Effect of Elevated Carbon Dioxide Exposure on Nutrition-Health Properties of Micro-Tom Tomatoes
Abstract
:1. Introduction
2. Results
2.1. Chemical Composition
2.1.1. Macronutrients Content
2.1.2. Micronutrients
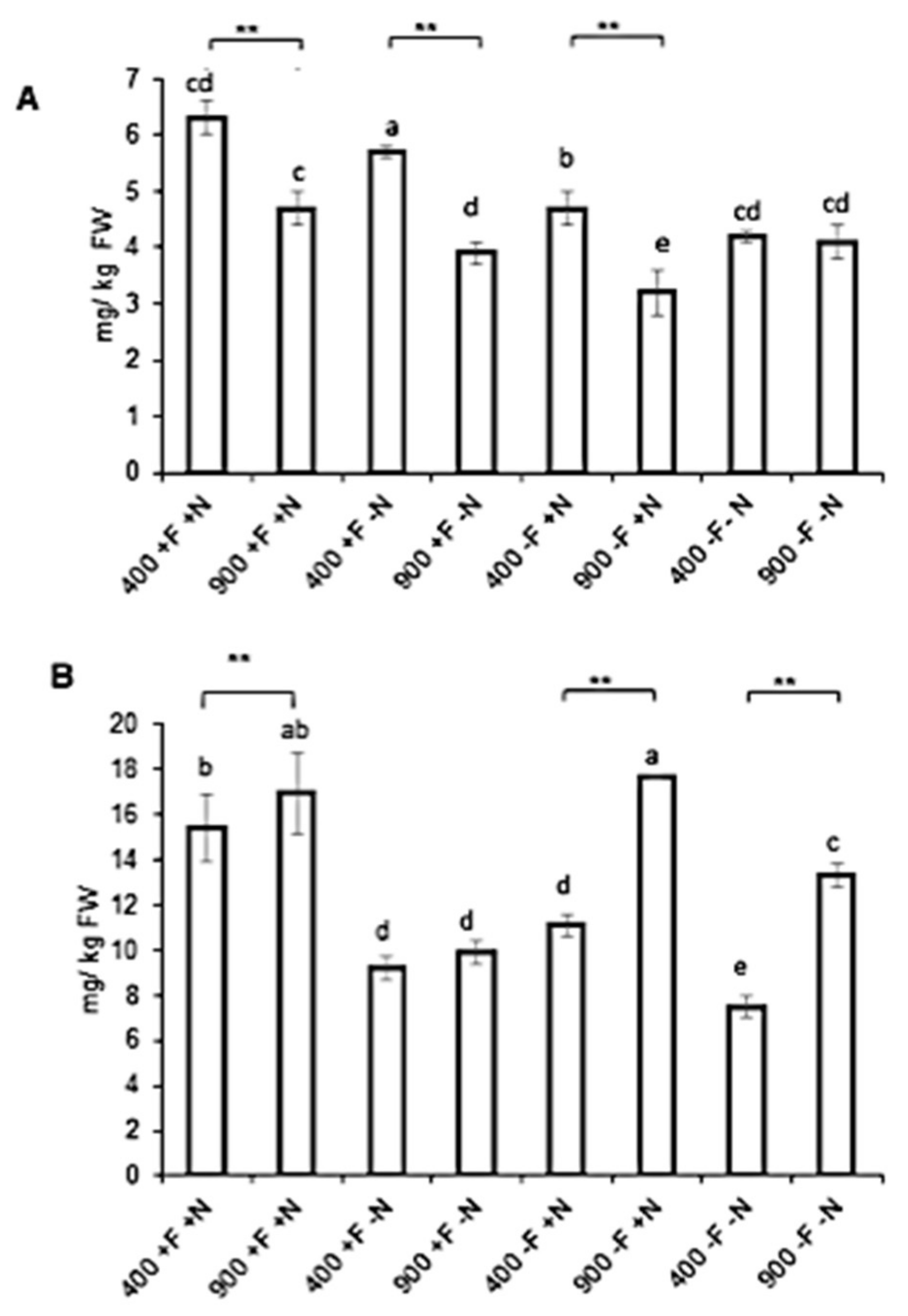
Minerals Content
Total Carotenoids and Lycopene Contents
2.2. Antioxidant Bioactivity
2.3. Anti-Inflammatory—Immunomodulatory Bioactivity
2.3.1. Cell Viability
2.3.2. Nitric Oxide Production
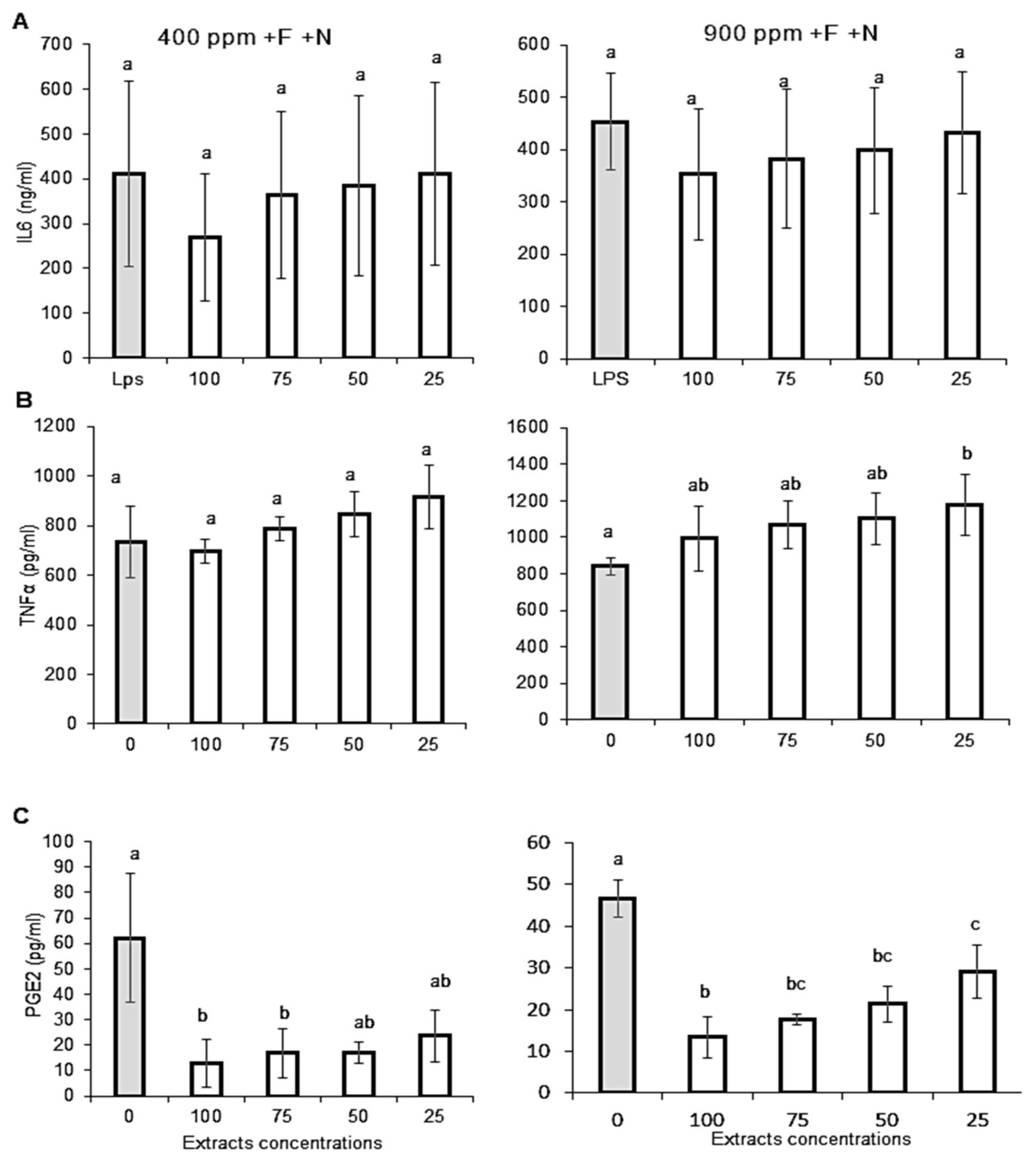
2.3.3. Cytokines Interleukin-6, TNF-α and Prostaglandin-E2
3. Discussion
4. Materials and Methods
4.1. Plant Material
4.2. Sample Preparation
4.3. Minerals Content
4.4. Macronutrients
4.4.1. Carotenoids
4.4.2. Sugars
4.4.3. Lipids
4.4.4. Proteins
4.5. Evaluation of Antioxidant Bioactive Potential
4.5.1. Total Polyphenol Content
4.5.2. ORAC (Oxygen Radical Absorbance Capacity) Assay
4.5.3. DPPH (2,2-Diphenyl-l-Picrylhydrazyl) Assay
4.6. Immunomodulatory Anti-Inflammatory Activity on Macrophage Cells Culture
4.6.1. Macrophage Culture
4.6.2. Cell Viability Assay
4.6.3. Dosage of NO (Nitric Oxide), PGE-2 (Prostaglandin E2), IL-6 (Interleukin-6), and TNFα (Tumor Necrosis Factor Alpha)
Determination of Nitrites (NO)
Interleukin 6 (IL-6) Assay
Tumor Necrosis Factor Alpha (TNF-α) Assay
Prostaglandin E2 (PGE-2) Assay
4.7. Statistical Analysis
5. Conclusions
Author Contributions
Funding
Institutional Review Board Statement
Informed Consent Statement
Data Availability Statement
Acknowledgments
Conflicts of Interest
Sample Availability
References
- Allan, R.P.; Hawkins, E.; Bellouin, N.; Collins, B. IPCC, 2021: Summary for Policymakers; Masson-Delmotte, V., Zhai, P., Pirani, A., Connors, S.L., Péan, C., Berger, S., Caud, N., Chen, Y., Goldfarb, L., Gomis, M.I., et al., Eds.; Cambridge University Press: Cambridge, UK, 2021. [Google Scholar]
- Long, S.P.; Ainsworth, E.A.; Leakey, A.D.B.; Nösberger, J.; Ort, D.R. Food for Thought: Lower-Than-Expected Crop Yield Stimulation with Rising CO2 Concentrations. Science 2006, 312, 1918–1921. [Google Scholar] [CrossRef] [PubMed]
