Designed Syntheses of Three {Ni6PW9}-Based Polyoxometalates, from Isolated Cluster to Cluster-Organic Helical Chain
Abstract
:1. Introduction
2. Experimental Section
2.1. General Procedure
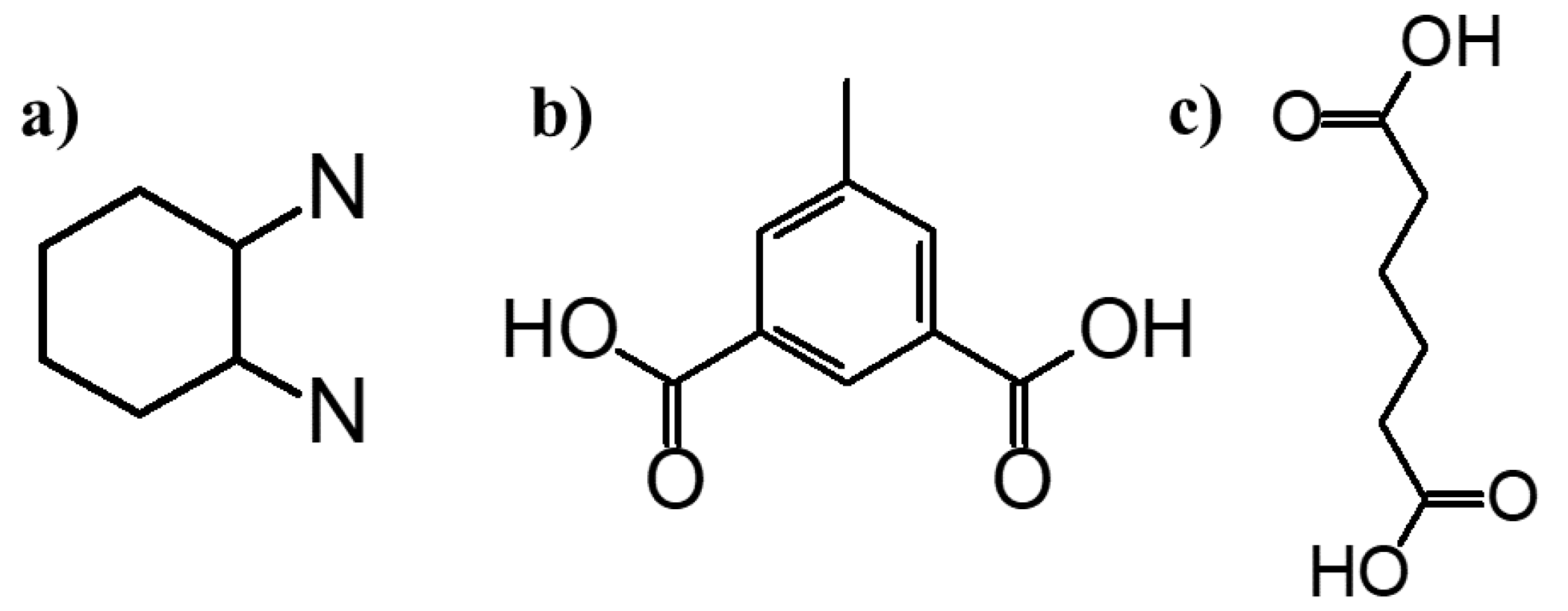
2.2. Syntheses
2.2.1. Synthesis of 1
2.2.2. Syntheses of 2 and 3
2.3. X-ray Crystallography
3. Result and Discussion
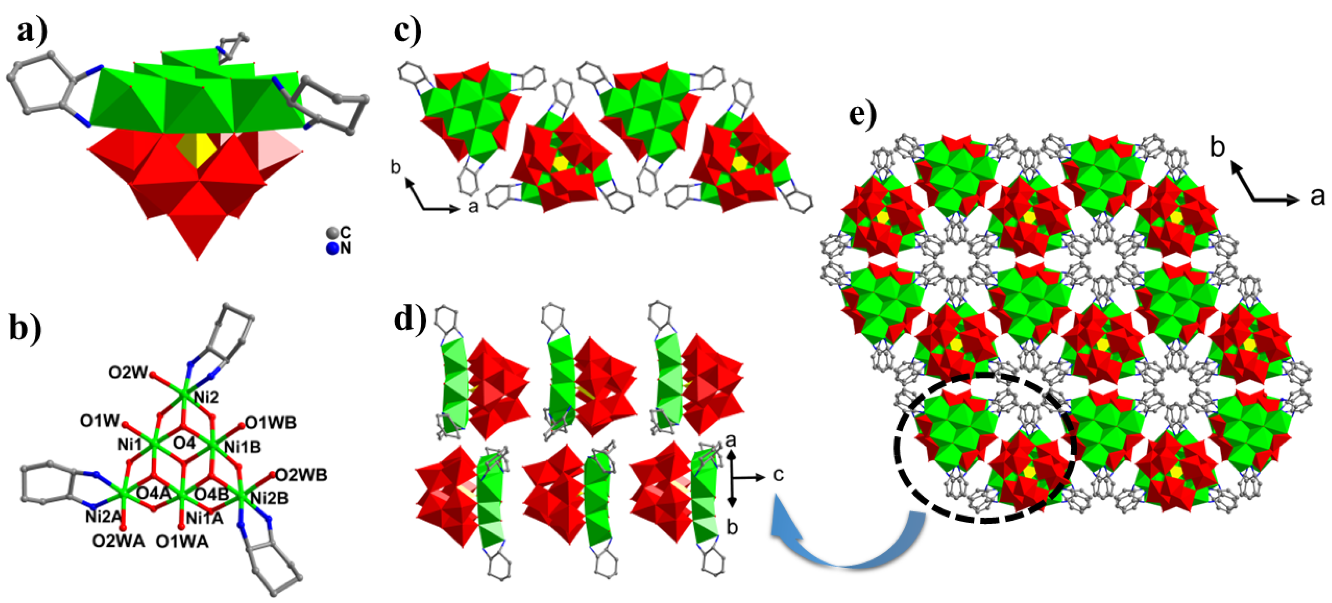
3.1. Structure of 1 and Designed Syntheses for 2
3.2. Structure of 2 and Designed Syntheses for 3
3.3. Structure of 3
3.4. Structural Comparisons
3.5. Powder XRD Patterns
3.6. IR Spectra
3.7. UV-Vis Absorption Spectra
4. Conclusions
Supplementary Materials
Author Contributions
Funding
Institutional Review Board Statement
Informed Consent Statement
Data Availability Statement
Conflicts of Interest
Sample Availability
References
- Zheng, S.-T.; Yang, G.-Y. Recent advances in paramagnetic-TM-substituted polyoxometalates (TM = Mn, Fe, Co, Ni, Cu). Chem. Soc. Rev. 2012, 41, 7623–7646. [Google Scholar] [CrossRef] [PubMed]
- Wang, S.-S.; Yang, G.-Y. Recent advances in polyoxometalate-catalyzed reactions. Chem. Rev. 2015, 115, 4893–4962. [Google Scholar] [CrossRef] [PubMed]
- Liu, J.X.; Zhang, X.B.; Li, Y.L.; Huang, S.L.; Yang, G.Y. Polyoxometalate functionalized architectures. Coord. Chem. Rev. 2020, 414, 213260–213275. [Google Scholar] [CrossRef]
- Zheng, S.-T.; Yuan, D.-Q.; Jia, H.-P.; Zhang, J.; Yang, G.-Y. Combination between lacunary polyoxometalates and high-nuclear transition metal clusters under hydrothermal conditions: I. from isolated cluster to 1-D chain. Chem. Commun. 2007, 18, 1858–1860. [Google Scholar] [CrossRef]
- Pichon, C.; Mialane, P.; Dolbecq, A.; Marrot, J.; Rovière, E.; Bassil, B.S.; Kortz, U.; Keita, B.; Nadjo, L.; Sécheresse, F. Octa- and Nonanuclear nickel(II) polyoxometalate clusters: Synthesis and electrochemical and magnetic characterizations. Inorg. Chem. 2008, 47, 11120–11128. [Google Scholar] [CrossRef]
- Ibrahim, M.; Xiang, Y.; Bassil, B.S.; Lan, Y.H.; Powell, A.K.; Oliveira, P.D.; Keita, B.; Kortz, U. Synthesis, magnetism, and electro -chemistry of the Ni14- and Ni5-Containing heteropolytungstates [Ni14(OH)6(H2O)10(HPO4)4(P2W15O56)4]34– and [Ni5(OH)4(H2O)4- (β-GeW9O34)(β-GeW8O30(OH))]13–. Inorg. Chem. 2013, 52, 8399–8408. [Google Scholar] [CrossRef]
