Phytochemical Study and Antiglioblastoma Activity Assessment of Plectranthus hadiensis (Forssk.) Schweinf. ex Sprenger var. hadiensis Stems
Abstract
1. Introduction
2. Results and Discussion
2.1. Phytochemical Study of Plectranthus hadiensis Stems
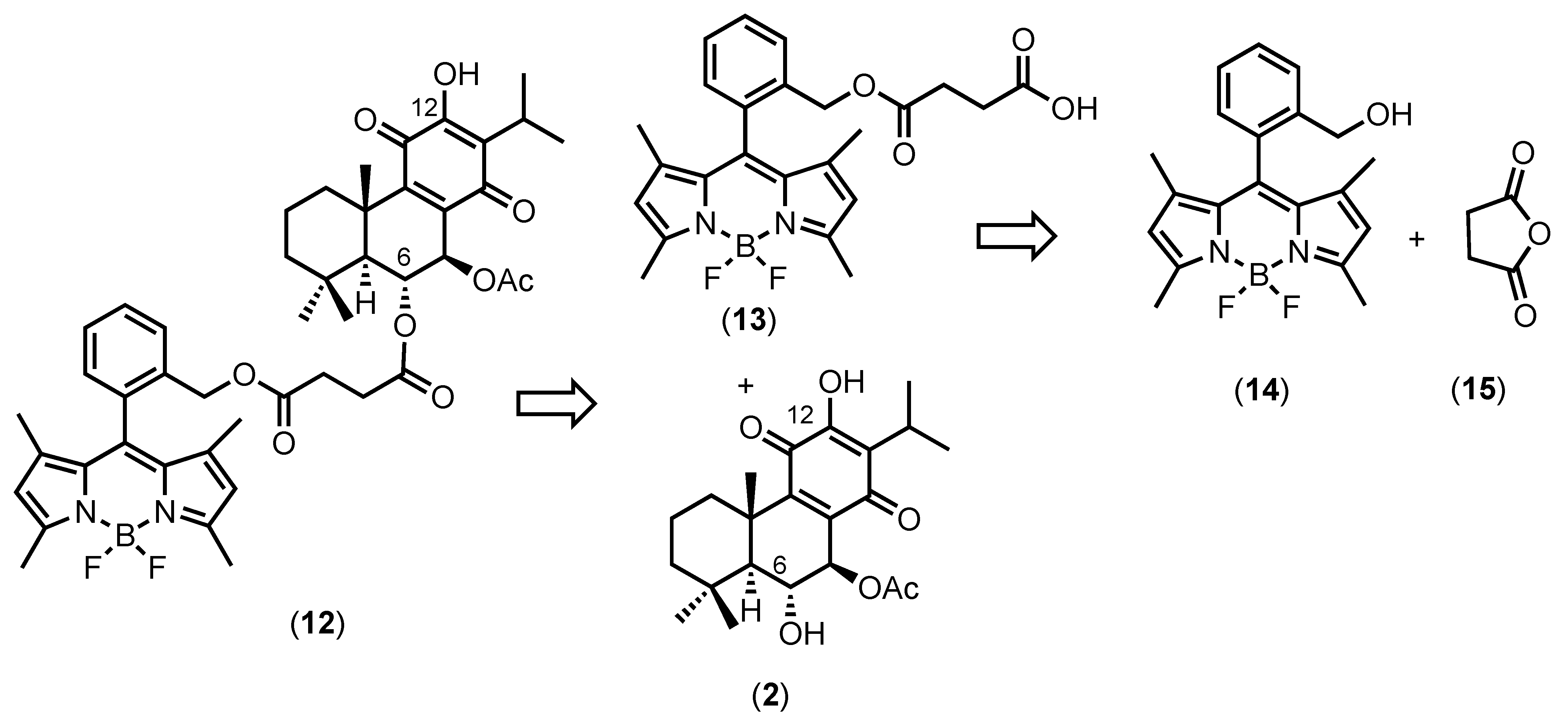
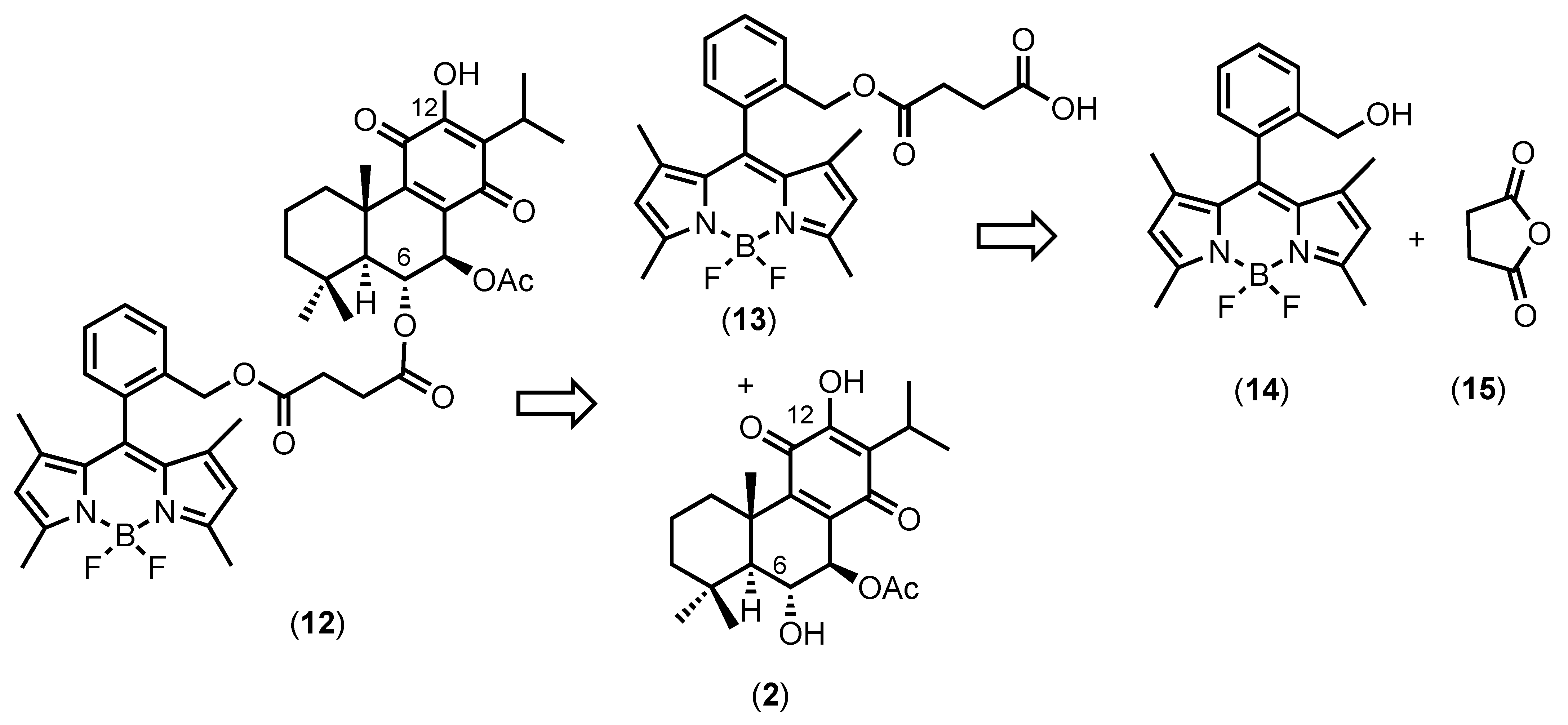
2.2. BODIPY Synthesis
2.3. Bioactivity Assays
2.3.1. Studies on the Antioxidant and Antimicrobial Activity and Toxicity of the Fractions
2.3.2. Assessment of the Cytotoxic Effect of Plectranthus hadiensis var. hadiensis Extracts and Phytochemicals towards GB Cell Lines
2.3.3. Biodistribution in U87 Cells of Roy Labelled with BODIPY
3. Materials and Methods
3.1. Plant Material
3.2. Chemicals
3.3. Reagents for Biological Assays
3.4. General Equipment
3.5. General Experimental Procedures
3.5.1. Extract Preparation
3.5.2. Bioassay-Guided Fractionation
3.5.3. Isolation and Chemical Characterization Procedure
3.5.4. BODIPY-7α-acetoxy-6β-hydroxyroyleanone derivative (12) Synthesis
3.5.5. Compound Characterization
Nuclear Magnetic Resonance (NMR)
Fourier Transform Infrared Spectroscopy (FTIR)
3.5.6. HPLC-DAD
Methodology
Qualitative and Quantitative Analysis
3.5.7. Bioactivity Assays
Determination of Antioxidant Activity (DPPH)
Antibacterial Activity: Well Diffusion Method
Brine Shrimp Lethality Bioassay
In Vitro Assays
- Cell Culture
- 2.
