Heteroligand Metal Complexes with Extended Redox Properties Based on Redox-Active Chelating Ligands of o-Quinone Type and Ferrocene
Abstract
1. Introduction
2. Metal Complexes Based on Redox-Active Ligands in Reactions with Ferrocenes
3. Metal Complexes Based on Ferrocene-Containing Redox-Active Ligands
4. Conclusions
Author Contributions
Funding
Institutional Review Board Statement
Informed Consent Statement
Data Availability Statement
Conflicts of Interest
Appendix A
| Complex | Abbreviation Description | Page | Ref. |
|---|---|---|---|
| [Cp*2Fe]•+[TCNE]•− [Cp*2Fe]•+[TCNQ]•− | TCNE—tetracyanoethylene; TCNQ—tetracyanoquinodimethane | 2 | [62,67] |
| [L1]+[Ni(mnt)2]− [L1]+[Pt(mnt)2]− [L2]+[Ni(mnt)2]− [L3]+[Ni(mnt)2]− | mnt—maleonitriledithiolate ligand; L1, L2, L3—different thioether-, S-heterocyclic-, or vinyl tetrathiafulvalene-substituted 2,2′,3,3′,4,4′-hexamethylferrocenes | 3 | [68] |
| [Cp*2M]+[Co(HMPA-B)]−, M = Co, Fe | HMPA-B—bis(2-hydroxy-2-methylpropanamido)benzene | 3 | [69] |
| [NiIII(3,6-DBCat)2]2[Cp2Co]+ | 3,6-DBCat—3,6-di-tert-butylcatecholate | 3 | [70] |
| [Cp2M]+[CrIII(X4SQ)2(X4Cat)]+, M = Co, Fe [Cp2Co]+2[CrIII(X4SQ)(X4Cat)2]2+ | X4SQ—tetrahalogeno-o-benzosemiquinone, X4Cat—tetrahalogenocatecholate; X = Cl, Br | 4 | [71,72] |
| [Fe(NO)(L)2]−[Cp2Co]+ [Fe(NO)(L)2]2−[Cp2Co]+2 | L—1,2-diarylethene-1,2-dithiolate, aryl—is phenyl, p-tolyl, p-methoxyphenyl | 4 | [73] |
| (Q-CH2CH2-SQ)•−[Cp2Co]+ (Q-CH2CH2-SQ)CuI(dppfc) | Q—3,6-di-tert-butyl-1,2-benzoquinone-4-yl, SQ—its radical-anion o-benzosemiquinone | 5 | [74] |
| (3,6-DBSQ)CuI(dppfc) | 3,6-DBSQ—3,6-di-tert-butyl-o-benzosemiquinone | 5 | [75] |
| Ph3Sb(Cat-SQ)CuI(dppfc) | Cat-SQ—6-tert-butyl-4-(6-tert-butyl-3-methyl-1,2-benzosemiquinone-4-yl)-3-methylcatecholate | 5 | [76] |
| (Q-TTF-SQ)CuI(dppfc) | Q-TTF-SQ—monoreduced (o-semiquinone) derivative of bis-o-benzoquinone with tetrathiafulvalene linker | 5 | [77] |
| [(3,6-DBCat)SnBr3(THF)]–[Cp2Fe]+ [(3,6-DBSQ)(3,6-DBCat)SnCl2]–[Cp2Fe]+ | 3,6-DBCat—3,6-di-tert-butylcatecholate; 3,6-DBSQ—3,6-di-tert-butyl-o-benzosemiquinone | 5 | [78] |
| U(salfen)2 K3[U(bis-salfen)(Hbis-salfen)] K4[U(Hbis-salfen)2] | salfen—N,N′-bis-(salicylidene)-1,1′-diaminoferrocene; bis-salfen and Hbis-salfen—products of an intramolecular C-C bond formation between two imino groups of salfen | 6 | [86] |
| (LONO-Fc)MII∙Py, M = Ni, Cu (LONO-Fc)MII∙(4,4′-bipy)∙MII(LONO-Fc), M = Ni, Cu | LONO—doubly deprotonated dianion of 2-((4-ferrocenyl-4-hydroxybut-3-en-2-ylidene)amino)phenol | 7 | [87,89] |
| (LONO-Fc)MII∙(PyMP), M = Ni, Cu | PyMP—pyridyl 2,6-diphenylmethylenepyran | 7 | [90] |
| (LONNO1-Fc)M, M = Ni, Cu [(Cp*Ru+LONNO1-Fc)M]PF6−, M = Ni, Cu (LONNO2-Fc)Ni [(Cp*Ru+LONNO2-Fc)Ni]PF6− | LONNOn-Fc (n = 1,2)—unsymmetrical Schiff base ligands—derivatives of condensation products of 3-(2-aminoethyl(or phenyl)imino)-1-ferrocenylbut-1-en-1-ol and 5-(Br, H, or OH)-substituted salicylaldehyde | 8 | [93,94,95] |
| (LONNO-Fe)M, M = Ni, Cu | LONNO-Fe—the unsymmetrical Schiff base ligands from some other substituted salicylaldehydes | 9 | [92,96] |
| [(LONO-Fc)2Co]−[K(EtOH)2]+ | LONO—doubly deprotonated dianion of 2-((4-ferrocenyl-4-hydroxybut-3-en-2-ylidene)amino)phenol | 9 | [102] |
| (LSN-Fc)2M, M = Ni, Zn, Pd | LSN-Fc—2-(ferrocenylmethyleneamino)-thiophenolate | 9 | [97,98] |
| (RLON-Fc)2SnII | RLON-Fc—functionalized 2-(ferrocenylmethyleneamino)phenolate | 10 | [103] |
| (RLON-Fc)2MII, M = Co, Ni (R1R2LON-Fc)2MII, M = Ni, Cu (RLON-Fc)2CoIII(3,6-DBSQ) | R1R2LON-Fc—bifunctionalized 2-(ferrocenyl-methyleneamino)phenolate | 10 | [104,105] |
| (RLON-Fc)2SnIV(R-Cat) (RLON-Fc)2SnIV(AP) | R-Cat—substituted catecholate; AP—N-aryl-4,6-di-tert-butyl-o-amidophenolate | 11 | [106,107] |
| (LON-Fe)2Mn∙4H2O (LON-Fe)2VO∙H2O (LON-Fe)Zn(NO3)∙3H2O (LON-Fe)Pd(CH3COO)∙2H2O | LON-Fc—2-(ferrocenylmethyleneamino)phenolate | 11 | [108] |
