Novel Copper(II) Complexes with Dipinodiazafluorene Ligands: Synthesis, Structure, Magnetic and Catalytic Properties
Abstract
:1. Introduction
2. Results and Discussion
2.1. Synthesis
2.2. Crystal Structures
2.3. HR-ESI-MS Studies
2.4. EPR Spectroscopy Studies
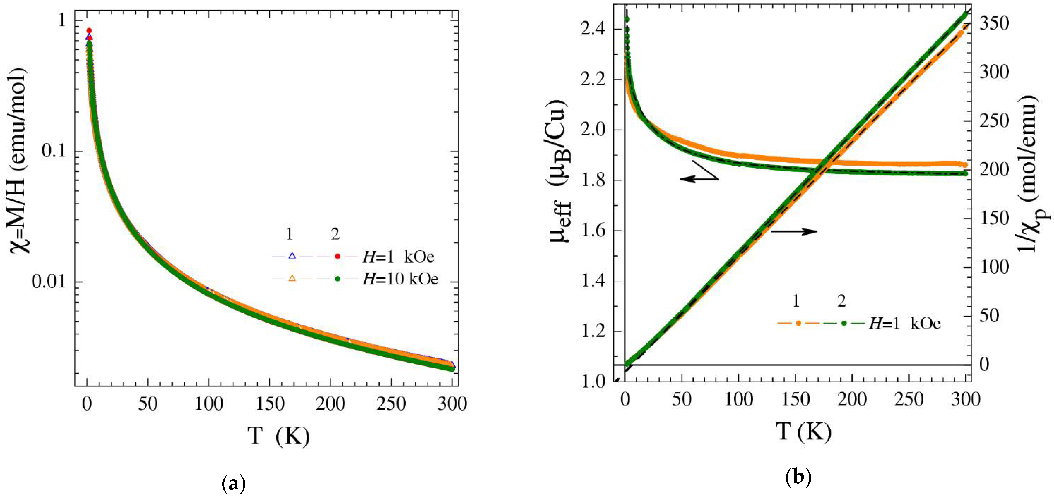
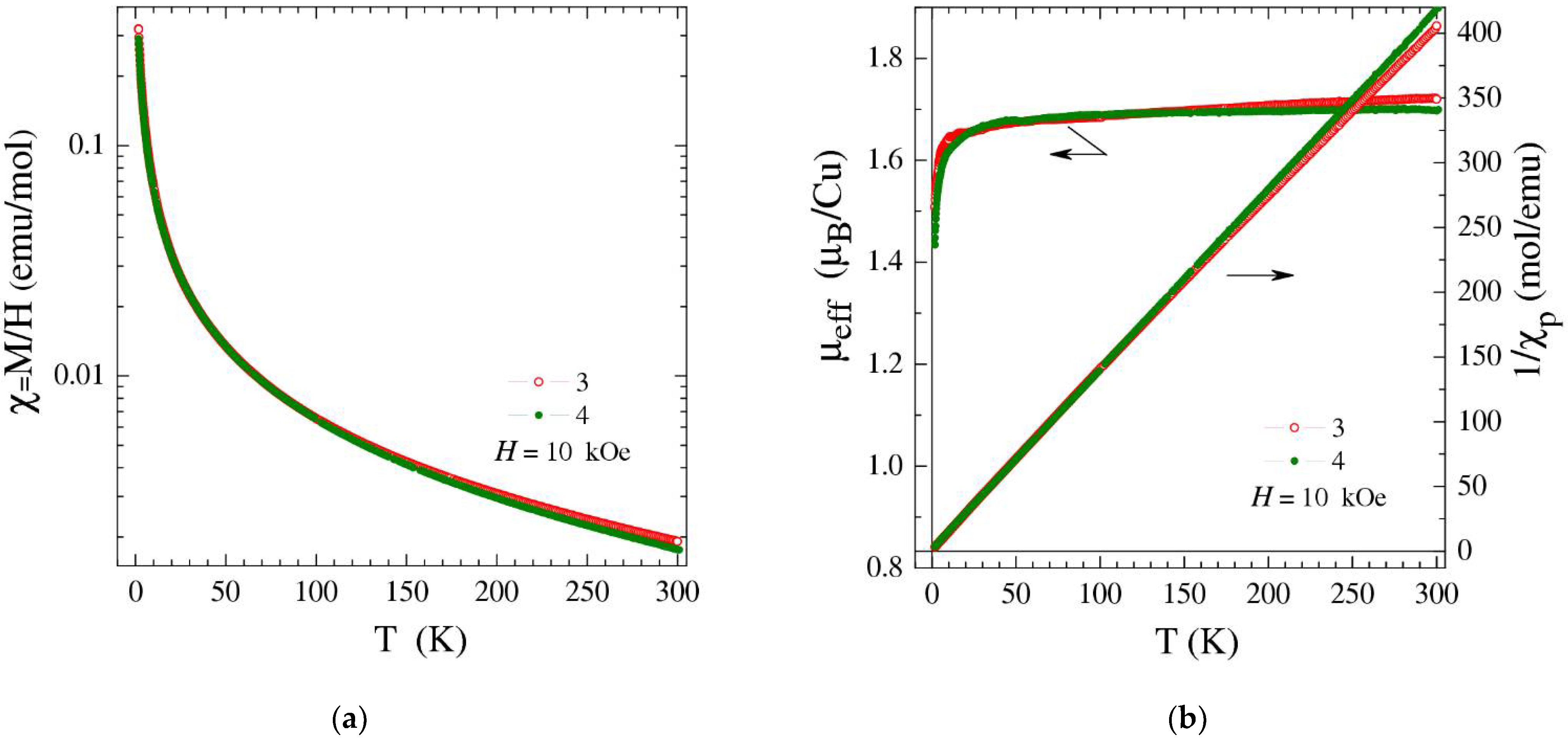
2.5. Magnetic Measurements
2.6. Oxygenation of Alkanes and Alcohols
3. Experimental Section
3.1. General Procedures
3.2. Physical Measurements
3.3. Magnetic Measurements
3.4. X-ray Data Collection and Structure Refinement
3.4.1. Synthesis of [CuCl2L1]2 (1)
3.4.2. Synthesis of [CuBr2L1]2 (2)
3.4.3. Synthesis of [(CuCl2)2L2]n (3)
3.4.4. Synthesis of [(CuBr2)2L2]n (4)
3.5. Catalytic Studies
3.6. HR-ESI-MS Studies
4. Conclusions
Supplementary Materials
Author Contributions
Funding
Institutional Review Board Statement
Informed Consent Statement
Data Availability Statement
Acknowledgments
Conflicts of Interest
Sample Availability
References
- Jumde, R.P.; Lanza, F.; Pellegrini, T.; Harutyunyan, S.R. Highly enantioselective catalytic synthesis of chiral pyridines. Nat. Commun. 2017, 8, 2058. [Google Scholar] [CrossRef] [PubMed] [Green Version]
- Chiang, M.; Li, Y.; Krishnan, D.; Sumod, P.; Ng, K.H.; Leung, P. Synthesis and Characterisation of a Novel Chiral Bidentate Pyridine-N-Heterocyclic Carbene-Based Palladacycle. Eur. J. Inorg. Chem. 2010, 2010, 1413–1418. [Google Scholar] [CrossRef]
- Ng, K.H.; Li, Y.; Tan, W.X.; Chiang, M.; Pullarkat, S.A. Synthesis and Characterization of Conformationally Rigid Chiral Pyridine-N-Heterocyclic Carbene-Based Palladacycles with an Unexpected Pd-N Bond Cleavage. Chirality 2013, 25, 149–159. [Google Scholar] [CrossRef] [PubMed]
- Solvi, T.N.; Reiersølmoen, A.C.; Orthaber, A.; Fiksdahl, A. Studies towards Pyridine-Based N,N,O -Gold(III) Complexes: Synthesis, Characterization and Application. Eur. J. Org. Chem. 2020, 2020, 7062–7068. [Google Scholar] [CrossRef]
- Wang, Y.-D.; Liu, J.-K.; Yang, X.-J.; Gong, J.-F.; Song, M.-P. Chiral (Pyridine)-(Imidazoline) NCN′ Pincer Palladium(II) Complexes: Convenient Synthesis via C–H Activation and Characterization. Organometallics 2022, 41, 984–996. [Google Scholar] [CrossRef]
- Song, P.; Hu, L.; Yu, T.; Jiao, J.; He, Y.; Xu, L.; Li, P. Development of a Tunable Chiral Pyridine Ligand Unit for Enantioselective Iridium-Catalyzed C–H Borylation. ACS Catal. 2021, 11, 7339–7349. [Google Scholar] [CrossRef]
- Wei-Yi Chen; Xin-Sheng Li Asymmetric Allylation of Aldehydes and Ketones Using Chiral Pyridine Bis(diphenyloxazoline)-Indium Complexes. Lett. Org. Chem. 2007, 4, 398–403. [CrossRef]
- Takenaka, N.; Sarangthem, R.S.; Captain, B. Helical Chiral Pyridine N -Oxides: A New Family of Asymmetric Catalysts. Angew. Chem. Int. Ed. 2008, 47, 9708–9710. [Google Scholar] [CrossRef]
- Wolińska, E.; Rozbicki, P.; Branowska, D. Chiral pyridine oxazoline and 1,2,4-triazine oxazoline ligands incorporating electron-withdrawing substituents and their application in the Cu-catalyzed enantioselective nitroaldol reaction. Mon. Chem.-Chem. Mon. 2022, 153, 245–256. [Google Scholar] [CrossRef]
- Peng, Z.; Takenaka, N. Applications of Helical-Chiral Pyridines as Organocatalysts in Asymmetric Synthesis. Chem. Rec. 2013, 13, 28–42. [Google Scholar] [CrossRef]
