Conjugates.
Molecules 27 04447 g002
Figure 3. Chemical Structures of Synthesized TAF Conjugates.
Figure 3. Chemical Structures of Synthesized TAF Conjugates.
Molecules 27 04447 g003
Scheme 1. Synthesis of L-alanine monosubstituted phosphonamidate derivatives of TFV.
Scheme 1. Synthesis of L-alanine monosubstituted phosphonamidate derivatives of TFV.
Molecules 27 04447 sch001
Scheme 2. Synthesis of L-leucine monosubstituted phosphonamidate derivatives of TFV.
Scheme 2. Synthesis of L-leucine monosubstituted phosphonamidate derivatives of TFV.
Molecules 27 04447 sch002
Scheme 3. Synthesis of L-alanine substituted phosphondiamidate and phosphonamidate ester derivatives of TFV.
Scheme 3. Synthesis of L-alanine substituted phosphondiamidate and phosphonamidate ester derivatives of TFV.
Molecules 27 04447 sch003
Scheme 4. Synthesis of L-alanine 2-pentanolyl ester substituted phosphonamidate diester derivatives of phenolated and naphtholated TFV.
Scheme 4. Synthesis of L-alanine 2-pentanolyl ester substituted phosphonamidate diester derivatives of phenolated and naphtholated TFV.
Molecules 27 04447 sch004
Scheme 5. Synthesis of L-alanine 2-heptanolyl substituted phosphonamidate diester derivatives of naphtholated TFV 69 containing 2-heptanol.
Scheme 5. Synthesis of L-alanine 2-heptanolyl substituted phosphonamidate diester derivatives of naphtholated TFV 69 containing 2-heptanol.
Molecules 27 04447 sch005
Scheme 6. Synthesis of L-alanine 1-butanolyl substituted phosphonamidate diester derivatives of phenolated TFV.
Scheme 6. Synthesis of L-alanine 1-butanolyl substituted phosphonamidate diester derivatives of phenolated TFV.
Molecules 27 04447 sch006
Scheme 7. Synthesis of L-valine 1-butanolyl substituted phosphonamidate diester derivatives of phenolated and naphtholated TFV.
Scheme 7. Synthesis of L-valine 1-butanolyl substituted phosphonamidate diester derivatives of phenolated and naphtholated TFV.
Molecules 27 04447 sch007
Scheme 8. Synthesis of glycine1-butanolyl phosphonamidate diester derivatives of phenolated and naphtholated TFV.
Scheme 8. Synthesis of glycine1-butanolyl phosphonamidate diester derivatives of phenolated and naphtholated TFV.
Molecules 27 04447 sch008
Scheme 9. Synthesis of fatty acyl amide substituted derivatives of TAF (95 and 96).
Scheme 9. Synthesis of fatty acyl amide substituted derivatives of TAF (95 and 96).
Molecules 27 04447 sch009
Figure 4. TZM-bl cells were exposed to TFV conjugates for 48 h. TZM-bl cells were plated in 96-well plates and exposed the following day to 100 ng/mL of compounds, except if specified otherwise in the graph. The experiments were repeated twice with triplicate wells plated per concentration tested in each experiment. The cells were also exposed to nonoxynol-9 (N9) as a positive control of cytotoxicity. After 48 h exposure, the viability of the cells was measured by MTS assay.
Figure 4. TZM-bl cells were exposed to TFV conjugates for 48 h. TZM-bl cells were plated in 96-well plates and exposed the following day to 100 ng/mL of compounds, except if specified otherwise in the graph. The experiments were repeated twice with triplicate wells plated per concentration tested in each experiment. The cells were also exposed to nonoxynol-9 (N9) as a positive control of cytotoxicity. After 48 h exposure, the viability of the cells was measured by MTS assay.
Molecules 27 04447 g004
Figure 5. TZM-bl cells were exposed to TAF, TAF conjugates (95 and 96) and the physical mixture of TAF and myristic acid for 48 h. TZM-bl cells were plated in 96-well plates and exposed the following day to 1–100 ng/mL of compounds. The experiments were repeated twice with triplicate wells plated per concentration tested in each experiment. The cells were also exposed to nonoxynol-9 (N9) as a positive control of cytotoxicity. After 48 h exposure, the viability of the cells was measured by MTS assay.
Figure 5. TZM-bl cells were exposed to TAF, TAF conjugates (95 and 96) and the physical mixture of TAF and myristic acid for 48 h. TZM-bl cells were plated in 96-well plates and exposed the following day to 1–100 ng/mL of compounds. The experiments were repeated twice with triplicate wells plated per concentration tested in each experiment. The cells were also exposed to nonoxynol-9 (N9) as a positive control of cytotoxicity. After 48 h exposure, the viability of the cells was measured by MTS assay.
Molecules 27 04447 g005
Figure 6. Anti-HIV activity of TFV and TFV analogs in TZMbl cells. The cells were plated in 96-well plates and exposed the following day to 100 ng/mL of compounds except for compound 87 (50 ng/mL) in presence of HIVBAL for 48 h. The experiments were repeated 3 or 4 times with triplicate wells per condition in each experiment. Median adjusted relative luminescence units (RLU) with interquartile range are displayed on the graph for each compound tested. Each data point is represented by a black or gray symbol with different shapes according to compound. HIV only values are represented by gray circles.
Figure 6. Anti-HIV activity of TFV and TFV analogs in TZMbl cells. The cells were plated in 96-well plates and exposed the following day to 100 ng/mL of compounds except for compound 87 (50 ng/mL) in presence of HIVBAL for 48 h. The experiments were repeated 3 or 4 times with triplicate wells per condition in each experiment. Median adjusted relative luminescence units (RLU) with interquartile range are displayed on the graph for each compound tested. Each data point is represented by a black or gray symbol with different shapes according to compound. HIV only values are represented by gray circles.
Molecules 27 04447 g006
Figure 7. Chemical structures of selected screened compounds against HIV with higher activity than TFV.
Figure 7. Chemical structures of selected screened compounds against HIV with higher activity than TFV.
Molecules 27 04447 g007
Figure 8. Anti-HIV activity of TAF conjugates in TZMbl cells (concentrations listed below are in ng/mL). Median adjusted Relative Luminescence units (RLU) with interquartile range for each concentration per experiment are shown in Figure 8 (Experiments were repeated 2 or 4 times, with 3 replicates per concentration in each experiment). Each data point is represented by a black or gray symbol with different shapes according to compound. HIV only values are represented by gray circles. The median percentages of HIV inhibition in cells exposed to different concentrations of TAF or TAF conjugates in the presence of HIV are shown in Table S2.
Figure 8. Anti-HIV activity of TAF conjugates in TZMbl cells (concentrations listed below are in ng/mL). Median adjusted Relative Luminescence units (RLU) with interquartile range for each concentration per experiment are shown in Figure 8 (Experiments were repeated 2 or 4 times, with 3 replicates per concentration in each experiment). Each data point is represented by a black or gray symbol with different shapes according to compound. HIV only values are represented by gray circles. The median percentages of HIV inhibition in cells exposed to different concentrations of TAF or TAF conjugates in the presence of HIV are shown in Table S2.
Molecules 27 04447 g008
Publisher’s Note: MDPI stays neutral with regard to jurisdictional claims in published maps and institutional affiliations.