| (Fc-L-Cat)SbPh3 (Fc-LH-Cat)SbPh3Br (Fc-LH-Cat)SnPh2Cl (Fc-LH-Cat)2SnCl2 (Fc-LH-Cat)2SnPh2 | Fc-L-Cat—3,5-di-tert-butylcatecholate bound in 6th position with Fc group via –CH=N–N=CH– linker; Fc-LH-Cat—3,5-di-tert-butylcatecholate bound in 6th position with Fc group via –CH=N+H–N=CH– linker | 11- -12 | [109] |
| [(LON-Fc)H]2Pd (LON-Fc)2Pd (LONC-Fc)Pd[(LON-Fc)H] | LON-Fc—2-(ferrocenylmethyleneamino)phenolate; LONC-Fc—tridentate ligand O,N,C-bound with Pd; (LON-Fc)H—2-(ferrocenylmethyleneamino)phenol as monodentate N-donor ligand | 12 | [91] |
| Fc-CH=N-(t-Bu)2phenol | 2,6-di-tert-butyl-4-(ferrocenylmethyleneamino)phenol | 13 | [99] |
| Fc-CH=N-(t-Bu)2phenoxyl | 2,6-di-tert-butyl-4-(ferrocenylmethyleneamino)phenoxy radical | ||
| [LRLnN(SiMe3)2(THF)]2, Ln = Ns, Sm, Er, Yb, Y; [LMe2La{μ-Li(THF)}2(μ-Cl)]2 | LR—ferrocenyl-containing β-ketoiminate ligand | 13- -14 | [111,112] |
| (Fc-C6H4-CH=CH)Ru(acac-R)(PiPr3)2(CO) | acac-R—disubstituted β-diketonate ligand | 14 | [113] |
| RR’Fc-CH=CH-PTF | PTF—perchlorotriphenylmethyl radical | 15 | [114,115,116,117] |
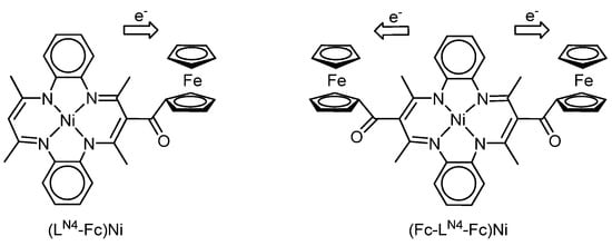
| (LN4-Fc)Ni (Fc-LN4-Fc)Ni | LN4-Fc and Fc-LN4-Fc—mono- and diferrocenyl-containing macrocyclic ligands based on dibenzo[1,4,8,11]tetraazacyclotetradecines | 15 | [118] |
| FcS4dt(Me)2 and FcS4dt[Pt(t-Bu2bpy)] | FcS4dt(Me)2—1,1′-ferrocenyl-containing redox-active dithiolene type ligand | 16 | [119] |
| (pFlip)Pd | pFlip—ferrocene-containing bis-o-aminophenol | 16 | [120] |
| ferrocenyl-amide-p-benzoquinone | - | 17 | [128] |
| ferrocenyl-acetylene-benzodioxines | - | 17 | [123] |
| ferrocenyl-(hydro)-benzoquinones | - | 18 | [124] |
| K+[(FcCat)B(CatFc)]− K+[(Fc2Cat)B(CatFc2)]− | FcCat—4-ferrocenylcatecholate Fc2Cat—4,5-diferrocenylcatecholate | 18 | [126] |
| (3,6-DBCat)Pt(diimfc) [(3,6-DBSQ)Pt(diimfc)]+ | diimfc—N-ferrocenyl-2-iminomethylpyridine | 19 | [127] |
| (t-Bu2bpy)Pt(FcCat), [(t-Bu2bpy)Pt(FcCat)]•+ | t-Bu2bpy—4,4′-di-tert-butyl-2,2′-bipyridine FcCat—4-ferrocenylcatecholate | 19 | [125] |
| Ti3O(OiPr)6(Cat)(FcCOO)2 Ti7O4(OiPr)8(Cat)5(FcCOO)2 Ti7O3(OiPr)12(Cat)4(o-BDC) | FcCOO—ferrocene-1-yl-carboxylate, Cat—catecholate, o-BDC—o-benzene dicarboxylate | 20 | [129] |
| (RFc-C6H4O)Al(Salophen) | RFc—ferrocenyl, diferrocenylpyrrol, or bis-(diphenylphosphinoferrocenyl)pyrrol type groups; Salophen—N,N′-bis-(salicylidene)-1,2-diaminobenzene | 20 | [130] |
| [CoL2(Fc-cur)]+ClO4− | L—1,10-phenanthroline (phen) or dipyrido[3,2-a:2′,3′-c]phenazine (dppz); Fc-cur—ferrocene-based curcuminoid ligand | 20 | [131] |
References
- Pashanova, K.I.; Poddel’sky, A.I.; Piskunov, A.V. Complexes of “late” transition metals of the 3d row based on functionalized o-iminobenzoquinone type ligands: Interrelation of molecular and electronic structure, magnetic behaviour. Coord. Chem. Rev. 2022, 459, 214399. [Google Scholar] [CrossRef]
- Ding, B.; Solomon, M.B.; Leong, C.F.; D’Alessandro, D.M. Redox-active ligands: Recent advances towards their incorporation into coordination polymers and metal-organic frameworks. Coord. Chem. Rev. 2021, 439, 213891. [Google Scholar] [CrossRef]
- Uyeda, C.; Farley, C.M. Dinickel Active Sites Supported by Redox-Active Ligands. Accounts Chem. Res. 2021, 54, 3710–3719. [Google Scholar] [CrossRef] [PubMed]
- Das, A.; Ren, Y.; Hessin, C.; Murr, M.D.-E. Copper catalysis with redox-active ligands. Beilstein J. Org. Chem. 2020, 16, 858–870. [Google Scholar] [CrossRef]
- Mukherjee, R. Assigning Ligand Redox Levels in Complexes of 2-Aminophenolates: Structural Signatures. Inorg. Chem. 2020, 59, 12961. [Google Scholar] [CrossRef]
- Van Der Vlugt, J.I. Redox-Active Pincer Ligands. In Metal-Ligand Co-operativity. Topics in Organometallic Chemistry; van Koten, G., Kirchner, K., Moret, M.-E., Eds.; Springer: Cham, Switzerland, 2020; Volume 68, p. 135. Available online: https://link.springer.com/chapter/10.1007/3418_2020_68 (accessed on 16 June 2022).