- Zheng, S.T.; Zhang, J.; Yang, G.-Y. Designed synthesis of POM–organic frameworks from {Ni6PW9} building blocks under hydrothermal conditions. Angew. Chem. Int. Ed. 2008, 47, 3909–3913. [Google Scholar] [CrossRef]
- Li, X.-X.; Wang, Y.-X.; Wang, R.-H.; Cui, C.-Y.; Tian, C.-B.; Yang, G.-Y. Designed assembly of heterometallic cluster organic frameworks based on Anderson-type polyoxometalate clusters. Angew. Chem. Int. Ed. 2016, 55, 6462–6466. [Google Scholar] [CrossRef]
- Li, X.-X.; Zhao, D.; Zheng, S.-T. Recent advances in POM-organic frameworks and POM-organic polyhedra. Coord. Chem. Rev. 2019, 397, 220–240. [Google Scholar] [CrossRef]
- Schubert, U. Cluster-based inorganic–organic hybrid materials. Chem. Soc. Rev. 2011, 40, 575–582. [Google Scholar] [CrossRef]
- Fang, W.-H.; Yang, G.-Y. Induced aggregation and synergistic coordination strategy in cluster organic architectures. Acc. Chem. Res. 2018, 51, 2888–2896. [Google Scholar] [CrossRef] [PubMed]
- Lin, L.-D.; Zhao, D.; Li, X.-X.; Zheng, S.-T. Recent advances in zeolite-like cluster organic frameworks. Chem. Eur. J. 2019, 25, 442–453. [Google Scholar] [CrossRef] [PubMed]
- Dolbecq, A.; Mellot-Draznieks, C.; Mialane, P.; Marrot, J.; Férey, G.; Sécheresse, F. Hybrid 2D and 3D frameworks based on ϵ-Keggin polyoxometallates: Experiment and simulation. Eur. J. Inorg. Chem. 2005, 2005, 3009–3018. [Google Scholar] [CrossRef]
- Wang, Y.-R.; Huang, Q.; He, C.-T.; Chen, Y.-F.; Liu, J.; Shen, F.-C.; Lan, Y.-Q. Oriented electron transmission in polyoxometalate-metalloporphyrin organic framework for highly selective electroreduction of CO2. Nat. Commun. 2018, 9, 4466–4474. [Google Scholar] [CrossRef] [PubMed] [Green Version]
- Li, X.-X.; Zhang, L.-J.; Cui, C.-Y.; Wang, R.-H.; Yang, G.-Y. Designed construction of cluster organic frameworks from Lindqvist-type polyoxovanadate cluster. Inorg. Chem. 2018, 57, 10323–10330. [Google Scholar] [CrossRef]
- Han, J.-W.; Hill, C.-L. A Coordination network that catalyzes O2-based oxidations. J. Am. Chem. Soc. 2007, 129, 15094–15095. [Google Scholar] [CrossRef]
