Abstract
Despite the fact that phytochemicals of Cornaceae species have long been discussed as possible auxiliary agents in contemporary treatment, the insights on their properties remain relatively scarce. This study focuses on Cornus mas L. (Cornelian cherry), the extracts of which are reported to exert a pleiotropic effect shown in both in vivo and in vitro studies. This study aimed to explore the cytotoxic effect of extracts from fruits of red (Cornus mas L. ‘Podolski’) and yellow (Cornus mas L. ‘Yantarnyi’ and ‘Flava’) Cornelian cherries on two melanoma cell lines (A375 and MeWo). The extracts were characterized in the context of the concentration of bioactive compounds of antioxidative properties. Cytotoxicity was investigated with the use of the following two assays: SRB and MTT. An additional, alternative protocol for the SRB assay was used in this study so as to account for possible bias. Cytotoxicity was assessed as a difference in the whole time series of cell viability, instead of analyzing differences in raw values (often found in the literature). Both extracts from Cornus mas L. induced cytotoxicity in both A375 and MeWo cell lines, although the response of these cells was different. Moreover, based on this study, there is no evidence for claiming a different magnitude of cytotoxicity between these two extracts.
1. Introduction
The notoriety of melanoma stems from its high phenotype plasticity, which does not only increase the probability of the metastasis of this tumor (compared to other skin cancers) but also enables melanoma cells to rapidly adjust their transcriptional profile to the alterations within the tumor microenvironment, associated with the presence of various non-cancer cells and/or presence of different compounds, including drugs [1,2,3,4,5,6]. This ability renders melanoma cells more resistant to targeted therapy and immunotherapy [5,6,7,8]. The introduction of phytochemicals as a potentially auxiliary factor in the antitumor treatment of melanoma is lately being discussed in the literature since many plant-derived compounds (in the following various forms: as plant extracts, single isolated compounds or compounds transported with nanocarriers) have yielded promising results against epithelial-mesenchymal transition, survival, invasion and metastatic capabilities of melanoma cells [9,10,11,12,13,14,15,16,17,18,19,20,21].
Due to their broad spectrum of utility, Cornaceae have long been discussed as a family of potential auxiliary uses in medicine, the food industry and cosmetics manufacturing. The scientific database concerning one of the major representants of this family, the ‘Cornelian cherry’ (Cornus mas L.), has reached over 4800 records. Such interest in this species stems from the medical property of compounds [22,23,24] (mainly—flavonoids, anthocyanins and iridoids) found in both the following: its leaves and fruits [25,26,27]. According to the literature, extracts from C. mas L. possess antibacterial [28,29,30,31,32] and antifungal [33] activity. Moreover, anti-inflammatory [34,35] and antioxidative [34,35,36,37,38] properties of C. mas L. extracts (and fruit preserves [39]) may explain hepatoprotective [40,41,42], cardioprotective [43,44], nephroprotective [45,46], anti-atherosclerotic [47,48,49], antidiabetic [50], hypoglycemic and hypocholesterolemic [51,52,53,54,55] effects of C. mas L. observed in animal models.
Much attention has been drawn to the cytotoxic, antiproliferative, and thus, anti-cancer [38,56,57,58,59,60,61] attributes of C. mas L. Furthermore, the antitumor and anti-inflammatory actions of C. mas L. compounds have been successfully applied in the form of nanoparticle carriers containing the extract itself or its various components [9,62,63,64,65,66]. Cytotoxic/antiproliferative properties of C. mas L. extracts have been observed (based on the aforementioned studies) with the use of various tumor cell lines, such as the following: MCF-7, SKOV-3, PC-3, HeLa, HepG2, CaCo-2, HT29, CT26, A549. However, although some studies suggest that an extract from the fruits of C. officinalis L. inhibits the advanced glycation end-product-induced melanogenesis process in melanoma (B16 cell line) cells [67], no information on the cytotoxic effect of C. mas L. extracts on melanoma cell lines could be found in the literature. This study aimed to explore the possible cytotoxic effect of two types (yellow and red) of C. mas L. extracts on the following two melanoma cell lines of different growth rates: A375 and MeWo.
2. Results
2.1. The Chemical Composition of Cornelian Cherry Extracts
The quantitative results concerning selected iridoids, anthocyanins, phenolic acids, flavonols and hydrolyzable tannins of Cornelian cherry extracts used in this study are shown in Supplementary Materials Table S1 and Figure 1. The compounds were identified based on their elution order, retention times, spectra of the individual peaks (MS, MS/MS); additionally, by comparison with literature data [24,32,50,68]. The study resulted in the identification of the following 37 main compounds: 2 iridoids (loganic acid and cornuside with pseudomolecular ions [M − H]− at m/z 375 and 541), 4 anthocyanins (cyanidin 3-O-galactoside, cyanidin 3-O-robinobioside, pelargonidin 3-O-galactoside and pelargonidin 3-O-robinobioside with [M + H]+ at m/z 449, 595, 433 and 579 respectively), 3 phenolic acids (caftaric acid and coutaric acid with [M − H]− at m/z 311 and 295, respectively), 2 flavonols (quercetin 3-O-glucuronide and kaempferol 3-O-galactoside with [M − H]− at m/z 477 and 447, respectively) and 26 hydrolyzable tannins, including their spatial isomers. Among hydrolyzable tannins, the main compounds were gemin D—the simplest molecule of all ellagitannins with ion [M − H]− at m/z 633 and its two derivatives (tellimagrandin I with [M − H]− at m/z 785 and tellimagrandin II with [M − H]− at m/z 937), two dimeric ellagitannins (camptothin A, which produced two ions [M − 2H]–2 at m/z 708 and [M − H]– at m/z 1417 and cornusiin A with two ions, [M − 2H]–2 at m/z 784 and [M − H]– at m/z 1569) and two trimeric ellagitannins (cornusiin F, which produced two ions, [M − 2H]–2 at m/z 1100 and [M − H]– at m/z 2201 and cornusiin C, which produced two ions, [M − 2H]–2 at m/z 1176 and [M − H]– at m/z 2353). Among the identified phenolic compounds, coutaric acid and hydrolyzable tannins were identified in the extracts of Cornelian cherry (Cornus mas L.) fruit for the first time. In previous studies, tannins were determined in Cornelian cherry but only in leaf and stone, not in fruit [29,68]. The contents of compounds of extracts are shown in Table 1.
Figure 1.
Content (mg/100 g dry weight (dw)) of main groups compounds of extracts from yellow and red Cornelian cherry (Cornus mas L.) fruits identified by means of HPLC method.
Table 1.
Results of the analysis of interactions performed on various datasets of this study.
The extract from the yellow fruits did not contain anthocyanins and was composed mainly of iridoids, hydrolyzable tannins and a small number of phenolic acids and flavonols. The content of loganic acid was in the amount of 15,383.35 mg/100 g dry weight (dw). Three phenolic acids present in the extract constituted only 1055.56 mg/100 g dw while flavonols 196.48 mg/100 g dw. The content of hydrolyzable tannins was in the amount of 18,722.01 mg/100 g dw.
The extract from the red fruits of the Cornelian cherry abounded in most of the identified compounds. It contained 16,601.62 mg/100 g dw iridoids, 2201.49 mg/100 g dw anthocyanins, 697.73 mg/100 g dw phenolic acids, 240.83 mg/100 g dw flavonols and 21,686.80 mg/100 g dw hydrolyzable tannins. The quantitative and qualitative composition of the iridoids and phenolic compounds of both extracts is comparable, as described by Dzydzan et al. [50].
2.2. Measuring Cytotoxicity with Use of SRB and MTT Methods
As mentioned before, the data presented in this section refer to two measurement procedures. The ‘standard procedure’ was carried out according to standard SRB method guidelines—trichloroacetic acid was added directly to the culture medium after reaching the end of the appropriate growth period (6 h, 24 h, 48 h, 72 h). The ‘alternative procedure’ involved removing the culture medium before adding trichloroacetic acid. In that case, the acid was diluted to reflect the conditions followed in the standard procedure. The rationale behind the analysis of an additional procedure is the suspected impact of the presence of Cornelian cherry extracts (per se) in the culture medium on the obtained results—due to the additional protein content found in these extracts.
Such an additional procedure was unnecessary in the context of the MTT method, as the removal of culture medium before further measurement steps was a part of the standard assay protocol since Cornelian cherry extracts possess antioxidative potential.
The report from the analysis of variance for all of the results is given in Table 1. A map of p-values for the contrast analysis is shown in Table 2. Due to the vast amount of data regarding the descriptive statistics of each discussed interaction, the tables which show marginal values (associated with the figures in this section) are given in Appendix A (Table A2, Table A3 and Table A4). In the whole ‘Results’ section, the results are described in reference to α-value of 0.05.
Table 2.
Results of the contrast analysis, performed in various datasets of this study.
2.2.1. The Series Measured with the SRB Method
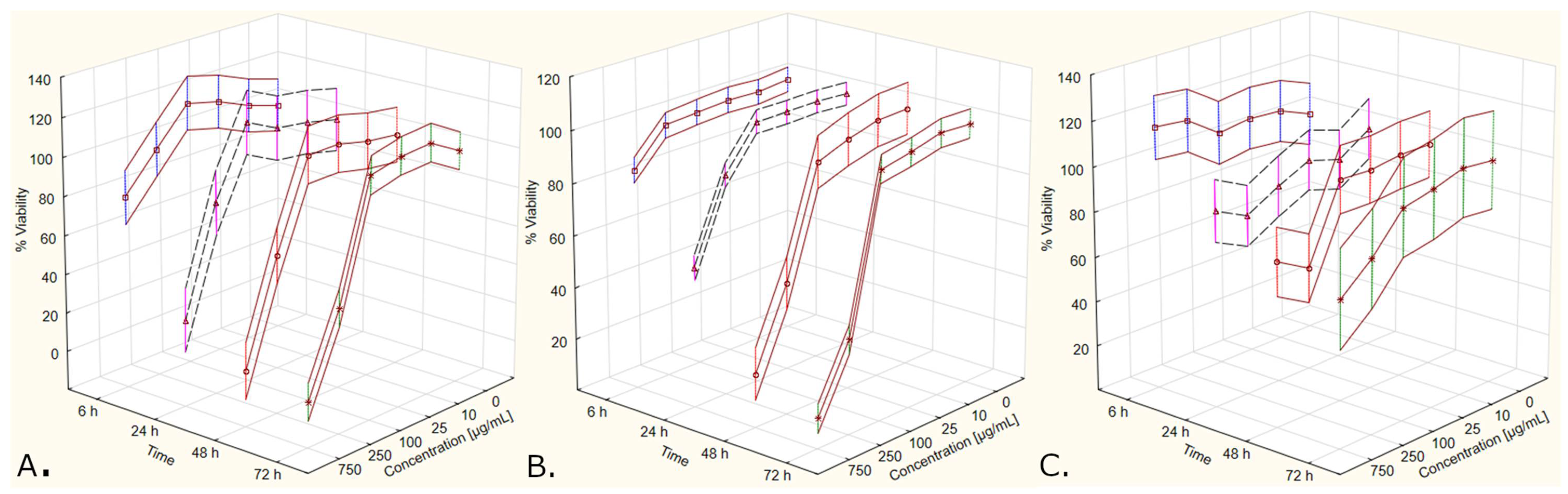
Under no presence of Cornelian cherry extracts, the cell protein content of A375 cells reached a plateau approximately at the 48th to 72nd hour, regardless of the assay procedure. The alternative SRB procedure showed significant differences in cell quantity over time in the context of extract type (Figure S1A) or concentration (Figure S1B). However, the difference between the influence of these extracts on cell protein content was on the brink of statistical significance (approximately, p = 0.062) when the growth curves were split according to extract concentration (Figure 2).
Figure 2.
Cell protein content curves (A375 cell line, SRB assay) in context of both: type and concentration of Cornelian cherry extracts (Time*Type*Concentration interaction). The values were obtained with use of the alternative assay protocol. The values are given as estimated marginal means ± standard error.
The statistical significance of the difference between cell protein content curves in the context of different extract types was affected by the higher slope of the growth curve in the 6–24 h time period and a negative slope in the 48 h–72 h time period, which was obtained for measurement series associated with the presence of the extract from yellow Cornelian cherry. Under the presence of an increasing concentration of extracts, the cell count limit was decreasing, reaching a value close to “0” in the following two highest concentrations of Cornelian cherry extracts: 250 µg/mL and 750 µg/mL (Figure S1B). Contrast analysis revealed significant differences between the control series (concentration equal to “0”) and the other series, starting from the following lowest concentration tested: 10 µg/mL (Table 2).
The standard assay procedure revealed no difference in cell protein content curves in the context of the type of the used extract (Figure S2A). The growth of the cells was markedly decreasing with increasing values of extract concentration. No growth was observed in the following two highest concentrations: 250 µg/mL and 750 µg/mL (Figure S2B). When the curves were split, simultaneously, according to both extract type and concentration, the two types of extracts showed no difference in how they affected the changes in cell protein content (Figure 3). Contrast analysis confirmed the observations made with the use of the standard assay procedure—a significant difference in growth curves, compared to the control series, was found in all of the analyzed series (starting from a concentration of Cornus mas L. extract equal to 10 µg/mL).
Figure 3.
Cell protein content curves (A375 cell line, SRB assay) in context of both: type and concentration of Cornelian cherry extracts (Time*Type*Concentration interaction). The values were obtained with use of the standard assay protocol. The values are given as estimated marginal means ± standard error.
The cell protein content plateau of the MeWo cells was not reached in the control series regardless of the used assay procedure. The alternative procedure revealed that the difference in extract type did not have a significant influence over cell protein content alterations (Figure S3A), regardless of whether the data was additionally split according to extract concentration (Figure 4). Although the two highest concentrations (250 µg/mL and 750 µg/mL) highly affected changes in cell protein content, contrast analysis revealed a slight difference (in the growth interval from 24th up to 72nd hour of growth) between the control series and the series in which the concentration was 100 µg/mL, regardless of the type of extract (Table 2, Figure S3B).
Figure 4.
Cell protein content curves (MeWo cell line, SRB assay) in context of both: type and concentration of Cornelian cherry extracts (Time*Type*Concentration interaction). The values were obtained with use of the alternative assay protocol. The values are given as estimated marginal means ± standard error.
Interestingly, the standard assay procedure showed differences in alterations in cell protein content slopes of the MeWo cells between series associated with a different type of the extract (Figure S4A). The series associated with an extract concentration equal to 10 µg/mL showed slightly increased cell protein content in comparison to the control series (Figure 5). These two occurrences may be associated with the significance of the Time*Type*Concentration interaction (Table 1). Contrast analysis revealed that the differences in the cell protein content trend occurred in the two highest extract concentrations, regardless of the extract type (Table 2; this fact could also be seen in Figure S4B).
Figure 5.
Cell protein content curves (MeWo cell line, SRB assay) in context of both: type and concentration of Cornelian cherry extracts (Time*Type*Concentration interaction). The values were obtained with use of the standard assay protocol. The values are given as estimated marginal means ± standard error.
2.2.2. Measurements of Cell Metabolic Activity with Use of the MTT Method
Regarding the control series, conversely to the observations for the SRB method, no plateau was reached in the case of A375 cells. MeWo cells reached their metabolic capacity plateau approximately at the 48th/72nd hour of growth.
In the context of the A375 cells, the between-extract type differences in the first two time points (6 h, 24 h) most probably were associated with the significance of the Time*Type interaction (Figure S5A). After splitting the data according to both the following: type and concentration of the extract, the difference between metabolic activity curves associated with the two extract types was observed in the data associated with an extract concentration of 10 µg/mL (Figure 6)—thus, the significance of the Time*Type*Concentration interaction (Table 1). Contrast analysis showed significant differences in the overall metabolic activity curve between the control series and the rest of the series, starting from the lowest tested extract concentration (10 µg/mL), regardless of extract type. This dependence could also be seen in the metabolic activity curves if extract type was not accounted for (Figure S5B). The two highest extract concentrations were associated with very low cell metabolic activity, which was maintained over the analyzed time.
Figure 6.
Metabolic activity curves (A375 cell line, MTT assay) in context of both: type and concentration of Cornelian cherry extracts (Time*Type*Concentration interaction). The values are given as estimated marginal means ± standard error.
Significant differences in two sets of series measured in the context of the MeWo cells, associated with different extract types (Figure S6A), were observed. The differences in cell growth remained significant when both the following factors: extract type and concentration, were accounted for (Figure 7). When the extract type was not accounted for, the two highest extract concentrations (250 µg/mL and 750 µg/mL) were associated with different metabolic activity curves, compared to the control series (Figure S6B). The results of contrast analysis reflected the differences in metabolic activity seen in Figure S6A, showing variable results depending on extract type. The lowest concentration of the yellow extract, which had a significant impact on cell metabolic activity, was 100 µg/mL. The red extract, however, showed a significant impact on cell metabolic activity only when the first time point (6 h) was compared with the other three time points (24 h, 48 h, 72 h). Overall, both extract types, in a concentration of 250 µg/mL or 750 µg/mL, had an impact on cell metabolic activity over time.
Figure 7.
Metabolic activity curves (MeWo cell line, MTT assay) in context of both: type and concentration of Cornelian cherry extracts (Time*Type*Concentration interaction. The values are given as estimated marginal means ± standard error.
2.3. Estimation of IC50 Based on the Results from SRB and MTT Assays
In the previous sections, cytotoxicity was assessed as the difference in the shape of the curve describing the changes in cell viability over time. Whereas that reasoning allowed the use of more sensitive statistical methods to test whether the growth rates differed under the effect of C. mas L. extracts, it may seem confusing in the context of describing the cytotoxicity in the context of IC50. Therefore, the data in this section have been transformed from raw absorbance values to a percentage of cell viability (in reference to the control values). The data is shown in a series describing cell viability in different concentrations of C. mas L. extract, regardless of its used type.
The previous sections showed that the results from the three used assay protocols led to highly similar conclusions regarding the concentration at which C. mas L. extracts possessed cytotoxic properties towards A375 and MeWo cells. However, as is shown in this section, the magnitude of this cytotoxicity is different for both the following cell lines: A375 (Figure 8) and MeWo (Figure 9). Results from MTT showed a greater decrease in cell viability, which could be observed even after 6 h of cell growth. The use of an alternative SRB protocol led to the same observation after 6 h of cell growth, although the inhibition of cell viability was less prominent compared to the results from the MTT assay. Interestingly, no differences in cell viability were spotted after 6 h of cell growth in the case of using the standard SRB protocol for cytotoxicity assessment. The most observable differences in cell viability measured according to this assay protocol are associated with longer cell culture times (48 h or 72 h).
