Abstract
Dipyridamole, apart from its well-known antiplatelet and phosphodiesterase inhibitory activities, is a promising old drug for the treatment of pulmonary fibrosis. However, dipyridamole shows poor pharmacokinetic properties with a half-life (T1/2) of 7 min in rat liver microsomes (RLM). To improve the metabolic stability of dipyridamole, a series of pyrimidopyrimidine derivatives have been designed with the assistance of molecular docking. Among all the twenty-four synthesized compounds, compound (S)-4h showed outstanding metabolic stability (T1/2 = 67 min) in RLM, with an IC50 of 332 nM against PDE5. Furthermore, some interesting structure–activity relationships (SAR) were explained with the assistance of molecular docking.
1. Introduction
Idiopathic pulmonary fibrosis (IPF) is a chronic, progressive and fibrotic interstitial lung disease with unknown etiology [1,2]. The majority of IPF patients are middle-aged or elderly [3]. Once diagnosed, the average survival of patients is only 3–5 years [4,5]. Clinical manifestations are early acute lower respiratory tract infection, leading to pulmonary hypertension, progressive dyspnea and, eventually, death, due to respiratory failure in most cases [6,7]. The marketed drugs pirfenidone and nintedanib, approved for IPF, can slow down the disease progression but not cure it [8,9]. Currently, the COVID-19 epidemic remains relatively grim, and extensive data from the COVID-19 pandemic indicate that a large number of pulmonary fibrosis sequelae are likely to occur after SARS-CoV-2 infection [10]. Given that hundreds of millions of people worldwide are suffering from COVID-19, it is likely to cause pulmonary fibrosis sequelae among the infected population. Therefore, novel and effective therapeutic approaches for IPF are in great demand.
Dipyridamole (DIP), an antiplatelet-marketed drug, is mainly used for ischemic heart disease and strokes [11]. Publications reported that DIP is a phosphodiesterase-5 (PDE5) inhibitor [12]. PDE5 belongs to a subfamily of phosphodiesterases (PDEs) and performs a variety of physiological functions by specifically hydrolyzing the second messenger cGMP. Published studies have demonstrated that activation of cGMP signaling showed good antifibrotic efficacy in various animal models of pulmonary fibrosis [13]. Sildenafil, a well-known PDE5 inhibitor, has been proven to attenuate the degree of pulmonary fibrosis, and several phase II clinical trials have been completed [14]. Most recently, Liu et al. reported that DIP showed good efficacy for the treatment of critically ill patients with COVID-19 and improved the lung fibrosis of these patients [15]. In addition, a published patent indicated that DIP significantly decreased the levels of fibrosis markers α-SMA and FN, exerting remarkable therapeutic effects in the rat model of pulmonary fibrosis induced by bleomycin and prevented myofibroblast differentiation induced by TGF-β [16]. However, the pharmacokinetic properties of DIP are poor, practically insoluble in water, which leads to poor bioavailability. Moreover, we found that the half-life (T1/2) of DIP (measured by Shanghai Medicilon Inc., Shanghai, China) in rat liver microsomes (RLM) is only 7 min. Therefore, it was necessary to develop novel dipyridamole analogues with improved metabolic stability. Given that, we designed and synthesized pyrimidopyrimidine+ derivatives with excellent metabolic stability.
Based on the molecular docking pattern of DIP in PDE5 catalytic domain (see Figure 1), we found that the pyrimido[5,4-d]pyrimidine ring is anchored to the core pocket of PDE5 by forming π–π stacking with Phe820 and Phe786. For the two diethanolamine chains, one can form hydrogen bond interactions with Gln817 and Leu765, respectively, each using a hydroxyl group. The other diethanolamine chain donates a hydrogen bond to Ser663 using one of its hydroxyl groups. In particular, two hydrogen bonds with Leu765 and Ser663 have not been reported in other PDE5 inhibitors.
Figure 1.
Chemical structure and putative binding pattern of dipyridamole with PDE5, according to the molecular docking and the design strategy for PDE5 inhibitors.