- Li, Y.; Li, W.-Y.; Tang, X.; Liu, X.; Feng, X. Synthesis of chiral pyridine-oxazolines via a catalytic asymmetric Heine reaction of meso-N-(2-picolinoyl)-aziridines. Org. Chem. Front. 2022, 9, 1531–1535. [Google Scholar] [CrossRef]
- Kwong, H.; Yeung, H.; Yeung, C.; Lee, W.; Lee, C.; Wong, W. Chiral pyridine-containing ligands in asymmetric catalysis. Coord. Chem. Rev. 2007, 251, 2188–2222. [Google Scholar] [CrossRef]
- Amr, A.E.-G.E.; Mohamed, A.M.; Ibrahim, A.A. Synthesis of Some New Chiral Tricyclic and Macrocyclic Pyridine Derivatives as Antimicrobial Agents. Z. Nat. B 2003, 58, 861–868. [Google Scholar] [CrossRef]
- Al-Salahi, R.; Al-Omar, M.; Amr, A.E.-G. Synthesis of Chiral Macrocyclic or Linear Pyridine Carboxamides from Pyridine-2,6-dicarbonyl Dichloride as Antimicrobial Agents. Molecules 2010, 15, 6588–6597. [Google Scholar] [CrossRef] [PubMed] [Green Version]
- Amr, A.E.-G.E.; Mageid, R.E.A.; El-Naggar, M.; Naglah, A.M.; Nossier, E.S.; Elsayed, E.A. Chiral Pyridine-3,5-bis-(L-phenylalaninyl-L-leucinyl) Schiff Base Peptides as Potential Anticancer Agents: Design, Synthesis, and Molecular Docking Studies Targeting Lactate Dehydrogenase-A. Molecules 2020, 25, 1096. [Google Scholar] [CrossRef] [PubMed] [Green Version]
- Khose, V.; John, M.; Pandey, A.; Borovkov, V.; Karnik, A. Chiral Heterocycle-Based Receptors for Enantioselective Recognition. Symmetry 2018, 10, 34. [Google Scholar] [CrossRef] [Green Version]
- Liu, X.; Guo, W.-X.; Hu, X.-L.; Wang, Y.-Y.; Yue, Q.; Gao, E.-Q. Chiral coordination frameworks constructed by a pyridine-based alanine derivative with semi-rigid and asymmetrical configuration: Structure, photocatalysis and selective luminescent sensing. J. Solid State Chem. 2019, 273, 53–61. [Google Scholar] [CrossRef]
- Piccinelli, F.; Speghini, A.; Monari, M.; Bettinelli, M. New chiral pyridine-based Eu(III) complexes: Study of the relationship between the nature of the ligands and the 5D0 luminescence spectra. Inorg. Chim. Acta 2012, 385, 65–72. [Google Scholar] [CrossRef]
- Wang, Y.; Jing, T.-T.; Zhang, J.-L.; Liu, Y.-T.; Wang, S.-P.; Zhang, Q.-F.; Zhang, P.-Z.; Tong, B.-H.; Ye, S.-H.; Bai, F.-Q. Neutral Pt(II) complexes containing diazafluorene derivative ligands and their electroluminescent properties. Inorg. Chem. Commun. 2022, 137, 109170. [Google Scholar] [CrossRef]
- Vardar, D.; Ocak, H.; Akdaş Kılıç, H.; Jeannin, O.; Camerel, F.; Eran, B.B. Synthesis and characterization of new pyridine-based chiral calamitic liquid crystals. Liq. Cryst. 2021, 48, 850–861. [Google Scholar] [CrossRef]
- Malkov, A.V.; Stewart-Liddon, A.J.P.; Teplý, F.; Kobr, L.; Muir, K.W.; Haigh, D.; Kočovský, P. New pinene-derived pyridines as bidentate chiral ligands. Tetrahedron 2008, 64, 4011–4025. [Google Scholar] [CrossRef]
- Gong, J.; Wan, Q.; Kang, Q. Enantioselective Mukaiyama-Michael Reaction Catalyzed by a Chiral Rhodium Complex Based on Pinene-Modified Pyridine Ligands. Chem.—Asian J. 2018, 13, 2484–2488. [Google Scholar] [CrossRef] [PubMed]
- Bryleva, Y.A.; Ustimenko, Y.P.; Plyusnin, V.F.; Mikheilis, A.V.; Shubin, A.A.; Glinskaya, L.A.; Komarov, V.Y.; Agafontsev, A.M.; Tkachev, A.V. Ln(III) complexes with a chiral 1H-pyrazolo[3,4-b]pyridine derivative fused with a (−)-α-pinene moiety: Synthesis, crystal structure, and photophysical studies in solution and in the solid state. New J. Chem. 2021, 45, 2276–2284. [Google Scholar] [CrossRef]