- Cell Viability
- 3.
- Fluorescence Imaging
3.5.8. Others
4. Conclusions
Supplementary Materials
Author Contributions
Funding
Institutional Review Board Statement
Informed Consent Statement
Data Availability Statement
Acknowledgments
Conflicts of Interest
Sample Availability
References
- Weinberg, R.A. The Biology of Cancer, 2nd ed.; Garland Science: New York, NY, USA, 2014. [Google Scholar]
- Stewart, B.W.; Wild, C.P. World Cancer Report 2014; International Agency for Research on Cancer: Lyon Cedex, France, 2014; Volume 17, p. 54. [Google Scholar]
- Tamimi, A.F.; Juweid, M. Chapter 8: Epidemiology and Outcome of Glioblastoma. In Glioblastoma; De Vleeschouwer, S., Ed.; Codon Publications: Brisbane, QLD, Australia, 2017; pp. 143–153. [Google Scholar]
- Sung, H.; Ferlay, J.; Siegel, R.L.; Laversanne, M.; Soerjomataram, I.; Jemal, A.; Bray, F. Global Cancer Statistics 2020: GLOBOCAN Estimates of Incidence and Mortality Worldwide for 36 Cancers in 185 Countries. CA. Cancer J. Clin. 2021, 71, 209–249. [Google Scholar] [CrossRef] [PubMed]
- Magalhães, M.; Manadas, B.; Efferth, T.; Cabral, C. Chemoprevention and Therapeutic Role of Essential Oils and Phenolic Compounds: Modeling Tumor Microenvironment in Glioblastoma. Pharmacol. Res. 2021, 169, 105638. [Google Scholar] [CrossRef] [PubMed]
- Ma, R.; Taphoorn, M.J.B.; Plaha, P. Advances in the Management of Glioblastoma. J. Neurol. Neurosurg. Psychiatry. 2021, 92, 1103–1111. [Google Scholar] [CrossRef] [PubMed]
- Dominguez-Martin, E.M.; Diaz-Lanza, A.M.; Faustino, C.M.C. Anticancer Hybrid Combinations: Mechanisms of Action, Implications and Future Perspectives. Curr. Pharm. Des. 2018, 24, 4312–4333. [Google Scholar] [CrossRef]
- Atanasov, A.G.; Zotchev, S.B.; Dirsch, V.M.; Supuran, C.T. Natural products in drug discovery: Advances and opportunities. Nat. Rev Drug. Discov. 2021, 20, 200–216. [Google Scholar] [CrossRef]
- Lukhoba, C.W.; Simmonds, M.S.; Paton, A.J. Plectranthus: A Review of Ethnobotanical Uses. J. Ethnopharmacol. 2006, 103, 1–24. [Google Scholar] [CrossRef]
- Van Jaarsveld, E.J.; Thomas, V. The Southern African Plectranthus: And the Art of Turning Shade to Glade.; Fernwood Press: Cape Town, South Africa, 2006. [Google Scholar]
- Paton, A.J.; Mwanyambo, M.; Govaerts, R.H.A.; Smitha, K.; Suddee, S.; Phillipson, P.B.; Wilson, T.C.; Forster, P.I.; Culham, A. Nomenclatural Changes in Coleus and Plectranthus (Lamiaceae): A Tale of More than Two Genera. PhytoKeys 2019, 129, 1. [Google Scholar] [CrossRef]
- The World Flora Online. Plectranthus hadiensis (Forssk.) Schweinf. Ex Sprenger. 2022. Available online: http://www.worldfloraonline.org/taxon/wfo-0000275478 (accessed on 12 January 2022).