- Ovcharenko, V.I.; Kuznetsova, O.V. New method for the synthesis of heterospin metal complexes with nitroxides. Russ. Chem. Rev. 2020, 89, 1261–1273. [Google Scholar] [CrossRef]
- Ershova, I.V.; Piskunov, A.V.; Cherkasov, V.K. Complexes of diamagnetic cations with radical anion ligands. Russ. Chem. Rev. 2020, 89, 1157–1183. [Google Scholar] [CrossRef]
- Kaim, W. Sites of Electron Transfer Reactivity in Organometallic Compounds. Eur. J. Inorg. Chem. 2020, 2020, 875–878. [Google Scholar] [CrossRef]
- Fomenko, I.S.; Gushchin, A.L. Mono- and binuclear complexes of group 5 metals with diimine ligands: Synthesis, reactivity and prospects for application. Russ. Chem. Rev. 2020, 89, 966–998. [Google Scholar] [CrossRef]
- Gilroy, J.B.; Otten, E. Formazanate coordination compounds: Synthesis, reactivity, and applications. Chem. Soc. Rev. 2020, 49, 85–113. [Google Scholar] [CrossRef]
- Elsby, M.R.; Baker, R.T. Strategies and mechanisms of metal–ligand cooperativity in first-row transition metal complex catalysts. Chem. Soc. Rev. 2020, 49, 8933–8987. [Google Scholar] [CrossRef] [PubMed]
- Kaim, W.; Das, A.; Fiedler, J.; Záliš, S.; Sarkar, B. NO and NO2 as non-innocent ligands: A comparison. Coord. Chem. Rev. 2020, 404, 213144. [Google Scholar] [CrossRef]
- Starikova, A.A.; Minkin, V.I. Adducts of transition metal complexes with redox-active ligands: The structure and spin-state-switching rearrangements. Russ. Chem. Rev. 2018, 87, 1049–1079. [Google Scholar] [CrossRef]
- Rajput, A.; Sharma, A.K.; Barman, S.K.; Saha, A.; Mukherjee, R. Valence tautomerism and delocalization in transition metal complexes of o-amidophenolates and other redox-active ligands. Some recent results. Coord. Chem. Rev. 2020, 414, 213240. [Google Scholar] [CrossRef]
- Nikolaevskaya, E.; Druzhkov, N.; Syroeshkin, M.; Egorov, M. Chemistry of diazadiene type ligands with extra coordination groups. Prospects of reactivity. Coord. Chem. Rev. 2020, 417, 213353. [Google Scholar] [CrossRef]
- Kaim, W.; Lahiri, G.K. The coordination potential of indigo, anthraquinone and related redox-active dyes. Coord. Chem. Rev. 2019, 393, 1–8. [Google Scholar] [CrossRef]
- Kaim, W.; Paretzki, A. Interacting metal and ligand based open shell systems: Challenges for experiment and theory. Coord. Chem. Rev. 2017, 344, 345–354. [Google Scholar] [CrossRef]
- Sarkar, B.; Schweinfurth, D.; Deibel, N.; Weisser, F. Functional metal complexes based on bridging “imino”-quinonoid ligands. Coord. Chem. Rev. 2015, 293–294, 250–262. [Google Scholar] [CrossRef]
- Chirik, P.J. Iron- and Cobalt-Catalyzed Alkene Hydrogenation: Catalysis with Both Redox-Active and Strong Field Ligands. Accounts Chem. Res. 2015, 48, 1687–1695. [Google Scholar] [CrossRef]
- Kaim, W. The Shrinking World of Innocent Ligands: Conventionaland Non-Conventional Redox-Active Ligands. Eur. J. Inorg. Chem. 2012, 2012, 343–348. [Google Scholar] [CrossRef]
- Poddel’sky, A.; Cherkasov, V.K.; Abakumov, G. Transition metal complexes with bulky 4,6-di-tert-butyl-N-aryl(alkyl)-o-iminobenzoquinonato ligands: Structure, EPR and magnetism. Coord. Chem. Rev. 2009, 253, 291–324. [Google Scholar] [CrossRef]
- Pierpont, C.G. Unique properties of transition metal quinone complexes of the MQ3 series. Coord. Chem. Rev. 2001, 219–221, 415–433. [Google Scholar] [CrossRef]
- Pierpont, C.G. Studies on charge distribution and valence tautomerism in transition metal complexes of catecholate and semiquinonate ligands. Coord. Chem. Rev. 2001, 216-217, 99–125. [Google Scholar] [CrossRef]
- Mederos, A.; Domínguez, S.; Hernández-Molina, R.; Sanchiz, J.; Brito, F. Coordinating ability of ligands derived from phenylenediamines. Coord. Chem. Rev. 1999, 193–195, 857–911. [Google Scholar] [CrossRef]
- van Leest, N.P.; de Zwart, F.J.; Zhou, M.; de Bruin, B. Controlling Radical-Type Single-Electron Elementary Steps in Catalysis with Redox-Active Ligands and Substrates. JACS Au 2021, 1, 1101–1115. [Google Scholar] [CrossRef]
- Van Der Vlugt, J.I. Radical-Type Reactivity and Catalysis by Single-Electron Transfer to or from Redox-Active Ligands. Chem. Eur. J. 2019, 25, 2651–2662. [Google Scholar] [CrossRef]
- Broere, D.L.J.; Plessius, R.; van der Vlugt, J.I. New avenues for ligand-mediated processes—Expanding metal reactivity by the use of redox-active catechol, o-aminophenol and o-phenylenediamine ligands. Chem. Soc. Rev. 2015, 44, 6886–6915. [Google Scholar] [CrossRef]
- Luca, O.R.; Crabtree, R.H. Redox-active ligands in catalysis. Chem. Soc. Rev. 2013, 42, 1440–1459. [Google Scholar] [CrossRef]
- Praneeth, V.K.K.; Ringenberg, M.R.; Ward, T.R. Redox-Active Ligands in Catalysis. Angew. Chem. Int. Ed. 2012, 51, 10228–10234. [Google Scholar] [CrossRef]
- Fedushkin, I.L.; Nikipelov, A.S.; Morozov, A.G.; Skatova, A.A.; Cherkasov, A.V.; Abakumov, G.A. Addition of Alkynes to a Gallium Bis-Amido Complex: Imitation of Transition-Metal-Based Catalytic Systems. Chem. Eur. J. 2012, 18, 255–266. [Google Scholar] [CrossRef]
- Jacquet, J.; Blanchard, S.; Derat, E.; Murr, M.D.-E.; Fensterbank, L. Redox-ligand sustains controlled generation of CF3 radicals by well-defined copper complex. Chem. Sci. 2016, 7, 2030–2036. [Google Scholar] [CrossRef] [PubMed]
- Piskunov, A.V.; Piskunova, M.S.; Chegerev, M.G. Formation of a new carbon-carbon bond in the reaction of allyl halides with tin(iv) bis-o-amidophenolate. Russ. Chem. Bull. 2014, 63, 912–915. [Google Scholar] [CrossRef]