- Leakey, A.D.B.; Ainsworth, E.A.; Bernacchi, C.J.; Rogers, A.; Long, S.P.; Ort, D.R. Elevated CO2 Effects on Plant Carbon, Nitrogen, and Water Relations: Six Important Lessons from FACE. J. Exp. Bot. 2009, 60, 2859–2876. [Google Scholar] [CrossRef] [PubMed]
- Stitt, M.; Krapp, A. The Interaction between Elevated Carbon Dioxide and Nitrogen Nutrition: The Physiological and Molecular Background. Plant Cell Environ. 1999, 22, 583–621. [Google Scholar] [CrossRef]
- Loladze, I. Hidden Shift of the Ionome of Plants Exposed to Elevated CO2 Depletes Minerals at the Base of Human Nutrition. eLife 2014, 3, e02245. [Google Scholar] [CrossRef]
- Zhu, C.; Kobayashi, K.; Loladze, I.; Zhu, J.; Jiang, Q.; Xu, X.; Liu, G.; Seneweera, S.; Ebi, K.L.; Drewnowski, A.; et al. Carbon Dioxide (CO2) Levels This Century Will Alter the Protein, Micronutrients, and Vitamin Content of Rice Grains with Potential Health Consequences for the Poorest Rice-Dependent Countries. Sci. Adv. 2018, 4, eaaq1012. [Google Scholar] [CrossRef] [Green Version]
- Jonard, M.; Fürst, A.; Verstraeten, A.; Thimonier, A.; Timmermann, V.; Potočić, N.; Waldner, P.; Benham, S.; Hansen, K.; Merilä, P.; et al. Tree Mineral Nutrition Is Deteriorating in Europe. Glob. Chang. Biol. 2015, 21, 418–430. [Google Scholar] [CrossRef]
- Feng, Z.; Rütting, T.; Pleijel, H.; Wallin, G.; Reich, P.B.; Kammann, C.I.; Newton, P.C.D.; Kobayashi, K.; Luo, Y.; Uddling, J. Constraints to Nitrogen Acquisition of Terrestrial Plants under Elevated CO2. Glob. Chang. Biol. 2015, 21, 3152–3168. [Google Scholar] [CrossRef]
- Kim, H.Y.; Lieffering, M.; Miura, S.; Kobayashi, K.; Okada, M. Growth and Nitrogen Uptake of CO2-Enriched Rice under Field Conditions. New Phytol. 2001, 150, 223–229. [Google Scholar] [CrossRef]
- Vicente, R.; Pérez, P.; Martínez-Carrasco, R.; Gutiérrez, E.; Morcuende, R. Nitrate Supply and Plant Development Influence Nitrogen Uptake and Allocation under Elevated CO2 in Durum Wheat Grown Hydroponically. Acta Physiol. Plant. 2015, 37, 114. [Google Scholar] [CrossRef]