- Amarasinghe, A.; Siriwardhane, D.; Samarasekera, R.R.; Weerasena, O. Development of DNA Barcodes and Optimization of DNA Isolation and PCR Protocols for a Medicinal Plant Plectranthus hadiensis. Int. J. Sci. Res. (Raipur) 2015, 4, 2852–2856. [Google Scholar]
- Heckenhauer, J.; Large, D.; Samuel, R.; Barfuss, M.H.J.; Prins, P.D.H. Molecular Phylogeny Helps to Delimit Plectranthus hadiensis from its Related Morph Occurring in Sri Lanka. Ceylon J. Sci. Biol. Sci. 2019, 48, 133–141. [Google Scholar] [CrossRef][Green Version]
- Lambrechts, I.A.; Lall, N. Traditional Usage and Biological Activity of Plectranthus madagascariensis and its Varieties: A Review. J. Ethnopharmacol. 2021, 269, 113663. [Google Scholar] [CrossRef]
- Schultz, F.; Anywar, G.; Quave, C.L.; Garbe, L. A Bibliographic Assessment using the Degrees of Publication Method: Medicinal Plants from the Rural Greater Mpigi Region (Uganda). Evid. Based Complement. Alternat. Med. 2021, 2021, 6661565. [Google Scholar] [CrossRef] [PubMed]
- Menon, D.B.; Gopalakrishnan, V.K. Terpenoids Isolated from the Shoot of Plectranthus hadiensis Induces Apoptosis in Human Colon Cancer Cells Via the Mitochondria-Dependent Pathway. Nutr. Cancer 2015, 67, 697–705. [Google Scholar] [CrossRef] [PubMed]
- Anoopkumar, A.; Puthur, S.; Rebello, S.; Aneesh, E.M. Screening of a Few Traditionally used Medicinal Plants for their Larvicidal Efficacy against Aedes aegypti Linn (Diptera: Culicidae), a Dengue Fever Vector. SOJ Microbiol. Infect. Dis. 2017, 5, 1–5. [Google Scholar]
- Menon, D.B.; Sasikumar, J.M. Pharmacognostic Study and Phytochemical Investigation of Plectranthus hadiensis. Int. J. Pharm. Sci. 2011, 3, 300–304. [Google Scholar]
- Menon, D.; Sasikumar, J.; Gopalakrishnan, V. Antioxidant and Anti-Inflammatory Properties of Terpenoid Fraction Isolated from the Shoot of Plectranthus hadiensis. Int. J. Pharm. Bio. Sci. 2014, 5, 97–205. [Google Scholar]
- Ji, H.; Li, H.; Mo, E.; Kim, U.; Kim, Y.; Park, H.; Jeong, T. Low-Density Lipoprotein-Antioxidant Flavonoids and a Phenolic Ester from Plectranthus hadiensis var. tomentosus. Appl. Biol. Chem. 2019, 62, 58. [Google Scholar] [CrossRef]
- Menon, D.; Sasikumar, J.; Gopalakrishnan, V. Analysis of the Methanolic Extract of the Shoot of Plectranthus hadiensis. Int. Res. J. Pharm. 2013, 4, 233–237. [Google Scholar] [CrossRef]
- Balachandra, B.A.H.E.; Pathirathna, P.U.; Paranagama, P.A. Control of Stored Grain Pest, Callosobruchus Maculatus (F.) (Coleoptera: Bruchidae) using the Essential Oil Isolated from Plectranthus zeylanicus. Nat. Prod. Res. 2012, 26, 2219–2222. [Google Scholar] [CrossRef]
- Mothana, R.A.; Abdo, S.A.; Hasson, S.; Althawab, F.M.; Alaghbari, S.A.; Lindequist, U. Antimicrobial, Antioxidant and Cytotoxic Activities and Phytochemical Screening of some Yemeni Medicinal Plants. Evid Based. Complement. Alternat Med. 2010, 7, 323–330. [Google Scholar]