- Fedushkin, I.L.; Moskalev, M.V.; Lukoyanov, A.N.; Tishkina, A.N.; Baranov, E.V.; Abakumov, G.A. Dialane with a Redox-Active Bis-amido Ligand: Unique Reactivity towards Alkynes. Chem. Eur. J. 2012, 18, 11264–11276. [Google Scholar] [CrossRef] [PubMed]
- Haneline, M.R.; Heyduk, A.F. C−C Bond-Forming Reductive Elimination from a Zirconium(IV) Redox-Active Ligand Complex. J. Am. Chem. Soc. 2006, 128, 8410–8411. [Google Scholar] [CrossRef]
- Balaghi, S.E.; Safaei, E.; Chiang, L.; Wong, E.W.Y.; Savard, D.; Clarke, R.M.; Storr, T. Synthesis, characterization and catalytic activity of copper(ii) complexes containing a redox-active benzoxazole iminosemiquinone ligand. Dalton Trans. 2013, 42, 6829–6839. [Google Scholar] [CrossRef]
- Ren, Y.; Cheaib, K.; Jacquet, J.; Vezin, H.; Fensterbank, L.; Orio, M.; Blanchard, S.; Murr, M.D.-E. Copper-Catalyzed Aziridination with Redox-Active Ligands: Molecular Spin Catalysis. Chem. Eur. J. 2018, 24, 5086–5090. [Google Scholar] [CrossRef]
- Ren, Y.; Forte, J.; Cheaib, K.; Vanthuyne, N.; Fensterbank, L.; Vezin, H.; Orio, M.; Blanchard, S.; Murr, M.D.-E. Optimizing Group Transfer Catalysis by Copper Complex with Redox-Active Ligand in an Entatic State. iScience 2020, 23, 100955. [Google Scholar] [CrossRef]
- Fedushkin, I.L.; Dodonov, V.A.; Skatova, A.A.; Sokolov, V.G.; Piskunov, A.V.; Fukin, G.K. Redox-Active Ligand-Assisted Two-Electron Oxidative Addition to Gallium(II). Chem. Eur. J. 2018, 24, 1877–1889. [Google Scholar] [CrossRef]
- Lippert, C.A.; Hardcastle, K.I.; Soper, J.D. Harnessing Redox-Active Ligands for Low-Barrier Radical Addition at Oxorhenium Complexes. Inorg. Chem. 2011, 50, 9864–9878. [Google Scholar] [CrossRef]
- Chaudhuri, P.; Verani, C.N.; Bill, E.; Bothe, E.; Weyhermüller, T.; Wieghardt, K. Electronic Structure of Bis(o-iminobenzosemiquinonato)metal Complexes (Cu, Ni, Pd). The Art of Establishing Physical Oxidation States in Transition-Metal Complexes Containing Radical Ligands. J. Am. Chem. Soc. 2001, 123, 2213–2223. [Google Scholar] [CrossRef]
- Chaudhuri, P.; Hess, M.; Müller, J.; Hildenbrand, K.; Bill, E.; Weyhermüller, T.; Wieghardt, K. Aerobic Oxidation of Primary Alcohols (Including Methanol) by Copper(II)− and Zinc(II)−Phenoxyl Radical Catalysts. J. Am. Chem. Soc. 1999, 121, 9599–9610. [Google Scholar] [CrossRef]
- Chaudhuri, P.; Hess, M.; Flörke, U.; Wieghardt, K. From Structural Models of Galactose Oxidase to Homogeneous Catalysis: Efficient Aerobic Oxidation of Alcohols. Angew. Chem. Int. Ed. 1998, 37, 2217. [Google Scholar] [CrossRef]
- Kazarina, O.V.; Gourlaouen, C.; Karmazin, L.; Morozov, A.G.; Fedushkin, I.L.; Dagorne, S. Low valent Al(II)–Al(II) catalysts as highly active ε-caprolactone polymerization catalysts: Indication of metal cooperativity through DFT studies. Dalton Trans. 2018, 47, 13800–13808. [Google Scholar] [CrossRef] [PubMed]
- Fedushkin, I.L.; Morozov, A.G.; Chudakova, V.A.; Fukin, G.K.; Cherkasov, V.K. Magnesium(II) Complexes of the dpp-BIAN Radical-Anion: Synthesis, Molecular Structure, and Catalytic Activity in Lactide Polymerization. Eur. J. Inorg. Chem. 2009, 2009, 4995–5003. [Google Scholar] [CrossRef]
- Arsenyeva, K.V.; Pashanova, K.I.; Trofimova, O.Y.; Ershova, I.V.; Chegerev, M.G.; Starikova, A.A.; Cherkasov, A.V.; Syroeshkin, M.A.; Kozmenkova, A.Y.; Piskunov, A.V. O,N-Heterocyclic germylenes as efficient catalysts for hydroboration and cyanosilylation of benzaldehyde. New J. Chem. 2021, 45, 11758–11767. [Google Scholar] [CrossRef]
- Astruc, D. Why is Ferrocene so Exceptional? Eur. J. Inorg. Chem. 2017, 2017, 6–29. [Google Scholar] [CrossRef]
- Patra, M.; Gasser, G. The medicinal chemistry of ferrocene and its derivatives. Nat. Chem. Rev. 2017, 1, 66. [Google Scholar] [CrossRef]
- Wang, R.; Chen, H.; Yan, W.; Zheng, M.; Zhang, T.; Zhang, Y. Ferrocene-containing hybrids as potential anticancer agents: Current developments, mechanisms of action and structure-activity relationships. Eur. J. Med. Chem. 2020, 190, 112109. [Google Scholar] [CrossRef]
- Štěpnička, P. Forever young: The first seventy years of ferrocene. Dalton Trans. 2022, 51, 8085–8102. [Google Scholar] [CrossRef]
- Huang, Z.; Yu, H.; Wang, L.; Liu, X.; Lin, T.; Haq, F.; Vatsadze, S.Z.; Lemenovskiy, D.A. Ferrocene-contained metal organic frameworks: From synthesis to applications. Coord. Chem. Rev. 2021, 430, 213737. [Google Scholar] [CrossRef]
- Miller, J.S.; Epstein, A.J. Organometallic magnets. Coord. Chem. Rev. 2000, 206-207, 651–660. [Google Scholar] [CrossRef]
- Miller, J.S.; Epstein, A.J. Organic and Organometallic Molecular Magnetic Materials—Designer Magnets. Angew. Chem. Int. Ed. 1994, 33, 385–415. [Google Scholar] [CrossRef]
- Her, J.-H.; Stephens, P.W.; Ribas-Ariño, J.; Novoa, J.J.; Shum, W.W.; Miller, J.S. Structure and Magnetic Interactions in the Organic-Based Ferromagnet Decamethylferrocenium Tetracyanoethenide, [FeCp*2]•+[TCNE]•−. Inorg. Chem. 2009, 48, 3296–3307. [Google Scholar] [CrossRef] [PubMed]
- Sutcliffe, O.B.; Bryce, M.R. Planar chiral 2-ferrocenyloxazolines and 1,1′-bis(oxazolinyl)ferrocenes—syntheses and applications in asymmetric catalysis. Tetrahedron Asymmetry 2003, 14, 2297–2325. [Google Scholar] [CrossRef]
- Colacot, T.J. A Concise Update on the Applications of Chiral Ferrocenyl Phosphines in Homogeneous Catalysis Leading to Organic Synthesis. Chem. Rev. 2003, 103, 3101–3118. [Google Scholar] [CrossRef]