Our previous studies suggested that introducing certain heterocyclic rings (especially those containing fluorine atoms), other than piperidine rings, were useful for the improved metabolic stability of PDE inhibitors [17,18]. For DIP, its piperidine rings made fewer key interactions than diethanolamine chains with PDE5. Therefore, we first replaced the piperidine rings by other heterocyclic rings in order to increase the inhibitory activity as well as metabolic stability of designed compounds. Second, the strategy of closing ring was applied to reduce the number of hydroxyl groups. Since DIP possesses a total of twelve nitrogen and oxygen atoms, contributing to its high PSA value, the chains of diethanolamine on both sides were replaced by heterocyclic rings to decrease the PSA of DIP. All designed compounds were docked to PDE5 for the prediction of binding patterns and then synthesized to evaluate their inhibitory activities against the PDE5 and T1/2 of preferred compounds in RLMs. Furthermore, the structure–activity relationship was explained based on molecular docking results.
2. Results
2.1. Chemistry
The preparation route of the designed compounds is displayed in Scheme 1. Pyrimido[5,4-d]pyrimidine-2,4,6,8-tetraol (1) reacted with phosphorus oxychloride and phosphorus pentachloride to afford perchloropyrimido[5,4-d]pyrimidine (2). In the presence of THF, the intermediate 2 was substituted with different amines to generate corresponding intermediate 3 [19], and then reacted with diethanolamine or different amines to afford 4a–i, 5a–c and 6a–c in good yields.
Scheme 1.
The synthetic routes of targeted compounds (4a–i, 5a–c, 6a–c).
Reagents and conditions: (a) POCl3, PCl5, 120 °C; (b) THF, room temperature, 30 min; (c) DEA, 150 °C, overnight (4a–i); amine, 100 °C, overnight (5a–c, 6a–c).
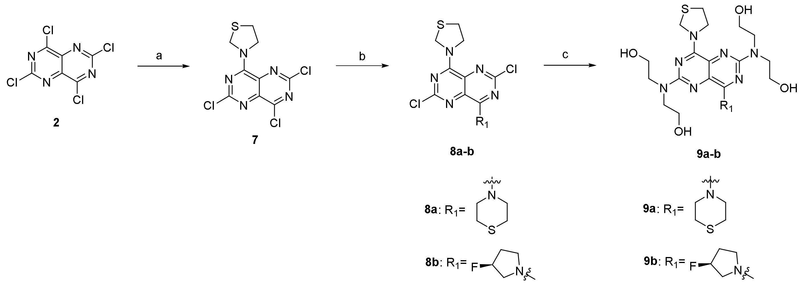
The preparation route of the designed compounds 9a and 9b is displayed in Scheme 2. Perchloropyrimido[5,4-d]pyrimidine 2 reacted with thiazolidine to afford 3-(2,6,8-trichloropyrimido[5,4-d]pyrimidin-4-yl)thiazolidine 7. In the presence of THF, the intermediate 7 was substituted with different amines to generate corresponding intermediate 8a and 8b, and then reacted with diethanolamine to afford 9a and 9b in good yields.
Scheme 2.
The synthetic routes of targeted compounds 9a and 9b. Reagents and conditions: (a) 1.14 equiv. thiazolidine, K2CO3, THF, −78 °C, 15 min; (b) 2 equiv. amine, THF, 0 °C, 40 min.; (c) DEA, 150 °C, overnight (9a and 9b).
2.2. Inhibitory Activity of PDE5 Inhibitors
The enzymatic assay of dipyridamole and its derivatives against PDE5 was performed in vitro, with sildenafil as a positive control. The inhibitory activities of the target compounds are summarized in Table 1, Table 2 and Table 3. Among those modified compounds, there were twelve compounds with the IC50 values below 500 nM and compound 4g exhibited optimal inhibitory activity of 64 nM. In addition, 4b, 4c, 4d and (S)-4h also showed good inhibition.
Table 1.
The inhibitory activities of the target compounds 4a–i against PDE5.
Table 2.
The inhibitory activities of target compounds 5a–c, 6a–c against PDE5.
Table 3.
The inhibitory activities of target compounds 9a and 9b against PDE5.