Figure 8.
The magnitude of cytotoxicity induced with C. mas L. extracts on the A375 cell line, measured with use of: MTT protocol (A), alternative SRB protocol (B), standard SRB protocol (C). The data are shown as winsorized (95%) mean values ± standard deviation (estimated based on common variance).
Figure 9.
The magnitude of cytotoxicity induced with C. mas L. extracts on the MeWo cell line, measured with use of: MTT protocol (A), alternative SRB protocol (B), standard SRB protocol (C). The data are shown as winsorized (95%) mean values ± standard deviation (estimated based on common variance).
The differences in the size of the observed inhibitory effect of C. mas L. extracts in the context of different assay protocols led to different estimated values of IC50. For the A375 cell line, the IC50 values for cell culture times of the following: 6 h, 24 h, 48 h, 72 h, based on the MTT assay, were as follows: 188.67 µg/mL, 138.47 µg/mL, 58.89 µg/mL, 9.91 µg/mL, respectively (Figure 10A). MeWo cells were less susceptible to these extracts, showing IC50 values of the following: 970.13 µg/mL, 416.29 µg/mL, 265.47 µg/mL and 232.68 µg/mL, respectively (Figure 10B). The results from the SRB assay (regardless of the used assay protocol) may be deemed of questionable use in the context of calculating IC50 values since the magnitude of cytotoxic response to C. mas L. extracts measured with this method was markedly lower, compared to the response measured with the MTT assay (Figure 8 and Figure 9). All of the logistic regression models, along with their mathematical equations and calculated IC50 values (for the following three assay protocols: MTT, standard SRB and alternative SRB), are given in Appendix B (Table A5).
Figure 10.
Logistic regression functions fit to the data describing: the concentration of C. mas L. extracts and the % of cell viability of cell lines: A375 (A) and MeWo (B) measured with the MTT method. These functions were used to calculate the IC50 values corresponding with each cell culture time (6 h, 24 h, 48 h, 72 h).
3. Discussion
3.1. Should the Results Be Trusted? A Brief Post-Hoc Analysis of Merits and Drawbacks of the Design of This Study and Potential Factors to Consider in Future Experiments
The hypotheses tested in this study (presented in the ‘Statistical methods’ section) were assessed with the use of multiple-way repeated measures ANOVA, which is known for its higher statistical power compared to ANOVA, allowing the analysis of smaller statistical samples while maintaining a comparatively low type I error rate. Lack of sphericity, however, inflates the type I error rate [69], increasing the odds of false-positive results. As a lack of sphericity was observed in this study, Greenhouse–Geisser and Huynh–Feldt corrections were used to decrease the type I error rate by adjusting the degrees of freedom. The factors which further increase the reliability of the results of this study are the following: the use of two different cell lines (A375 and MeWo), the count of assay methods (2 of which the MTT is deemed as ‘the gold standard’ in measuring cytotoxicity [70]), an additional alternative protocol for performing one of the assays (SRB), the count of series (4) and replications within each series (8). Interestingly, out of the two methods used in this study, the SRB method may be more suitable for experiments using compounds of oxidoreductive potential, as shown by van Tonder et al. [70].
The main problem faced in the process of data analysis was determining the presumable source of variability of the obtained results. The use of classic post-hoc tests (such as Tukey’s HSD) would provide redundant comparisons, which were not aimed to be tested a priori in the process of study design. Contrast analysis, used in this study, facilitated the process of hypothesis testing since it used a predefined subset of all the possible comparisons [71], allowing the analysis of a generalized growth rate trend instead of comparing the results associated with each combination of the following factors analyzed in this study: type and concentration of used Cornelian cherry extracts. This approach, however, remains not ideal in the case of this study, as the cell growth randomly varied due to conditions associated with the still-unknown action of the compounds found in the used extracts, which could not be presumed in the process of study design. This problem may be portrayed by the (control) series in which no Cornelian cherry extract was present. Due to methodological reasons, each Cornelian cherry type was ascribed to its own control series. Although these curves should hypothetically be nearly identical, slight differences could be seen at various time points. This fact might have affected the p-values of the F test in the case of Time*Concentration*Type interaction, showing false-positive significance. Owing to the fact that this study was aimed to provide preliminary information on the cytotoxicity of Cornelian cherry extracts towards melanoma cell lines, the authors recommend a decrease of the α-value used for statistical inference to 0.001 (instead of 0.05) so as not to over-interpret the results, especially in the section describing the contrast analysis.
Another limitation of this preliminary study may stem from the use of Cornelian cherry extracts rather than the compounds directly isolated from them. Hence, the observed cytotoxic effect, although backed up by the results of this study, remains unidentified in terms of its potential mechanism. This drawback of the study could be addressed in future experiments by assessing the concentration/activity of selected compounds found in the Cornelian Cherry extracts and using this information as a covariate factor in repeated measures analysis of covariance (ANCOVA) or using more complex statistical methods such as multivariate analysis.
It is important to note that the chemical composition of used Cornus mas L. extracts in the context of iridoid and phenolic content is comparable with the information provided by Dzydzan et al., where Cornus mas L. ‘Yantarnyi’ and ‘Podolski’ were used [50]. In the mentioned study [50], similarly to the study presented in this manuscript, anthocyanins were not detected in the yellow Cornus mas L. extract. Potential confusion when comparing the composition of fruits or leaves of plant species with other studies may stem from the diversity of methods used to quantify the content and the units in which some of these values are displayed [72,73,74] (for example, as gallic acid or loganic acid equivalents [24,38]). Moreover, genetic variation across Cornus mas L. is one of the key factors affecting the variability in the phytochemical composition of its fruits [75]. Therefore, utilizing the fruits of well-described origin is a key factor in the design of mechanistic studies associated with the action of plant nutraceuticals. In this study, authenticated voucher specimens of Cornus mas L. were used. Therefore, the results of this study could be referred to in future studies. More information on the differences in phytochemical content of various Cornus mas L. cultivars (including ‘Yantarnyi’, ‘Flava’ and ‘Podolski’, which were used in this study) could be found in a study by Kucharska et al. [24], utilizing voucher specimens. Proper storage of the fruits and extracts prevented the loss of valuable phytochemical content such as phenolics, the degradation of which has been shown to be correlated with storage temperature [76].
3.2. Insights into the In Vitro Antiproliferative and Cytotoxic Properties of the Cornus L. Species Based on Other Studies
As mentioned before (in the ‘Introduction’ section), the extracts obtained from the leaves and fruits of plants of the Cornaceae family induce both antiproliferative and cytotoxic effects on various cancer cell lines. Both of these effects contribute to the antitumor action of Cornaceae extracts. According to Forman et al. [77] (a study on the MCF-7 cell line), the following three Cornus species: C. alba L., C. officinalis L. and C. mas L. (used in this study) were most effective in terms of the antiproliferative action. Both the following: polyphenol and tannin content correlated with this effect. Further evidence of the antiproliferative capacity of tannins could be found in a different study in which the dimeric elagitannins of C. alba L. were the factors that selectively impaired proliferation of the LNCaP cell line, inducing apoptosis and S-phase arrest [78]. Yousefi et al. [58] observed the antiproliferative effect of the hydro-alcoholic extract of C. mas L. on the following four cancer cell lines: A549, MCF-7, SKOV3 and PC3. Regardless of the used cell line, antiproliferative effects were spotted in a broad spectrum of concentrations from 5 to 1000 µg/mL. Hosseini et al. [59] observed cytotoxic and proapoptotic effects of C. mas L. extract on AGS and L929 cell lines with the use of the MTT test and FITC-Annexin V binding, observed with the use of flow cytometry. Based on the figures featured in the mentioned study, the lowest concentrations of C. mas L. extract in which cytotoxicity could be observed were the following: 5 mg/mL (after 48 h of cell growth) or 2 mg/mL (after 72 h), regardless of the used cell line. Two other studies [36,38] showed cytotoxic activity of C. mas L. extract on the following various cancer cell lines: HeLa, LS174, Caco-2, HT-29, MCF-7, HepG2. In a study by Efenberger-Szmechtyk et al. [56], the cytotoxicity of C. mas L. leaf extracts was associated with various morphologic alterations within Caco-2 cells (chromatin condensation, cytoplasmic vacuolization, nucleus fragmentation/lysis inter alia). Interestingly, C. mas L. extract had a dichotomous effect on cell DNA, damaging it (in a dose-dependent manner) in concentrations that were associated with cytotoxic effects, or inducing DNA repair in the cells in response to hydrogen peroxide—in concentrations of the extract that did not induce cytotoxicity. Based on this study, it could be hypothesized that the compounds found in the extract exert antagonistic properties depending on their concentration. It seems likely that this effect may be associated with the antioxidative potential of these compounds since many known natural antioxidants, such as the following: phenols [79,80], anthocyanins [81], flavonoids [81,82,83,84] and carotenoids [81,85,86], may also act similar to prooxidants, depending on various conditions, such as the following: pH and their chelating behavior or solubility characteristics. This fact illustrates a potential occurrence of bias associated with drawing conclusions based solely on correlations between the antiproliferative/cytotoxic properties of plant-derived extracts and their estimated contents. Further confusion could arise upon analysis of the scientific literature discussing the topic of antiproliferative/cytotoxic effects of C. mas L. extracts, as both terms are often used interchangeably. Hence, many studies refer to the ‘antiproliferative effect’ while, in fact, measuring cytotoxicity with the use of assays such as MTT or SRB.
3.3. The Effect of Cornus mas L. Extracts on Cell Viability Observed in This Study
In most of the above-mentioned studies, only one type of C. mas L. was featured. The literature focuses mainly on extracts obtained from leaves or flowers, while the amount of scientific evidence regarding fruit-derived extracts remains scarce. In most studies, cell cytotoxicity was measured after 48 h or 72 h of cell growth. Moreover, none of the listed references discussed the cytotoxic effect of C. mas L. extracts on melanoma cell lines. In this study, the viability of two melanoma cell lines (A375, MeWo) over time under the effect of C. mas L. (yellow or red) fruit extracts was analyzed after 6 h, 24 h, 48 h and 72 h of growth. Analysis of these four time points as a series of data rather than independent measurements provides more insights on the studied effect.
First and foremost, it could be observed that the absolute differences in cell viability in the studied time series depended on the used assay method/protocol. The differences in the variability of the observed absorbance values measured with the MTT assay and the SRB assay stem from the fact that both assays measure different effects associated with cell viability. While the MTT method is an assessment of cell metabolism, the SRB method determines the amount of protein content. The SRB method, which was performed according to the alternative protocol, yielded lower absorbance values compared to the SRB method, to which the standard protocol was applied. This may be due to the fact that the alternative protocol included the removal of the culture medium before fixation with TCA. Thus, the proteins that were liberated from the cells during their growth or apoptosis were removed from the analyzed samples before staining with SRB. Interestingly, after removing these proteins, the SRB assay showed about 5-fold lower absorbance values compared to the MTT assay in the case of A375 cells, while the results of the same (alternative) SRB assay were over 4-fold higher compared to the MTT assay in the case of MeWo cells. Therefore, the content of proteins liberated from the cells into the culture medium during their growth/death is far greater in the case of A375 cells compared to MeWo cells. It could be hypothesized that this occurrence stems from the faster metabolism of A375 cells, as observed with the use of the MTT assay.
As mentioned before, due to the rather preliminary character of this study, an α-value of 0.001 may be more beneficial in the process of statistical inference, given that general cell viability time series (not the differences between each time point per se) were to be discussed in this study. If the results would be analyzed with regard to that α-value, it could be said that both SRB assay approaches revealed no significant interaction between type and concentration of C. mas L. extract. Results of the MTT assay would lead to the same conclusion in the case of MeWo cells but not the A375 cells. This fact may stem from different viability time series over time in the case of series in which the concentration of C. mas L. extracts was 10 µg/mL. In the presence of 10 µg/mL of the yellow C. mas L. extract, cells reached a plateau between 48 h and 72 h of growth, while they kept growing in the presence of the same concentration of red C. mas L. extract. As this observation is discrepant in regard to SRB assays, the hypothesis of a significant interaction between time and the type and concentration of these extracts should be updated in future research before being assumed as true. Moreover, the contrast analysis does not warrant the assumption of the said hypothesis as the studied growth time series are similar regardless of the type of used extract type. To sum it up, at this point, it is advised to view the time and concentration of C. mas L. extract as the factors, which affect the viability of melanoma cells. Since the type of C. mas L. extract did not affect the cytotoxic effect, it could be hypothesized that anthocyanin content is not associated with this effect. This hypothesis stems from the fact that one of the used extracts did not contain these compounds. This hypothesis should be tested in future studies (with the use of numerous Cornaceae-derived extracts of different anthocyanin content) before it may be claimed as (potentially) true in the context of cytotoxicity/impairment of proliferation induced in melanoma cells since anthocyanins (and some anthocyanin-rich extracts) were shown to induce cytotoxicity or affect the proliferation of various cancer cells [87,88,89,90,91,92,93,94].
Interesting observations could be made regarding the two cells in terms of the minimal concentrations at which the cytotoxic effect occurred. Regardless of the used assay method, it could be seen that both cell lines are of different susceptibility to the cytotoxic effect of the used extracts. Every tested concentration (range: 10 µg/mL–750 µg/mL) of the extract was cytotoxic toward A375 cells. The same conclusion could be drawn based on the three assay methods/protocols. However, the analysis of the viability of MeWo cells is more complex. Based on the results obtained with the use of the standard SRB protocol, it could be observed that C. mas L. extracts of concentrations within the 250 µg/mL–750 µg/mL range had a cytotoxic effect on MeWo cells. The alternative SRB and MTT assay protocols would lead to the same conclusion. However, if a standard α-value of 0.05 was used for statistical inference, it could be hypothesized that 100 µg/mL may also, although mildly, have had a transient cytotoxic effect on MeWo cells.
In the previous section, the cytotoxic and antiproliferative actions of Cornus L. extracts were presented in reference to other studies. In this study, in one of the MeWo time series (750 µg/mL of C. mas L. extract) obtained with the use of the MTT assay, cell metabolism decreased with time. The respective time series (750 µg/mL of C. mas L. extract) obtained with the use of the SRB assay (alternative protocol) showed the same occurrence (decrease in absorbance over time). Interestingly, some of the time series (such as the one associated with 250 µg/mL of C. mas L. extract, obtained with the use of an alternative SRB assay protocol) showed a markedly decreased rate of cell growth (a mild increase in absorbance) compared to the control time series. Thus, both cytotoxic and antiproliferative effects could be hypothesized with regard to the cell viability time series featured in this study.
An interesting observation was made after transforming the results from raw absorbance values into the percentage of cell viability so as to calculate IC50 values. The MTT assay revealed a higher relative cytotoxic response of both cell lines to C. mas L. extracts compared to the results obtained with the SRB assay, regardless of the used assay protocol. Moreover, the SRB assay showed higher values of the aforementioned cell response when the alternative assay protocol was applied. Regardless of the used cell line, no cytotoxic response to Cornus mas L. was observed with the SRB assay after 6 h of cell culture. These facts affected the IC50 values estimated with the use of logistic regression models, rendering some of these values (namely, those associated with the ‘standard’ SRB assay, after 6 h of cell culture, regardless of the cell line) non-computable. These observations may presumably stem from the different nature of both these assays. Since metabolic changes are spotted earlier than the factual cell lysis, the MTT assay (which assesses the cell metabolic activity) provided markedly lower IC50 values compared to SRB (used to determine cellular protein content). Interestingly, IC50 values associated with the MTT assay could account for the fact that MeWo cells are less susceptible to C. mas L. extracts compared to the A375 cells, as shown based on the growth time series analyzed in this study. The IC50 values estimated in this study should rather be perceived as preliminary, providing the grounds for future research on this matter.
Although no other study found in the literature covers the exact problem discussed in this study, there is evidence that MeWo and A375 cells differ from each other (or from primary melanocytes in general) in terms of cytotoxicity or proliferation. Qiao et al. [95] observed that A375 cells were susceptible to the pro-oxidative action of thiostrepton. Oxidative stress in these cells evoked upregulation of heat shock protein expression and apoptotic and proteogenic effects. This effect was antagonized by antioxidative treatment. Interestingly, primary melanocytes were not affected by thiostrepton. The higher susceptibility of melanoma cells to oxidative stress may presumably stem from alterations in antioxidative mechanisms within these cells in comparison to primary melanocytes. The expression of one of the S100 proteins, S100A10 (hypothesized to be associated with cell proliferation [96]), was downregulated in three melanoma cell lines (G-361, A375 and MeWo) compared to normal melanocytes (HEMn cell line). Of the three melanoma cell lines, MeWo showed higher S100A10 expression [96]. Okazawa et al. [97] observed that out of three melanoma cell lines (A375, MeWo, HM3KO), only A375 was prone to growth inhibition by endothelin-1. The fact that melanoma cells may be selectively affected by specific antiproliferative/cytotoxic agents is promising in terms of the future development of cancer treatment.
Despite its limitations, this study shows that fruit extracts of yellow or red C. mas L. have a cytotoxic effect on the following two melanoma cell lines: A375 and MeWo. There is no sufficient evidence to claim that the type of the used extract induced a different cytotoxic effect in the tested cell lines. Interestingly, the A375 cell line was more prone to cytotoxicity compared to MeWo cells. These results may also imply that other melanoma cells may also differ in susceptibility to C. mas L. extracts and, perhaps, to extracts derived from other species of the Cornaceae family. Future tests may need to feature a greater number of tested melanoma cell lines to examine the patomechanism of the cytotoxicity of C. mas L. extracts. Examining the potentially variable antioxidative capacity of melanoma cells may be of significance in the context of the development of new hypotheses regarding the susceptibility of melanoma cells to cytotoxic effects, potentially providing novel solutions in the utilization of plant-based extracts (or their compounds) in targeted, anti-cancer treatment.
4. Materials and Methods
4.1. The Procurement of the Material, Its Identification and Quantitative and Qualitative Characterization
All reagents and organic solvents were of analytical grade. Authentic standards of loganic acid, cyanidin 3-O-glucoside, p-coumaric acid, gallic acid, quercetin 3-O-glucoside, kaempferol 3-O-glucoside were purchased from Extrasynthese (Genay, France). Trans-caftaric acid was purchased from Cayman Chemical Company (Michigan, EUA, Ann Arbor, MI, USA). Trans-coutaric acid was purchased from Merck (Darmstadt, Germany). Methanol, acetonitrile and formic acid were obtained from POCh (Gliwice, Poland).