- Ustimenko, Y.P.; Vasilyev, E.S.; Bizyaev, S.N.; Rybalova, T.V.; Tkachev, A.V. Synthesis of chiral spirodiazafluorenes. Chem. Heterocycl. Compd. 2020, 56, 1429–1433. [Google Scholar] [CrossRef]
- Ustimenko, Y.P.; Agafontsev, A.M.; Tkachev, A.V. Synthesis of chiral pinopyridines using catalysis by metal complexes. Chem. Heterocycl. Compd. 2022, 58, 135–143. [Google Scholar] [CrossRef]
- Mamula, O. Supramolecular coordination compounds with chiral pyridine and polypyridine ligands derived from terpenes. Coord. Chem. Rev. 2003, 242, 87–95. [Google Scholar] [CrossRef]
- Chelucci, G.; Thummel, R.P. Chiral 2,2′-Bipyridines, 1,10-Phenanthrolines, and 2,2′:6′,2′′-Terpyridines: Syntheses and Applications in Asymmetric Homogeneous Catalysis. Chem. Rev. 2002, 102, 3129–3170. [Google Scholar] [CrossRef]
- Argent, S.P.; Adams, H.; Riis-Johannessen, T.; Jeffery, J.C.; Harding, L.P.; Mamula, O.; Ward, M.D. Coordination Chemistry of Tetradentate N-Donor Ligands Containing Two Pyrazolyl–Pyridine Units Separated by a 1,8-Naphthyl Spacer: Dodecanuclear and Tetranuclear Coordination Cages and Cyclic Helicates. Inorg. Chem. 2006, 45, 3905–3919. [Google Scholar] [CrossRef]
- Denmark, S.E.; Fan, Y. Preparation of chiral bipyridine bis-N-oxides by oxidative dimerization of chiral pyridine N-oxides. Tetrahedron Asymmetry 2006, 17, 687–707. [Google Scholar] [CrossRef]
- Malkov, A.V.; Bell, M.; Castelluzzo, F.; Kočovský, P. METHOX: A New Pyridine N -Oxide Organocatalyst for the Asymmetric Allylation of Aldehydes with Allyltrichlorosilanes. Org. Lett. 2005, 7, 3219–3222. [Google Scholar] [CrossRef]
- Malkov, A.V.; Orsini, M.; Pernazza, D.; Muir, K.W.; Langer, V.; Meghani, P.; Kočovský, P. Chiral 2,2′-Bipyridine-Type N -Monoxides as Organocatalysts in the Enantioselective Allylation of Aldehydes with Allyltrichlorosilane. Org. Lett. 2002, 4, 1047–1049. [Google Scholar] [CrossRef] [PubMed]
- Malkov, A.V.; Kočovský, P. Chiral N-Oxides in Asymmetric Catalysis. Eur. J. Org. Chem. 2007, 2007, 29–36. [Google Scholar] [CrossRef]
- Ustimenko, Y.P.; Agafontsev, A.M.; Komarov, V.Y.; Tkachev, A.V. Synthesis of chiral nopinane annelated 3-methyl-1-aryl-1H-pyrazolo[3,4-b]pyridines by condensation of pinocarvone oxime with 1-aryl-1H-pyrazol-5-amines. Mendeleev Commun. 2018, 28, 584–586. [Google Scholar] [CrossRef]
- Vasilyev, E.S.; Agafontsev, A.M.; Tkachev, A.V. Microwave-Assisted Synthesis of Chiral Nopinane-Annelated Pyridines by Condensation of Pinocarvone Oxime with Enamines Promoted by FeCl3 and CuCl2. Synth. Commun. 2014, 44, 1817–1824. [Google Scholar] [CrossRef]
- Vasilyev, E.S.; Bagryanskaya, I.Y.; Tkachev, A.V. Syntheses of chiral nopinane-annelated pyridines of C2 and D2-symmetry: X-ray structures of the fused derivatives of 4,5-diazafluorene, 4,5-diaza-9H-fluoren-9-one, and 9,9′-bi-4,5-diazafluorenylidene. Mendeleev Commun. 2017, 27, 128–130. [Google Scholar] [CrossRef]
- Vasilyev, E.S.; Bizyaev, S.N.; Komarov, V.Y.; Gatilov, Y.V.; Tkachev, A.V. Chiral C2-Symmetric Diimines with 4,5-Diazafluorene Units. Molecules 2019, 24, 3186. [Google Scholar] [CrossRef] [Green Version]
- Kokina, T.E.; Glinskaya, L.A.; Tkachev, A.V.; Plyusnin, V.F.; Tsoy, Y.V.; Bagryanskaya, I.Y.; Vasilyev, E.S.; Piryazev, D.A.; Sheludyakova, L.A.; Larionov, S.V. Chiral zinc(II) and cadmium(II) complexes with a dihydrophenanthroline ligand bearing (–)-α-pinene fragments: Synthesis, crystal structures and photophysical properties. Polyhedron 2016, 117, 437–444. [Google Scholar] [CrossRef]