Herein, we summarize the structure–activity relationship (see Figure 2). The first round of modifications concentrated on 4,8-positions of pyrimidopyrimidine core (R1 groups). Compounds 4b and 4g with lipophilic tetrahydrothiazole and thiomorpholine rings showed the best inhibitory activity with IC50 of 64 nM and 113 nM, respectively. But compound 4e with smaller tetrahydropyrrole rings showed less than 50% inhibition at 500 nM. Compounds 4c and 4d containing fluorine-substituted piperidine rings exhibited a slightly decreased activity compared to DIP, with IC50 of 343 and 362 nM, respectively. In contrast, compounds 4h–i containing fluorine-substituted tetrahydropyrrole rings exhibited increased activity compared to 4e. The inhibitory activity of compound (S)-4h was slightly better than (R)-4h. Morpholine-substituted compound 4a exhibited decreased activity compared to DIP (IC50 > 500 nM), suggesting that hydrophobic groups with certain volume at 4,8-positions of pyrimidopyrimidine core are advantageous to PDE5 inhibition.
Figure 2.
The structure–activity relationship of designed compounds.
In the second round of modifications, the designed compounds showed moderate activity against PDE5. Different heterocycles were used to replace the diethanolamine chains on the two representative compounds 4g and 4c. Although the PSA values were reduced, all modified compounds exhibited weaker inhibitory activities compared to 4g and 4c.
Considering that 4g and 4b had higher inhibitory activity against PDE5 and (S)-4h exhibited outstanding metabolic stability, structural modifications were also performed, in which R1 substitutions from 4g, 4b and (S)-4h were combined. Both of the designed compounds 9a and 9b showed high activity with IC50 of 100 nM and 94 nM, respectively (Table 3).
2.3. Metabolic Stability of Typical Compounds in Rat Liver Microsomes
We tested T1/2 in the RLM of dipyridamole and representative synthesized compounds with comparable activity to dipyridamole (Table 4). The test method was included in Supplementary Materials. Results showed that the metabolic stability of compounds 4b, 4g, 9a and 9b with sulfur-containing heterocycles were as poor as DIP, while compounds 4c, 4d and (S)-4h with fluorine-containing heterocycles had remarkable enhancement in metabolic stability [20]. Considering that the introduction of fluorine into a molecule could productively influence pKa and pharmacokinetic properties [21], the improved metabolic stability of 4c and 4d (with fluoro-substituted piperidine rings) might attribute to reduced basicity of the nitrogen atoms in piperidine rings compared to DIP. The replacement of the 4-fluoropiperidin-1-yl group with the 3-fluoropyrrolidin-1-yl one changed the lipophilicity profile, which further led to the improved metabolic stability of (S)-4h in comparison to 4b. Among them, compound (S)-4h demonstrated optimal metabolic stability, with the T1/2 reaching 67 min.
Table 4.
The metabolic stability of typical compounds in RLM.
2.4. Molecular Docking
The structure–activity relationship was further illustrated by molecular docking results for designed compounds (see Figure 3). Observed from the binding patterns of 4g (with optimal inhibitory activity against PDE5), tetrahydrothiazole groups at 4,8-positions of the pyrimidopyrimidine core extended into and interacted with the hydrophobic pocket near Gln817, which is composed of Ile813, Met816, Phe787, Leu804 and Phe786. Therefore, substituents with hydrophobic properties at these positions should be preferable. The binding pattern of (S)-4h (with optimal metabolic stability) to PDE5 indicated that introduction of fluorine atoms to 4,8-positions resulted in enhanced interaction with Met816 and Leu765 in comparison to 4e, which could explain the enhanced inhibition from 4e to (S)-4h or 4i. However, it is worth noting that the electron-withdrawing substituents in 4,8-positions are not necessarily better in potency. The introduction of fluorine atoms to piperidine rings in DIP might produce a weak Coulomb repulsion to the conserved coordinating water in the metal ion region of PDE5, since the 4-position carbon atom of the piperidine ring in dipyridamole and the oxygen atom in the coordinating water is close. This was in accordance with decreased inhibition from DIP to 4c and 4d.
Figure 3.