- Dong, K.; Sun, R.; Dong, X. CO2 Emissions, Natural Gas and Renewables, Economic Growth: Assessing the Evidence from China. Sci. Total Environ. 2018, 640–641, 293–302. [Google Scholar] [CrossRef]
- Kang, Y.; Khan, S.; Ma, X. Climate Change Impacts on Crop Yield, Crop Water Productivity and Food Security—A Review. Prog. Nat. Sci. 2009, 19, 1665–1674. [Google Scholar] [CrossRef]
- Myers, S.S.; Zanobetti, A.; Kloog, I.; Huybers, P.; Leakey, A.D.B.; Bloom, A.J.; Carlisle, E.; Dietterich, L.H.; Fitzgerald, G.; Hasegawa, T.; et al. Increasing CO2 Threatens Human Nutrition. Nature 2014, 510, 139–142. [Google Scholar] [CrossRef] [PubMed]
- Soro, L.C.; Munier, S.; Pelissier, Y.; Grosmaire, L.; Yada, R.; Kitts, D.; Ocho-Anin Atchibri, A.L.; Guzman, C.; Boudard, F.; Menut, C.; et al. Influence of Geography, Seasons and Pedology on Chemical Composition and Anti-Inflammatory Activities of Essential Oils from Lippia Multiflora Mold Leaves. J. Ethnopharmacol. 2016, 194, 587–594. [Google Scholar] [CrossRef] [PubMed]
- Ferrare, K.; Bidel, L.P.R.; Awwad, A.; Poucheret, P.; Cazals, G.; Lazennec, F.; Azay-Milhau, J.; Tournier, M.; Lajoix, A.-D.; Tousch, D. Increase in Insulin Sensitivity by the Association of Chicoric Acid and Chlorogenic Acid Contained in a Natural Chicoric Acid Extract (NCRAE) of Chicory (Cichorium intybus L.) for an Antidiabetic Effect. J. Ethnopharmacol. 2018, 215, 241–248. [Google Scholar] [CrossRef] [PubMed] [Green Version]
- Chalvon-Demersay, T.; Azzout-Marniche, D.; Arfsten, J.; Egli, L.; Gaudichon, C.; Karagounis, L.G.; Tomé, D. A Systematic Review of the Effects of Plant Compared with Animal Protein Sources on Features of Metabolic Syndrome. J. Nutr. 2017, 147, 281–292. [Google Scholar] [CrossRef] [Green Version]
- Liu, Y.-S.; Wu, Q.-J.; Xia, Y.; Zhang, J.-Y.; Jiang, Y.-T.; Chang, Q.; Zhao, Y.-H. Carbohydrate Intake and Risk of Metabolic Syndrome: A Dose–Response Meta-Analysis of Observational Studies. Nutr. Metab. Cardiovasc. Dis. 2019, 29, 1288–1298. [Google Scholar] [CrossRef]
- Erge, H.S.; Karadeniz, F. Bioactive Compounds and Antioxidant Activity of Tomato Cultivars. Int. J. Food Prop. 2011, 14, 968–977. [Google Scholar] [CrossRef]