4.1.1. Preparation and Purification of Extracts
Yellow (‘Yantarnyi’ and ‘Flava’) and red (‘Podolski’) cornelian cherry fruits (Cornus mas L.) were harvested from the Arboretum in Bolestraszyce, near Przemyśl, Poland. The plant materials were authenticated by Elżbieta Żygała, M.Sc. (Arboretum and Institute of Physiography in Bolestraszyce, Przemyśl, Poland), and the adequate voucher specimens (‘Yantarnyi’—BDPA 14131; ‘Flava’—BDPA 8795; ‘Podolski’—BDPA 10462) have been deposited at the Herbariums of Arboretum in Bolestraszyce, Poland. After harvesting fruits were immediately frozen at −20 °C. Frozen ripe fruits of cornelian cherry were shredded and heated for 5 min at 95 °C using a Thermomix (Vorwerk, Wuppertal, Germany). The pulp was subsequently cooled down to 50 °C and depectinized at 50 °C for 2 h by adding 0.5 mL of Pectinex BE XXL (Novozymes A/S, Denmark) per 1 kg. After depectinization, the pulp was pressed in a laboratory hydraulic press (SRSE, Warsaw, Poland). The pressed juice was filtered and run through an Amberlite XAD-16 resin column (Rohm and Haas, Chauny Cedex, France) for purification. Impurities (sugars and organic acids) were washed off with distilled water. During the washing of the column with water, the process was monitored on an ongoing basis (with use of HPLC) and no losses of water-soluble bioactive compounds were observed. Two purified extracts (one from yellow C. mas L. and one from red C. mas L.) were eluted with 80% ethanol. The extracts were concentrated under vacuum at 40 °C. The solvent was evaporated using a Rotavapor (Unipan, Warsaw, Poland) and then the extracts were freeze-dried (Alpha 1–4 LSC, Christ, Osterode am Harz, Germany).
4.1.2. Qualitative Identification by Means of LC-MS
The method was previously described by Przybylska et al. [68]. Identification of compounds was carried out via the Acquity ultra-performance liquid chromatography (UPLC) system, coupled with a quadrupole-time of flight (Q-TOF) MS instrument (UPLC/Synapt Q-TOF MS, Waters Corp., Milford, MA, USA), with an electrospray ionization (ESI) source. Separation was achieved on an Acquity UPLC BEH C18 column (100 × 2.1 mm i.d., 1.7 µm; Waters Corp., Milford, MA, USA). The mobile phase was composed of a mixture of 2.0% aq. Formic acid v/v (A) and acetonitrile (B). The following gradient program was used: initial conditions, 1% B in A; 12 min, 25% B in A; 12.5 min, 100% B; 13.5 min, 1% B in A. The flow rate was 0.45 mL/min, and the injection volume was 5 µL. The column was operated at 30 °C. UV-Vis absorption spectra were recorded online during UPLC analysis, and the spectral measurements were made in the wavelength range of 200–600 nm, in steps of 2 nm. The major operating parameters for the Q-TOF MS were set as follows: capillary voltage 2.0 kV, cone voltage 40 V, cone gas flow of 11 L/h, collision energy 28–30 eV, source temperature 100 °C, desolvation temperature 250 °C, collision gas, argon; desolvation gas (nitrogen) flow rate, 600 L/h; data acquisition range, m/z 100–2500 Da. The compounds were monitored at 245, 280, 320, 360, 520 nm and explored in the negative and positive (in case of anthocyanins) modes before and after fragmentation. The data were collected with Mass-Lynx V 4.1 software (Waters Corp., Milford, MA, USA).
4.1.3. Quantitative Determination of Anthocyanins, Flavonols, Phenolic Acids and Iridoids by HPLC-PDA
The HPLC analysis was carried out according to Spychaj et al. [98] using a Dionex (Germering, Germany) system equipped with diode array detector Ultimate 3000, quaternary pump LPG-3400A, autosampler EWPS-3000SI, thermostated column compartment TCC-3000SD and controlled by Chromeleon v.7.2 software. Separation was achieved using a Cadenza Imtakt column CD-C18 (75 × 4.6 mm, 5 μm). The mobile phase was composed of solvent A (4.5% aq. formic acid, v/v) and solvent B (100% acetonitrile). The gradient profile was as follows: 0–1 min 5% B in A, 1–20 min 25% B in A, 20–26 min 100% B, 26–30 min 5% B in A. The flow rate of the mobile phase was 1 mL/min, and the injection volume was 20 μL. The column was operated at 30 °C. Anthocyanins were detected at 520 nm, flavonols at 360 nm, phenolic acids at 320 nm and iridoids at 245 nm. Calibration curves at concentrations in range of 0.02–0.3 mg/mL (R2 ≥ 0.9998) were determined experimentally for cyanidin 3-O-glucoside, quercetin 3-O-glucoside, kaempferol 3-O-glucoside, caffeic acid and p-coumaric acid. The results were provided as mean ± standard deviation from three replications and expressed as milligrams per 100 g of the dry extract.
4.1.4. Quantitative Determination of Hydrolyzable Tannins by HPLC-PDA
The HPLC analysis was performed according to Przybylska et al. [68] using a Dionex (Germering, Germany) system equipped with diode array detector Ultimate 3000, quaternary pump LPG-3400A, autosampler EWPS-3000SI, thermostated column compartment TCC-3000SD and controlled by Chromeleon v.7.2 software. Separation was achieved on a Hypersil GOLD C18-column (250 × 4.6 mm, 5 μm; Thermo Fisher Scientific Inc., Leicestershire, UK). The following mixtures were used as eluents: A, water-FA (98.5:1.5, v/v) and DB, acetonitrile-FA (98.5:1.5, v/v). The following gradient profile was applied: initial conditions 100% A, 30 min; 30% B, 33 min; 70% B, 45 min; 70% B in A, 48 min; 100% B, 55–60 min; 100% A. The flow rate of the mobile phase was 1.2 mL/min, and the injection volume was 20 μL. The column was operated at 22 °C. Hydrolyzable tannins were detected at 280 nm. Calibration curve at concentrations in range of 0.02–0.3 mg/mL (R2 ≥ 0.9996) was determined experimentally for gallic acid. Results are provided as the total of individual isomers of three replications and expressed as milligrams per 100 g of the dry extract.
4.2. Cell Viability Assays
4.2.1. Cell Culture
Human melanoma cell lines—MeWo (ATCC® HTB-65™) and A375 (ATCC® CRL-1619™) were purchased from American Type Culture Collection (ATCC; Manassas, VA, USA). MeWo cells were cultured in culture flasks (T-75, Falcon®, Corning Life Sciences, Tewksbury, MA, USA) in Minimum Essential Medium (MEM; without phenol red; Gibco, Thermo Fisher Scientific, Waltham, MA, USA) supplemented with 2 mM of GlutaMAX™ (Gibco, Thermo Fisher Scientific, Waltham, MA, USA), 1 mM sodium pyruvate solution (Sigma-Aldrich, Saint Louis, MO, USA), MEM Non-Essential Amino Acid Solution (Sigma-Aldrich, Saint Louis, MO, USA). A375 cells were cultured in Dulbecco’s Modified Eagle Medium (DMEM; without phenol red, Gibco, Thermo Fisher Scientific, Waltham, MA, USA), respectively. Cell culture media were supplemented with 10% heat-inactivated fetal bovine serum (FBS; Gibco, Thermo Fisher Scientific, Waltham, MA, USA) and 1% stabilized antibiotic antimycotic solution containing 10,000 units of penicillin/mL, 10 mg/mL of streptomycin and 25 µg/mL of amphotericin B (Sigma-Aldrich, Saint Louis, MO, USA). The medium was renewed every 3 days. The cells were cultured under standard culture conditions at 37 °C in humidified air containing 5% CO2 in a CELCULTURE® CCL-170B-8 incubator (Esco Micro Pte Ltd., Singapore). For experiments, the cells were harvested with TrypLE™ Express (Gibco, Thermo Fisher Scientific, Waltham, MA, USA), stained with 0.4% trypan blue solution and counted with use of Countess™ Automated Cell Counter (Invitrogen, Thermo Fisher Scientific, Waltham, MA, USA).
In total, 200 µL of medium with suspended cells were placed in each well of a 96-well microtiter plate (Eppendorf AG, Hamburg, Germany). Each well initially contained 1.0 × 104 or 5.0 × 103 cells. After seeding, cells were maintained for 24 h in a CO2 incubator for cell attachment and homeostasis. Next, the cell culture medium was withdrawn from the wells and replaced with 200 µL of fresh cell culture medium with addition of red or yellow Cornelian cherry extract. Stock aqueous solutions (10 mg/mL) of extracts were used for further dilutions. The concentration of the extracts was 10, 100, 250 or 750 µg/mL. This experiment was performed in four series utilizing cells from different cell passages. Each series consisted of 8 replicates corresponding to different growth conditions (variable concentration and type of the Cornelian cherry extract).
4.2.2. Cytotoxicity Measurements with Use of the MTT Method
The culture medium was removed from the wells and 100 μL of 0.5 mg/mL MTT (3-(4,5-dimethylthiazol-2-yl)-2,5-diphenyltetrazolium bromide, Sigma-Aldrich, Saint Louis, MO, USA) solution in PBS buffer was added. After 2 h incubation at 37 °C, acidified isopropanol (100 μL, 0.04 M HCl in 99.9% isopropanol) was added to dissolve formazan crystals. Absorbance was measured at 570 nm using the multiplate reader (GloMax®, Promega GmbH, Walldorf, Germany).
After 6, 24, 48 and 72 h of treatment, post-culture medium was removed, cells were rinsed with sterile PBS solution. Then, 100 μL of 0.5 mg/mL 3-(4,5-dimethylthiazol-2-yl)-2,5-diphenyl tetrazolium bromide in complete growth medium (MTT reagent; Sigma-Aldrich, Saint Louis, MO, USA) was added. Microtiter plates were incubated for 3 h in the CO2 incubator under the aforementioned conditions. Subsequently, the MTT reagent was decanted, and the formed formazan crystals were dissolved in dimethyl sulfoxide (DMSO; BioShop, Burlington, ON, Canada). The absorbance was measured using an Infinite® M200 plate spectrophotometer (Tecan Group Ltd., Männedorf, Switzerland) at λ = 540 nm.
4.2.3. Cytotoxicity Measurements with Use of the SRB Method
After the 6, 24, 48 and 72 h incubation periods, post-culture medium was removed and cells were washed with sterile phosphate-buffered saline (PBS) solution (‘alternative’ protocol) or left to stand (‘standard’ protocol, according to the literature [99]). Subsequently, TCA (trichloroacetic acid) was used for fixation. The final concentration of TCA was 10%. After 1 h incubation at +4 °C, the cells were washed at least 5 times with distilled water and dried. Then, a freshly prepared solution of 0.04% SRB (Sigma-Aldrich, USA) in 1% acetic acid (Avantor Performance Materials Poland, Gliwice, Poland) was added to each well and the plates were left at room temperature, in the dark, for 30 min. Subsequently, the dye was removed from each well and the microtiter plates were washed in 1% acetic acid so as to remove the excess dye. The SRB, which remained after the washing was solubilized in 10 mM Tris base solution (pH 10.5). The absorbance (proportional to the protein content within the cells) was measured using an Infinite® M200 plate spectrophotometer (Tecan Group Ltd., Männedorf, Switzerland) at λ = 520 nm.
4.3. Statistical Methods
Statistical analysis was performed with use of STATISTICA 13.3. package (StatSoft, Poland, Kraków, Poland) on license by Wroclaw Medical University. Multiple-way repeated measures analysis of variance (Multiple-way RM-ANOVA) with σ-restricted parametrization was used to check for significance of ‘Time’ and the following two other variables: the type of used Cornelian cherry extract (referred to as ‘Type’) and the concentration of the used extract (‘Concentration’). Between-variable interactions (Time*Type, Time*Concentration, Time*Type*Concentration) were also tested. Mauchly’s test was used to test for sphericity, although due to the lack of sphericity (Appendix A, Table A1), degrees of freedom were adjusted with use of Greenhouse–Geisser and Huynh–Feldt corrections, separately.
As the analysis was aimed to evaluate cell growth trend over time (not the quantity of the cells between each time point), contrast analysis was employed to compare the growth trend between the different sets of measurements (associated with different Cornelian cherry extract types and concentrations). The used set of hypotheses for contrast analysis was optimal for exploratory data analysis. The main hypotheses tested in this study were as follows:
- I.
- There is at least one concentration in which Cornelian cherry extract(s) have a cytotoxic effect over the analyzed melanoma cell line(s);
- II.
- The overall cell growth trend will be unaffected by the type of Cornelian cherry extract(s), under their presence in the cell culture medium;
These hypotheses were evaluated with use of two conjoined sets of a priori, auxiliary hypotheses (being a part of the contrast analysis) testing for equality of mean values as follows:
- I.
- Comparisons between series of measurements associated with different concentrations of Cornelian cherry extracts as follows (contrasts):
- -
- (C1) Control series vs. series with concentration equal to 10 µg/mL;
- -
- (C2) Control series vs. series with concentration equal to 25 µg/mL;
- -
- (C3) Control series vs. series with concentration equal to 100 µg/mL;
- -
- (C4) Control series vs. series with concentration equal to 250 µg/mL;
- -
- (C5) Control series vs. series with concentration equal to 750 µg/mL.;
- II.
- Comparisons between time points (hypotheses for each contrast according to Helmert coding matrix as follows [100,101]):
- -
- (M1) 6th hour of growth vs. other time points (24th hour, 48th hour, 72nd hour);
- -
- (M2) 24th hour of growth vs. the two next time points (48th hour, 72nd hour);
- -
- (M3) 48th hour of growth vs. the last time point (72nd hour).
As an example, a “C3-M2” set of hypotheses was used to check whether there was a significant difference between control series and series in which the concentration of Cornelian cherry extract was 100 µg/mL. The analyzed difference between time points in that comparison was 24th vs. (48th + 72nd) hours of cell growth. The described procedures facilitated the evaluation of the curve of cell growth, accounting for the fact that the increase in cell count over time has its limit. Contrast analysis was performed separately for two different types of Cornelian cherry extract. Additionally in the last ‘Results’ subsection, as the means for preventing drawing false conclusions from this study, α = 0.001 is discussed as the cut-off value for statistical inference apart from the commonly used α = 0.05. Both values are referred to in the text—to provide additional insights into the data.
IC50 was calculated based on three-parameter logistic regression [102]. For this purpose, the absorbance values were transformed into % of cell viability as series associated with each time of cell culture (6 h, 24 h, 48 h, 72 h).
5. Conclusions
The following conclusions could be drawn from this study:
- Extracts of yellow and red Cornus mas L. exert cytotoxic properties towards the following melanoma cell lines: A375 and MeWo;
- The A375 cell line was more susceptible to the cytotoxic effect of the Cornus mas L. extracts compared to the MeWo cell line.
The following hypotheses need more evidence before they may be claimed as valid:
- Cytotoxic properties of Cornus mas L. extracts do not differ in the context of the type of extract (whether it was collected from red or yellow Cornus mas L. species);
- Anthocyanin content is not associated with the cytotoxic properties of Cornus mas L. extract towards melanoma cell lines (since the two extracts induced the same cytotoxic effect and one of them did not contain anthocyanins).
Supplementary Materials
The following supporting information can be downloaded at: https://www.mdpi.com/article/10.3390/molecules27134193/s1. Table S1: Identification and content (mg/100 g dry weight (dw)) of main compounds of extracts from yellow and red Cornelian cherry (Cornus mas L.) fruits by means of LC-MS and HPLC; Figure S1: Cell protein content curves (A375 cell line, SRB assay) in the context of different types (Time*Type interaction, A) and concentrations of Cornelian cherry extract (Time*Concentration interaction, B). The values were obtained with use of the alternative assay protocol. The values are given as estimated marginal means ± standard error; Figure S2: Cell protein content curves (A375 cell line, SRB assay) in context of different types (Time*Type interaction, A) and concentrations of Cornelian cherry extract (Time*Concentration interaction, B). The values were obtained with use of the standard assay protocol. The values are given as estimated marginal means ± standard error; Figure S3: Cell protein content curves (MeWo cell line, SRB assay) in the context of different types (Time*Type interaction, A) and concentrations of Cornelian cherry extract (Time*Concentration interaction, B). The values were obtained with use of the alternative assay protocol. The values are given as estimated marginal means ± standard error; Figure S4: Cell protein content curves (MeWo cell line, SRB assay) in the context of different types (Time*Type interaction, A) and concentrations of Cornelian cherry extract (Time*Concentration interaction, B). The values were obtained with use of the standard assay protocol. The values are given as estimated marginal means ± standard error; Figure S5: Metabolic activity curves (A375 cell line, MTT assay) in the context of different types (Time*Type interaction, A) and concentrations of Cornelian cherry extract (Time*Concentration interaction, B). The values are given as estimated marginal means ± standard error; Figure S6: Metabolic activity curves (MeWo cell line, MTT assay) in the context of different types (Time*Type interaction, A) and concentrations of Cornelian cherry extract (Time*Concentration interaction, B). The values are given as estimated marginal means ± standard error.
Author Contributions
Conceptualization, Ł.L., I.B.-M., T.S. and M.K.-K.; Data curation, Ł.L. and D.P.; Formal analysis, Ł.L., A.Z.K. and D.P.; Funding acquisition, A.Z.K., T.S., N.P. and M.K.-K.; Investigation, Ł.L., I.B.-M., A.Z.K., A.K., D.P. and N.P.; Methodology, Ł.L., I.B.-M., A.K. and M.K.-K.; Project administration, T.S. and M.K.-K.; Resources, A.Z.K., D.P., N.P. and M.K.-K.; Software, Ł.L., A.Z.K. and D.P.; Supervision, T.S. and M.K.-K.; Validation, Ł.L., I.B.-M., T.S. and M.K.-K.; Visualization, Ł.L. and P.K.; Writing—original draft, Ł.L.; Writing—review and editing, Ł.L., I.B.-M., A.Z.K., T.S., D.P. and M.K.-K. All authors have read and agreed to the published version of the manuscript.
Funding
The APC/BPC is co-financed by: Wroclaw University of Environmental and Life Sciences, Bolestraszyce Arboretum and Institute of Physiography and Wroclaw Medical University.
Data Availability Statement
Not applicable.
Conflicts of Interest
The authors declare no conflict of interest. The funders had no role in the design of the study; in the collection, analyses, or interpretation of data; in the writing of the manuscript, or in the decision to publish the results.
Sample Availability
Samples of featured Cornus mas L. extracts are available from the authors.
Appendix A
Table A1.
Results of Mauchly’s W test for data sphericity in datasets analyzed in this study.
Table A1.