Putative binding modes of compounds 4g, (S)-4h and 6a with PDE5 in molecular docking studies.
Binding patterns between PDE5 and compounds with piperidine or pyrrolidine rings at 2,6-positions of the pyrimidopyrimidine core revealed that a hydrogen bond originally formed with Leu765 in DIP-PDE5 complex no longer exists. As can be seen from 6a-PDE5 complex, the bulky cycloalkane substituents would force the entire molecule to shift outside the pocket, so that 6a and other compounds might not form hydrogen bonds with Leu765 and Ser663. This was in accordance with the fact that most compounds in the second round of design showed more decreased activity than DIP.
3. Materials and Methods
3.1. Chemistry
Reagents and materials were commercially available (Bide Pharmatech Ltd., Shanghai, China; Energy Chemical, Shanghai, China; Sigma-Aldrich, St. Louis, MO, USA; Aladdin, Shanghai, China etc.) and used directly without further purification. The NMR spectra of intermediates and target compounds were recorded on a Bruker Avance III (1H NMR: 400 MHz, 13C NMR: 101 MHz) or Bruker Ascend TM (1H-NMR: 500 MHz, 13C-NMR, 126 MHz). The high-resolution mass spectra of pyrimidopyrimidine derivatives were analyzed using a Shimadzu LCMS-IT-TOF mass spectrometer.
3.1.1. General Procedure for Synthesis of Intermediate Compounds 2
The compound 1 pyrimido[5,4-d]pyrimidine-2,4,6,8-tetraol (2g, 10 mmol) was added to a solution of PCl5 (12 g, 58 mmol) in POCl3 (99 mL, 1.07 mol). The mixture was stirred at 120 °C overnight and the extra solvent was removed under reduced pressure to give the yellow-brown residue. Ice-water was added to the mixture, yellow solids were given, filtered and washed with water until acid-free. The solids were purified by pulping with dichloromethane/methanol (20:1) to afford compound 2 as pale-yellow solids.[22] 13C NMR (101 MHz, CDCl3) δ 164.62, 156.68, 140.75.
3.1.2. General Procedure for Synthesis of Intermediate Compounds 3a–i
Compound 2 (1 mmol) was dissolved in tetrahydrofuran, and different R2 substituted amines (4 mmol) were added to react for 30 min at room temperature to afford corresponding intermediate compounds 3a–i in good yields [19,22].
4,4′-(2,6-dichloropyrimido[5,4-d]pyrimidine-4,8-diyl)dimorpholine (3a). White solid. Yield, 60%. 1H NMR (400 MHz, CDCl3) δ 4.37 (s, 8H), 3.90–3.74 (m, 8H).
4,4′-(2,6-dichloropyrimido[5,4-d]pyrimidine-4,8-diyl)bis(thiomorpholine) (3b). White solid. Yield, 58%. 1H NMR (400 MHz, CDCl3) δ 4.57 (s, 8H), 3.36–2.46 (m, 8H).
2,6-dichloro-4,8-bis(4-fluoropiperidin-1-yl)pyrimido[5,4-d]pyrimidine (3c). White solid. Yield, 50%. 1H NMR (400 MHz, CDCl3) δ 5.09–4.95 (m, 1H), 4.96–4.82 (m, 1H), 4.66 (s, 4H), 4.08 (s, 4H), 2.19–1.80 (m, 8H).
2,6-dichloro-4,8-bis(4,4-difluoropiperidin-1-yl)pyrimido[5,4-d]pyrimidine (3d). White solid. Yield, 49%. 1H NMR (400 MHz, CDCl3) δ 4.42 (s, 8H), 2.30–2.10 (m, 8H).
2,6-dichloro-4,8-di(pyrrolidin-1-yl)pyrimido[5,4-d]pyrimidine (3e). White solid. Yield, 55%. 1H NMR (400 MHz, CDCl3) δ 4.31 (t, J = 6.7 Hz, 4H), 3.74 (t, J = 6.8 Hz, 4H), 2.07–1.99 (m, 4H), 1.97–1.89 (m, 4H).