- Fomenko, I.S.; Gushchin, A.L.; Tkachev, A.V.; Vasilyev, E.S.; Abramov, P.A.; Nadolinny, V.A.; Syrokvashin, M.M.; Sokolov, M.N. Fist oxidovanadium complexes containing chiral derivatives of dihydrophenanthroline and diazafluorene. Polyhedron 2017, 135, 96–100. [Google Scholar] [CrossRef]
- Nongpiur, C.G.L.; Tripathi, D.K.; Poluri, K.M.; Rawat, H.; Kollipara, M.R. Ruthenium, rhodium and iridium complexes containing diazafluorene derivative ligands: Synthesis and biological studies. J. Chem. Sci. 2022, 134, 23. [Google Scholar] [CrossRef]
- Cebeci, C.; Arslan, B.S.; Güzel, E.; Nebioğlu, M.; Şişman, İ.; Erden, İ. 4,5-Diazafluorene ligands and their ruthenium(II) complexes with boronic acid and catechol anchoring groups: Design, synthesis and dye-sensitized solar cell applications. J. Coord. Chem. 2021, 74, 1366–1381. [Google Scholar] [CrossRef]
- Henk, W.C.; Hopkin, J.A.; Anderso, M.L.; Stie, J.P.; Da, V.W.; Blakemor, J.D. 4,5-Diazafluorene and 9,9’-Dimethyl-4,5-Diazafluorene as Ligands Supporting Redox-Active Mn and Ru Complexes. Molecules 2020, 25, 3189. [Google Scholar] [CrossRef] [PubMed]
- Henke, W.C.; Stiel, J.P.; Day, V.W.; Blakemore, J.D. Evidence for Charge Delocalization in Diazafluorene Ligands Supporting Low-Valent [Cp*Rh] Complexes. Chem.—Eur. J. 2022, 28, e202103970. [Google Scholar] [CrossRef] [PubMed]
- Schmidt, T.A.; Sparr, C. Catalyst-Controlled Stereoselective Barton–Kellogg Olefination. Angew. Chem. Int. Ed. 2021, 60, 23911–23916. [Google Scholar] [CrossRef] [PubMed]
- Biedermann, P.U.; Agranat, I. Stereochemistry of Bistricyclic Aromatic Enes and Related Polycyclic Systems. In Polyarenes II; Springer: Berlin/Heidelberg, Germany, 2014; Volume 350, pp. 177–277. [Google Scholar] [CrossRef]
- Vasilyev, E.S.; Bizyaev, S.N.; Komarov, V.Y.; Tkachev, A.V. Bistricyclic aromatic enes annelated with nopinane fragment. Tetrahedron 2021, 83, 131979. [Google Scholar] [CrossRef]
- Querol, M.; Stoekli-Evans, H.; Belser, P. 4,5-Diazafluorene-Based Overcrowded Alkene: A New Ligand for Transition Metal Complexes. Org. Lett. 2002, 4, 1067–1070. [Google Scholar] [CrossRef]
- Bryliakov, K.P. (Ed.) Frontiers of Green Catalytic Selective Oxidations; Green Chemistry and Sustainable Technology; Springer: Singapore, 2019; ISBN 978-981-32-9750-0. [Google Scholar]
- Denisov, E.T.; Afanas’Ev, I.B. Oxidation and Antioxidants in Organic Chemistry and Biology; CRC Press: Boca Raton, FL, USA, 2005; pp. 1–981. [Google Scholar]
- Talsi, E.P.; Samsonenko, D.G.; Ottenbacher, R.V.; Bryliakov, K.P. Highly Enantioselective C–H Oxidation of Arylalkanes with H2O2 in the Presence of Chiral Mn-Aminopyridine Complexes. ChemCatChem 2017, 9, 4580–4586. [Google Scholar] [CrossRef]
- Bryliakov, K.P. Catalytic Asymmetric Oxygenations with the Environmentally Benign Oxidants H2O2 and O2. Chem. Rev. 2017, 117, 11406–11459. [Google Scholar] [CrossRef] [Green Version]
- Lubov, D.P.; Bryliakova, A.A.; Samsonenko, D.G.; Sheven, D.G.; Talsi, E.P.; Bryliakov, K.P. Palladium-Aminopyridine Catalyzed C–H Oxygenation: Probing the Nature of Metal Based Oxidant. ChemCatChem 2021, 13, 5109–5120. [Google Scholar] [CrossRef]