- Marleny Rodriguez-Albelo, L.; Ruiz-Salvador, A.R.; Sampieri, A.; Lewis, D.W.; Gómez, A.; Nohra, B.; Mialane, P.; Marrot, J.; Sécheresse, F.; Mellot-Draznieks, C.; et al. Zeolitic polyoxometalate-based metal−organic frameworks (Z-POMOFs): Computational evaluation of hypothetical polymorphs and the successful targeted synthesis of the redox-active Z-POMOF. J. Am. Chem. Soc. 2009, 131, 16078–16087. [Google Scholar] [CrossRef]
- Wang, Y.-Y.; Zhang, M.; Li, S.-L.; Zhang, S.-R.; Xie, W.; Qin, J.-S.; Su, Z.-M.; Lan, Y.-Q. Diamondoid-structured polymolybdate -based metal–organic frameworks as high-capacity anodes for lithium-ion batteries. Chem. Commun. 2017, 53, 5204–5207. [Google Scholar] [CrossRef]
- Cheng, W.; Shen, F.-C.; Xue, Y.-S.; Luo, X.; Fang, M.; Lan, Y.-Q.; Xu, Y. A pair of rare three-dimensional chiral polyoxometalate-based metal–organic framework enantiomers featuring superior performance as the anode of lithium-ion battery. ACS Appl. Energy Mater. 2018, 1, 4931–4938. [Google Scholar] [CrossRef]
- Zhang, Z.; Wang, Y.-L.; Li, H.-L.; Sun, K.-N.; Yang, G.-Y. Syntheses, structures and properties of three organic–inorganic hybrid polyoxotungstates constructed from {Ni6PW9} building blocks: From isolated clusters to 2-D layers. CrystEngComm 2019, 21, 2641–2647. [Google Scholar] [CrossRef]
- Li, X.-X.; Shen, F.-C.; Liu, J.; Li, S.-L.; Dong, L.-Z.; Fu, Q.; Su, Z.-M.; Lan, Y.-Q. A highly stable polyoxometalate-based metal–organic framework with an ABW zeolite-like structure. Chem. Commun. 2017, 53, 10054–10057. [Google Scholar] [CrossRef] [PubMed]
- Wang, X.-L.; Liu, X.-J.; Tian, A.-X.; Ying, J.; Lin, H.-Y.; Liu, G.-C.; Gao, Q. A novel 2D→3D {Co6PW9}-based framework extended by semi-rigid bis(triazole) ligand. Dalton Trans. 2012, 41, 9587–9589. [Google Scholar] [CrossRef] [PubMed] [Green Version]
- Rousseau, G.; Oms, O.; Dolbecq, A.; Marrot, J.; Mialane, P. Route for the elaboration of functionalized hybrid 3d-substituted trivacant Keggin anions. Inorg. Chem. 2011, 50, 7376–7378. [Google Scholar] [CrossRef] [PubMed]
- Wang, X.-Q.; Liu, S.-X.; Liu, Y.-W.; He, D.-F.; Li, N.; Miao, J.; Ji, Y.-J.; Yang, G.-Y. Planar {Ni6} cluster-containing polyoxometalate-based inorganic–organic hybrid compound and its extended structure. Inorg. Chem. 2014, 53, 13130–13135. [Google Scholar] [CrossRef]