2,6-dichloro-4,8-bis(2-methylpyrrolidin-1-yl)pyrimido[5,4-d]pyrimidine (3f). White solid. Yield, 50%. 1H NMR (400 MHz, CDCl3) δ 5.55 (s, 1H), 4.61 (s, 1H), 4.43 (s, 1H), 4.20 (s, 1H), 3.77 (d, J = 58.8 Hz, 2H), 2.30–1.90 (m, 6H), 1.84 (s, 1H), 1.67 (s, 1H), 1.30 (d, J = 6.2 Hz, 6H).
3,3′-(2,6-dichloropyrimido[5,4-d]pyrimidine-4,8-diyl)dithiazolidine (3g). White solid. Yield, 50%. 1H NMR (400 MHz, CDCl3) δ 5.42 (s, 2H), 4.91 (s, 2H), 4.67 (s, 2H), 4.12 (s, 2H), 3.12 (s, 4H).
2,6-dichloro-4,8-bis((R)-3-fluoropyrrolidin-1-yl)pyrimido[5,4-d]pyrimidine ((R)-3h). White solid. Yield, 50%.1H NMR (400 MHz, CDCl3) δ 5.56–5.17 (m, 2H), 4.99–4.59 (m, 2H), 4.55–3.59 (m, 6H), 2.68–1.84 (m, 4H).
2,6-dichloro-4,8-bis((S)-3-fluoropyrrolidin-1-yl)pyrimido[5,4-d]pyrimidine ((S)-3h). White solid. Yield, 42%. 1H NMR (400 MHz, CDCl3) δ 5.52–5.18 (m, 2H), 4.90–4.62 (m, 2H), 4.50–3.72 (m, 6H), 2.62–1.81 (m, 4H).
2,6-dichloro-4,8-bis(3,3-difluoropyrrolidin-1-yl)pyrimido[5,4-d]pyrimidine (3i). White solid. Yield, 45%. 1H NMR (400 MHz, CDCl3) δ 4.80–4.60 (m, 4H), 4.12 (t, J = 12.5 Hz, 2H), 4.03 (t, J = 7.1 Hz, 2H), 2.63–2.35 (m, 4H).
3.1.3. General Procedure for Synthesis of Target Compounds 4a–i
Different intermediate compounds 3a–i were added to diethanolamine, stirred at 150 °C overnight. Then water was added to the mixture and yellow solids were given. The crude product was dissolved and purified on a silica gel column to yield 4a–i as yellow solids.
2,2′,2″,2‴-((4,8-dimorpholinopyrimido[5,4-d]pyrimidine-2,6-diyl)bis(azanetriyl))tetrakis(ethan-1-ol) (4a). Yellow solid. Yield, 60%. 1H NMR (400 MHz, DMSO-d6) δ 4.67 (t, J = 5.1 Hz, 4H), 4.11 (s, 8H), 3.70 (t, 8H), 3.56 (s, 16H). 13C NMR (126 MHz, CDCl3) δ 160.24, 155.39, 132.21, 66.79, 62.68, 52.41, 48.11, 29.70. HRMS (ESI) calculated for C22H36N8O6 [M + H]+: 509.2831, found: 509.2831.
2,2′,2″,2‴-((4,8-dithiomorpholinopyrimido[5,4-d]pyrimidine-2,6-diyl)bis(azanetriyl))tetrakis(ethan-1-ol) (4b). Yellow solid. Yield, 64%. 1H NMR (500 MHz, DMSO-d6) δ 4.72–4.68 (m, 4H), 4.39 (s, 8H), 3.57 (s, 16H), 2.73–2.69 (m, 8H). 13C NMR (126 MHz, CDCl3) δ 160.13, 155.07, 132.21, 62.53, 52.55, 50.29, 27.38. HRMS (ESI) calculated for C22H36N8O4S2 [M + H]+: 541.2374, found: 541.2374.