- Van Zyl, R.L.; Khan, F.; Edwards, T.J.; Drewes, S.E. Antiplasmodial Activities of some Abietane Diterpenes from the Leaves of Five Plectranthus Species. S. Afr. J. Sci. 2008, 104, 62–64. [Google Scholar]
- Menon, D.B.; Sasikumar, J.M.; Latha, K. Anti Inflammtory and Cytotoxic Activity of Methanolic Extract of Plectranthus hadiensis Stem. Pharmacol. Online 2011, 3, 275–282. [Google Scholar]
- Schultz, F.; Osuji, O.F.; Nguyen, A.; Anywar, G.; Scheel, J.R.; Caljon, G.; Pieters, L.; Garbe, L. Pharmacological Assessment of the Antiprotozoal Activity, Cytotoxicity and Genotoxicity of Medicinal Plants used in the Treatment of Malaria in the Greater Mpigi Region in Uganda. Front. Pharmacol. 2021, 12, 678535. [Google Scholar] [CrossRef] [PubMed]
- Sripathi, R.; Jayagopal, D.; Ravi, S. A Study on the Seasonal Variation of the Essential Oil Composition from Plectranthus hadiensis and its Antibacterial Activity. Nat. Prod. Res. 2018, 32, 871–874. [Google Scholar] [CrossRef]
- Onwa, C.N.; Bbira, M.; Magaji, S. Antibacterial Activities of Plectranthus cyaneus Leaf Extracts, Against Five Bacterial WoundPathogens in Uganda. Spec. Bact. Pathog. J. 2016, 1, 32–36. [Google Scholar]
- Ibrahim, M.E.; Ahmed, S.S.; Hussein, M.S.; El-Sawi, S.A. Chemical Investigations and the Antimicrobial Activity of Ocimum hadiensis (Forssk) Plant Grown Wild in Egypt. J. Mater. Environ. Sci. 2019, 10, 457–462. [Google Scholar]
- Napagoda, M.; Gerstmeier, J.; Wesely, S.; Popella, S.; Lorenz, S.; Scheubert, K.; Svatoš, A.; Werz, O. Inhibition of 5-Lipoxygenase as Anti-Inflammatory Mode of Action of Plectranthus zeylanicus Benth and Chemical Characterization of Ingredients by a Mass Spectrometric Approach. J. Ethnopharmacol. 2014, 151, 800–809. [Google Scholar] [CrossRef] [PubMed]
- Rijo, P.; Matias, D.; Fernandes, A.; Simões, M.; Nicolai, M.; Reis, C. Antimicrobial Plant Extracts Encapsulated into Polymeric Beads for Potential Application on the Skin. Polymers 2014, 6, 479–490. [Google Scholar] [CrossRef]
- Rice, L.J.; Brits, G.J.; Potgieter, C.J.; Van Staden, J. Plectranthus: A Plant for the Future? S. Afr. J. Bot. 2011, 77, 947–959. [Google Scholar] [CrossRef]
- Lakshmi, M.; Nandagopal, S. Studies on the Leaf Essential Oil of Coleus zeylanicus (Benth.) L.H. Cramer-A Valuable Medicinal Plant. Res J. Pharm. Biol. Chem. Sci. 2017, 8, 119–125. [Google Scholar]
- Sripathi, R.; Ravi, S. Chemical Composition and Antibacterial Activity of the Essential Oil from the Seeds of Plectranthus hadiensis. Int. J. Pharmacogn. Phytochem. Res. 2017, 9, 637–639. [Google Scholar] [CrossRef]
- Schultz, F.; Osuji, O.F.; Wack, B.; Anywar, G.; Garbe, L. Antiinflammatory Medicinal Plants from the Ugandan Greater Mpigi Region Act as Potent Inhibitors in the COX-2/PGH 2 Pathway. Plants 2021, 10, 351. [Google Scholar] [CrossRef] [PubMed]