Results of Mauchly’s W test for data sphericity in datasets analyzed in this study.
| Dataset | Effect | W | χ2 | df | p |
|---|---|---|---|---|---|
| A375, SRB, alternative | Time | 0.1953 | 623.53 | 5 | <0.00001 |
| A375, SRB, standard | Time | 0.2492 | 381.78 | 5 | <0.00001 |
| MeWo, SRB, alternative | Time | 0.0030 | 2216.60 | 5 | <0.00001 |
| MeWo, SRB, standard | Time | 0.2365 | 534.46 | 5 | <0.00001 |
| A375, MTT | Time | 0.0368 | 1224.43 | 5 | <0.00001 |
| MeWo, MTT | Time | 0.1613 | 676.32 | 5 | <0.00001 |
Table A2.
Descriptive statistics of the expected marginal values of absorbance (λ = 520 nm) associated with measurements under the exposition to different types of Cornus mas L. extract (Time*Type interaction), measured with use of various assays.
Table A2.
Descriptive statistics of the expected marginal values of absorbance (λ = 520 nm) associated with measurements under the exposition to different types of Cornus mas L. extract (Time*Type interaction), measured with use of various assays.
| A375, SRB, Alternative | ||||||
| Type | Time | Mean Value | SE | −95% CI | 95% CI | N |
| yellow | 6 h | 0.1228 | 0.0018 | 0.1192 | 0.1264 | 192 |
| yellow | 24 h | 0.1399 | 0.0024 | 0.1351 | 0.1447 | 192 |
| yellow | 48 h | 0.1415 | 0.0035 | 0.1347 | 0.1484 | 192 |
| yellow | 72 h | 0.1310 | 0.0035 | 0.1241 | 0.1380 | 192 |
| red | 6 h | 0.1188 | 0.0018 | 0.1152 | 0.1223 | 192 |
| red | 24 h | 0.1299 | 0.0024 | 0.1252 | 0.1347 | 192 |
| red | 48 h | 0.1394 | 0.0035 | 0.1325 | 0.1463 | 192 |
| red | 72 h | 0.1448 | 0.0035 | 0.1379 | 0.1517 | 192 |
| A375, SRB, standard | ||||||
| Type | Time | Mean value | SE | −95% CI | 95% CI | N |
| yellow | 6 h | 0.1238 | 0.0048 | 0.1143 | 0.1333 | 192 |
| yellow | 24 h | 0.1535 | 0.0082 | 0.1375 | 0.1695 | 192 |
| yellow | 48 h | 0.2119 | 0.0118 | 0.1887 | 0.2351 | 192 |
| yellow | 72 h | 0.3908 | 0.0241 | 0.3434 | 0.4382 | 192 |
| red | 6 h | 0.1067 | 0.0048 | 0.0972 | 0.1162 | 192 |
| red | 24 h | 0.1563 | 0.0082 | 0.1402 | 0.1723 | 192 |
| red | 48 h | 0.2030 | 0.0118 | 0.1799 | 0.2262 | 192 |
| red | 72 h | 0.3848 | 0.0241 | 0.3374 | 0.4323 | 192 |
| MeWo, SRB, alternative | ||||||
| Type | Time | Mean value | SE | −95% CI | 95% CI | N |
| yellow | 6 h | 0.1744 | 0.0024 | 0.1697 | 0.1791 | 192 |
| yellow | 24 h | 0.2539 | 0.0033 | 0.2475 | 0.2603 | 192 |
| yellow | 48 h | 0.3515 | 0.0070 | 0.3377 | 0.3653 | 192 |
| yellow | 72 h | 0.5826 | 0.0088 | 0.5653 | 0.5999 | 192 |
| red | 6 h | 0.1647 | 0.0024 | 0.1600 | 0.1693 | 192 |
| red | 24 h | 0.2375 | 0.0033 | 0.2311 | 0.2440 | 192 |
| red | 48 h | 0.3460 | 0.0070 | 0.3322 | 0.3598 | 192 |
| red | 72 h | 0.5637 | 0.0088 | 0.5464 | 0.5810 | 192 |
| MeWo, SRB, standard | ||||||
| Type | Time | Mean value | SE | −95% CI | 95% CI | N |
| yellow | 6 h | 0.1994 | 0.0042 | 0.1912 | 0.2076 | 192 |
| yellow | 24 h | 0.3046 | 0.0070 | 0.2909 | 0.3183 | 192 |
| yellow | 48 h | 0.4410 | 0.0103 | 0.4207 | 0.4613 | 192 |
| yellow | 72 h | 0.9286 | 0.0225 | 0.8844 | 0.9728 | 192 |
| red | 6 h | 0.1863 | 0.0042 | 0.1781 | 0.1945 | 192 |
| red | 24 h | 0.2554 | 0.0070 | 0.2417 | 0.2691 | 192 |
| red | 48 h | 0.3409 | 0.0103 | 0.3205 | 0.3612 | 192 |
| red | 72 h | 0.8425 | 0.0225 | 0.7983 | 0.8867 | 192 |
| A375, MTT | ||||||
| Type | Time | Mean value | SE | −95% CI | 95% CI | N |
| yellow | 6 h | 0.0642 | 0.0023 | 0.0596 | 0.0687 | 192 |
| yellow | 24 h | 0.1180 | 0.0036 | 0.1110 | 0.1250 | 192 |
| yellow | 48 h | 0.1530 | 0.0058 | 0.1415 | 0.1645 | 192 |
| yellow | 72 h | 0.2033 | 0.0065 | 0.1905 | 0.2161 | 192 |
| red | 6 h | 0.0585 | 0.0023 | 0.0539 | 0.0630 | 192 |
| red | 24 h | 0.1062 | 0.0036 | 0.0992 | 0.1132 | 192 |
| red | 48 h | 0.1554 | 0.0058 | 0.1439 | 0.1668 | 192 |
| red | 72 h | 0.2144 | 0.0065 | 0.2016 | 0.2272 | 192 |
| MeWo, MTT | ||||||
| Type | Time | Mean value | SE | −95% CI | 95% CI | N |
| yellow | 6 h | 0.1181 | 0.0027 | 0.1129 | 0.1233 | 192 |
| yellow | 24 h | 0.1570 | 0.0029 | 0.1513 | 0.1628 | 192 |
| yellow | 48 h | 0.2062 | 0.0038 | 0.1987 | 0.2138 | 192 |
| yellow | 72 h | 0.2020 | 0.0052 | 0.1919 | 0.2122 | 192 |
| red | 6 h | 0.1084 | 0.0027 | 0.1032 | 0.1136 | 192 |
| red | 24 h | 0.1431 | 0.0029 | 0.1373 | 0.1488 | 192 |
| red | 48 h | 0.1813 | 0.0038 | 0.1738 | 0.1889 | 192 |
| red | 72 h | 0.1906 | 0.0052 | 0.1804 | 0.2008 | 192 |
Table A3.
Descriptive statistics of the expected marginal values of absorbance (λ = 520 nm) associated with measurements under the exposition to different concentration of Cornus mas L. extracts (Time*Concentration interaction), measured with use of various assays.
Table A3.
Descriptive statistics of the expected marginal values of absorbance (λ = 520 nm) associated with measurements under the exposition to different concentration of Cornus mas L. extracts (Time*Concentration interaction), measured with use of various assays.
| A375, SRB, Alternative | ||||||
| Concentration [µg/mL] | Time | Mean Value | SE | −95% CI | 95% CI | N |
| 0 | 6 h | 0.1302 | 0.0032 | 0.1240 | 0.1364 | 64 |
| 0 | 24 h | 0.1738 | 0.0042 | 0.1655 | 0.1821 | 64 |
| 0 | 48 h | 0.2206 | 0.0060 | 0.2087 | 0.2325 | 64 |
| 0 | 72 h | 0.2335 | 0.0061 | 0.2215 | 0.2454 | 64 |
| 10 | 6 h | 0.1300 | 0.0032 | 0.1238 | 0.1362 | 64 |
| 10 | 24 h | 0.1706 | 0.0042 | 0.1623 | 0.1789 | 64 |
| 10 | 48 h | 0.1753 | 0.0060 | 0.1634 | 0.1872 | 64 |
| 10 | 72 h | 0.1562 | 0.0061 | 0.1442 | 0.1682 | 64 |
| 25 | 6 h | 0.1298 | 0.0032 | 0.1236 | 0.1361 | 64 |
| 25 | 24 h | 0.1713 | 0.0042 | 0.1630 | 0.1796 | 64 |
| 25 | 48 h | 0.1578 | 0.0060 | 0.1459 | 0.1697 | 64 |
| 25 | 72 h | 0.1271 | 0.0061 | 0.1151 | 0.1390 | 64 |
| 100 | 6 h | 0.1335 | 0.0032 | 0.1272 | 0.1397 | 64 |
| 100 | 24 h | 0.1530 | 0.0042 | 0.1447 | 0.1613 | 64 |
| 100 | 48 h | 0.1404 | 0.0060 | 0.1286 | 0.1523 | 64 |
| 100 | 72 h | 0.1240 | 0.0061 | 0.1120 | 0.1360 | 64 |
| 250 | 6 h | 0.1017 | 0.0032 | 0.0955 | 0.1079 | 64 |
| 250 | 24 h | 0.0695 | 0.0042 | 0.0612 | 0.0778 | 64 |
| 250 | 48 h | 0.0758 | 0.0060 | 0.0639 | 0.0877 | 64 |
| 250 | 72 h | 0.0921 | 0.0061 | 0.0802 | 0.1041 | 64 |
| 750 | 6 h | 0.0996 | 0.0032 | 0.0934 | 0.1059 | 64 |
| 750 | 24 h | 0.0712 | 0.0042 | 0.0629 | 0.0795 | 64 |
| 750 | 48 h | 0.0728 | 0.0060 | 0.0609 | 0.0846 | 64 |
| 750 | 72 h | 0.0947 | 0.0061 | 0.0827 | 0.1067 | 64 |
| A375, SRB, standard | ||||||
| Concentration [µg/mL] | Time | Mean value | SE | −95% CI | 95% CI | N |
| 0 | 6 h | 0.1150 | 0.0084 | 0.0986 | 0.1315 | 64 |
| 0 | 24 h | 0.1752 | 0.0141 | 0.1475 | 0.2030 | 64 |
| 0 | 48 h | 0.3549 | 0.0204 | 0.3147 | 0.3950 | 64 |
| 0 | 72 h | 1.0839 | 0.0418 | 1.0017 | 1.1661 | 64 |
| 10 | 6 h | 0.1040 | 0.0084 | 0.0875 | 0.1204 | 64 |
| 10 | 24 h | 0.1619 | 0.0141 | 0.1342 | 0.1897 | 64 |
| 10 | 48 h | 0.2495 | 0.0204 | 0.2093 | 0.2896 | 64 |
| 10 | 72 h | 0.4138 | 0.0418 | 0.3316 | 0.4960 | 64 |
| 25 | 6 h | 0.1244 | 0.0084 | 0.1080 | 0.1409 | 64 |
| 25 | 24 h | 0.1956 | 0.0141 | 0.1678 | 0.2233 | 64 |
| 25 | 48 h | 0.2252 | 0.0204 | 0.1850 | 0.2653 | 64 |
| 25 | 72 h | 0.3551 | 0.0418 | 0.2729 | 0.4373 | 64 |
| 100 | 6 h | 0.1210 | 0.0084 | 0.1046 | 0.1375 | 64 |
| 100 | 24 h | 0.1516 | 0.0141 | 0.1238 | 0.1794 | 64 |
| 100 | 48 h | 0.1762 | 0.0204 | 0.1360 | 0.2163 | 64 |
| 100 | 72 h | 0.2262 | 0.0418 | 0.1441 | 0.3084 | 64 |
| 250 | 6 h | 0.1159 | 0.0084 | 0.0995 | 0.1324 | 64 |
| 250 | 24 h | 0.1335 | 0.0141 | 0.1058 | 0.1613 | 64 |
| 250 | 48 h | 0.1308 | 0.0204 | 0.0907 | 0.1710 | 64 |
| 250 | 72 h | 0.1394 | 0.0418 | 0.0572 | 0.2216 | 64 |
| 750 | 6 h | 0.1111 | 0.0084 | 0.0946 | 0.1275 | 64 |
| 750 | 24 h | 0.1115 | 0.0141 | 0.0837 | 0.1393 | 64 |
| 750 | 48 h | 0.1083 | 0.0204 | 0.0681 | 0.1484 | 64 |
| 750 | 72 h | 0.1085 | 0.0418 | 0.0263 | 0.1907 | 64 |
| MeWo, SRB, alternative | ||||||
| Concentration [µg/mL] | Time | Mean value | SE | −95% CI | 95% CI | N |
| 0 | 6 h | 0.1763 | 0.0041 | 0.1682 | 0.1845 | 64 |
| 0 | 24 h | 0.2738 | 0.0056 | 0.2627 | 0.2849 | 64 |
| 0 | 48 h | 0.4537 | 0.0122 | 0.4298 | 0.4776 | 64 |
| 0 | 72 h | 0.7760 | 0.0152 | 0.7460 | 0.8060 | 64 |
| 10 | 6 h | 0.1748 | 0.0041 | 0.1667 | 0.1830 | 64 |
| 10 | 24 h | 0.2784 | 0.0056 | 0.2673 | 0.2895 | 64 |
| 10 | 48 h | 0.4551 | 0.0122 | 0.4312 | 0.4790 | 64 |
| 10 | 72 h | 0.7916 | 0.0152 | 0.7617 | 0.8216 | 64 |
| 25 | 6 h | 0.1755 | 0.0041 | 0.1674 | 0.1836 | 64 |
| 25 | 24 h | 0.2763 | 0.0056 | 0.2652 | 0.2874 | 64 |
| 25 | 48 h | 0.4471 | 0.0122 | 0.4232 | 0.4710 | 64 |
| 25 | 72 h | 0.7666 | 0.0152 | 0.7366 | 0.7966 | 64 |
| 100 | 6 h | 0.1733 | 0.0041 | 0.1652 | 0.1815 | 64 |
| 100 | 24 h | 0.2797 | 0.0056 | 0.2686 | 0.2908 | 64 |
| 100 | 48 h | 0.4280 | 0.0122 | 0.4041 | 0.4519 | 64 |
| 100 | 72 h | 0.7431 | 0.0152 | 0.7131 | 0.7731 | 64 |
| 250 | 6 h | 0.1759 | 0.0041 | 0.1678 | 0.1840 | 64 |
| 250 | 24 h | 0.2304 | 0.0056 | 0.2193 | 0.2415 | 64 |
| 250 | 48 h | 0.2284 | 0.0122 | 0.2045 | 0.2523 | 64 |
| 250 | 72 h | 0.2809 | 0.0152 | 0.2509 | 0.3109 | 64 |
| 750 | 6 h | 0.1413 | 0.0041 | 0.1332 | 0.1495 | 64 |
| 750 | 24 h | 0.1357 | 0.0056 | 0.1246 | 0.1468 | 64 |
| 750 | 48 h | 0.0800 | 0.0122 | 0.0561 | 0.1039 | 64 |
| 750 | 72 h | 0.0808 | 0.0152 | 0.0508 | 0.1108 | 64 |
| MeWo, SRB, standard | ||||||
| Concentration [µg/mL] | TIME | Mean value | SE | −95% CI | 95% CI | N |
| 0 | 6 h | 0.1806 | 0.0072 | 0.1664 | 0.1947 | 64 |
| 0 | 24 h | 0.3177 | 0.0121 | 0.2940 | 0.3414 | 64 |
| 0 | 48 h | 0.4323 | 0.0179 | 0.3971 | 0.4675 | 64 |
| 0 | 72 h | 0.9874 | 0.0389 | 0.9109 | 1.0640 | 64 |
| 10 | 6 h | 0.1901 | 0.0072 | 0.1759 | 0.2043 | 64 |
| 10 | 24 h | 0.2821 | 0.0121 | 0.2584 | 0.3058 | 64 |
| 10 | 48 h | 0.4405 | 0.0179 | 0.4053 | 0.4757 | 64 |
| 10 | 72 h | 1.1021 | 0.0389 | 1.0255 | 1.1787 | 64 |
| 25 | 6 h | 0.1880 | 0.0072 | 0.1739 | 0.2022 | 64 |
| 25 | 24 h | 0.2805 | 0.0121 | 0.2568 | 0.3043 | 64 |
| 25 | 48 h | 0.4446 | 0.0179 | 0.4094 | 0.4798 | 64 |
| 25 | 72 h | 0.9703 | 0.0389 | 0.8938 | 1.0469 | 64 |
| 100 | 6 h | 0.1825 | 0.0072 | 0.1683 | 0.1967 | 64 |
| 100 | 24 h | 0.2628 | 0.0121 | 0.2391 | 0.2865 | 64 |
| 100 | 48 h | 0.4324 | 0.0179 | 0.3972 | 0.4676 | 64 |
| 100 | 72 h | 0.9894 | 0.0389 | 0.9129 | 1.0660 | 64 |
| 250 | 6 h | 0.2031 | 0.0072 | 0.1889 | 0.2172 | 64 |
| 250 | 24 h | 0.2391 | 0.0121 | 0.2154 | 0.2629 | 64 |
| 250 | 48 h | 0.2699 | 0.0179 | 0.2347 | 0.3051 | 64 |
| 250 | 72 h | 0.6480 | 0.0389 | 0.5714 | 0.7245 | 64 |
| 750 | 6 h | 0.2128 | 0.0072 | 0.1987 | 0.2270 | 64 |
| 750 | 24 h | 0.2976 | 0.0121 | 0.2738 | 0.3213 | 64 |
| 750 | 48 h | 0.3259 | 0.0179 | 0.2907 | 0.3611 | 64 |
| 750 | 72 h | 0.6160 | 0.0389 | 0.5395 | 0.6926 | 64 |
| A375, MTT | ||||||
| Concentration [µg/mL] | Time | Mean value | SE | −95% CI | 95% CI | N |
| 0 | 6 h | 0.0877 | 0.0040 | 0.0798 | 0.0956 | 64 |
| 0 | 24 h | 0.1806 | 0.0062 | 0.1685 | 0.1928 | 64 |
| 0 | 48 h | 0.3401 | 0.0101 | 0.3203 | 0.3600 | 64 |
| 0 | 72 h | 0.6923 | 0.0113 | 0.6702 | 0.7145 | 64 |
| 10 | 6 h | 0.0926 | 0.0040 | 0.0847 | 0.1005 | 64 |
| 10 | 24 h | 0.1807 | 0.0062 | 0.1686 | 0.1928 | 64 |
| 10 | 48 h | 0.2420 | 0.0101 | 0.2222 | 0.2619 | 64 |
| 10 | 72 h | 0.2462 | 0.0113 | 0.2240 | 0.2684 | 64 |
| 25 | 6 h | 0.0873 | 0.0040 | 0.0794 | 0.0953 | 64 |
| 25 | 24 h | 0.1635 | 0.0062 | 0.1514 | 0.1756 | 64 |
| 25 | 48 h | 0.2164 | 0.0101 | 0.1965 | 0.2362 | 64 |
| 25 | 72 h | 0.2017 | 0.0113 | 0.1795 | 0.2239 | 64 |
| 100 | 6 h | 0.0796 | 0.0040 | 0.0716 | 0.0875 | 64 |
| 100 | 24 h | 0.1182 | 0.0062 | 0.1060 | 0.1303 | 64 |
| 100 | 48 h | 0.1056 | 0.0101 | 0.0857 | 0.1254 | 64 |
| 100 | 72 h | 0.0934 | 0.0113 | 0.0712 | 0.1156 | 64 |
| 250 | 6 h | 0.0107 | 0.0040 | 0.0027 | 0.0186 | 64 |
| 250 | 24 h | 0.0170 | 0.0062 | 0.0049 | 0.0292 | 64 |
| 250 | 48 h | 0.0117 | 0.0101 | −0.0082 | 0.0316 | 64 |
| 250 | 72 h | 0.0105 | 0.0113 | −0.0117 | 0.0327 | 64 |
| 750 | 6 h | 0.0101 | 0.0040 | 0.0022 | 0.0180 | 64 |
| 750 | 24 h | 0.0125 | 0.0062 | 0.0004 | 0.0246 | 64 |
| 750 | 48 h | 0.0093 | 0.0101 | −0.0106 | 0.0291 | 64 |
| 750 | 72 h | 0.0090 | 0.0113 | −0.0132 | 0.0312 | 64 |
| MeWo, MTT | ||||||
| Concentration [µg/mL] | Time | Mean value | SE | −95% CI | 95% CI | N |
| 0 | 6 h | 0.1130 | 0.0046 | 0.1039 | 0.1220 | 64 |
| 0 | 24 h | 0.1697 | 0.0051 | 0.1598 | 0.1797 | 64 |
| 0 | 48 h | 0.2383 | 0.0067 | 0.2253 | 0.2514 | 64 |
| 0 | 72 h | 0.2518 | 0.0090 | 0.2342 | 0.2694 | 64 |
| 10 | 6 h | 0.1176 | 0.0046 | 0.1085 | 0.1266 | 64 |
| 10 | 24 h | 0.1758 | 0.0051 | 0.1659 | 0.1858 | 64 |
| 10 | 48 h | 0.2510 | 0.0067 | 0.2379 | 0.2640 | 64 |
| 10 | 72 h | 0.2783 | 0.0090 | 0.2607 | 0.2959 | 64 |
| 25 | 6 h | 0.1260 | 0.0046 | 0.1169 | 0.1350 | 64 |
| 25 | 24 h | 0.1825 | 0.0051 | 0.1726 | 0.1924 | 64 |
| 25 | 48 h | 0.2551 | 0.0067 | 0.2420 | 0.2681 | 64 |
| 25 | 72 h | 0.2745 | 0.0090 | 0.2569 | 0.2921 | 64 |
| 100 | 6 h | 0.1352 | 0.0046 | 0.1262 | 0.1443 | 64 |
| 100 | 24 h | 0.1974 | 0.0051 | 0.1875 | 0.2074 | 64 |
| 100 | 48 h | 0.2610 | 0.0067 | 0.2479 | 0.2741 | 64 |
| 100 | 72 h | 0.2633 | 0.0090 | 0.2457 | 0.2809 | 64 |
| 250 | 6 h | 0.1099 | 0.0046 | 0.1009 | 0.1190 | 64 |
| 250 | 24 h | 0.1419 | 0.0051 | 0.1320 | 0.1518 | 64 |
| 250 | 48 h | 0.1410 | 0.0067 | 0.1279 | 0.1541 | 64 |
| 250 | 72 h | 0.1035 | 0.0090 | 0.0859 | 0.1212 | 64 |
| 750 | 6 h | 0.0778 | 0.0046 | 0.0688 | 0.0869 | 64 |
| 750 | 24 h | 0.0328 | 0.0051 | 0.0229 | 0.0428 | 64 |
| 750 | 48 h | 0.0163 | 0.0067 | 0.0032 | 0.0294 | 64 |
| 750 | 72 h | 0.0065 | 0.0090 | −0.0111 | 0.0241 | 64 |
Table A4.