- Cunningham, L.; Benson, A.; Guiry, P.J. Recent developments in the synthesis and applications of chiral ferrocene ligands and organocatalysts in asymmetric catalysis. Org. Biomol. Chem. 2020, 18, 9329–9370. [Google Scholar] [CrossRef]
- Connelly, N.G.; Geiger, W.E. Chemical Redox Agents for Organometallic Chemistry. Chem. Rev. 1996, 96, 877–910. [Google Scholar] [CrossRef]
- Pandey, R.; Gupta, R.K.; Shahid, M.; Maiti, B.; Misra, A.; Pandey, D.S. Synthesis and Characterization of Electroactive Ferrocene Derivatives: Ferrocenylimidazoquinazoline as a Multichannel Chemosensor Selectively for Hg2+and Pb2+ Ions in an Aqueous Environment. Inorg. Chem. 2012, 51, 298–311. [Google Scholar] [CrossRef]
- Chupakhin, O.N.; Utepova, I.A.; Kovalev, I.S.; Rusinov, V.L.; Starikova, Z.A. Direct C–C Coupling of Ferrocenyllithium and Azaheterocycles by Nucleophilic Substitution of Hydrogen—Synthesis of Mono- and 1,1′-Diazinylferrocenes. Eur. J. Org. Chem. 2007, 2007, 857–862. [Google Scholar] [CrossRef]
- Yoshida, K.; Yasue, R. Planar-Chiral Ferrocene-Based N-Heterocyclic Carbene Ligands. Chem. Eur. J. 2018, 24, 18575–18586. [Google Scholar] [CrossRef]
- Miller, J.S.; Epstein, A.J.; Reiff, W.M. Molecular ferromagnets. Acc. Chem. Res. 1988, 21, 114–120. [Google Scholar] [CrossRef]
- Miller, J.S. Magnetically ordered molecule-based assemblies. Dalton Trans. 2006, 23, 2742–2749. [Google Scholar] [CrossRef] [PubMed]
- Sporer, C.; Ratera, I.; Ruiz-Molina, D.; Gancedo, J.V.; Ventosa, N.; Wurst, K.; Jaitner, P.; Rovira, C.; Veciana, J. Specific solvent effects on the intramolecular electron transfer reaction in a neutral ferrocene donor polychlorotriphenylmethyl acceptor radical with extended conjugation. Solid State Sci. 2009, 11, 786–792. [Google Scholar] [CrossRef]
- Brandon, R.L.; Osiecki, J.H.; Ottenberg, A. The Reactions of Metallocenes with Electron Acceptors1a. J. Org. Chem. 1966, 31, 1214–1217. [Google Scholar] [CrossRef]
- Okamoto, K.; Imahori, H.; Fukuzumi, S. Metal Ion-Promoted Intramolecular Electron Transfer in a Ferrocene-Naphthoquinone Linked Dyad. Continuous Change in Driving Force and Reorganization Energy with Metal Ion Concentration. J. Am. Chem. Soc. 2003, 125, 7014–7021. [Google Scholar] [CrossRef]
- Miller, J.S.; Calabrese, J.C.; Rommelmann, H.; Chittipeddi, S.R.; Zhang, J.H.; Reiff, W.M.; Epstein, A.J. Ferromagnetic behavior of [Fe(C5Me5)2]+.[TCNE]-. Structural and magnetic characterization of decamethylferrocenium tetracyanoethenide, [Fe(C5Me5)2]+.[TCNE]-. MeCN and decamethylferrocenium pentacyanopropenide, [Fe(C5Me5)2]+. [C3(CN)5]-. J. Am. Chem. Soc. 1987, 109, 769–781. [Google Scholar] [CrossRef]
- Zürcher, S.; Petrig, J.; Perseghini, M.; Gramlich, V.; Wörle, M.; Dieter, A.; Togni, A. Charge-Transfer Salts of Ferrocene Deriv-atives with Bis(maleonitriledithiolato)metallate(III) Complexes ([M(mnt)2]-, M=Ni, Pt): A Ground-State High-Spin [(Ni(mnt)2)2]2- Dimer. Helv. Chim. Acta 1999, 82, 1324. [Google Scholar] [CrossRef]
- Eichhorn, D.M.; Telser, J.; Stern, C.L.; Hoffman, B.M. Influence of Zero-Field Splitting and State Mixing on Ferromagnetic Exchange in the Integrated-Stack Charge-Transfer Salt [Cp2Fe]+[Co(HMPA-B)]-. Inorg. Chem. 1994, 33, 3533–3537. [Google Scholar] [CrossRef]
- Lange, C.W.; Pierpont, C.G. Nickel complexes containing catecholate, benzoquinone and semiquinone radical ligands. Inorg. Chim. Acta 1997, 263, 219–224. [Google Scholar] [CrossRef]
- Chang, H.-C.; Ishii, T.; Kondo, M.; Kitagawa, S. Synthesis, X-ray crystal structures and properties of chromium complexes with semiquinonate and catecholate. J. Chem. Soc. Dalton Trans. 1999, 2467–2476. [Google Scholar] [CrossRef]
- Chang, H.-C.; Miyasaka, H.; Kitagawa, S. New Molecular Assemblies of Redox Isomers, [CrIII(X4SQ)3-n(X4Cat)n]-n (X = Cl and Br; n = 0, 1, and 2), with Metallocenium Cations, [MIIICp2]+ (M = Co and Fe): X-ray Crystal Structures and Physical Properties. Inorg. Chem. 2001, 40, 146–156. [Google Scholar] [CrossRef] [PubMed]
- Ghosh, P.; Stobie, K.; Bill, E.; Bothe, E.; Weyhermüller, T.; Ward, M.D.; McCleverty, J.A.; Wieghardt, K. Electronic Structure of Nitric Oxide Adducts of Bis(diaryl-1,2-dithiolene)iron Compounds: Four-Membered Electron-Transfer Series [Fe(NO)(L)2]z (z = 1+, 0, 1−, 2−). Inorg. Chem. 2007, 46, 522–532. [Google Scholar] [CrossRef] [PubMed]
- Piskunov, A.V.; Cherkasov, V.K.; Druzhkov, N.O.; Abakumov, G.A.; Ikorskii, V.N. o-Semiquinone metal complexes as derivatives of sterically hindered di-o-quinone. Russ. Chem. Bull. 2005, 54, 1627–1631. [Google Scholar] [CrossRef]
- Abakumov, G.; Cherkasov, V.K.; Krashilina, A.V.; Eremenko, I.; Nefedov, S.E. 3,6-Di-tert-butyl-o-benzosemiquinone complexes of copper(1) with bidentate bis(diphenylphosphine) ligands. Synthesis, structures, and properties. Russ. Chem. Bull. 1998, 47, 2262–2270. [Google Scholar] [CrossRef]
- Cherkasov, V.K.; Grunova, E.V.; Abakumov, G.A. ESR investigation of paramagnetic derivatives of [6-tert-butyl-4-(5-tert-butyl-2-methyl-3,4-dioxocyclohexa-1,5-dien-1-yl)-3-methylcatecholato]triphenylantimony(V). Russ. Chem. Bull. 2005, 54, 2067–2072. [Google Scholar] [CrossRef]
- Kuropatov, V.A.; Klementieva, S.V.; Poddel’sky, A.I.; Cherkasov, V.K.; Abakumov, G.A. ESR study of paramagnetic derivatives of sterically hindered di-o-quinone with the tetrathiafulvalene bridge. Russ. Chem. Bull. 2010, 59, 1698–1706. [Google Scholar] [CrossRef]