- Tan, H.-L.; Thomas-Ahner, J.M.; Grainger, E.M.; Wan, L.; Francis, D.M.; Schwartz, S.J.; Erdman, J.W.; Clinton, S.K. Tomato-Based Food Products for Prostate Cancer Prevention: What Have We Learned? Cancer Metastasis Rev. 2010, 29, 553–568. [Google Scholar] [CrossRef] [Green Version]
- Slimestad, R.; Verheul, M. Review of Flavonoids and Other Phenolics from Fruits of Different Tomato (Lycopersicon esculentum Mill.) Cultivars. J. Sci. Food Agric. 2009, 89, 1255–1270. [Google Scholar] [CrossRef]
- Hazewindus, M.; Haenen, G.R.M.M.; Weseler, A.R.; Bast, A. The Anti-Inflammatory Effect of Lycopene Complements the Antioxidant Action of Ascorbic Acid and α-Tocopherol. Food Chem. 2012, 132, 954–958. [Google Scholar] [CrossRef]
- Dumas, Y.; Dadomo, M.; Di Lucca, G.; Grolier, P. Effects of Environmental Factors and Agricultural Techniques on Antioxidantcontent of Tomatoes. J. Sci. Food Agric. 2003, 83, 369–382. [Google Scholar] [CrossRef]
- Khan, I.; Azam, A.; Mahmood, A. The Impact of Enhanced Atmospheric Carbon Dioxide on Yield, Proximate Composition, Elemental Concentration, Fatty Acid and Vitamin C Contents of Tomato (Lycopersicon esculentum). Environ. Monit. Assess. 2013, 185, 205–214. [Google Scholar] [CrossRef] [PubMed]
- Chengappa, S.; Guilleroux, M.; Phillips, W.; Shields, R. Transgenic Tomato Plants with Decreased Sucrose Synthase Are Unaltered in Starch and Sugar Accumulation in the Fruit. Plant Mol. Biol. 1999, 40, 213–221. [Google Scholar] [CrossRef] [PubMed]
- Li, J.; Zhou, J.-M.; Duan, Z.-Q.; Du, C.-W.; Wang, H.-Y. Effect of CO2 Enrichment on the Growth and Nutrient Uptake of Tomato Seedlings. Pedosphere 2007, 17, 343–351. [Google Scholar] [CrossRef]
- Krämer, K.; Kepp, G.; Brock, J.; Stutz, S.; Heyer, A.G. Acclimation to Elevated CO2 Affects the C/N Balance by Reducing de Novo N-Assimilation. Physiol. Plant. 2022, 174, e13615. [Google Scholar] [CrossRef]
- Castro-Barquero, S.; Ruiz-León, A.M.; Sierra-Pérez, M.; Estruch, R.; Casas, R. Dietary Strategies for Metabolic Syndrome: A Comprehensive Review. Nutrients 2020, 12, 2983. [Google Scholar] [CrossRef]