Descriptive statistics of the expected marginal values of absorbance (λ = 520 nm) associated with measurements under the exposition to different type and concentration of Cornus mas L extracts (Time*Type*Concentration interaction), measured with use of various assays.
Table A4.
Descriptive statistics of the expected marginal values of absorbance (λ = 520 nm) associated with measurements under the exposition to different type and concentration of Cornus mas L extracts (Time*Type*Concentration interaction), measured with use of various assays.
| A375, SRB, Alternative | |||||||
| Type | Concentration [µg/mL] | Time | Mean Value | SE | −95% CI | 95% CI | N |
| yellow | 0 | 6 h | 0.1342 | 0.0045 | 0.1254 | 0.142963 | 32 |
| yellow | 0 | 24 h | 0.1801 | 0.0060 | 0.1684 | 0.191846 | 32 |
| yellow | 0 | 48 h | 0.2238 | 0.0085 | 0.2070 | 0.240621 | 32 |
| yellow | 0 | 72 h | 0.2236 | 0.0086 | 0.2067 | 0.240537 | 32 |
| yellow | 10 | 6 h | 0.1315 | 0.0045 | 0.1227 | 0.140329 | 32 |
| yellow | 10 | 24 h | 0.1763 | 0.0060 | 0.1645 | 0.188017 | 32 |
| yellow | 10 | 48 h | 0.1714 | 0.0085 | 0.1546 | 0.188174 | 32 |
| yellow | 10 | 72 h | 0.1393 | 0.0086 | 0.1224 | 0.156243 | 32 |
| yellow | 25 | 6 h | 0.1310 | 0.0045 | 0.1222 | 0.139820 | 32 |
| yellow | 25 | 24 h | 0.1826 | 0.0060 | 0.1709 | 0.194389 | 32 |
| yellow | 25 | 48 h | 0.1628 | 0.0085 | 0.1460 | 0.179618 | 32 |
| yellow | 25 | 72 h | 0.1213 | 0.0086 | 0.1044 | 0.138228 | 32 |
| yellow | 100 | 6 h | 0.1354 | 0.0045 | 0.1266 | 0.144176 | 32 |
| yellow | 100 | 24 h | 0.1569 | 0.0060 | 0.1451 | 0.168617 | 32 |
| yellow | 100 | 48 h | 0.1422 | 0.0085 | 0.1254 | 0.158965 | 32 |
| yellow | 100 | 72 h | 0.1167 | 0.0086 | 0.0997 | 0.133587 | 32 |
| yellow | 250 | 6 h | 0.1014 | 0.0045 | 0.0926 | 0.110167 | 32 |
| yellow | 250 | 24 h | 0.0700 | 0.0060 | 0.0582 | 0.081721 | 32 |
| yellow | 250 | 48 h | 0.0752 | 0.0085 | 0.0584 | 0.092024 | 32 |
| yellow | 250 | 72 h | 0.0900 | 0.0086 | 0.0731 | 0.106928 | 32 |
| yellow | 750 | 6 h | 0.1035 | 0.0045 | 0.0947 | 0.112295 | 32 |
| yellow | 750 | 24 h | 0.0734 | 0.0060 | 0.0616 | 0.085111 | 32 |
| yellow | 750 | 48 h | 0.0737 | 0.0085 | 0.0569 | 0.090518 | 32 |
| yellow | 750 | 72 h | 0.0954 | 0.0086 | 0.0785 | 0.112306 | 32 |
| red | 0 | 6 h | 0.1262 | 0.0045 | 0.1174 | 0.134960 | 32 |
| red | 0 | 24 h | 0.1674 | 0.0060 | 0.1557 | 0.179186 | 32 |
| red | 0 | 48 h | 0.2174 | 0.0085 | 0.2006 | 0.234206 | 32 |
| red | 0 | 72 h | 0.2433 | 0.0086 | 0.2264 | 0.260231 | 32 |
| red | 10 | 6 h | 0.1284 | 0.0045 | 0.1196 | 0.137213 | 32 |
| red | 10 | 24 h | 0.1650 | 0.0060 | 0.1532 | 0.176721 | 32 |
| red | 10 | 48 h | 0.1792 | 0.0085 | 0.1624 | 0.196034 | 32 |
| red | 10 | 72 h | 0.1731 | 0.0086 | 0.1562 | 0.190012 | 32 |
| red | 25 | 6 h | 0.1287 | 0.0045 | 0.1199 | 0.137448 | 32 |
| red | 25 | 24 h | 0.1600 | 0.0060 | 0.1482 | 0.171711 | 32 |
| red | 25 | 48 h | 0.1528 | 0.0085 | 0.1360 | 0.169627 | 32 |
| red | 25 | 72 h | 0.1328 | 0.0086 | 0.1159 | 0.149772 | 32 |
| red | 100 | 6 h | 0.1315 | 0.0045 | 0.1227 | 0.140317 | 32 |
| red | 100 | 24 h | 0.1492 | 0.0060 | 0.1375 | 0.160939 | 32 |
| red | 100 | 48 h | 0.1387 | 0.0085 | 0.1219 | 0.155521 | 32 |
| red | 100 | 72 h | 0.1314 | 0.0086 | 0.1144 | 0.148287 | 32 |
| red | 250 | 6 h | 0.1020 | 0.0045 | 0.0932 | 0.110788 | 32 |
| red | 250 | 24 h | 0.0691 | 0.0060 | 0.0573 | 0.080814 | 32 |
| red | 250 | 48 h | 0.0764 | 0.0085 | 0.0596 | 0.093209 | 32 |
| red | 250 | 72 h | 0.0943 | 0.0086 | 0.0774 | 0.111218 | 32 |
| red | 750 | 6 h | 0.0958 | 0.0045 | 0.0870 | 0.104582 | 32 |
| red | 750 | 24 h | 0.0690 | 0.0060 | 0.0573 | 0.080783 | 32 |
| red | 750 | 48 h | 0.0718 | 0.0085 | 0.0550 | 0.088615 | 32 |
| red | 750 | 72 h | 0.0940 | 0.0086 | 0.0771 | 0.110947 | 32 |
| A375, SRB, standard | |||||||
| Type | Concentration [µg/mL] | Time | Mean value | SE | −95% CI | 95% CI | N |
| yellow | 0 | 6 h | 0.1116 | 0.0118 | 0.0883 | 0.1349 | 32 |
| yellow | 0 | 24 h | 0.1762 | 0.0200 | 0.1369 | 0.2154 | 32 |
| yellow | 0 | 48 h | 0.3708 | 0.0289 | 0.3140 | 0.4276 | 32 |
| yellow | 0 | 72 h | 1.1145 | 0.0591 | 0.9983 | 1.2307 | 32 |
| yellow | 10 | 6 h | 0.0917 | 0.0118 | 0.0684 | 0.1150 | 32 |
| yellow | 10 | 24 h | 0.1595 | 0.0200 | 0.1202 | 0.1987 | 32 |
| yellow | 10 | 48 h | 0.2422 | 0.0289 | 0.1854 | 0.2990 | 32 |
| yellow | 10 | 72 h | 0.3715 | 0.0591 | 0.2553 | 0.4877 | 32 |
| yellow | 25 | 6 h | 0.1491 | 0.0118 | 0.1258 | 0.1723 | 32 |
| yellow | 25 | 24 h | 0.1868 | 0.0200 | 0.1475 | 0.2260 | 32 |
| yellow | 25 | 48 h | 0.2361 | 0.0289 | 0.1794 | 0.2929 | 32 |
| yellow | 25 | 72 h | 0.3853 | 0.0591 | 0.2691 | 0.5015 | 32 |
| yellow | 100 | 6 h | 0.1473 | 0.0118 | 0.1241 | 0.1706 | 32 |
| yellow | 100 | 24 h | 0.1518 | 0.0200 | 0.1125 | 0.1911 | 32 |
| yellow | 100 | 48 h | 0.1735 | 0.0289 | 0.1167 | 0.2303 | 32 |
| yellow | 100 | 72 h | 0.2186 | 0.0591 | 0.1023 | 0.3348 | 32 |
| yellow | 250 | 6 h | 0.1280 | 0.0118 | 0.1047 | 0.1513 | 32 |
| yellow | 250 | 24 h | 0.1219 | 0.0200 | 0.0826 | 0.1611 | 32 |
| yellow | 250 | 48 h | 0.1376 | 0.0289 | 0.0808 | 0.1944 | 32 |
| yellow | 250 | 72 h | 0.1420 | 0.0591 | 0.0258 | 0.2582 | 32 |
| yellow | 750 | 6 h | 0.1149 | 0.0118 | 0.0917 | 0.1382 | 32 |
| yellow | 750 | 24 h | 0.1250 | 0.0200 | 0.0858 | 0.1643 | 32 |
| yellow | 750 | 48 h | 0.1110 | 0.0289 | 0.0543 | 0.1678 | 32 |
| yellow | 750 | 72 h | 0.1130 | 0.0591 | −0.0032 | 0.2292 | 32 |
| red | 0 | 6 h | 0.1185 | 0.0118 | 0.0952 | 0.1418 | 32 |
| red | 0 | 24 h | 0.1743 | 0.0200 | 0.1350 | 0.2136 | 32 |
| red | 0 | 48 h | 0.3389 | 0.0289 | 0.2822 | 0.3957 | 32 |
| red | 0 | 72 h | 1.0533 | 0.0591 | 0.9371 | 1.1695 | 32 |
| red | 10 | 6 h | 0.1163 | 0.0118 | 0.0930 | 0.1395 | 32 |
| red | 10 | 24 h | 0.1644 | 0.0200 | 0.1252 | 0.2037 | 32 |
| red | 10 | 48 h | 0.2567 | 0.0289 | 0.1999 | 0.3135 | 32 |
| red | 10 | 72 h | 0.4561 | 0.0591 | 0.3399 | 0.5723 | 32 |
| red | 25 | 6 h | 0.0998 | 0.0118 | 0.0765 | 0.1230 | 32 |
| red | 25 | 24 h | 0.2044 | 0.0200 | 0.1651 | 0.2437 | 32 |
| red | 25 | 48 h | 0.2142 | 0.0289 | 0.1574 | 0.2710 | 32 |
| red | 25 | 72 h | 0.3250 | 0.0591 | 0.2088 | 0.4412 | 32 |
| red | 100 | 6 h | 0.0947 | 0.0118 | 0.0714 | 0.1180 | 32 |
| red | 100 | 24 h | 0.1514 | 0.0200 | 0.1121 | 0.1906 | 32 |
| red | 100 | 48 h | 0.1788 | 0.0289 | 0.1221 | 0.2356 | 32 |
| red | 100 | 72 h | 0.2339 | 0.0591 | 0.1177 | 0.3502 | 32 |
| red | 250 | 6 h | 0.1039 | 0.0118 | 0.0806 | 0.1272 | 32 |
| red | 250 | 24 h | 0.1452 | 0.0200 | 0.1059 | 0.1845 | 32 |
| red | 250 | 48 h | 0.1241 | 0.0289 | 0.0673 | 0.1808 | 32 |
| red | 250 | 72 h | 0.1368 | 0.0591 | 0.0206 | 0.2530 | 32 |
| red | 750 | 6 h | 0.1072 | 0.0118 | 0.0839 | 0.1304 | 32 |
| red | 750 | 24 h | 0.0979 | 0.0200 | 0.0587 | 0.1372 | 32 |
| red | 750 | 48 h | 0.1055 | 0.0289 | 0.0488 | 0.1623 | 32 |
| red | 750 | 72 h | 0.1040 | 0.0591 | −0.0123 | 0.2202 | 32 |
| MeWo, SRB, alternative | |||||||
| Type | Concentration [µg/mL] | Time | Mean value | SE | −95% CI | 95% CI | N |
| yellow | 0 | 6 h | 0.1807 | 0.0058 | 0.1692 | 0.1922 | 32 |
| yellow | 0 | 24 h | 0.2772 | 0.0080 | 0.2615 | 0.2929 | 32 |
| yellow | 0 | 48 h | 0.4530 | 0.0172 | 0.4192 | 0.4868 | 32 |
| yellow | 0 | 72 h | 0.7734 | 0.0216 | 0.7310 | 0.8158 | 32 |
| yellow | 10 | 6 h | 0.1811 | 0.0058 | 0.1696 | 0.1926 | 32 |
| yellow | 10 | 24 h | 0.2818 | 0.0080 | 0.2661 | 0.2975 | 32 |
| yellow | 10 | 48 h | 0.4600 | 0.0172 | 0.4262 | 0.4938 | 32 |
| yellow | 10 | 72 h | 0.8032 | 0.0216 | 0.7608 | 0.8457 | 32 |
| yellow | 25 | 6 h | 0.1824 | 0.0058 | 0.1709 | 0.1938 | 32 |
| yellow | 25 | 24 h | 0.2835 | 0.0080 | 0.2678 | 0.2992 | 32 |
| yellow | 25 | 48 h | 0.4641 | 0.0172 | 0.4303 | 0.4979 | 32 |
| yellow | 25 | 72 h | 0.7795 | 0.0216 | 0.7371 | 0.8219 | 32 |
| yellow | 100 | 6 h | 0.1781 | 0.0058 | 0.1666 | 0.1896 | 32 |
| yellow | 100 | 24 h | 0.2897 | 0.0080 | 0.2740 | 0.3054 | 32 |
| yellow | 100 | 48 h | 0.4132 | 0.0172 | 0.3794 | 0.4470 | 32 |
| yellow | 100 | 72 h | 0.7668 | 0.0216 | 0.7244 | 0.8093 | 32 |
| yellow | 250 | 6 h | 0.1795 | 0.0058 | 0.1680 | 0.1910 | 32 |
| yellow | 250 | 24 h | 0.2417 | 0.0080 | 0.2261 | 0.2574 | 32 |
| yellow | 250 | 48 h | 0.2272 | 0.0172 | 0.1934 | 0.2610 | 32 |
| yellow | 250 | 72 h | 0.2917 | 0.0216 | 0.2493 | 0.3341 | 32 |
| yellow | 750 | 6 h | 0.1448 | 0.0058 | 0.1333 | 0.1563 | 32 |
| yellow | 750 | 24 h | 0.1494 | 0.0080 | 0.1337 | 0.1651 | 32 |
| yellow | 750 | 48 h | 0.0915 | 0.0172 | 0.0577 | 0.1253 | 32 |
| yellow | 750 | 72 h | 0.0809 | 0.0216 | 0.0385 | 0.1233 | 32 |
| red | 0 | 6 h | 0.1719 | 0.0058 | 0.1605 | 0.1834 | 32 |
| red | 0 | 24 h | 0.2704 | 0.0080 | 0.2547 | 0.2861 | 32 |
| red | 0 | 48 h | 0.4543 | 0.0172 | 0.4205 | 0.4881 | 32 |
| red | 0 | 72 h | 0.7786 | 0.0216 | 0.7362 | 0.8210 | 32 |
| red | 10 | 6 h | 0.1685 | 0.0058 | 0.1570 | 0.1800 | 32 |
| red | 10 | 24 h | 0.2750 | 0.0080 | 0.2593 | 0.2907 | 32 |
| red | 10 | 48 h | 0.4503 | 0.0172 | 0.4165 | 0.4841 | 32 |
| red | 10 | 72 h | 0.7800 | 0.0216 | 0.7376 | 0.8225 | 32 |
| red | 25 | 6 h | 0.1686 | 0.0058 | 0.1571 | 0.1801 | 32 |
| red | 25 | 24 h | 0.2691 | 0.0080 | 0.2534 | 0.2848 | 32 |
| red | 25 | 48 h | 0.4301 | 0.0172 | 0.3963 | 0.4639 | 32 |
| red | 25 | 72 h | 0.7536 | 0.0216 | 0.7112 | 0.7961 | 32 |
| red | 100 | 6 h | 0.1686 | 0.0058 | 0.1571 | 0.1801 | 32 |
| red | 100 | 24 h | 0.2697 | 0.0080 | 0.2540 | 0.2854 | 32 |
| red | 100 | 48 h | 0.4428 | 0.0172 | 0.4090 | 0.4766 | 32 |
| red | 100 | 72 h | 0.7194 | 0.0216 | 0.6770 | 0.7618 | 32 |
| red | 250 | 6 h | 0.1723 | 0.0058 | 0.1608 | 0.1838 | 32 |
| red | 250 | 24 h | 0.2191 | 0.0080 | 0.2034 | 0.2348 | 32 |
| red | 250 | 48 h | 0.2297 | 0.0172 | 0.1959 | 0.2635 | 32 |