- Ilyakina, E.V.; Poddel’sky, A.I.; Fukin, G.K.; Bogomyakov, A.S.; Cherkasov, V.K.; Abakumov, G.A. Ferrocene-o-Benzosemiquinonato Tin(IV) Electron-Transfer Complexes. Inorg. Chem. 2013, 52, 5284–5289. [Google Scholar] [CrossRef]
- Santabarbara, S.; Casazza, A.P.; Hastings, G. Modelling electron transfer in photosystem I: Limits and perspectives. Physiol. Plant. 2019, 166, 73–87. [Google Scholar] [CrossRef]
- Mitsuhashi, K.; Tamura, H.; Saito, K.; Ishikita, H. Nature of Asymmetric Electron Transfer in the Symmetric Pathways of Photosystem I. J. Phys. Chem. B 2021, 125, 2879–2885. [Google Scholar] [CrossRef]
- Nugent, J.H.A. Oxygenic Photosynthesis. Electron Transfer in Photosystem I and Photosystem II. Eur. J. Biochem. 1996, 237, 519–531. [Google Scholar] [CrossRef]
- Edwards, M.J.; Richardson, D.J.; Paquete, C.; Clarke, T.A. Role of multiheme cytochromes involved in extracellular anaerobic respiration in bacteria. Protein Sci. 2020, 29, 830–842. [Google Scholar] [CrossRef] [PubMed]
- Acin-Perez, R.; Benador, I.Y.; Petcherski, A.; Veliova, M.; A Benavides, G.; Lagarrigue, S.; Caudal, A.; Vergnes, L.; Murphy, A.N.; Karamanlidis, G.; et al. A novel approach to measure mitochondrial respiration in frozen biological samples. EMBO J. 2020, 39, e104073. [Google Scholar] [CrossRef] [PubMed]
- Derr, J.B.; Tamayo, J.; Clark, J.A.; Morales, M.; Mayther, M.F.; Espinoza, E.M.; Rybicka-Jasińska, K.; Vullev, V.I. Multifaceted aspects of charge transfer. Phys. Chem. Chem. Phys. 2020, 21583–21629. [Google Scholar] [CrossRef] [PubMed]
- Anglade, P.; Larabi-Godinot, Y.; Tsuji, S. Electron Transfers and Holographic Molecules: Why Neuroscientists Should Take Quantum Phenomena into Consideration. NeuroQuantology 2014, 12, 237. [Google Scholar] [CrossRef][Green Version]
- Camp, C.; Chatelain, L.; Mougel, V.; Pécaut, J.; Mazzanti, M. Ferrocene-Based Tetradentate Schiff Bases as Supporting Ligands in Uranium Chemistry. Inorg. Chem. 2015, 54, 5774–5783. [Google Scholar] [CrossRef]
- Novoa, N.; Roisnel, T.; Dorcet, V.; Cador, O.; Manzur, C.; Carrillo, D.; Hamon, J.-R. Efficient preparation of multimetallic ONO-based Schiff base complexes of nickel(II) and copper(II). New J. Chem. 2016, 40, 5920–5929. [Google Scholar] [CrossRef]
- Briel, O.; Fehn, A.; Polborn, K.; Beck, W. Hydrocarbon bridged metal complexes, XLIV. Donor–acceptor substituted Schiff bases of polyenes with transition metals. Polyhedron 1999, 18, 225–242. [Google Scholar] [CrossRef]
- Novoa, N.; Roisnel, T.; Hamon, P.; Kahlal, S.; Manzur, C.; Ngo, H.M.; Ledoux-Rak, I.; Saillard, J.-Y.; Carrillo, D.; Hamon, J.-R. Four-coordinate nickel(II) and copper(II) complex based ONO tridentate Schiff base ligands: Synthesis, molecular structure, electrochemical, linear and nonlinear properties, and computational study. Dalton Trans. 2015, 44, 18019–18037. [Google Scholar] [CrossRef]
- Novoa, N.; Manzur, C.; Roisnel, T.; Dorcet, V.; Cabon, N.; Guen, F.R.-L.; Ledoux-Rak, I.; Kahlal, S.; Saillard, J.-Y.; Carrillo, D.; et al. Redox-switching of ternary Ni(II) and Cu(II) complexes: Synthesis, experimental and theoretical studies along with second-order nonlinear optical properties. New J. Chem. 2019, 43, 10468–10481. [Google Scholar] [CrossRef]
- Pérez, S.; López, C.; Caubet, A.; Solans, X.; Font-Bardía, M.; Gich, M.; Molins, E. Versatility in the mode of coordination {(N), (N,O)−, (C,N)− or (C,N,O)2−} of [(η5-C5H5)Fe{(η5-C5H4)–CHN–(C6H4-2OH)}] to palladium(II). J. Organomet. Chem. 2007, 692, 2402–2414. [Google Scholar] [CrossRef]
- Cisterna, J.; Dorcet, V.; Manzur, C.; Ledoux-Rak, I.; Hamon, J.-R.; Carrillo, D. Synthesis, spectral, electrochemical, crystal structures and nonlinear optical properties of unsymmetrical Ni(II) and Cu(II) Schiff base complexes. Inorg. Chim. Acta 2015, 430, 82–90. [Google Scholar] [CrossRef]
- Trujillo, A.; Sinbandhit, S.; Toupet, L.; Carrillo, D.; Manzur, C.; Hamon, J.-R. Organometallic–Inorganic Conjugated Unsymmetrical Schiff-Base Hybrids. Synthesis, Characterization, Electrochemistry and X-ray Crystal Structures of Functionalized Trinuclear Iron–Nickel–Ruthenium Dipolar Chromophores. J. Inorg. Organomet. Polym. Mater. 2008, 18, 81–99. [Google Scholar] [CrossRef]
- Trujillo, A.; Justaud, F.; Toupet, L.; Cador, O.; Carrillo, D.; Manzur, C.; Hamon, J.-R. New copper(ii)-centered complexes with organometallic donor–acceptor substituted unsymmetrical Schiff base ligands. New J. Chem. 2011, 35, 2027–2036. [Google Scholar] [CrossRef]
- Trujillo, A.; Fuentealba, M.; Carrillo, D.; Manzur, C.; Ledoux-Rak, I.; Hamon, J.-R.; Saillard, J.-Y. Synthesis, Spectral, Structural, Second-Order Nonlinear Optical Properties and Theoretical Studies On New Organometallic Donor−Acceptor Substituted Nickel(II) and Copper(II) Unsymmetrical Schiff-Base Complexes. Inorg. Chem. 2010, 49, 2750–2764. [Google Scholar] [CrossRef] [PubMed]
- Cisterna, J.; Artigas, V.; Fuentealba, M.; Hamon, P.; Manzur, C.; Dorcet, V.; Hamon, J.-R.; Carrillo, D. Nickel(II) and copper(II) complexes of new unsymmetrically-substituted tetradentate Schiff base ligands: Spectral, structural, electrochemical and computational studies. Inorg. Chim. Acta 2017, 462, 266–280. [Google Scholar] [CrossRef]
- Kawamoto, T.; Kushi, Y. Helical bis[2-(ferrocenylmethyleneamino)benzenethiolato] metal(II) complexes (M = Ni, Zn or Pd) and a related mercury(II) complex. J. Chem. Soc. Dalton Trans. 1992, 3137–3143. [Google Scholar] [CrossRef]