- Ginsberg, A.-P. Inorganic Syntheses; John Wiley & Sons: New York, NY, USA, 1990; p. 108. [Google Scholar]
- Sheldrick, G.M. A short history of SHELX. Acta Crystallogr. Sect. A Found. Crystallogr. 2008, 64, 112–122. [Google Scholar] [CrossRef] [Green Version]
- Brown, I.D.; Altermatt, D. Bond-valence parameters obtained from a systematic analysis of the inorganic crystal structure database. Acta Crystallogr. Sect. B 1985, 41, 244–247. [Google Scholar] [CrossRef] [Green Version]
- Kariem, M.; Kumar, M.; Yawer, M.; Sheikh, H.M. Solvothermal synthesis and structure of coordination polymers of Nd(III) and Dy(III) with rigid isophthalic acid derivatives and flexible adipic acid. J. Mol. Struct. 2017, 1150, 438–446. [Google Scholar] [CrossRef]
- Sun, J.J.; Wang, Y.L.; Yang, G.-Y. Two new hexa-Ni-substituted polyoxometalates in the form of an isolated cluster and 1-D chain: Syntheses, structures, and properties. CrystEngComm 2020, 22, 8387–8393. [Google Scholar] [CrossRef]
- Sun, J.-J.; Wang, W.-D.; Li, X.-Y.; Yang, B.-F.; Yang, G.-Y. {Cu8} cluster-sandwiched polyoxotungstates and their polymers: Syntheses, structures, and properties. Inorg. Chem. 2021, 60, 10459–10467. [Google Scholar] [CrossRef]
- Zhao, J.-W.; Jia, H.-P.; Zhang, J.; Zheng, S.-T.; Yang, G.-Y. A combination of lacunary polyoxometalates and high-nuclear transition-metal clusters under hydrothermal conditions. Part II: From double cluster, dimer, and tetramer to three-dimensional frameworks. Chem. Eur. J. 2007, 13, 10030–10045. [Google Scholar] [CrossRef]
- Li, B.; Zhao, J.-W.; Zheng, S.-T.; Yang, G.-Y. Combination chemistry of hexa-copper-substituted polyoxometalates driven by the CuII-polyhedra distortion: From tetramer, 1D chain to 3D framework. Inorg. Chem. 2009, 48, 8294–8303. [Google Scholar] [CrossRef] [PubMed]
- Zhao, J.-W.; Wang, C.-M.; Zhang, J.; Zheng, S.-T.; Yang, G.-Y. Combination of lacunary polyoxometalates and high-nuclear transition metal clusters under hydrothermal conditions: IX. A series of novel polyoxotungstates sandwiched by octa-copper clusters. Chem. Eur. J. 2008, 14, 9223–9239. [Google Scholar] [CrossRef] [PubMed]