| red | 250 | 72 h | 0.2700 | 0.0216 | 0.2276 | 0.3124 | 32 |
| red | 750 | 6 h | 0.1379 | 0.0058 | 0.1264 | 0.1494 | 32 |
| red | 750 | 24 h | 0.1220 | 0.0080 | 0.1063 | 0.1377 | 32 |
| red | 750 | 48 h | 0.0686 | 0.0172 | 0.0348 | 0.1024 | 32 |
| red | 750 | 72 h | 0.0807 | 0.0216 | 0.0383 | 0.1231 | 32 |
| MeWo, SRB, standard | |||||||
| Type | Concentration [µg/mL] | Time | Mean value | SE | −95% CI | 95% CI | N |
| yellow | 0 | 6 h | 0.1819 | 0.0102 | 0.1619 | 0.2020 | 32 |
| yellow | 0 | 24 h | 0.3214 | 0.0171 | 0.2878 | 0.3549 | 32 |
| yellow | 0 | 48 h | 0.4323 | 0.0253 | 0.3826 | 0.4821 | 32 |
| yellow | 0 | 72 h | 0.9680 | 0.0551 | 0.8597 | 1.0763 | 32 |
| yellow | 10 | 6 h | 0.2108 | 0.0102 | 0.1907 | 0.2309 | 32 |
| yellow | 10 | 24 h | 0.3100 | 0.0171 | 0.2764 | 0.3435 | 32 |
| yellow | 10 | 48 h | 0.4706 | 0.0253 | 0.4209 | 0.5204 | 32 |
| yellow | 10 | 72 h | 1.1057 | 0.0551 | 0.9974 | 1.2140 | 32 |
| yellow | 25 | 6 h | 0.1982 | 0.0102 | 0.1781 | 0.2182 | 32 |
| yellow | 25 | 24 h | 0.3242 | 0.0171 | 0.2907 | 0.3577 | 32 |
| yellow | 25 | 48 h | 0.4940 | 0.0253 | 0.4442 | 0.5437 | 32 |
| yellow | 25 | 72 h | 1.0551 | 0.0551 | 0.9468 | 1.1633 | 32 |
| yellow | 100 | 6 h | 0.1880 | 0.0102 | 0.1679 | 0.2081 | 32 |
| yellow | 100 | 24 h | 0.2827 | 0.0171 | 0.2492 | 0.3163 | 32 |
| yellow | 100 | 48 h | 0.4865 | 0.0253 | 0.4367 | 0.5362 | 32 |
| yellow | 100 | 72 h | 1.0251 | 0.0551 | 0.9168 | 1.1334 | 32 |
| yellow | 250 | 6 h | 0.2097 | 0.0102 | 0.1896 | 0.2297 | 32 |
| yellow | 250 | 24 h | 0.2765 | 0.0171 | 0.2430 | 0.3101 | 32 |
| yellow | 250 | 48 h | 0.3123 | 0.0253 | 0.2625 | 0.3620 | 32 |
| yellow | 250 | 72 h | 0.7511 | 0.0551 | 0.6428 | 0.8594 | 32 |
| yellow | 750 | 6 h | 0.2079 | 0.0102 | 0.1878 | 0.2279 | 32 |
| yellow | 750 | 24 h | 0.3127 | 0.0171 | 0.2791 | 0.3462 | 32 |
| yellow | 750 | 48 h | 0.4503 | 0.0253 | 0.4006 | 0.5001 | 32 |
| yellow | 750 | 72 h | 0.6667 | 0.0551 | 0.5584 | 0.7750 | 32 |
| red | 0 | 6 h | 0.1792 | 0.0102 | 0.1592 | 0.1993 | 32 |
| red | 0 | 24 h | 0.3141 | 0.0171 | 0.2805 | 0.3476 | 32 |
| red | 0 | 48 h | 0.4323 | 0.0253 | 0.3825 | 0.4820 | 32 |
| red | 0 | 72 h | 1.0069 | 0.0551 | 0.8986 | 1.1152 | 32 |
| red | 10 | 6 h | 0.1694 | 0.0102 | 0.1494 | 0.1895 | 32 |
| red | 10 | 24 h | 0.2542 | 0.0171 | 0.2206 | 0.2877 | 32 |
| red | 10 | 48 h | 0.4104 | 0.0253 | 0.3606 | 0.4602 | 32 |
| red | 10 | 72 h | 1.0985 | 0.0551 | 0.9902 | 1.2068 | 32 |
| red | 25 | 6 h | 0.1779 | 0.0102 | 0.1578 | 0.1979 | 32 |
| red | 25 | 24 h | 0.2369 | 0.0171 | 0.2033 | 0.2704 | 32 |
| red | 25 | 48 h | 0.3953 | 0.0253 | 0.3455 | 0.4451 | 32 |
| red | 25 | 72 h | 0.8856 | 0.0551 | 0.7773 | 0.9939 | 32 |
| red | 100 | 6 h | 0.1771 | 0.0102 | 0.1570 | 0.1971 | 32 |
| red | 100 | 24 h | 0.2429 | 0.0171 | 0.2094 | 0.2764 | 32 |
| red | 100 | 48 h | 0.3783 | 0.0253 | 0.3285 | 0.4281 | 32 |
| red | 100 | 72 h | 0.9538 | 0.0551 | 0.8455 | 1.0621 | 32 |
| red | 250 | 6 h | 0.1964 | 0.0102 | 0.1764 | 0.2165 | 32 |
| red | 250 | 24 h | 0.2018 | 0.0171 | 0.1682 | 0.2353 | 32 |
| red | 250 | 48 h | 0.2275 | 0.0253 | 0.1777 | 0.2772 | 32 |
| red | 250 | 72 h | 0.5448 | 0.0551 | 0.4365 | 0.6531 | 32 |
| red | 750 | 6 h | 0.2178 | 0.0102 | 0.1977 | 0.2379 | 32 |
| red | 750 | 24 h | 0.2825 | 0.0171 | 0.2489 | 0.3160 | 32 |
| red | 750 | 48 h | 0.2014 | 0.0253 | 0.1516 | 0.2512 | 32 |
| red | 750 | 72 h | 0.5654 | 0.0551 | 0.4571 | 0.6736 | 32 |
| A375, MTT | |||||||
| Type | Concentration [µg/mL] | Time | Mean value | SE | −95% CI | 95% CI | N |
| yellow | 0 | 6 h | 0.0869 | 0.0057 | 0.0757 | 0.0981 | 32 |
| yellow | 0 | 24 h | 0.1877 | 0.0087 | 0.1706 | 0.2049 | 32 |
| yellow | 0 | 48 h | 0.3512 | 0.0143 | 0.3231 | 0.3793 | 32 |
| yellow | 0 | 72 h | 0.7270 | 0.0159 | 0.6956 | 0.7584 | 32 |
| yellow | 10 | 6 h | 0.0977 | 0.0057 | 0.0865 | 0.1089 | 32 |
| yellow | 10 | 24 h | 0.1977 | 0.0087 | 0.1806 | 0.2149 | 32 |
| yellow | 10 | 48 h | 0.2257 | 0.0143 | 0.1976 | 0.2537 | 32 |
| yellow | 10 | 72 h | 0.1910 | 0.0159 | 0.1596 | 0.2224 | 32 |
| yellow | 25 | 6 h | 0.0980 | 0.0057 | 0.0867 | 0.1092 | 32 |
| yellow | 25 | 24 h | 0.1760 | 0.0087 | 0.1589 | 0.1932 | 32 |
| yellow | 25 | 48 h | 0.2246 | 0.0143 | 0.1966 | 0.2527 | 32 |
| yellow | 25 | 72 h | 0.2110 | 0.0159 | 0.1796 | 0.2423 | 32 |
| yellow | 100 | 6 h | 0.0890 | 0.0057 | 0.0778 | 0.1002 | 32 |
| yellow | 100 | 24 h | 0.1162 | 0.0087 | 0.0990 | 0.1333 | 32 |
| yellow | 100 | 48 h | 0.0942 | 0.0143 | 0.0661 | 0.1223 | 32 |
| yellow | 100 | 72 h | 0.0749 | 0.0159 | 0.0435 | 0.1063 | 32 |
| yellow | 250 | 6 h | 0.0089 | 0.0057 | −0.0023 | 0.0201 | 32 |
| yellow | 250 | 24 h | 0.0169 | 0.0087 | −0.0002 | 0.0341 | 32 |
| yellow | 250 | 48 h | 0.0132 | 0.0143 | −0.0149 | 0.0413 | 32 |
| yellow | 250 | 72 h | 0.0068 | 0.0159 | −0.0246 | 0.0382 | 32 |
| yellow | 750 | 6 h | 0.0046 | 0.0057 | −0.0066 | 0.0158 | 32 |
| yellow | 750 | 24 h | 0.0136 | 0.0087 | −0.0036 | 0.0307 | 32 |
| yellow | 750 | 48 h | 0.0090 | 0.0143 | −0.0191 | 0.0371 | 32 |
| yellow | 750 | 72 h | 0.0093 | 0.0159 | −0.0220 | 0.0407 | 32 |
| red | 0 | 6 h | 0.0885 | 0.0057 | 0.0773 | 0.0997 | 32 |
| red | 0 | 24 h | 0.1735 | 0.0087 | 0.1564 | 0.1907 | 32 |
| red | 0 | 48 h | 0.3291 | 0.0143 | 0.3010 | 0.3572 | 32 |
| red | 0 | 72 h | 0.6577 | 0.0159 | 0.6263 | 0.6891 | 32 |
| red | 10 | 6 h | 0.0875 | 0.0057 | 0.0763 | 0.0987 | 32 |
| red | 10 | 24 h | 0.1637 | 0.0087 | 0.1465 | 0.1808 | 32 |
| red | 10 | 48 h | 0.2584 | 0.0143 | 0.2303 | 0.2865 | 32 |
| red | 10 | 72 h | 0.3014 | 0.0159 | 0.2700 | 0.3328 | 32 |
| red | 25 | 6 h | 0.0767 | 0.0057 | 0.0655 | 0.0880 | 32 |
| red | 25 | 24 h | 0.1510 | 0.0087 | 0.1338 | 0.1682 | 32 |
| red | 25 | 48 h | 0.2081 | 0.0143 | 0.1800 | 0.2362 | 32 |
| red | 25 | 72 h | 0.1924 | 0.0159 | 0.1610 | 0.2238 | 32 |
| red | 100 | 6 h | 0.0701 | 0.0057 | 0.0589 | 0.0813 | 32 |
| red | 100 | 24 h | 0.1202 | 0.0087 | 0.1030 | 0.1373 | 32 |
| red | 100 | 48 h | 0.1169 | 0.0143 | 0.0888 | 0.1450 | 32 |
| red | 100 | 72 h | 0.1119 | 0.0159 | 0.0806 | 0.1433 | 32 |
| red | 250 | 6 h | 0.0124 | 0.0057 | 0.0012 | 0.0236 | 32 |
| red | 250 | 24 h | 0.0171 | 0.0087 | 0.0000 | 0.0343 | 32 |
| red | 250 | 48 h | 0.0102 | 0.0143 | −0.0179 | 0.0382 | 32 |
| red | 250 | 72 h | 0.0142 | 0.0159 | −0.0171 | 0.0456 | 32 |
| red | 750 | 6 h | 0.0156 | 0.0057 | 0.0044 | 0.0268 | 32 |
| red | 750 | 24 h | 0.0114 | 0.0087 | −0.0057 | 0.0286 | 32 |
| red | 750 | 48 h | 0.0095 | 0.0143 | −0.0186 | 0.0376 | 32 |
| red | 750 | 72 h | 0.0087 | 0.0159 | −0.0227 | 0.0400 | 32 |
| MeWo, MTT | |||||||
| Type | Concentration [µg/mL] | Time | Mean value | SE | −95% CI | 95% CI | N |
| yellow | 0 | 6 h | 0.1103 | 0.0065 | 0.0975 | 0.1230 | 32 |
| yellow | 0 | 24 h | 0.1826 | 0.0071 | 0.1686 | 0.1967 | 32 |
| yellow | 0 | 48 h | 0.2484 | 0.0094 | 0.2299 | 0.2669 | 32 |
| yellow | 0 | 72 h | 0.2711 | 0.0127 | 0.2462 | 0.2960 | 32 |
| yellow | 10 | 6 h | 0.1181 | 0.0065 | 0.1053 | 0.1309 | 32 |
| yellow | 10 | 24 h | 0.1805 | 0.0071 | 0.1664 | 0.1945 | 32 |
| yellow | 10 | 48 h | 0.2626 | 0.0094 | 0.2441 | 0.2811 | 32 |
| yellow | 10 | 72 h | 0.2922 | 0.0127 | 0.2673 | 0.3171 | 32 |
| yellow | 25 | 6 h | 0.1296 | 0.0065 | 0.1169 | 0.1424 | 32 |
| yellow | 25 | 24 h | 0.1867 | 0.0071 | 0.1726 | 0.2007 | 32 |
| yellow | 25 | 48 h | 0.2748 | 0.0094 | 0.2563 | 0.2933 | 32 |
| yellow | 25 | 72 h | 0.2795 | 0.0127 | 0.2546 | 0.3045 | 32 |
| yellow | 100 | 6 h | 0.1407 | 0.0065 | 0.1279 | 0.1535 | 32 |
| yellow | 100 | 24 h | 0.1966 | 0.0071 | 0.1826 | 0.2107 | 32 |
| yellow | 100 | 48 h | 0.2659 | 0.0094 | 0.2474 | 0.2844 | 32 |
| yellow | 100 | 72 h | 0.2548 | 0.0127 | 0.2299 | 0.2797 | 32 |
| yellow | 250 | 6 h | 0.1174 | 0.0065 | 0.1046 | 0.1302 | 32 |
| yellow | 250 | 24 h | 0.1495 | 0.0071 | 0.1355 | 0.1636 | 32 |
| yellow | 250 | 48 h | 0.1674 | 0.0094 | 0.1489 | 0.1859 | 32 |
| yellow | 250 | 72 h | 0.1081 | 0.0127 | 0.0832 | 0.1330 | 32 |
| yellow | 750 | 6 h | 0.0925 | 0.0065 | 0.0797 | 0.1053 | 32 |
| yellow | 750 | 24 h | 0.0462 | 0.0071 | 0.0321 | 0.0602 | 32 |
| yellow | 750 | 48 h | 0.0183 | 0.0094 | −0.0002 | 0.0368 | 32 |
| yellow | 750 | 72 h | 0.0065 | 0.0127 | −0.0184 | 0.0314 | 32 |
| red | 0 | 6 h | 0.1157 | 0.0065 | 0.1029 | 0.1285 | 32 |
| red | 0 | 24 h | 0.1569 | 0.0071 | 0.1428 | 0.1709 | 32 |
| red | 0 | 48 h | 0.2283 | 0.0094 | 0.2098 | 0.2468 | 32 |
| red | 0 | 72 h | 0.2325 | 0.0127 | 0.2076 | 0.2574 | 32 |
| red | 10 | 6 h | 0.1170 | 0.0065 | 0.1042 | 0.1298 | 32 |
| red | 10 | 24 h | 0.1712 | 0.0071 | 0.1571 | 0.1852 | 32 |
| red | 10 | 48 h | 0.2394 | 0.0094 | 0.2209 | 0.2579 | 32 |
| red | 10 | 72 h | 0.2643 | 0.0127 | 0.2394 | 0.2892 | 32 |
| red | 25 | 6 h | 0.1223 | 0.0065 | 0.1095 | 0.1351 | 32 |
| red | 25 | 24 h | 0.1783 | 0.0071 | 0.1643 | 0.1923 | 32 |
| red | 25 | 48 h | 0.2353 | 0.0094 | 0.2168 | 0.2538 | 32 |
| red | 25 | 72 h | 0.2695 | 0.0127 | 0.2445 | 0.2944 | 32 |
| red | 100 | 6 h | 0.1298 | 0.0065 | 0.1170 | 0.1426 | 32 |
| red | 100 | 24 h | 0.1982 | 0.0071 | 0.1842 | 0.2123 | 32 |
| red | 100 | 48 h | 0.2561 | 0.0094 | 0.2376 | 0.2746 | 32 |
| red | 100 | 72 h | 0.2718 | 0.0127 | 0.2469 | 0.2967 | 32 |
| red | 250 | 6 h | 0.1024 | 0.0065 | 0.0896 | 0.1152 | 32 |
| red | 250 | 24 h | 0.1343 | 0.0071 | 0.1202 | 0.1483 | 32 |
| red | 250 | 48 h | 0.1146 | 0.0094 | 0.0961 | 0.1331 | 32 |
| red | 250 | 72 h | 0.0990 | 0.0127 | 0.0741 | 0.1239 | 32 |
| red | 750 | 6 h | 0.0631 | 0.0065 | 0.0503 | 0.0759 | 32 |
| red | 750 | 24 h | 0.0194 | 0.0071 | 0.0054 | 0.0335 | 32 |
| red | 750 | 48 h | 0.0143 | 0.0094 | −0.0042 | 0.0328 | 32 |
| red | 750 | 72 h | 0.0065 | 0.0127 | −0.0184 | 0.0314 | 32 |
Appendix B
Table A5.