2,2′,2″,2‴-((4,8-bis(4-fluoropiperidin-1-yl)pyrimido[5,4-d]pyrimidine-2,6-diyl)bis(azanetriyl))tetrakis(ethan-1-ol) (4c). Yellow solid. Yield, 41%. 1H NMR (400 MHz, DMSO-d6) δ 4.98 (s, 1H), 4.86 (s, 1H), 4.70 (s, 4H), 4.30–4.22 (m, 4H), 4.11–3.99 (m, 4H), 3.58 (s, 16H), 2.06–1.91 (m, 4H), 1.83–1.70 (m, 4H). 13C NMR (126 MHz, CDCl3) δ 160.36, 155.29, 132.14, 88.80, 87.44, 62.65, 52.48, 43.69 (d, J = 5.0 Hz), 31.38 (d, J = 19.8 Hz). HRMS (ESI) calculated for C24H38N8O4F2 [M + H]+: 541.3057, found: 541.3056.
2,2′,2″,2‴-((4,8-bis(4,4-difluoropiperidin-1-yl)pyrimido[5,4-d]pyrimidine-2,6-diyl)bis(azanetriyl))tetrakis(ethan-1-ol) (4d). Yellow solid. Yield, 90%. 1H NMR (500 MHz, DMSO-d6) δ 4.73 (t, J = 5.0 Hz, 4H), 4.22 (s, 8H), 3.58 (s, 16H), 2.12–2.03 (m, 8H). 13C NMR (126 MHz, CDCl3) δ 160.14, 155.18, 132.23, 121.76, 62.56, 52.60, 44.49, 34.11 (t, J = 22.9 Hz). HRMS (ESI) calculated for C24H36N8O4F4 [M + H]+: 577.2868, found: 577.2868.
2,2′,2″,2‴-((4,8-di(pyrrolidin-1-yl)pyrimido[5,4-d]pyrimidine-2,6-diyl)bis(azanetriyl))tetrakis(ethan-1-ol) (4e). Yellow solid. Yield, 43%. 1H NMR (500 MHz, DMSO-d6) δ 4.67 (s, 4H), 4.52–3.68 (m, 8H), 3.65–3.48 (m, 16H), 1.87 (s, 8H). HRMS (ESI) calculated for C22H36N8O4 [M + H]+: 477.2932, found: 477.2931.
2,2′,2″,2‴-((4,8-bis(2-methylpyrrolidin-1-yl)pyrimido[5,4-d]pyrimidine-2,6-diyl)bis(azanetriyl))tetrakis(ethan-1-ol) (4f). Yellow solid. Yield, 45%. 1H NMR (400 MHz, DMSO-d6) δ 4.66 (s, 4H), 3.68 (s, 4H), 3.58 (d, J = 4.3 Hz, 16H), 2.17–1.43 (m, 10H), 1.19 (t, J = 7.0 Hz, 6H). HRMS (ESI) calculated for C24H40N8O4 [M + H]+: 505.3245, found: 505.3248.
2,2′,2″,2‴-((4,8-bis((S)-2-methylpyrrolidin-1-yl)pyrimido[5,4-d]pyrimidine-2,6-diyl)bis(azanetriyl))tetrakis(ethan-1-ol) ((S)-4f). Yellow solid. Yield, 47%. = 208.0 (c 1.0, Acetone). HRMS (ESI) calculated for C24H40N8O4 [M + H]+: 505.3245, found: 505.3245.
2,2′,2″,2‴-((4,8-bis((S)-2-methylpyrrolidin-1-yl)pyrimido[5,4-d]pyrimidine-2,6-diyl)bis(azanetriyl))tetrakis(ethan-1-ol) ((R)-4f). Yellow solid. Yield, 46%. = −238.0 (c 1.0, Acetone). HRMS (ESI) calculated for C24H40N8O4 [M + H]+: 505.3245, found: 505.3245.
2,2′,2″,2‴-((4,8-di(thiazolidin-3-yl)pyrimido[5,4-d]pyrimidine-2,6-diyl)bis(azanetriyl))tetrakis(ethan-1-ol) (4g). Yellow solid. Yield, 60%. 1H NMR (400 MHz, DMSO-d6) δ 5.14 (s, 4H), 4.67 (s, 4H), 4.20 (s, 4H), 3.59 (s, 16H), 3.08 (t, J = 6.2 Hz, 4H). HRMS (ESI) calculated for C20H32N8O4S2 [M + H]+: 513.2061, found: 513.2061.