- Perveen, R.; Suleria, H.A.R.; Anjum, F.M.; Butt, M.S.; Pasha, I.; Ahmad, S. Tomato (Solanum Lycopersicum) Carotenoids and Lycopenes Chemistry; Metabolism, Absorption, Nutrition, and Allied Health Claims—A Comprehensive Review. Crit. Rev. Food Sci. Nutr. 2015, 55, 919–929. [Google Scholar] [CrossRef]
- Donaldson, M.S. A Carotenoid Health Index Based on Plasma Carotenoids and Health Outcomes. Nutrients 2011, 3, 1003–1022. [Google Scholar] [CrossRef] [Green Version]
- Grabowska, M.; Wawrzyniak, D.; Rolle, K.; Chomczyński, P.; Oziewicz, S.; Jurga, S.; Barciszewski, J. Let Food Be Your Medicine: Nutraceutical Properties of Lycopene. Food Funct. 2019, 10, 3090–3102. [Google Scholar] [CrossRef]
- Rangaswamy, T.C.; Sridhara, S.; Ramesh, N.; Gopakkali, P.; El-Ansary, D.O.; Mahmoud, E.A.; Abdelmohsen, S.A.M.; Abdelbacki, A.M.M.; Elansary, H.O.; Abdel-Hamid, A.M.E. Assessing the Impact of Higher Levels of CO2 and Temperature and Their Interactions on Tomato (Solanumlycopersicum L.). Plants 2021, 10, 256. [Google Scholar] [CrossRef]
- Amiot, M.J.; Riva, C.; Vinet, A. Effects of Dietary Polyphenols on Metabolic Syndrome Features in Humans: A Systematic Review. Obes. Rev. 2016, 17, 573–586. [Google Scholar] [CrossRef] [PubMed]
- Gonçalves, B.; Falco, V.; Moutinho-Pereira, J.; Bacelar, E.; Peixoto, F.; Correia, C. Effects of Elevated CO2 on Grapevine (Vitis vinifera L.): Volatile Composition, Phenolic Content, and in Vitro Antioxidant Activity of Red Wine. J. Agric. Food Chem. 2009, 57, 265–273. [Google Scholar] [CrossRef] [PubMed]
- Balasooriya, H.N.; Dassanayake, K.B.; Seneweera, S.; Ajlouni, S. Impact of Elevated Carbon Dioxide and Temperature on Strawberry Polyphenols. J. Sci. Food Agric. 2019, 99, 4659–4669. [Google Scholar] [CrossRef] [PubMed]
- Martí, R.; Roselló, S.; Cebolla-Cornejo, J. Tomato as a Source of Carotenoids and Polyphenols Targeted to Cancer Prevention. Cancers 2016, 8, 58. [Google Scholar] [CrossRef] [PubMed] [Green Version]