Logistic regression models used to estimate the IC50 values associated with the observed cytotoxic effect of Cornus mas L. extracts on selected melanoma cell lines (A375, MeWo).
Table A5.
Logistic regression models used to estimate the IC50 values associated with the observed cytotoxic effect of Cornus mas L. extracts on selected melanoma cell lines (A375, MeWo).
| Cell Line | Method | Time | Viability Equation (where: Y—Cytotoxic Response (% Viability); X—Concentration of C. mas L. Extract) | Calculated IC50 [µg/mL] |
|---|---|---|---|---|
| A375 | MTT | 6 h | 188.6701 | |
| A375 | MTT | 24 h | 138.4745 | |
| A375 | MTT | 48 h | 58.8851 | |
| A375 | MTT | 72 h | 9.9146 | |
| A375 | SRB (alternative) | 6 h | 2611.8321 | |
| A375 | SRB (alternative) | 24 h | 338.5524 | |
| A375 | SRB (alternative) | 48 h | 182.7961 | |
| A375 | SRB (alternative) | 72 h | 205.9856 | |
| A375 | SRB (standard) | 6 h | - | Non-computable |
| A375 | SRB (standard) | 24 h | 3548.8126 | |
| A375 | SRB (standard) | 48 h | 339.5497 | |
| A375 | SRB (standard) | 72 h | 6.4458 | |
| MeWo | MTT | 6 h | 970.1337 | |
| MeWo | MTT | 24 h | 416.2932 | |
| MeWo | MTT | 48 h | 265.4668 | |
| MeWo | MTT | 72 h | 232.6805 | |
| MeWo | SRB (alternative) | 6 h | 897.7824 | |
| MeWo | SRB (alternative) | 24 h | 727.0854 | |
| MeWo | SRB (alternative) | 48 h | 265.4668 | |
| MeWo | SRB (alternative) | 72 h | 276.0806 | |
| MeWo | SRB (standard) | 6 h | - | Non-computable |
| MeWo | SRB (standard) | 24 h | 2317.357 | |
| MeWo | SRB (standard) | 48 h | 2190.8609 | |
| MeWo | SRB (standard) | 72 h | 920.6867 |
The terms ‘standard’ and ‘alternative’ refer to different assay protocols used for SRB assay, described in the ‘Methods’ section. ‘Non-computable’ in context of the IC50 values was imputed when no relative cell viability decrease was observed for a given time of cell culture.
References
- Cheli, Y.; Giuliano, S.; Fenouille, N.; Allegra, M.; Hofman, V.; Hofman, P.; Bahadoran, P.; Lacour, J.P.; Tartare-Deckert, S.; Bertolotto, C.; et al. Hypoxia and MITF control metastatic behaviour in mouse and human melanoma cells. Oncogene 2011, 31, 2461–2470. [Google Scholar] [CrossRef] [PubMed]
- Ferguson, J.; Smith, M.; Zudaire, I.; Wellbrock, C.; Arozarena, I. Glucose availability controls ATF4-mediated MITF suppression to drive melanoma cell growth. Oncotarget 2017, 8, 32946. [Google Scholar] [CrossRef] [PubMed]
- Kim, I.S.; Heilmann, S.; Kansler, E.R.; Zhang, Y.; Zimmer, M.; Ratnakumar, K.; Bowman, R.L.; Simon-Vermot, T.; Fennell, M.; Garippa, R.; et al. Microenvironment-derived factors driving metastatic plasticity in melanoma. Nat. Commun. 2017, 8, 14343. [Google Scholar] [CrossRef]
- Landsberg, J.; Kohlmeyer, J.; Renn, M.; Bald, T.; Rogava, M.; Cron, M.; Fatho, M.; Lennerz, V.; Wölfel, T.; Hölzel, M.; et al. Melanomas resist T-cell therapy through inflammation-induced reversible dedifferentiation. Nature 2012, 490, 412–416. [Google Scholar] [CrossRef] [PubMed]
- Rambow, F.; Rogiers, A.; Marin-Bejar, O.; Aibar, S.; Femel, J.; Dewaele, M.; Karras, P.; Brown, D.; Chang, Y.H.; Debiec-Rychter, M.; et al. Toward Minimal Residual Disease-Directed Therapy in Melanoma. Cell 2018, 174, 843.e19–855.e19. [Google Scholar] [CrossRef]
- Tsoi, J.; Robert, L.; Paraiso, K.; Galvan, C.; Sheu, K.M.; Lay, J.; Wong, D.J.L.; Atefi, M.; Shirazi, R.; Wang, X.; et al. Multi-stage Differentiation Defines Melanoma Subtypes with Differential Vulnerability to Drug-Induced Iron-Dependent Oxidative Stress. Cancer Cell 2018, 33, 890.e5–904.e5. [Google Scholar] [CrossRef]
- Arozarena, I.; Wellbrock, C. Phenotype plasticity as enabler of melanoma progression and therapy resistance. Nat. Rev. Cancer 2019, 19, 377–391. [Google Scholar] [CrossRef]
- Falcone, I.; Conciatori, F.; Bazzichetto, C.; Ferretti, G.; Cognetti, F.; Ciuffreda, L.; Milella, M. Tumor Microenvironment: Implications in Melanoma Resistance to Targeted Therapy and Immunotherapy. Cancers 2020, 12, 2870. [Google Scholar] [CrossRef]
- Radbeh, Z.; Asefi, N.; Hamishehkar, H.; Roufegarinejad, L.; Pezeshki, A. Novel carriers ensuring enhanced anti-cancer activity of Cornus mas (cornelian cherry) bioactive compounds. Biomed. Pharmacother. 2020, 125, 109906. [Google Scholar] [CrossRef]
- Strickland, L.R.; Pal, H.C.; Elmets, C.A.; Afaq, F. Targeting drivers of melanoma with synthetic small molecules and phytochemicals. Cancer Lett. 2015, 359, 20–35. [Google Scholar] [CrossRef]
- de O. Raphaelli, C.; Azevedo, J.G.; Dalmazo, G.O.; Vinholes, J.R.; Braganhol, E.; Vizzotto, M.; Nora, L. Effect of Fruit Secondary Metabolites on Melanoma: A Systematic Review of In vitro Studies. Curr. Bioact. Compd. 2019, 16, 1009–1035. [Google Scholar] [CrossRef]
- Mitsiogianni, M.; Koutsidis, G.; Mavroudis, N.; Trafalis, D.T.; Botaitis, S.; Franco, R.; Zoumpourlis, V.; Amery, T.; Galanis, A.; Pappa, A.; et al. The Role of Isothiocyanates as Cancer Chemo-Preventive, Chemo-Therapeutic and Anti-Melanoma Agents. Antioxidants 2019, 8, 106. [Google Scholar] [CrossRef] [PubMed]
- Chandra Pal, H.; Marchiony Hunt, K.; Diamond, A.; A Elmets, C.; Afaq, F. Phytochemicals for the Management of Melanoma. Mini Rev. Med. Chem. 2016, 16, 953–979. [Google Scholar] [CrossRef] [PubMed]
- Heo, J.R.; Lee, G.A.; Kim, G.S.; Hwang, K.A.; Choi, K.C. Phytochemical-induced reactive oxygen species and endoplasmic reticulum stress-mediated apoptosis and differentiation in malignant melanoma cells. Phytomedicine 2018, 39, 100–110. [Google Scholar] [CrossRef] [PubMed]
- Ng, C.Y.; Yen, H.; Hsiao, H.Y.; Su, S.C. Phytochemicals in Skin Cancer Prevention and Treatment: An Updated Review. Int. J. Mol. Sci. 2018, 19, 941. [Google Scholar] [CrossRef]
- Singh, S.; Zafar, A.; Khan, S.; Naseem, I. Towards therapeutic advances in melanoma management: An overview. Life Sci. 2017, 174, 50–58. [Google Scholar] [CrossRef] [PubMed]
- Arya, J.S.; Joseph, M.M.; Sherin, D.R.; Nair, J.B.; Manojkumar, T.K.; Maiti, K.K. Exploring Mitochondria-Mediated Intrinsic Apoptosis by New Phytochemical Entities: An Explicit Observation of Cytochrome c Dynamics on Lung and Melanoma Cancer Cells. J. Med. Chem. 2019, 62, 8311–8329. [Google Scholar] [CrossRef]
- Pearlman, R.L.; Montes de Oca, M.K.; Pal, H.C.; Afaq, F. Potential therapeutic targets of epithelial–mesenchymal transition in melanoma. Cancer Lett. 2017, 391, 125–140. [Google Scholar] [CrossRef]
- Islam, S.U.; Ahmed, M.B.; Ahsan, H.; Islam, M.; Shehzad, A.; Sonn, J.K.; Lee, Y.S. An Update on the Role of Dietary Phytochemicals in Human Skin Cancer: New Insights into Molecular Mechanisms. Antioxidants 2020, 9, 916. [Google Scholar] [CrossRef]
- Menaa, F.; Badole, S.L.; Menaa, B.; Menaa, A. Promising plant extracts with in vivo anti-melanoma potential. Bioact. Diet. Factors Plant Extr. Dermatol. 2013, 283–290. [Google Scholar] [CrossRef]
- Alesiani, D.; Canini, A.; D’Abrosca, B.; DellaGreca, M.; Fiorentino, A.; Mastellone, C.; Monaco, P.; Pacifico, S. Antioxidant and antiproliferative activities of phytochemicals from Quince (Cydonia vulgaris) peels. Food Chem. 2010, 118, 199–207. [Google Scholar] [CrossRef]
- Blagojević, B.; Agić, D.; Serra, A.T.; Matić, S.; Matovina, M.; Bijelić, S.; Popović, B.M. An in vitro and in silico evaluation of bioactive potential of cornelian cherry (Cornus mas L.) extracts rich in polyphenols and iridoids. Food Chem. 2021, 335, 127619. [Google Scholar] [CrossRef] [PubMed]
- Dinda, B.; Kyriakopoulos, A.M.; Dinda, S.; Zoumpourlis, V.; Thomaidis, N.S.; Velegraki, A.; Markopoulos, C.; Dinda, M. Cornus mas L. (cornelian cherry), an important European and Asian traditional food and medicine: Ethnomedicine, phytochemistry and pharmacology for its commercial utilization in drug industry. J. Ethnopharmacol. 2016, 193, 670–690. [Google Scholar] [CrossRef] [PubMed]
- Kucharska, A.Z.; Szumny, A.; Sokól-Letowska, A.; Piórecki, N.; Klymenko, S.V. Iridoids and anthocyanins in cornelian cherry (Cornus mas L.) cultivars. J. Food Compos. Anal. 2015, 40, 95–102. [Google Scholar] [CrossRef]
- De Biaggi, M.; Donno, D.; Mellano, M.G.; Riondato, I.; Rakotoniaina, E.N.; Beccaro, G.L.; De Biaggi, M.; Donno, D.; Mellano, M.G.; Riondato, I.; et al. Cornus mas (L.) Fruit as a Potential Source of Natural Health-Promoting Compounds: Physico-Chemical Characterisation of Bioactive Components. Plant Foods Hum. Nutr. 2018, 73, 89–94. [Google Scholar] [CrossRef]
- Gąstoł, M.; Krośniak, M.; Derwisz, M.; Dobrowolska-Iwanek, J. Cornelian Cherry (Cornus mas L.) Juice as a Potential Source of Biological Compounds. J. Med. Food 2013, 16, 728–732. [Google Scholar] [CrossRef]
- Szczepaniak, O.M.; Kobus-Cisowska, J.; Kusek, W.; Przeor, M. Functional properties of Cornelian cherry (Cornus mas L.): A comprehensive review. Eur. Food Res. Technol. 2019, 245, 2071–2087. [Google Scholar] [CrossRef]
- Efenberger-Szmechtyk, M.; Nowak, A.; Czyżowska, A.; Śniadowska, M.; Otlewska, A.; Żyżelewicz, D. Antibacterial mechanisms of Aronia melanocarpa (Michx.), Chaenomeles superba Lindl. and Cornus mas L. leaf extracts. Food Chem. 2021, 350, 129218. [Google Scholar] [CrossRef]
- Efenberger-Szmechtyk, M.; Nowak, A.; Czyżowska, A.; Kucharska, A.Z.; Fecka, I. Composition and Antibacterial Activity of Aronia melanocarpa (Michx.) Elliot, Cornus mas L. and Chaenomeles superba Lindl. Leaf Extracts. Molecules 2020, 25, 2011. [Google Scholar] [CrossRef]
- Yigit, D. Antimicrobial and Antioxidant Evaluation of Fruit Extract from Cornus mas L. Aksaray Univ. J. Sci. Eng. 2018, 2, 41–51. [Google Scholar] [CrossRef]
- Mamedov, N.; Craker, L.E. Cornelian cherry: A prospective source for phytomedicine. Acta Hortic. 2004, 629, 83–86. [Google Scholar] [CrossRef]
- Szandruk-Bender, M.; Rutkowska, M.; Merwid-Ląd, A.; Wiatrak, B.; Szeląg, A.; Dzimira, S.; Sobieszczańska, B.; Krzystek-Korpacka, M.; Kucharska, A.Z.; Matuszewska, A.; et al. Cornelian cherry iridoid-polyphenolic extract improves mucosal epithelial barrier integrity in rat experimental colitis and exerts antimicrobial and antiadhesive activities in vitro. Oxid. Med. Cell. Longev. 2020, 2020, 1–19. [Google Scholar] [CrossRef] [PubMed]
- Krzyściak, P.; Krośniak, M.; Gąstoł, M.; Ochońska, D.; Krzyściak, W. Antimicrobial activity of Cornelian cherry (Cornus mas L.). Postępy Fitoter. 2011, 4, 227–231. [Google Scholar]
- Quah, Y.; Lee, S.J.; Lee, E.B.; Birhanu, B.T.; Ali, M.S.; Abbas, M.A.; Boby, N.; Im, Z.E.; Park, S.C. Cornus officinalis Ethanolic Extract with Potential Anti-Allergic, Anti-Inflammatory, and Antioxidant Activities. Nutrients 2020, 12, 3317. [Google Scholar] [CrossRef] [PubMed]
- Moldovan, B.; Filip, A.; Clichici, S.; Suharoschi, R.; Bolfa, P.; David, L. Antioxidant activity of Cornelian cherry (Cornus mas L.) fruits extract and the in vivo evaluation of its anti-inflammatory effects. J. Funct. Foods 2016, 26, 77–87. [Google Scholar] [CrossRef]
- Tiptiri-Kourpeti, A.; Fitsiou, E.; Spyridopoulou, K.; Vasileiadis, S.; Iliopoulos, C.; Galanis, A.; Vekiari, S.; Pappa, A.; Chlichlia, K. Evaluation of Antioxidant and Antiproliferative Properties of Cornus mas L. Fruit Juice. Antioxidants 2019, 8, 377. [Google Scholar] [CrossRef]
- Cosmulescu, S.; Trandafir, I.; Cornescu, F. Antioxidant Capacity, Total Phenols, Total Flavonoids and Colour Component of Cornelian Cherry (Cornus mas L.) Wild Genotypes. Not. Bot. Horti Agrobot. Cluj-Napoca 2019, 47, 390–394. [Google Scholar] [CrossRef]
- Šavikin, K.; Zdunić, G.; Janković, T.; Stanojković, T.; Juranić, Z.; Menković, N.; Avikin, K.Š.; Zdunicá, G.; Jankovicá, T.; Stanojkovic’b, T.S.; et al. In vitro cytotoxic and antioxidative activity of Cornus mas and Cotinus coggygria. Nat. Prod. Res. 2009, 23, 1731–1739. [Google Scholar] [CrossRef]
- Savaş, E.; Tavşanli, H.; Çatalkaya, G.; Çapanoğlu, E.; Tamer, C.E. The antimicrobial and antioxidant properties of garagurt: Traditional Cornelian cherry (Cornus mas) marmalade. Qual. Assur. Saf. Crops Foods 2020, 12, 12–23. [Google Scholar] [CrossRef]
- Alavian, S.M.; Banihabib, N.; Haghi, M.E.; Panahi, F. Protective Effect of Cornus mas Fruits Extract on Serum Biomarkers in CCl4-Induced Hepatotoxicity in Male Rats. Hepat. Mon. 2014, 14, 10330. [Google Scholar] [CrossRef]
- Somi, M.H.; Banihabib, N.; Dehghan, G.; Haghi, M.E.; Panahi, F.; Haghi, E. Hepatoprotective Effect of Cornus mas Fruits Extract Against Carbon Tetrachloride-Induced Hepatic Damage in Male Albino Rats. Thrita 2014, 3, 17625. [Google Scholar] [CrossRef]
- Mesgari Abbasi, M.; Hassanalilou, T.; Khordadmehr, M.; Mohammadzadeh Vardin, A.; Behroozi Kohlan, A.; Khalili, L. Effects of Cornus mas Fruit Hydro-Methanolic Extract on Liver Antioxidants and Histopathologic Changes Induced by Cisplatin in Rats. Indian J. Clin. Biochem. 2019, 35, 218–224. [Google Scholar] [CrossRef] [PubMed]
- Dragan, S.; Badalica, M.; Duicu, O.; Socaciu, C. Comparative Cardioprotective Effects of Crataegus Monogyna, Cornus Mas and Prunella Vulgaris on Neonatal Rat Cardiomyocytes. J. Altern. Complement. Med. 2014, 20, A34. [Google Scholar] [CrossRef]
- Mikaili, P.; Eshaghi, M.; Zare, S.; Banihabib, N.; Nejati, V.; Farokhi, F. Cardioprotective Effect of Cornus Mas Fruit Extract against Carbon Tetrachloride Induced-Cardiotoxicity in Albino Rats. J. Basic Appl. Sci. Res. 2012, 2, 11106–11114. [Google Scholar]
- Yarim, G.F.; Kazak, F.; Sozmen, M.; Koca, I.; Albayrak, H.; Yarim, M.; Cenesiz, S.; Ozan, E. Kızılcık (Cornus mas L.) meyva ekstraktının sisplatin indüklü in vitro böbrek hücre hasarına etkisinin araştırılması. Turkish J. Biochem. 2017, 42, 435–443. [Google Scholar] [CrossRef]
- Vardin, A.M.; Khordadmehr, M.; Heidari, R.; Nouri, H.O.L.; Amirkhiz, M.B.; Abbasi, M.M. The effects of cornus mas hydro-methanolic extract on cisplatin-induced nephrotoxicity in rats. Pharm. Sci. 2018, 24, 97–103. [Google Scholar] [CrossRef]