2,2′,2″,2‴-((4,8-bis((S)-3-fluoropyrrolidin-1-yl)pyrimido[5,4-d]pyrimidine-2,6-diyl)bis(azanetriyl))tetrakis(ethan-1-ol) ((S)-4h). Yellow solid. Yield, 60%. = 77.0 (c 1.0, DMSO). 1H NMR (400 MHz, DMSO-d6) δ 5.47 (s, 1H), 5.34 (s, 1H), 4.79–4.55 (m, 4H), 4.27–3.78 (m, 4H), 3.60 (s, 16H), 2.28–2.13 (m, 4H). HRMS (ESI) calculated for C22H34N8O4F2 [M + H]+: 513.2744, found: 513.2742.
2,2′,2″,2‴-((4,8-bis((R)-3-fluoropyrrolidin-1-yl)pyrimido[5,4-d]pyrimidine-2,6-diyl)bis(azanetriyl))tetrakis(ethan-1-ol) ((R)-4h). Yellow solid. Yield, 62%.
= −50.0 (c 1.0, DMSO). 1H NMR (400 MHz, DMSO-d6) δ 5.47 (s, 1H), 5.34 (s, 1H), 4.68 (s, 4H), 4.30–3.79 (m, 4H), 3.74–3.43 (m, 16H), 2.30–2.15 (m, 4H). HRMS (ESI) calculated for C22H34N8O4F2 [M + H]+: 513.2744, found: 513.2742.
2,2′,2″,2‴-((4,8-bis(3,3-difluoropyrrolidin-1-yl)pyrimido[5,4-d]pyrimidine-2,6-diyl)bis(azanetriyl))tetrakis(ethan-1-ol) (4i) Yellow solid. Yield, 77%. 1H NMR (400 MHz, DMSO-d6) δ 4.71 (s, 4H), 4.36–3.54 (m, 28H). HRMS (ESI) calculated for C22H32N8O4F4 [M + H]+: 549.2555, found: 549.2551.
3.1.4. General Procedure for Synthesis of Target Compounds 5a–c, 6a–c
Corresponding intermediate 3 was dissolved in N-Methyl-2-pyrrolidone, added another amine to the mixture and stirred at 100 °C overnight. Then water was added in the mixture to give yellow solids and filtered. The yellow crude product was dissolved and purified on a silica gel column to yield 5a–c, 6a–c.
1,1′-(4,8-di(thiazolidin-3-yl)pyrimido[5,4-d]pyrimidine-2,6-diyl)bis(piperidin-4-ol) (5a). Yellow solid. Yield, 43%. 1H NMR (400 MHz, DMSO-d6) δ 5.16 (s, 4H), 4.66 (d, J = 4.3 Hz, 2H), 4.33–4.06 (m, 8H), 3.72–3.63 (m, 2H), 3.21–2.94 (m, 8H), 1.82–1.70 (m, 4H), 1.40–1.27 (m, 4H). 13C NMR (126 MHz, CDCl3) δ 158.23, 154.97, 132.27, 68.70, 52.27, 42.48, 34.23. HRMS (ESI) calculated for C22H32N8O2S2 [M + H]+: 505.2162, found: 505.2159.
((4,8-di(thiazolidin-3-yl)pyrimido[5,4-d]pyrimidine-2,6-diyl)bis(piperidine-1,3-diyl))dimethanol (5b). Yellow solid. Yield, 55%. 1H NMR (400 MHz, DMSO-d6) δ 5.17 (s, 4H), 4.56–4.44 (m, 4H), 4.35 (d, J = 12.5 Hz, 2H), 4.21 (s, 4H), 3.27–3.24 (m, 2H), 3.08 (t, J = 6.1 Hz, 4H), 2.92–2.80 (m, 3H), 2.67–2.54 (m, 3H), 1.75–1.51 (m, 6H), 1.44–1.35 (m, 2H), 1.22–1.13 (m, 2H). HRMS (ESI) calculated for C24H36N8O2S2 [M + H]+: 533.2475, found: 533.2474.