- Schultz, F.; Anywar, G.; Wack, B.; Quave, C.L.; Garbe, L. Ethnobotanical Study of Selected Medicinal Plants Traditionally used in the Rural Greater Mpigi Region of Uganda. J. Ethnopharmacol. 2020, 256, 112742. [Google Scholar] [CrossRef] [PubMed]
- Grayer, R.J.; Paton, A.J.; Simmonds, M.S.J.; Howes, M.R. Differences in Diterpenoid Diversity Reveal New Evidence for Separating the Genus Coleus from Plectranthus. Nat. Prod. Rep. 2021, 38, 1720–1728. [Google Scholar] [CrossRef] [PubMed]
- Garcia, C.; Teodosio, C.; Oliveira, C.; Oliveira, C.; Diaz-Lanza, A.; Reis, C.; Duarte, N.; Rijo, P. Naturally Occurring Plectranthus-Derived Diterpenes with Antitumoral Activities. Curr. Pharm. Des. 2018, 24, 4207–4236. [Google Scholar] [CrossRef]
- Gáborová, M.; Šmejkal, K.; Kubínová, R. Abietane Diterpenes of the Genus Plectranthus Sensu Lato. Molecules 2021, 27, 166. [Google Scholar] [CrossRef]
- Mehrotra, R.; Vishwakarma, R.A.; Thakur, R.S. Abietane Diterpenoids from Coleus zeylanicus. Phytochemistry 1989, 28, 3135–3137. [Google Scholar] [CrossRef]
- Horvath, T.; Linden, A.; Yoshizaki, F.; Eugster, C.; Rüedi, P. Abietanes and a Novel 20-Norabietanoid from Plectranthus cyaneus (Lamiaceae). Helv. Chim. Acta 2004, 87, 2346–2353. [Google Scholar] [CrossRef]
- Sitarek, P.; Toma, M.; Ntungwe, E.; Kowalczyk, T.; Skała, E.; Wieczfinska, J.; Śliwiński, T.; Rijo, P. Insight the Biological Activities of Selected Abietane Diterpenes Isolated from Plectranthus spp. Biomolecules 2020, 10, 194. [Google Scholar] [CrossRef]
- Śliwiński, T.; Sitarek, P.; Skała, E.; MSIsca, V.; Synowiec, E.; Kowalczyk, T.; Bijak, M.; Rijo, P. Diterpenoids from Plectranthus spp. as Potential Chemotherapeutic Agents Via Apoptosis. Pharmaceuticals 2020, 13, 123. [Google Scholar] [CrossRef]
- Ntungwe, E.; Domínguez-Martín, E.M.; Teodósio, C.; Teixidó-Trujillo, S.; Armas Capote, N.; Saraiva, L.; Díaz-Lanza, A.M.; Duarte, N.; Rijo, P. Preliminary Biological Activity Screening of Plectranthus spp. Extracts for the Search of Anticancer Lead Molecules. Pharmaceuticals 2021, 14, 402. [Google Scholar] [CrossRef]
- Hensch, M.; Rüedi, P.; Eugster, C.H. Horminon, Taxochinon Und Weitere Royleanone Aus 2 abessinischen Plectranthus-Spezies (Labiatae). Helv Chim Acta 1975, 58, 1921–1934. [Google Scholar] [CrossRef]
- Ulrich, G.; Ziessel, R.; Harriman, A. The Chemistry of Fluorescent Bodipy Dyes: Versatility Unsurpassed. Angew. Chem. Int. Ed. Engl. 2008, 47, 1184–1201. [Google Scholar] [CrossRef] [PubMed]
- del Río, M.; Lobo, F.; López, J.C.; Oliden, A.; Bañuelos, J.; López-Arbeloa, I.; Garcia-Moreno, I.; Gómez, A.M. One-Pot Synthesis of Rotationally Restricted, Conjugatable, BODIPY Derivatives from Phthalides. J. Org. Chem. 2017, 82, 1240–1247. [Google Scholar] [CrossRef] [PubMed]