- Lietava, J.; Beerova, N.; Klymenko, S.V.; Panghyova, E.; Varga, I.; Pechanova, O. Effects of Cornelian Cherry on Atherosclerosis and Its Risk Factors. Oxid. Med. Cell. Longev. 2019, 2019, 1–8. [Google Scholar] [CrossRef]
- Sozański, T.; Kucharska, A.Z.; Dzimira, S.; Magdalan, J.; Szumny, D.; Matuszewska, A.; Nowak, B.; Piórecki, N.; Szeląg, A.; Trocha, M. Loganic acid and anthocyanins from cornelian cherry (Cornus mas L.) fruits modulate diet-induced atherosclerosis and redox status in rabbits. Adv. Clin. Exp. Med. 2018, 27, 1505–1513. [Google Scholar] [CrossRef]
- Rafieian-Kopaei, M.; Asgary, S.; Adelnia, A.; Setorki, M.; Khazaei, M.; Kazemi, S.; Shamsi, F. The effects of cornelian cherry on atherosclerosis and atherogenic factors in hypercholesterolemic rabbits. J. Med. Plants Res. 2011, 5, 2670–2676. [Google Scholar]
- Dzydzan, O.; Bila, I.; Kucharska, A.Z.; Brodyak, I.; Sybirna, N. Antidiabetic effects of extracts of red and yellow fruits of cornelian cherries (Cornus mas L.) on rats with streptozotocin-induced diabetes mellitus. Food Funct. 2019, 10, 6459–6472. [Google Scholar] [CrossRef]
- Capcarova, M.; Kalafova, A.; Schwarzova, M.; Schneidgenova, M.; Svik, K.; Prnova, M.S.; Slovak, L.; Kovacik, A.; Lory, V.; Zorad, S.; et al. Cornelian cherry fruit improves glycaemia and manifestations of diabetes in obese Zucker diabetic fatty rats. Res. Vet. Sci. 2019, 126, 118–123. [Google Scholar] [CrossRef] [PubMed]
- Hosseinpour, F.; Shomali, T.; Rafieian-Kopaei, M. Hypocholesterolemic activity of cornelian cherry (Cornus mas L.) fruits. J. Complement. Integr. Med. 2017, 14. [Google Scholar] [CrossRef] [PubMed]
- Asgary, S.; Rafieian-Kopaei, M.; Shamsi, F.; Najafi, S.; Sahebkar, A. Biochemical and histopathological study of the anti-hyperglycemic and anti-hyperlipidemic effects of cornelian cherry (Cornus mas L.) in alloxan-induced diabetic rats. J. Complement. Integr. Med. 2014, 11, 63–69. [Google Scholar] [CrossRef] [PubMed]
- Rasoulian, H.; Shahryar, H.A.; Abbaspour, R.; Lotfi, H. Effects of dietary inclusion of cornelian cherry (Cornus mas L.) fruit on body weight, insulin level and glycemic status of hamsters. Pak. J. Biol. Sci. 2012, 15, 547–550. [Google Scholar] [CrossRef]
- Narimani-Rad, M.; Zendehdel, M.; Abbasi, M.M.; Abdollahi, B.; Lotfi, A. Cornelian cherry (Cornus mas L.) Extract affects Glycemic status in Wistar rats. Bull. Environ. Pharmacol. Life Sci. 2013, 2, 48–50. [Google Scholar]
- Efenberger-Szmechtyk, M.; Nowak, A.A.; Nowak, A.A. Cytotoxic and DNA-Damaging Effects of Aronia melanocarpa, Cornus mas, and Chaenomeles superba Leaf Extracts on the Human Colon Adenocarcinoma Cell Line Caco-2. Antioxidants 2020, 9, 1030. [Google Scholar] [CrossRef]
- Rezaei, F.; Shokrzadeh, M.; Majd, A.; Nezhadsattari, T. Cytotoxic Effect of Hydroalcoholic Extract of Cornus mas L. fruit on MCF7, HepG2 and CHO cell line by MTT Assay. J. Maz. Univ. Med. Sci. 2014, 24, 130–138. [Google Scholar]
- Yousefi, B.; Abasi, M.; Abbasi, M.M.; Jahanban-Esfahlan, R. Anti-proliferative properties of Cornus mass fruit in different human cancer cells. Asian Pac. J. Cancer Prev. 2015, 16, 5727–5731. [Google Scholar] [CrossRef]
- Hosseini, F.S.; Karimabad, M.N.; Hajizadeh, M.R.; Khoshdel, A.; Falahati-Pour, S.K.; Mirzaei, M.R.; Mirmohamadi, S.M.; Mahmoodi, M. Evaluating of Induction of Apoptosis by Cornus mass L. Extract in the Gastric Carcinoma Cell Line (AGS). Asian Pac. J. Cancer Prev. 2019, 20, 123. [Google Scholar] [CrossRef]
- Turker, A.U.; Yildirim, A.B.; Karakas, F.P. Antibacterial and Antitumor Activities of Some Wild Fruits Grown in Turkey. Biotechnol. Biotechnol. Equip. 2012, 26, 2765–2772. [Google Scholar] [CrossRef]
- Yilmaz, S.; Alpa, S.; AY, G.; Ulger, H.; Arslan, E.; AH, Y.; Ertekin, T.; Nisari, M.; Yalcin, B. The investigation of the antitumoral effect of Cornus mas L. in mice with ehrlich solid tumor. Bratisl. Lek. Listy 2020, 121, 22–30. [Google Scholar] [CrossRef] [PubMed]
- Opris, R.; Toma, V.; Olteanu, D.; Baldea, I.; Baciu, A.M.; Lucaci, F.I.; Berghian-Sevastre, A.; Tatomir, C.; Moldovan, B.; Clichici, S.; et al. Effects of silver nanoparticles functionalized with Cornus mas L. extract on architecture and apoptosis in rat testicle. Nanomedicine 2019, 14, 275–299. [Google Scholar] [CrossRef] [PubMed]
- Blagojević, B.; Četojević-Simin, D.; Parisi, F.; Lazzara, G.; Popović, B.M. Halloysite nanotubes as a carrier of cornelian cherry (Cornus mas L.) bioactives. LWT 2020, 134, 110247. [Google Scholar] [CrossRef]
- Ebrahimzadeh, A.; Esmaeili, M.; Hassanpour, H.; Hassanpouraghdam, M.B.; Ercisli, S.; Bozhuyuk, M.R.; Dokoupil, L.; Mlcek, J. Quality Attributes of Chitosan-Coated Cornelian Cherry (Cornus mas L.) Fruits under Different Storage Temperatures. Horticulturae 2021, 7, 540. [Google Scholar] [CrossRef]
- Crisan, D.; Scharffetter-Kochanek, K.; Crisan, M.; Schatz, S.; Hainzl, A.; Olenic, L.; Filip, A.; Schneider, L.A.; Sindrilaru, A. Topical silver and gold nanoparticles complexed with Cornus mas suppress inflammation in human psoriasis plaques by inhibiting NF-κB activity. Exp. Dermatol. 2018, 27, 1166–1169. [Google Scholar] [CrossRef]
- David, L.; Moldovan, B.; Baldea, I.; Olteanu, D.; Bolfa, P.; Clichici, S.; Filip, G.A. Modulatory effects of Cornus sanguinea L. mediated green synthesized silver nanoparticles on oxidative stress, COX-2/NOS2 and NFkB/pNFkB expressions in experimental inflammation in Wistar rats. Mater. Sci. Eng. C 2020, 110, 110709. [Google Scholar] [CrossRef]
- Abe, Y.; Takabe, W.; Yagi, M.; Uwaya, A.; Isami, F.; Yonei, Y. Inhibition of AGE-induced Melanogenesis in B16 Melanoma Cells by Iridoid-containing Plants. Glycative Stress Res. Off. J. 2017, 4, 67–70. [Google Scholar]
- Przybylska, D.; Kucharska, A.Z.; Cybulska, I.; Sozański, T.; Piórecki, N.; Fecka, I. Cornus mas L. Stones: A Valuable by-Product as an Ellagitannin Source with High Antioxidant Potential. Molecules 2020, 25, 4646. [Google Scholar] [CrossRef]
- Muller, K.E.; Barton, C.N. Approximate power for repeated-measures anova lacking sphericity. J. Am. Stat. Assoc. 1989, 84, 549–555. [Google Scholar] [CrossRef]
- Van Tonder, A.; Joubert, A.M.; Cromarty, A.D.; Van Tonder, A.; Joubert, A.M.; Cromarty, A.D. Limitations of the 3-(4,5-dimethylthiazol-2-yl)-2,5-diphenyl-2H-tetrazolium bromide (MTT) assay when compared to three commonly used cell enumeration assays. BMC Res. Notes 2015, 8, 1–10. [Google Scholar] [CrossRef]
- Steiger, J.H. Beyond the F test: Effect size confidence intervals and tests of close fit in the analysis of variance and contrast analysis. Psychol. Methods 2004, 9, 164–182. [Google Scholar] [CrossRef] [PubMed]
- Lee, J.; Rennaker, C.; Wrolstad, R.E. Correlation of two anthocyanin quantification methods: HPLC and spectrophotometric methods. Food Chem. 2008, 110, 782–786. [Google Scholar] [CrossRef]
- Kardel, M.; Taube, F. Different approaches to evaluate tannin content and structure of selected plant extracts-Review and new aspects. Artic. J. Appl. Bot. Food Qual. 2013, 86, 154–166. [Google Scholar] [CrossRef]
- Wulandari, L.; Retnaningtyas, Y.; Nuri; Lukman, H. Analysis of Flavonoid in Medicinal Plant Extract Using Infrared Spectroscopy and Chemometrics. J. Anal. Methods Chem. 2016, 2016, 1–6. [Google Scholar] [CrossRef] [PubMed]
- Yilmaz, K.U.; Ercisli, S.; Zengin, Y.; Sengul, M.; Kafkas, E.Y. Preliminary characterisation of cornelian cherry (Cornus mas L.) genotypes for their physico-chemical properties. Food Chem. 2009, 114, 408–412. [Google Scholar] [CrossRef]
- Moldovan, B.; Popa, A.; David, L. Effects of storage temperature on the total phenolic content of Cornelian cherry (Cornus mas L.) fruits extracts. J. Appl. Bot. Food Qual. 2016, 89, 208–211. [Google Scholar]
- Forman, V.; Haladová, M.; Grančai, D.; Ficková, M. Antiproliferative Activities of Water Infusions from Leaves of Five Cornus L. Species. Molecules 2015, 20, 22546–22552. [Google Scholar] [CrossRef]
- Lee, M.; Yin, J.; Park, K. Antiproliferative effects of new dimeric ellagitannins from Cornus alba in prostate cancer cells. Planta Med. 2016, 82, P1093. [Google Scholar] [CrossRef]
- Fukumoto, L.R.; Mazza, G. Assessing Antioxidant and Prooxidant Activities of Phenolic Compounds. J. Agric. Food Chem. 2000, 48, 3597–3604. [Google Scholar] [CrossRef]
- German, J.B.; Frankel, E. Phenolics: Prooxidants or Antioxidants? Nutr. Rev. 1997, 55, 396–398. [Google Scholar] [CrossRef]
- Eghbaliferiz, S.; Iranshahi, M. Prooxidant Activity of Polyphenols, Flavonoids, Anthocyanins and Carotenoids: Updated Review of Mechanisms and Catalyzing Metals. Phytother. Res. 2016, 30, 1379–1391. [Google Scholar] [CrossRef] [PubMed]
- Galati, G.; Sabzevari, O.; Wilson, J.X.; O’Brien, P.J. Prooxidant activity and cellular effects of the phenoxyl radicals of dietary flavonoids and other polyphenolics. Toxicology 2002, 177, 91–104. [Google Scholar] [CrossRef]
- Procházková, D.; Boušová, I.; Wilhelmová, N. Antioxidant and prooxidant properties of flavonoids. Fitoterapia 2011, 82, 513–523. [Google Scholar] [CrossRef] [PubMed]
- Eren-Guzelgun, B.; Ince, E.; Gurer-Orhan, H. In vitro antioxidant/prooxidant effects of combined use of flavonoids. Nat. Prod. Res. 2018, 32, 1446–1450. [Google Scholar] [CrossRef]
- Young, A.J.; Lowe, G.M. Antioxidant and Prooxidant Properties of Carotenoids. Arch. Biochem. Biophys. 2001, 385, 20–27. [Google Scholar] [CrossRef]
- Martin, H.D.; Jäger, C.; Ruck, C.; Schmidt, M.; Walsh, R.; Paust, J. Anti-and Prooxidant Properties of Carotenoids. J. Für Prakt. Chem. 1999, 341, 302–308. [Google Scholar] [CrossRef]
- Filipiak, K.; Hidalgo, M.; Silvan, J.M.; Fabre, B.; Carbajo, R.J.; Pineda-Lucena, A.; Ramos, A.; De Pascual-Teresa, B.; De Pascual-Teresa, S. Dietary gallic acid and anthocyanin cytotoxicity on human fibrosarcoma HT1080 cells. A study on the mode of action. Food Funct. 2014, 5, 381–389. [Google Scholar] [CrossRef]
- Reddivari, L.; Vanamala, J.; Chintharlapalli, S.; Safe, S.H.; Miller, J.C. Anthocyanin fraction from potato extracts is cytotoxic to prostate cancer cells through activation of caspase-dependent and caspase-independent pathways. Carcinogenesis 2007, 28, 2227–2235. [Google Scholar] [CrossRef]
- Ruginǎ, D.; Sconţa, Z.; Leopold, L.; Pintea, A.; Bunea, A.; Socaciu, C. Antioxidant Activities of Chokeberry Extracts and the Cytotoxic Action of Their Anthocyanin Fraction on HeLa Human Cervical Tumor Cells. J. Med. Food 2012, 15, 700–706. [Google Scholar] [CrossRef]
- Szymanowska, U.; Baraniak, B.; Bogucka-Kocka, A. Antioxidant, Anti-Inflammatory, and Postulated Cytotoxic Activity of Phenolic and Anthocyanin-Rich Fractions from Polana Raspberry (Rubus idaeus L.) Fruit and Juice—In Vitro Study. Molecules 2018, 23, 1812. [Google Scholar] [CrossRef]
- Bagchi, D.; Sen, C.K.; Bagchi, M.; Atalay, M. Anti-angiogenic, Antioxidant, and Anti-carcinogenic Properties of a Novel Anthocyanin-Rich Berry Extract Formula. Biochemistry 2004, 69, 75–80. [Google Scholar] [CrossRef] [PubMed]
- Hogan, S.; Chung, H.; Zhang, L.; Li, J.; Lee, Y.; Dai, Y.; Zhou, K. Antiproliferative and antioxidant properties of anthocyanin-rich extract from açai. Food Chem. 2010, 118, 208–214. [Google Scholar] [CrossRef]
- Migliorini, A.A.; Piroski, C.S.; Daniel, T.G.; Cruz, T.M.; Escher, G.B.; Vieira do Carmo, M.A.; Azevedo, L.; Marques, M.B.; Granato, D.; Rosso, N.D. Red Chicory (Cichorium intybus) Extract Rich in Anthocyanins: Chemical Stability, Antioxidant Activity, and Antiproliferative Activity In Vitro. J. Food Sci. 2019, 84, 990–1001. [Google Scholar] [CrossRef] [PubMed]
- Fernandes, I.; Marques, F.; De Freitas, V.; Mateus, N. Antioxidant and antiproliferative properties of methylated metabolites of anthocyanins. Food Chem. 2013, 141, 2923–2933. [Google Scholar] [CrossRef]
- Qiao, S.; Lamore, S.D.; Cabello, C.M.; Lesson, J.L.; Muñoz-Rodriguez, J.L.; Wondrak, G.T. Thiostrepton is an inducer of oxidative and proteotoxic stress that impairs viability of human melanoma cells but not primary melanocytes. Biochem. Pharmacol. 2012, 83, 1229–1240. [Google Scholar] [CrossRef]
- Petersson, S.; Shubbar, E.; Enerbäck, L.; Enerbäck, C. Expression patterns of S100 proteins in melanocytes and melanocytic lesions. Melanoma Res. 2009, 19, 215–225. [Google Scholar] [CrossRef]
- Okazawa, M.; Shiraki, T.; Ninomiya, H.; Kobayashi, S.; Masaki, T. Endothelin-induced Apoptosis of A375 Human Melanoma Cells. J. Biol. Chem. 1998, 273, 12584–12592. [Google Scholar] [CrossRef]
- Spychaj, R.; Kucharska, A.Z.; Szumny, A.; Przybylska, D.; Pejcz, E.; Piórecki, N. Potential valorization of Cornelian cherry (Cornus mas L.) stones: Roasting and extraction of bioactive and volatile compounds. Food Chem. 2021, 358, 129802. [Google Scholar] [CrossRef]
- Adan, A.; Kiraz, Y.; Yusuf, B. Cell proliferation and cytotoxicity assays. Curr. Pharm. Biotechnol. 2016, 17, 1213–1221. [Google Scholar] [CrossRef]
- Lancaster, H.O. The Helmert Matrices. Am. Math. Mon. 1965, 72, 4–12. [Google Scholar] [CrossRef]
- Farhadian, R.; Asadian, N. On the Helmert Matrix and Application in Stochastic Processes. Int. J. Math. Comput. Sci. 2017, 12, 107–115. [Google Scholar]
- AAT Bioquest Quest GraphTM IC50 Calculator. 2022. Available online: https://www.aatbio.com/tools/ic50-calculator (accessed on 27 May 2022).
Publisher’s Note: MDPI stays neutral with regard to jurisdictional claims in published maps and institutional affiliations. |
© 2022 by the authors. Licensee MDPI, Basel, Switzerland. This article is an open access article distributed under the terms and conditions of the Creative Commons Attribution (CC BY) license (https://creativecommons.org/licenses/by/4.0/).