- Sinha, S.K.; Guin, S.; Maiti, S.; Biswas, J.P.; Porey, S.; Maiti, D. Toolbox for Distal C–H Bond Functionalizations in Organic Molecules. Chem. Rev. 2022, 122, 5682–5841. [Google Scholar] [CrossRef]
- Kholdeeva, O.A. Liquid-phase selective oxidation catalysis with metal-organic frameworks. Catal. Today 2016, 278, 22–29. [Google Scholar] [CrossRef]
- Kholdeeva, O.; Maksimchuk, N. Metal-Organic Frameworks in Oxidation Catalysis with Hydrogen Peroxide. Catalysts 2021, 11, 283. [Google Scholar] [CrossRef]
- Ma, Z.; Mahmudov, K.T.; Aliyeva, V.A.; Gurbanov, A.V.; Guedes da Silva, M.F.C.; Pombeiro, A.J.L. Peroxides in metal complex catalysis. Coord. Chem. Rev. 2021, 437, 213859. [Google Scholar] [CrossRef]
- Vomeri, A.; Stucchi, M.; Villa, A.; Evangelisti, C.; Beck, A.; Prati, L. New insights for the catalytic oxidation of cyclohexane to K-A oil. J. Energy Chem. 2022, 70, 45–51. [Google Scholar] [CrossRef]
- Dobrov, A.; Darvasiová, D.; Zalibera, M.; Bučinský, L.; Jelemenská, I.; Rapta, P.; Shova, S.; Dumitrescu, D.G.; Andrade, M.A.; Martins, L.M.D.R.S.; et al. Diastereomeric dinickel(II) complexes with non-innocent bis(octaazamacrocyclic) ligands: Isomerization, spectroelectrochemistry, DFT calculations and use in catalytic oxidation of cyclohexane. Dalt. Trans. 2022, 51, 5151–5167. [Google Scholar] [CrossRef]
- Voloshin, Y.Z.; Dudkin, S.V.; Belova, S.A.; Gherca, D.; Samohvalov, D.; Manta, C.-M.; Lungan, M.-A.; Meier-Menches, S.M.; Rapta, P.; Darvasiová, D.; et al. Spectroelectrochemical Properties and Catalytic Activity in Cyclohexane Oxidation of the Hybrid Zr/Hf-Phthalocyaninate-Capped Nickel(II) and Iron(II) tris-Pyridineoximates and Their Precursors. Molecules 2021, 26, 336. [Google Scholar] [CrossRef]
- Lukoyanov, A.N.; Fomenko, I.S.; Gongola, M.I.; Shul’pina, L.S.; Ikonnikov, N.S.; Shul’pin, G.B.; Ketkov, S.Y.; Fukin, G.K.; Rumyantcev, R.V.; Novikov, A.S.; et al. Novel Oxidovanadium Complexes with Redox-Active R-Mian and R-Bian Ligands: Synthesis, Structure, Redox and Catalytic Properties. Molecules 2021, 26, 5706. [Google Scholar] [CrossRef]
- Dobrov, A.; Darvasiová, D.; Zalibera, M.; Bučinský, L.; Puškárová, I.; Rapta, P.; Shova, S.; Dumitrescu, D.; Martins, L.M.D.R.S.; Pombeiro, A.J.L.; et al. Nickel(II) Complexes with Redox Noninnocent Octaazamacrocycles as Catalysts in Oxidation Reactions. Inorg. Chem. 2019, 58, 11133–11145. [Google Scholar] [CrossRef]
- Van-Dúnem, V.; Carvalho, A.P.; Martins, L.M.D.R.S.; Martins, A. Improved Cyclohexane Oxidation Catalyzed by a Heterogenized Iron (II) Complex on Hierarchical Y Zeolite through Surfactant Mediated Technology. ChemCatChem 2018, 10, 4058–4066. [Google Scholar] [CrossRef]
- Carabineiro, S.A.C.; Martins, L.M.D.R.S.; Pombeiro, A.J.L.; Figueiredo, J.L. Commercial Gold(I) and Gold(III) Compounds Supported on Carbon Materials as Greener Catalysts for the Oxidation of Alkanes and Alcohols. ChemCatChem 2018, 10, 1804–1813. [Google Scholar] [CrossRef]
- Fomenko, I.S.; Vincendeau, S.; Manoury, E.; Poli, R.; Abramov, P.A.; Nadolinny, V.A.; Sokolov, M.N.; Gushchin, A.L. An oxidovanadium(IV) complex with 4,4′-di-tert-butyl-2,2′-bipyridine ligand: Synthesis, structure and catalyzed cyclooctene epoxidation. Polyhedron 2020, 177, 114305. [Google Scholar] [CrossRef]