- Zhao, J.-W.; Li, B.; Zheng, S.-T.; Yang, G.-Y. Two-dimensional extended (4,4)-topological network constructed from tetra-NiII-substituted sandwich-type Keggin polyoxometalate building blocks and NiII-organic cation bridges. Cryst. Growth Des. 2007, 7, 2658–2664. [Google Scholar] [CrossRef]
- Li, Y.-X.; Zhang, Z.; Yang, B.-F.; Li, X.-X.; Zhang, Q.; Yang, G.-Y. A two-dimensional (4,4)-network built by tetra-Ni- substituted sandwich-type Keggin polyoxoanions linked by different Ni-organoamine complexes. Inorg. Chem. Commun. 2017, 75, 12–15. [Google Scholar] [CrossRef]
- Zheng, S.-T.; Zhang, J.; Clemente-Juan, J.M.; Yuan, D.-Q.; Yang, G.-Y. Poly(polyoxotungstate)s with 20 nickel centers: From nanoclusters to one-dimensional chains. Angew. Chem. Int. Ed. 2009, 48, 7176–7179. [Google Scholar] [CrossRef]
- Li, X.-X.; Fang, W.-H.; Zhao, J.-W.; Yang, G.-Y. The first 3-connected SrSi2-type 3D chiral framework constructed from {Ni6PW9} building units. Chem. Eur. J. 2015, 21, 2315–2318. [Google Scholar] [CrossRef]
- Zheng, S.-T.; Zhang, J.; Li, X.-X.; Fang, W.-H.; Yang, G.-Y. Cubic polyoxometalate—Organic molecular cage. J. Am. Chem. Soc. 2010, 132, 15102–15103. [Google Scholar] [CrossRef]
- Huang, L.; Zhang, J.; Cheng, L.; Yang, G.-Y. Poly(polyoxometalate)s assembled by {Ni6PW9} units: From ring-shaped Ni24- tetramers to rod-shaped Ni40-octamers. Chem. Commun. 2012, 48, 9658–9660. [Google Scholar] [CrossRef]
- Axtell, E.A.; Park, Y.; Chondroudis, K.; Kanatzidis, M.G. Incorporation of A2Q into HgQ and dimensional reduction to A2Hg3Q4 and A2Hg6Q7 (A = K, Rb, Cs; Q = S, Se). Access of Li Ions in A2Hg6Q7 through topotactic ion-exchange. J. Am. Chem. Soc. 1998, 120, 124–136. [Google Scholar] [CrossRef]
- Müller, A.; Beckmann, E.; Bögge, H.; Schmidtmann, M.; Dress, A. Inorganic Chemistry Goes Protein Size: A Mo368 Nano-Hedgehog Initiating Nanochemistry by Symmetry Breaking. Angew. Chem. Int. Ed. 2002, 41, 1162–1167. [Google Scholar] [CrossRef]
- Mialane, P.; Dolbecq, A.; Marrot, J.; Rivieère, E.; Seécheresse, F. A Supramolecular Tetradecanuclear Copper(II) Polyoxotungstate. Angew. Chem. Int. Ed. 2003, 42, 3523–3526. [Google Scholar] [CrossRef] [PubMed]
- Huang, L.; Wang, S.-S.; Zhao, J.-W.; Cheng, L.; Yang, G.-Y. Synergistic Combination of Multi-ZrIV Cations and Lacunary Keggin Germanotungstates Leading to a Gigantic Zr24-Cluster-Substituted Polyoxometalate. J. Am. Chem. Soc. 2014, 136, 7637–7642. [Google Scholar] [CrossRef] [PubMed]