Share and Cite

MDPI and ACS Style

Qureshi, A.; Ouattara, L.A.; El-Sayed, N.S.; Verma, A.; Doncel, G.F.; Choudhary, M.I.; Siddiqui, H.; Parang, K. RETRACTED: Synthesis and Evaluation of Anti-HIV Activity of Mono- and Di-Substituted Phosphonamidate Conjugates of Tenofovir. Molecules 2022, 27, 4447. https://doi.org/10.3390/molecules27144447

AMA Style

Qureshi A, Ouattara LA, El-Sayed NS, Verma A, Doncel GF, Choudhary MI, Siddiqui H, Parang K. RETRACTED: Synthesis and Evaluation of Anti-HIV Activity of Mono- and Di-Substituted Phosphonamidate Conjugates of Tenofovir. Molecules. 2022; 27(14):4447. https://doi.org/10.3390/molecules27144447

Chicago/Turabian Style

Qureshi, Aaminat, Louise A. Ouattara, Naglaa Salem El-Sayed, Amita Verma, Gustavo F. Doncel, Muhammad Iqbal Choudhary, Hina Siddiqui, and Keykavous Parang. 2022. "RETRACTED: Synthesis and Evaluation of Anti-HIV Activity of Mono- and Di-Substituted Phosphonamidate Conjugates of Tenofovir" Molecules 27, no. 14: 4447. https://doi.org/10.3390/molecules27144447

APA Style

Qureshi, A., Ouattara, L. A., El-Sayed, N. S., Verma, A., Doncel, G. F., Choudhary, M. I., Siddiqui, H., & Parang, K. (2022). RETRACTED: Synthesis and Evaluation of Anti-HIV Activity of Mono- and Di-Substituted Phosphonamidate Conjugates of Tenofovir. Molecules, 27(14), 4447. https://doi.org/10.3390/molecules27144447

Article Metrics

Back to TopTop