- Kawamoto, T.; Kushi, Y. Synthesis and Characterization of Trinuclear Metal Complex Showing Helical Chirality. Chem. Lett. 1992, 21, 297–300. [Google Scholar] [CrossRef]
- Meleshonkova, N.; Shpakovsky, D.; Fionov, A.; Dolganov, A.; Magdesieva, T.; Milaeva, E. Synthesis and redox properties of novel ferrocenes with redox active 2,6-di-tert-butylphenol fragments: The first example of 2,6-di-tert-butylphenoxyl radicals in ferrocene system. J. Organomet. Chem. 2007, 692, 5339–5344. [Google Scholar] [CrossRef]
- Camp, C.; Andrez, J.; Pécaut, J.; Mazzanti, M. Synthesis of Electron-Rich Uranium(IV) Complexes Supported by Tridentate Schiff Base Ligands and Their Multi-Electron Redox Chemistry. Inorg. Chem. 2013, 52, 7078–7086. [Google Scholar] [CrossRef]
- Camp, C.; Mougel, V.; Horeglad, P.; Pécaut, J.; Mazzanti, M. Multielectron Redox Reactions Involving C−C Coupling and Cleavage in Uranium Schiff Base Complexes. J. Am. Chem. Soc. 2010, 132, 17374–17377. [Google Scholar] [CrossRef]
- Novoa, N.; Dorcet, V.; Sinbandhit, S.; Manzur, C.; Carrillo, D.; Hamon, J.-R. Synthesis and crystal structure of an unexpected anionic trinuclear cobalt(III) complex with ferrocenyl-containing tridentate ONO donor Schiff base ligands. J. Coord. Chem. 2014, 67, 4101–4113. [Google Scholar] [CrossRef]
- Baryshnikova, S.; Bellan, E.; Poddel’sky, A.; Fukin, G.; Abakumov, G. The synthesis and structure of new tin(II) complexes based on ferrocenyl-containing o-iminophenols. Inorg. Chem. Commun. 2016, 69, 94–97. [Google Scholar] [CrossRef]
- Baryshnikova, S.; Poddel’sky, A.; Cherkasov, A.; Smolyaninov, I. The synthesis, structure and electrochemical properties of new cobalt and nickel complexes based on ferrocenyl-containing o-iminophenols. Inorg. Chim. Acta 2019, 495, 118963. [Google Scholar] [CrossRef]
- Baryshnikova, S.V.; Fukin, G.K.; Poddel’sky, A.I. The synthesis and structure of new ferrocenyl-containing o-iminophenol schiff bases and nickel(II), copper(II) bis-o-iminophenolato complexes. J. Organomet. Chem. 2020, 923, 121421. [Google Scholar] [CrossRef]
- Baryshnikova, S.V.; Bellan, E.V.; Poddel’skii, A.I.; Smolyaninov, I.V.; Berberova, N.T.; Abakumov, G.A. Synthesis, structure, and properties of a new multiredox-active Sn(IV) complex based on 3,6-di-tert-butyl-o-benzoquinone and ferrocenylaldimine phenol. Dokl. Chem. 2017, 474, 101–104. [Google Scholar] [CrossRef]
- Baryshnikova, S.V.; Poddel’sky, A.I.; Bellan, E.V.; Smolyaninov, I.V.; Cherkasov, A.V.; Fukin, G.K.; Berberova, N.T.; Cherkasov, V.K.; Abakumov, G.A. Ferrocene-Containing Tin(IV) Complexes Based on o-Benzoquinone and o-Iminobenzoquinone Ligands. Synthesis, Molecular Structure, and Electrochemical Properties. Inorg. Chem. 2020, 59, 6774–6784. [Google Scholar] [CrossRef]
- Aljohani, E.T.; Shehata, M.R.; Alkhatib, F.; Alzahrani, S.O.; Abu-Dief, A.M. Development and structure elucidation of new VO2+, Mn2+, Zn2+, and Pd2+ complexes based on azomethine ferrocenyl ligand: DNA interaction, antimicrobial, antioxidant, anticancer activities, and molecular docking. Appl. Organomet. Chem. 2021, 35, e6154. [Google Scholar] [CrossRef]
- Baryshnikova, S.V.; Bellan, E.V.; Poddel’sky, A.I.; Arsenyev, M.V.; Smolyaninov, I.V.; Fukin, G.K.; Piskunov, A.V.; Berberova, N.T.; Cherkasov, V.K.; Abakumov, G.A. Tin(IV) and Antimony(V) Complexes Bearing Catecholate Ligands Connected to Ferrocene—Syntheses, Molecular Structures, and Electrochemical Properties. Eur. J. Inorg. Chem. 2016, 2016, 5230–5241. [Google Scholar] [CrossRef]
- Pérez, S.; López, C.; Caubet, A.; Solans, X.; Font-Bardía, M. New Heterodimetallic Platinum(II) Complexes Potentially Useful as Molecular Switches. Eur. J. Inorg. Chem. 2008, 2008, 1599–1612. [Google Scholar] [CrossRef]
- Huang, L.-L.; Han, X.-Z.; Yao, Y.-M.; Zhang, Y.; Shen, Q. Synthesis of ferrocene-containing N-aryloxo β-ketoiminate lanthanide complexes and polymerization of ε-caprolactone. Appl. Organomet. Chem. 2011, 25, 464–469. [Google Scholar] [CrossRef]
- Gu, X.-Y.; Han, X.-Z.; Yao, Y.-M.; Zhang, Y.; Shen, Q. Synthesis and characterization of lanthanide complexes bearing a ferrocene-containing N-aryloxo-β-ketoiminate ligand. J. Organomet. Chem. 2010, 695, 2726–2731. [Google Scholar] [CrossRef]
- Hassenrück, C.; Mücke, P.; Scheck, J.; Demeshko, S.; Winter, R.F. Oxidized Styrylruthenium–Ferrocene Conjugates: From Valence Localization to Valence Tautomerism. Eur. J. Inorg. Chem. 2017, 2017, 401–411. [Google Scholar] [CrossRef]
- Ratera, I.; Ruiz-Molina, D.; Renz, F.; Ensling, J.; Wurst, K.; Rovira, C.; Gütlich, P.; Veciana, J. A New Valence Tautomerism Example in an Electroactive Ferrocene Substituted Triphenylmethyl Radical. J. Am. Chem. Soc. 2003, 125, 1462–1463. [Google Scholar] [CrossRef] [PubMed]
- Ratera, I.; Sporer, C.; Ruiz-Molina, D.; Ventosa, N.; Baggerman, J.; Brouwer, A.M.; Rovira, C.; Veciana, J. Solvent Tuning from Normal to Inverted Marcus Region of Intramolecular Electron Transfer in Ferrocene-Based Organic Radicals. J. Am. Chem. Soc. 2007, 129, 6117–6129. [Google Scholar] [CrossRef]
- Elsner, O.; Ruiz-Molina, D.; Vidal-Gancedo, J.; Rovira, C.; Veciana, J. Ferromagnetic interactions between triphenylmethyl radicals through an organometallic coupler. Chem. Commun. 1999, 579–580. [Google Scholar] [CrossRef]