- Fomenko, I.S.; Gushchin, A.L.; Abramov, P.A.; Sokolov, M.N.; Shul’pina, L.S.; Ikonnikov, N.S.; Kuznetsov, M.L.; Pombeiro, A.J.L.; Kozlov, Y.N.; Shul’pin, G.B. New oxidovanadium(IV) complexes with 2,2′-bipyridine and 1,10-phenathroline ligands: Synthesis, structure and high catalytic activity in oxidations of alkanes and alcohols with peroxides. Catalysts 2019, 9, 217. [Google Scholar] [CrossRef] [Green Version]
- Fomenko, I.S.; Gushchin, A.L.; Shul’pina, L.S.; Ikonnikov, N.S.; Abramov, P.A.; Romashev, N.F.; Poryvaev, A.S.; Sheveleva, A.M.; Bogomyakov, A.S.; Shmelev, N.Y.; et al. New oxidovanadium(iv) complex with a BIAN ligand: Synthesis, structure, redox properties and catalytic activity. New J. Chem. 2018, 42, 16200–16210. [Google Scholar] [CrossRef]
- Fomenko, I.S.; Gushchin, A.L. Mono- and binuclear complexes of group 5 metals with diimine ligands: Synthesis, reactivity and prospects for application. Russ. Chem. Rev. 2020, 89, 966–998. [Google Scholar] [CrossRef]
- Lubov, D.P.; Lyakin, O.Y.; Samsonenko, D.G.; Rybalova, T.V.; Talsi, E.P.; Bryliakov, K.P. Palladium aminopyridine complexes catalyzed selective benzylic C–H oxidations with peracetic acid. Dalt. Trans. 2020, 49, 11150–11156. [Google Scholar] [CrossRef]
- Tkachenko, N.V.; Ottenbacher, R.V.; Lyakin, O.Y.; Zima, A.M.; Samsonenko, D.G.; Talsi, E.P.; Bryliakov, K.P. Highly Efficient Aromatic C–H Oxidation with H2O2 in the Presence of Iron Complexes of the PDP Family. ChemCatChem 2018, 10, 4052–4057. [Google Scholar] [CrossRef]
- Ottenbacher, R.V.; Talsi, E.P.; Bryliakov, K.P. Catalytic asymmetric oxidations using molecular oxygen. Russ. Chem. Rev. 2018, 87, 821–830. [Google Scholar] [CrossRef]
- Goldsmith, C.R. Aluminum and gallium complexes as homogeneous catalysts for reduction/oxidation reactions. Coord. Chem. Rev. 2018, 377, 209–224. [Google Scholar] [CrossRef]
- Mandelli, D.; van Vliet, M.C.; Sheldon, R.A.; Schuchardt, U. Alumina-catalyzed alkene epoxidation with hydrogen peroxide. Appl. Catal. A Gen. 2001, 219, 209–213. [Google Scholar] [CrossRef]
- Mandelli, D.; Chiacchio, K.C.; Kozlov, Y.N.; Shul’pin, G.B. Hydroperoxidation of alkanes with hydrogen peroxide catalyzed by aluminium nitrate in acetonitrile. Tetrahedron Lett. 2008, 49, 6693–6697. [Google Scholar] [CrossRef]
- Mandelli, D.; Kozlov, Y.N.; da Silva, C.A.R.; Carvalho, W.A.; Pescarmona, P.P.; de, A. Cella, D.; de Paiva, P.T.; Shul’pin, G.B. Oxidation of olefins with H2O2 catalyzed by gallium(III) nitrate and aluminum(III) nitrate in solution. J. Mol. Catal. A Chem. 2016, 422, 216–220. [Google Scholar] [CrossRef]
- Shul’pin, G.B.; Kozlov, Y.N.; Shul’pina, L.S. Metal complexes containing redox-active ligands in oxidation of hydrocarbons and alcohols: A review. Catalysts 2019, 9, 1046. [Google Scholar] [CrossRef] [Green Version]
- Shul’pin, G.B.; Shul’pina, L.S. Oxidation of Organic Compounds with Peroxides Catalyzed by Polynuclear Metal Compounds. Catalysts 2021, 11, 186. [Google Scholar] [CrossRef]
- Petrenko, Y.P.; Piasta, K.; Khomenko, D.M.; Doroshchuk, R.O.; Shova, S.; Novitchi, G.; Toporivska, Y.; Gumienna-Kontecka, E.; Martins, L.M.D.R.S.; Lampeka, R.D. An investigation of two copper(II) complexes with a triazole derivative as a ligand: Magnetic and catalytic properties. RSC Adv. 2021, 11, 23442–23449. [Google Scholar] [CrossRef] [PubMed]