- Rijo, P.; Batista, M.; Matos, M.; Rocha, H.; Jesus, S.; Simões, M.F. Screening of Antioxidant and Antimicrobial Activities on Plectranthus spp. Extracts. Biomed. Biopharm. Res. 2012, 9, 225–235. [Google Scholar] [CrossRef]
- Harwood, L.M. Dry-Column Flash Chromatography. Aldrichimica Acta 1985, 18, 25. [Google Scholar]
- Shusterman, A.J.; McDougal, P.G.; Glasfeld, A. Dry-Column Flash Chromatography. J. Chem. Educ. 1997, 74, 1222–1223. [Google Scholar] [CrossRef]
- WHO. The International Pharmacopoeia, 9th ed.; WHO: Geneva, Switzerland, 2019. [Google Scholar]
- Horowitz, G. Undergraduate Separations Utilizing Flash Chromatography. J. Chem. Educ. 2000, 77, 263–264. [Google Scholar] [CrossRef]
- Jacobson, B.M. An Inexpensive Way to do Flash Chromatography. J. Chem. Educ. 1988, 65, 459. [Google Scholar] [CrossRef]
- Butler, J.D.; Choung, W.; Kurth, M.J. Flash Chromatography: A Novel Pressurization Apparatus. J. Chem. Educ. 2010, 87, 1265. [Google Scholar] [CrossRef]
- Gibbons, S. Chapter 6: An Introduction to Planar Chromatography and Its Application to Natural Products Isolation. In Natural Products Isolation, 3rd ed.; Nahar, L., Ed.; Humana Press, Springer Science: Jersey, NJ, USA, 2012; pp. 117–153. [Google Scholar]
- Matias, D.; Nicolai, M.; Saraiva, L.; Pinheiro, R.; Faustino, C.; Diaz Lanza, A.; Pinto Reis, C.; Stankovic, T.; Dinic, J.; Pesic, M.; et al. Cytotoxic Activity of Royleanone Diterpenes from Plectranthus madagascariensis Benth. ACS Omega 2019, 4, 8094–8103. [Google Scholar] [CrossRef]
- Rijo, P.; Falé, P.L.; Serralheiro, M.L.; Simões, M.F.; Gomes, A.; Reis, C. Optimization of Medicinal Plant Extraction Methods and their Encapsulation through Extrusion Technology. Measurement 2014, 58, 249–255. [Google Scholar] [CrossRef]
- Meyer, B.N.; Ferrigni, N.R.; Putnam, J.E. Brine Shrimp: A Convenient General Bioassay for Active Plant Constituents. Planta Med. 1982, 45, 31–34. [Google Scholar] [CrossRef] [PubMed]
- Magalhães, M.; Farinha, D.; de Lima, M.C.P.; Faneca, H. Increased Gene Delivery Efficiency and Specificity of a Lipid-Based Nanosystem Incorporating a Glycolipid. Int. J. Nanomedicine 2014, 9, 4979–4989. [Google Scholar] [PubMed]
- Beeby, E.; Magalhães, M.; Lemos, M.F.; Pries, I.M.; Cabral, C. Cytotoxic Effects of Ridolfia segetum (L.) Moris Phytoproducts in Cancer Cells. J. Ethnopharmacol. 2021, 267, 113515. [Google Scholar] [CrossRef]





| Compounds | Linear Regression Data | LOD | LOQ | |
|---|---|---|---|---|
| Calibration Curve | R2 | |||
| Roy (1) | y = 29,435x + 91,338 | 0.9984 | 0.0009 | 0.0027 |
| DiRoy (3) | y = 50,426x − 43,699 | 0.9995 | 0.00004 | 0.0001 |
| Sample | Component Yield in Extract (mg/g) | |
|---|---|---|
| Roy (1) | DiRoy (3) | |
| Plectranthus hadiensis var. hadiensis leaves | 5.37 | 1.12 |