- Souto, M.; Morales, D.C.; Guasch, J.; Ratera, I.; Rovira, C.; Painelli, A.; Veciana, J. Intramolecular electron transfer and charge delocalization in bistable donor-acceptor systems based on perchlorotriphenylmethyl radicals linked to ferrocene and tetrathiafulvalene units. J. Phys. Org. Chem. 2014, 27, 465–469. [Google Scholar] [CrossRef]
- Shen, X.; Miyashita, H.; Qi, L.; Zhu, D.-R.; Hashimoto, M.; Sakata, K. Syntheses, crystal structure and electrochemical characterization of ferrocene-containing nickel(II) complexes with 4,11-dihydro-5,7,12,14-tetramethyldibenzo[b,i][1,4,8,11]tetraazacyclotetradecine. Polyhedron 2008, 27, 3105–3111. [Google Scholar] [CrossRef]
- Kusamoto, T.; Takada, K.; Sakamoto, R.; Kume, S.; Nishihara, H. Ferrocene–Dithiolene Hybrids: Control of Strong Donor–Acceptor Electronic Communication to Reverse the Charge Transfer Direction. Inorg. Chem. 2012, 51, 12102–12113. [Google Scholar] [CrossRef]
- Swanson, D.D.; Conner, K.M.; Brown, S.N. A chelating bis(aminophenol) ligand bridged by a 1,1′-ferrocene-bis(para-phenylene) linker. Dalton Trans. 2017, 46, 9049–9057. [Google Scholar] [CrossRef]
- Wang, X.; Thevenon, A.; Brosmer, J.L.; Yu, I.; Khan, S.I.; Mehrkhodavandi, P.; Diaconescu, P.L. Redox Control of Group 4 Metal Ring-Opening Polymerization Activity toward l-Lactide and ε-Caprolactone. J. Am. Chem. Soc. 2014, 136, 11264–11267. [Google Scholar] [CrossRef]
- Foreman, M.R.S.J.; Slawin, A.M.Z.; Woollins, J.D. 2,4-Diferrocenyl-1,3-dithiadiphosphetane 2,4-disulfide; structure and reactions with catechols and [PtCl2(PR3)2] (R = Et or Bun). J. Chem. Soc. Dalton Trans. 1996, 18, 3653–3657. [Google Scholar] [CrossRef]
- Joudat, M.; Rouzaud, J.; Castel, A.; Delpech, F.; Rivière, P.; Gornitzka, H.; Massou, S. Heterocyclisation of ferrocenyl- and benzenetricarbonyl chromium-cyclopentadienes with o-quinone. Evidence for a SET route. Inorg. Chim. Acta 2004, 357, 259–264. [Google Scholar] [CrossRef]
- Colbran, S.B.; Lee, S.T.; Lonnon, D.G.; Maharaj, F.J.D.; McDonagh, A.M.; Walker, K.A.; Young, R.D. Covalently Linked Ferrocenyl Quinones: Proton-Dependent Redox Behavior and Charge Redistribution. Organometallics 2006, 25, 2216–2224. [Google Scholar] [CrossRef]
- Tahara, K.; Akehi, S.; Akita, T.; Katao, S.; Kikuchi, J.-I.; Tokunaga, K. Tuning of intramolecular charge transfer properties and charge distributions in ferrocene-appended catechol derivatives by chemical substitution. Dalton Trans. 2015, 44, 14635–14645. [Google Scholar] [CrossRef] [PubMed]
- Tahara, K.; Akita, T.; Katao, S.; Kikuchi, J.-I. Construction of di- and tetra-ferrocenyl spiroborate complexes from catechol building blocks and their redox behaviors. Dalton Trans. 2014, 43, 1368–1379. [Google Scholar] [CrossRef]
- Heinze, K.; Reinhardt, S. Ferrocene Linked to PtL2 Fragments (L2 = Cl2, Fumaronitrile, 3,6-Di-tert-butylcatecholato): A Spectroscopic and Theoretical Investigation of Redox Behavior and Charge Distributions. Organometallics 2007, 26, 5406–5414. [Google Scholar] [CrossRef]
- Fukuzumi, S.; Yoshida, Y.; Okamoto, K.; Imahori, H.; Araki, Y.; Ito, O. Hydrogen-Bonding Dynamics in Photoinduced Electron Transfer in a Ferrocene−Quinone Linked Dyad with a Rigid Amide Spacer. J. Am. Chem. Soc. 2002, 124, 6794–6795. [Google Scholar] [CrossRef]
- Hou, J.-L.; Huo, P.; Tang, Z.-Z.; Cui, L.-N.; Zhu, Q.-Y.; Dai, J. A Titanium Oxo Cluster Model Study of Synergistic Effect of Co-coordinated Dye Ligands on Photocurrent Responses. Inorg. Chem. 2018, 57, 7420–7427. [Google Scholar] [CrossRef]
- Mengozzi, L.; El Garah, M.; Gualandi, A.; Iurlo, M.; Fiorani, A.; Ciesielski, A.; Marcaccio, M.; Paolucci, F.; Samorì, P.; Cozzi, P.G. Phenoxyaluminum(salophen) Scaffolds: Synthesis, Electrochemical Properties, and Self-Assembly at Surfaces of Multifunctional Systems. Chem. Eur. J. 2018, 24, 11954–11960. [Google Scholar] [CrossRef]
- Das, D.; Noor, A.; Raza, K.; Goswami, T.K. Co(II) complexes of curcumin and a ferrocene-based curcuminoid: A study on photo-induced antitumor activity. JBIC J. Biol. Inorg. Chem. 2021, 26, 881–893. [Google Scholar] [CrossRef]

































Publisher’s Note: MDPI stays neutral with regard to jurisdictional claims in published maps and institutional affiliations. |
© 2022 by the authors. Licensee MDPI, Basel, Switzerland. This article is an open access article distributed under the terms and conditions of the Creative Commons Attribution (CC BY) license (https://creativecommons.org/licenses/by/4.0/).
Share and Cite
Baryshnikova, S.V.; Poddel’sky, A.I. Heteroligand Metal Complexes with Extended Redox Properties Based on Redox-Active Chelating Ligands of o-Quinone Type and Ferrocene. Molecules 2022, 27, 3928. https://doi.org/10.3390/molecules27123928
Baryshnikova SV, Poddel’sky AI. Heteroligand Metal Complexes with Extended Redox Properties Based on Redox-Active Chelating Ligands of o-Quinone Type and Ferrocene. Molecules. 2022; 27(12):3928. https://doi.org/10.3390/molecules27123928
Chicago/Turabian StyleBaryshnikova, Svetlana V., and Andrey I. Poddel’sky. 2022. "Heteroligand Metal Complexes with Extended Redox Properties Based on Redox-Active Chelating Ligands of o-Quinone Type and Ferrocene" Molecules 27, no. 12: 3928. https://doi.org/10.3390/molecules27123928
APA StyleBaryshnikova, S. V., & Poddel’sky, A. I. (2022). Heteroligand Metal Complexes with Extended Redox Properties Based on Redox-Active Chelating Ligands of o-Quinone Type and Ferrocene. Molecules, 27(12), 3928. https://doi.org/10.3390/molecules27123928