- Gurbanov, A.V.; Andrade, M.A.; Martins, L.M.D.R.S.; Mahmudov, K.T.; Pombeiro, A.J.L. Water-soluble Al(III), Fe(III) and Cu(II) formazanates: Synthesis, structure, and applications in alkane and alcohol oxidations. New J. Chem. 2022, 46, 5002–5011. [Google Scholar] [CrossRef]
- Shen, H.-M.; Wang, X.; Huang, H.; Liu, Q.-P.; Lv, D.; She, Y.-B. Staged oxidation of hydrocarbons with simultaneously enhanced conversion and selectivity employing O2 as oxygen source catalyzed by 2D metalloporphyrin-based MOFs possessing bimetallic active centers. Chem. Eng. J. 2022, 443, 136126. [Google Scholar] [CrossRef]
- Shul’pina, L.S.; Vinogradov, M.M.; Kozlov, Y.N.; Nelyubina, Y.V.; Ikonnikov, N.S.; Shul’pin, G.B. Copper complexes with 1,10-phenanthrolines as efficient catalysts for oxidation of alkanes by hydrogen peroxide. Inorg. Chim. Acta 2020, 512, 119889. [Google Scholar] [CrossRef]
- Zamaraev, K.I.; Tikhonova, N.N. A study of nitrogen-containing copper complexes by the electron paramagnetic resonance method. J. Struct. Chem. 1963, 4, 200–205. [Google Scholar] [CrossRef]
- Marov, I.N.; Kostromin, N.A. EPR and NMR in the Chemistry of Coordination Compounds; Science: Moscow, Russia, 1979. [Google Scholar]
- Nadolinny, V.A.; Poltarak, P.A.; Komarovskikh, A.Y.; Tumanov, S.V.; Samsonenko, D.G.; Komarov, V.Y.; Syrokvashin, M.M.; Dorovatovskii, P.V.; Lazarenko, V.A.; Artemkina, S.B.; et al. Effect of the spin-orbit interaction of ligands on the parameters of EPR spectra for a series of niobium(IV) complexes of trans-[NbX4(OPPh3)2] (X = Cl, Br, I). Inorg. Chim. Acta 2021, 515, 120056. [Google Scholar] [CrossRef]
- Bleaney, B.; Bowers, K.D. Anomalous paramagnetism of copper acetate. Proc. R. Soc. Lond. Ser. A Math. Phys. Sci. 1952, 214, 451–465. [Google Scholar] [CrossRef]
- Shul’pin, G.B.; Kozlov, Y.N.; Shul’pina, L.S.; Petrovskiy, P.V. Oxidation of alkanes and alcohols with hydrogen peroxide catalyzed by complex Os3(CO)10(µ-H)2. Appl. Organomet. Chem. 2010, 24, 464–472. [Google Scholar] [CrossRef]
- Shul’pin, G.B. Metal-catalyzed hydrocarbon oxygenations in solutions: The dramatic role of additives: A review. J. Mol. Catal. A Chem. 2002, 189, 39–66. [Google Scholar] [CrossRef]
- Nesterov, D.S.; Kokozay, V.N.; Dyakonenko, V.V.; Shishkin, O.V.; Jezierska, J.; Ozarowski, A.; Kirillov, A.M.; Kopylovich, M.N.; Pombeiro, A.J.L. An unprecedented heterotrimetallic Fe/Cu/Co core for mild and highly efficient catalytic oxidation of cycloalkanes by hydrogen peroxide. Chem. Commun. 2006, 44, 4605–4607. [Google Scholar] [CrossRef] [PubMed]
- Kirillova, M.V.; Kirillov, A.M.; Pombeiro, A.J.L. Mild, Single-Pot Hydrocarboxylation of Gaseous Alkanes to Carboxylic Acids in Metal-Free and Copper-Promoted Aqueous Systems. Chem.—Eur. J. 2010, 16, 9485–9493. [Google Scholar] [CrossRef] [PubMed]
- Shul’pin, G.B.; Nesterov, D.S.; Shul’pina, L.S.; Pombeiro, A.J.L. A hydroperoxo-rebound mechanism of alkane oxidation with hydrogen peroxide catalyzed by binuclear manganese(IV) complex in the presence of an acid with involvement of atmospheric dioxygen. Inorg. Chim. Acta 2017, 455, 666–676. [Google Scholar] [CrossRef]
- Stoll, S.; Schweiger, A. EasySpin, a comprehensive software package for spectral simulation and analysis in EPR. J. Magn. Reson. 2006, 178, 42–55. [Google Scholar] [CrossRef]
- CrysAlisPro Software System, version 1.171.41.116a; Rigaku: Austin, TX, USA, 2021.
- APEX3, SAINT, SADABS; Bruker Advanced X-ray Solutions: Madison, WI, USA, 2016.