| 1 | 2 | 3 | |
|---|---|---|---|
| Formula | Ni6PW9O74C18H119N6 | Ni7PW9O103C48H203N10 | Ni7PW9O48C30H81N8 |
| Molecular weight | 3642.06 | 4665.78 | 3418.61 |
| Crystal system | Trigonal | Monoclinic | Orthorhombic |
| Space group | P-3c1 | P21/c | P212121 |
| a/Å | 18.1775 | 24.9850 | 36.6105 |
| b/Å | 18.1775 | 14.9500 | 14.1605 |
| c/Å | 21.3261 | 26.6410 | 13.8492 |
| α/° | 90 | 90 | 90 |
| β/° | 90 | 98.697 | 90 |
| γ/° | 120 | 90 | 90 |
| V/Å3 | 6102.5 | 9837 | 7179.7 |
| Z | 4 | 4 | 4 |
| Dc/g cm−3 | 3.964 | 3.151 | 3.163 |
| μ/mm−1 | 18.880 | 11.956 | 16.263 |
| F(000) | 6840 | 9048 | 6312 |
| Goodness-of-fit on F2 | 1.075 | 1.099 | 1.131 |
| R indices [I > 2σ(I)] 1 | 0.0355 (0.0946) | 0.0633 (0.1624) | 0.0601 (0.1350) |
| R indices (all data) | 0.0504 (0.1043) | 0.0996 (0.1777) | 0.0704 (0.1413) |
Publisher’s Note: MDPI stays neutral with regard to jurisdictional claims in published maps and institutional affiliations. |
© 2022 by the authors. Licensee MDPI, Basel, Switzerland. This article is an open access article distributed under the terms and conditions of the Creative Commons Attribution (CC BY) license (https://creativecommons.org/licenses/by/4.0/).
Share and Cite
Chen, C.-A.; Liu, Y.; Yang, G.-Y. Designed Syntheses of Three {Ni6PW9}-Based Polyoxometalates, from Isolated Cluster to Cluster-Organic Helical Chain. Molecules 2022, 27, 4295. https://doi.org/10.3390/molecules27134295
Chen C-A, Liu Y, Yang G-Y. Designed Syntheses of Three {Ni6PW9}-Based Polyoxometalates, from Isolated Cluster to Cluster-Organic Helical Chain. Molecules. 2022; 27(13):4295. https://doi.org/10.3390/molecules27134295
Chicago/Turabian StyleChen, Chong-An, Yan Liu, and Guo-Yu Yang. 2022. "Designed Syntheses of Three {Ni6PW9}-Based Polyoxometalates, from Isolated Cluster to Cluster-Organic Helical Chain" Molecules 27, no. 13: 4295. https://doi.org/10.3390/molecules27134295
APA StyleChen, C.-A., Liu, Y., & Yang, G.-Y. (2022). Designed Syntheses of Three {Ni6PW9}-Based Polyoxometalates, from Isolated Cluster to Cluster-Organic Helical Chain. Molecules, 27(13), 4295. https://doi.org/10.3390/molecules27134295