| Plectranthus hadiensis var. hadiensis stems | 0.40 | 2.15 |
| Fraction I | 1.03 | n/d |
| Fraction II | 11.8 | 3.81 |
| Fraction III | 8.77 | 50.03 |
| Fraction IV | 2.15 | 9.50 |
| Fraction V | 75.68 | 1.84 |
| Fraction VI | n/d | n/d |
| Sample | % AA | SDV | Inhibition Zone (mm) | SDV | % Dead | SDV |
|---|---|---|---|---|---|---|
| Positive control | 92.77 | 5.61 | 18 | 0 | 88.94 | 0.07 |
| Fraction II | 30.51 | 3.88 | 17 | 1 | 0.00 | 0.00 |
| Fraction III | 36.21 | 4.31 | 21 | 1 | 1.46 | 0.55 |
| Fraction IV | 26.16 | 5.17 | 5 | 0 | 0.42 | 0.59 |
| Fraction V | 67.58 | 0.95 | 21 | 1 | 5.96 | 5.29 |
| IC50 (µg/mL) | ||||||
|---|---|---|---|---|---|---|
| U87 | A172 | U118 | U373 | H4 | ||
| Roy | 40.98 | 46.78 | 7.64 | 6.27 | 56.91 | 24 h |
| DiRoy | ND | ND | 17.00 | 57.41 | ND | |
| Roy | 23.19 | 33.05 | 8.84 | 6.21 | 18.09 | 48 h |
| DiRoy | ND | ND | 5.79 | 33.7 | ND | |
| Roy | 7.111 | 26.31 | 8.04 | ND | 12.99 | 72 h |
| DiRoy | ND | ND | 12.07 | 19.30 | ND | |
Publisher’s Note: MDPI stays neutral with regard to jurisdictional claims in published maps and institutional affiliations. |
© 2022 by the authors. Licensee MDPI, Basel, Switzerland. This article is an open access article distributed under the terms and conditions of the Creative Commons Attribution (CC BY) license (https://creativecommons.org/licenses/by/4.0/).
Share and Cite
Domínguez-Martín, E.M.; Magalhães, M.; Díaz-Lanza, A.M.; Marques, M.P.; Princiotto, S.; Gómez, A.M.; Efferth, T.; Cabral, C.; Rijo, P. Phytochemical Study and Antiglioblastoma Activity Assessment of Plectranthus hadiensis (Forssk.) Schweinf. ex Sprenger var. hadiensis Stems. Molecules 2022, 27, 3813. https://doi.org/10.3390/molecules27123813
Domínguez-Martín EM, Magalhães M, Díaz-Lanza AM, Marques MP, Princiotto S, Gómez AM, Efferth T, Cabral C, Rijo P. Phytochemical Study and Antiglioblastoma Activity Assessment of Plectranthus hadiensis (Forssk.) Schweinf. ex Sprenger var. hadiensis Stems. Molecules. 2022; 27(12):3813. https://doi.org/10.3390/molecules27123813
Chicago/Turabian StyleDomínguez-Martín, Eva María, Mariana Magalhães, Ana María Díaz-Lanza, Mário P. Marques, Salvatore Princiotto, Ana M. Gómez, Thomas Efferth, Célia Cabral, and Patricia Rijo. 2022. "Phytochemical Study and Antiglioblastoma Activity Assessment of Plectranthus hadiensis (Forssk.) Schweinf. ex Sprenger var. hadiensis Stems" Molecules 27, no. 12: 3813. https://doi.org/10.3390/molecules27123813
APA StyleDomínguez-Martín, E. M., Magalhães, M., Díaz-Lanza, A. M., Marques, M. P., Princiotto, S., Gómez, A. M., Efferth, T., Cabral, C., & Rijo, P. (2022). Phytochemical Study and Antiglioblastoma Activity Assessment of Plectranthus hadiensis (Forssk.) Schweinf. ex Sprenger var. hadiensis Stems. Molecules, 27(12), 3813. https://doi.org/10.3390/molecules27123813