- Sheldrick, G.M. SHELXT—Integrated space-group and crystal-structure determination. Acta Crystallogr. Sect. A Found. Adv. 2015, 71, 3–8. [Google Scholar] [CrossRef] [Green Version]
- Sheldrick, G.M. Crystal structure refinement with SHELXL. Acta Crystallogr. Sect. C Struct. Chem. 2015, 71, 3–8. [Google Scholar] [CrossRef]
- Spek, A.L. PLATON SQUEEZE: A tool for the calculation of the disordered solvent contribution to the calculated structure factors. Acta Crystallogr. Sect. C Struct. Chem. 2015, 71, 9–18. [Google Scholar] [CrossRef] [Green Version]











| Bond | 1 | 2 | 4 |
|---|---|---|---|
| Cu–N(equatorial) | 2.013(3); 2.040(3) | 2.003(4); 2.033(4) | 1.989(5) |
| Cu–N(axial) | 2.503(2); 2.595(2) | 2.459(3); 2.543(4) | 2.432(5) |
| Cu–X(terminal) | 2.2124(8); 2.2262(8) | 2.3543(8); 2.3735(8) | 2.3914(10) |
| Cu–X(bridging) | 2.2946(8); 2.2996(8); 2.3138(8); 2.3196(8) | 2.4218(7); 2.4376(7); 2.4463(7); 2.4572(7) | 2.3847(8); 2.4988(9) |
| Cu…Cu | 3.3631(1) | 3.5419(1) | 3.5773(2) |
| Angles | |||
| X(terminal)-Cu-X(bridging) | 86.096(1), 86.346(1) | 86.778(2), 86.672(2) | 85.698(1) |
| Cu-X(bridging)-Cu | 94.115(1), 93.077(1) | 93.587(1); 92.493(1) | 97.189(2); 91.416(2) |
| N-Cu-N | 78.783(1), 79.854(1) | 79.622(2), 80.658(2) | 81.311(3) |
| Compound | 1 | 2 | 4 |
|---|---|---|---|
| Empirical formula | C50H52Cl4Cu2N4O2 | C50H52Br4Cu2N4O2 | C52H54Br4Cl6Cu2N4 |
| Formula weight | 1009.83 | 1187.67 | 1394.41 |
| T (K) | 150(2) | 150(2) | 170(2) |
| Crystal system | Triclinic | Triclinic | Orthorhombic |
| Space group | P1 | P1 | C2221 |
| a (Å) | 9.8211(2) | 9.9191(3) | 15.3547(11) |
| b (Å) | 11.1832(3) | 11.1909(4) | 16.0692(13) |
| c (Å) | 11.4445(3) | 11.6955(4) | 22.9190(18) |
| α(°) | 109.8288(10) | 109.4779(12) | 90 |
| β (°) | 91.4715(10) | 92.2625(12) | 90 |
| γ (°) | 97.1438(11) | 96.9711(13) | 90 |
| V (Å3) | 1170.16(5) | 1210.45(7) | 5655.0(8) |
| Z | 1 | 1 | 4 |
| Dcalcd. (g cm−3) | 1.433 | 1.629 | 1.638 |
| μ (mm−1) | 1.181 | 4.222 | 3.900 |
| θ range (°) | 1.90–30.51 | 1.95–30.51 | 2.04–28.27 |
| Crystal size (mm) | 0.14 × 0.07 × 0.04 | 0.19 × 0.12 × 0.03 | 0.26 × 0.12 × 0.10 |
| h, k, l index ranges | −14 ≤ h ≤ 14; −15 ≤ k ≤ 15; −16 ≤ l ≤ 16 | −14 ≤ h ≤ 14; −15 ≤ k ≤ 15; −16 ≤ l ≤ 16 | −18 ≤ h ≤ 19; −14 ≤ k ≤ 21; −27 ≤ l ≤ 26 |
| F(000) | 522 | 594 | 2776 |
| Reflections collected/independent/observed | 41,949/13,987/13,020 | 31,805/13,797/12,323 | 8006/5017/4852 |
| Rint | 0.0315 | 0.0327 | 0.0203 |
| GOOF on F2 | 1.047 | 13,020 | 1.082 |
| Absolute structure parameter | 0.005(4) | 0.001(4) | 0.058(16) |
| R indices [I > 2σ(I)] | R1 = 0.0302 wR2 = 0.0720 | R1 = 0.0345 wR2 = 0.0731 | R1 = 0.0397 wR2 = 0.0965 |
| R indices (all data) | R1 = 0.0338 wR2 = 0.0736 | R1 = 0.0417 wR2 = 0.0755 | R1 = 0.0410 wR2 = 0.0972 |
| Largest diff. peak and hole (e Å−3) | 0.370/−0.291 | 0.686/−0.398 | 0.788/−0.554 |
Publisher’s Note: MDPI stays neutral with regard to jurisdictional claims in published maps and institutional affiliations. |
© 2022 by the authors. Licensee MDPI, Basel, Switzerland. This article is an open access article distributed under the terms and conditions of the Creative Commons Attribution (CC BY) license (https://creativecommons.org/licenses/by/4.0/).
Share and Cite
Fomenko, I.S.; Afewerki, M.; Gongola, M.I.; Vasilyev, E.S.; Shul’pina, L.S.; Ikonnikov, N.S.; Shul’pin, G.B.; Samsonenko, D.G.; Yanshole, V.V.; Nadolinny, V.A.; et al. Novel Copper(II) Complexes with Dipinodiazafluorene Ligands: Synthesis, Structure, Magnetic and Catalytic Properties. Molecules 2022, 27, 4072. https://doi.org/10.3390/molecules27134072
Fomenko IS, Afewerki M, Gongola MI, Vasilyev ES, Shul’pina LS, Ikonnikov NS, Shul’pin GB, Samsonenko DG, Yanshole VV, Nadolinny VA, et al. Novel Copper(II) Complexes with Dipinodiazafluorene Ligands: Synthesis, Structure, Magnetic and Catalytic Properties. Molecules. 2022; 27(13):4072. https://doi.org/10.3390/molecules27134072
Chicago/Turabian StyleFomenko, Iakov S., Medhanie Afewerki, Marko I. Gongola, Eugene S. Vasilyev, Lidia S. Shul’pina, Nikolay S. Ikonnikov, Georgiy B. Shul’pin, Denis G. Samsonenko, Vadim V. Yanshole, Vladimir A. Nadolinny, and et al. 2022. "Novel Copper(II) Complexes with Dipinodiazafluorene Ligands: Synthesis, Structure, Magnetic and Catalytic Properties" Molecules 27, no. 13: 4072. https://doi.org/10.3390/molecules27134072
APA StyleFomenko, I. S., Afewerki, M., Gongola, M. I., Vasilyev, E. S., Shul’pina, L. S., Ikonnikov, N. S., Shul’pin, G. B., Samsonenko, D. G., Yanshole, V. V., Nadolinny, V. A., Lavrov, A. N., Tkachev, A. V., & Gushchin, A. L. (2022). Novel Copper(II) Complexes with Dipinodiazafluorene Ligands: Synthesis, Structure, Magnetic and Catalytic Properties. Molecules, 27(13), 4072. https://doi.org/10.3390/molecules27134072