- Viera, W.; Samaniego, I.; Camacho, D.; Habibi, N.; Ron, L.; Sediqui, N.; Álvarez, J.; Viteri, P.; Sotomayor, A.; Merino, J.; et al. Phytochemical Characterization of a Tree Tomato (Solanum betaceum Cav.) Breeding Population Grown in the Inter-Andean Valley of Ecuador. Plants 2022, 11, 268. [Google Scholar] [CrossRef] [PubMed]
- Shapouri-Moghaddam, A.; Mohammadian, S.; Vazini, H.; Taghadosi, M.; Esmaeili, S.-A.; Mardani, F.; Seifi, B.; Mohammadi, A.; Afshari, J.T.; Sahebkar, A. Macrophage Plasticity, Polarization, and Function in Health and Disease. J. Cell. Physiol. 2018, 233, 6425–6440. [Google Scholar] [CrossRef] [PubMed]
- Kadomoto, S.; Izumi, K.; Mizokami, A. Macrophage Polarity and Disease Control. Int. J. Mol. Sci. 2022, 23, 144. [Google Scholar] [CrossRef]
- Apostolova, E.; Lukova, P.; Baldzhieva, A.; Katsarov, P.; Nikolova, M.; Iliev, I.; Peychev, L.; Trica, B.; Oancea, F.; Delattre, C.; et al. Immunomodulatory and Anti-Inflammatory Effects of Fucoidan: A Review. Polymers 2020, 12, 2338. [Google Scholar] [CrossRef]
- Raiola, A.; Rigano, M.M.; Calafiore, R.; Frusciante, L.; Barone, A. Enhancing the health-promoting effects of tomato fruit for biofortified food. Mediators Inflamm. 2014, 2014, 139873. [Google Scholar] [CrossRef]
- Zhang, S.; Chen, H.; Li, C.; Chen, B.; Gong, H.; Zhao, Y.; Qi, R. Water-Soluble Tomato Extract Fruitflow Alters the Phosphoproteomic Profile of Collagen-Stimulated Platelets. Front Pharmacol. 2021, 12, 746107. [Google Scholar] [CrossRef]
- Lordan, R.; Tsoupras, A.; Zabetakis, I. Platelet activation and prothrombotic mediators at the nexus of inflammation and atherosclerosis: Potential role of antiplatelet agents. Blood Rev. 2021, 45, 100694. [Google Scholar] [CrossRef] [PubMed]
- Appenroth, K.-J.; Lenk, G.; Goldau, L.; Sharma, R. Tomato Seed Germination: Regulation of Different Response Modes by Phytochrome B2 and Phytochrome A. Plant Cell Environ. 2006, 29, 701–709. [Google Scholar] [CrossRef] [PubMed] [Green Version]
- Morel, S.; Arnould, S.; Vitou, M.; Boudard, F.; Guzman, C.; Poucheret, P.; Fons, F.; Rapior, S. Antiproliferative and Antioxidant Activities of Wild Boletales Mushrooms from France. Int. J. Med. Mushrooms 2018, 20, 13–29. [Google Scholar] [CrossRef] [PubMed]
- Boudard, F.; Vallot, N.; Cabaner, C.; Bastide, M. Chemiluminescence and Nitrite Determinations by the MALU Macrophage Cell Line. J. Immunol. Methods 1994, 174, 259–268. [Google Scholar] [CrossRef]






Publisher’s Note: MDPI stays neutral with regard to jurisdictional claims in published maps and institutional affiliations. |
© 2022 by the authors. Licensee MDPI, Basel, Switzerland. This article is an open access article distributed under the terms and conditions of the Creative Commons Attribution (CC BY) license (https://creativecommons.org/licenses/by/4.0/).
Share and Cite
Boufeldja, L.; Brandt, D.; Guzman, C.; Vitou, M.; Boudard, F.; Morel, S.; Servent, A.; Dhuique-Mayer, C.; Ollier, L.; Duchamp, O.; et al. Effect of Elevated Carbon Dioxide Exposure on Nutrition-Health Properties of Micro-Tom Tomatoes. Molecules 2022, 27, 3592. https://doi.org/10.3390/molecules27113592
Boufeldja L, Brandt D, Guzman C, Vitou M, Boudard F, Morel S, Servent A, Dhuique-Mayer C, Ollier L, Duchamp O, et al. Effect of Elevated Carbon Dioxide Exposure on Nutrition-Health Properties of Micro-Tom Tomatoes. Molecules. 2022; 27(11):3592. https://doi.org/10.3390/molecules27113592
Chicago/Turabian StyleBoufeldja, Linda, Dennis Brandt, Caroline Guzman, Manon Vitou, Frederic Boudard, Sylvie Morel, Adrien Servent, Claudie Dhuique-Mayer, Léa Ollier, Orianne Duchamp, and et al. 2022. "Effect of Elevated Carbon Dioxide Exposure on Nutrition-Health Properties of Micro-Tom Tomatoes" Molecules 27, no. 11: 3592. https://doi.org/10.3390/molecules27113592
APA StyleBoufeldja, L., Brandt, D., Guzman, C., Vitou, M., Boudard, F., Morel, S., Servent, A., Dhuique-Mayer, C., Ollier, L., Duchamp, O., Portet, K., Dubos, C., & Poucheret, P. (2022). Effect of Elevated Carbon Dioxide Exposure on Nutrition-Health Properties of Micro-Tom Tomatoes. Molecules, 27(11), 3592. https://doi.org/10.3390/molecules27113592