((3S,3′S)-(4,8-di(thiazolidin-3-yl)pyrimido[5,4-d]pyrimidine-2,6-diyl)bis(piperidine-1,3-diyl))dimethanol ((S)-5b). Yellow solid. Yield, 50%. = 27.0 (c 1.0, Acetone). HRMS (ESI) calculated for C24H36N8O2S2 [M + H]+: 533.2475, found: 533.2475.
((3R,3′R)-(4,8-di(thiazolidin-3-yl)pyrimido[5,4-d]pyrimidine-2,6-diyl)bis(piperidine-1,3-diyl))dimethanol ((R)-5b). Yellow solid. Yield, 52%. = 32.0 (c 1.0, DMSO). HRMS (ESI) calculated for C24H36N8O2S2 [M + H]+: 533.2475, found: 533.2476.
(3S,3′S)-1,1′-(4,8-di(thiazolidin-3-yl)pyrimido[5,4-d]pyrimidine-2,6-diyl)bis(pyrrolidin-3-ol) ((S)-5c). Yellow solid. Yield, 50%. = 60.0 (c 1.0, DMSO) 1H NMR (400 MHz, DMSO-d6) δ 5.26 (s, 4H), 4.89 (d, J = 3.1 Hz, 2H), 4.38–4.18 (m, 6H), 3.58–3.50 (m, 6H), 3.41 (s, 2H), 3.08 (t, J = 6.2 Hz, 4H), 2.08–1.91 (m, 2H), 1.91–1.71 (m, 2H). 13C NMR (126 MHz, DMSO) δ 158.00, 153.48, 131.94, 69.75, 55.18, 52.11, 51.83, 44.78, 34.10. HRMS (ESI) calculated for C20H28N8O2S2 [M + H]+: 477.1849, found: 477.1842.
(3R,3′R)-1,1′-(4,8-di(thiazolidin-3-yl)pyrimido[5,4-d]pyrimidine-2,6-diyl)bis(pyrrolidin-3-ol) ((R)-5c). Yellow solid. Yield, 60%. = −60.0 (c 1.0, DMSO). 1H NMR (400 MHz, DMSO-d6) δ 5.26 (s, 4H), 4.88 (d, J = 3.6 Hz, 2H), 4.39–4.13 (m, 6H), 3.60–3.47 (m, 6H), 3.41 (s, 2H), 3.08 (t, J = 6.3 Hz, 4H), 2.02–1.94 (m, 2H), 1.88–1.80 (m, 2H). 13C NMR (126 MHz, DMSO) δ 157.98, 153.46, 131.93, 69.75, 55.17, 52.11, 51.82, 44.77, 34.10. HRMS (ESI) calculated for C20H28N8O2S2 [M + H]+: 477.1849, found: 477.1849.
1,1′-(4,8-bis(4-fluoropiperidin-1-yl)pyrimido[5,4-d]pyrimidine-2,6-diyl)bis(piperidin-3-ol) (6a). Yellow solid. Yield, 58%. 1H NMR (500 MHz, DMSO-d6) δ 5.09–4.66 (m, 4H), 4.32 (s, 2H), 4.28–4.01 (m, 8H), 3.44 (s, 2H), 2.85 (s, 2H), 2.70 (s, 2H), 2.07–1.94 (m, 4H), 1.93–1.84 (m, 2H), 1.84–1.72 (m, 4H), 1.73–1.63 (m, 2H), 1.47–1.28 (m, 4H).13C NMR (126 MHz, CDCl3) δ 160.32, 155.09, 132.70, 89.43, 88.07, 66.79, 51.32, 45.00, 43.73, 32.97, 31.59 (d, J = 19.2 Hz), 21.98. HRMS (ESI) calculated for C26H38N8O2F2 [M + H]+: 533.3159, found: 533.3157.
(3R,3′R)-1,1′-(4,8-bis(4-fluoropiperidin-1-yl)pyrimido[5,4-d]pyrimidine-2,6-diyl)bis(piperidin-3-ol) ((R)-6a). Yellow solid. Yield, 49%. = 40.0 (c 1.0, DMSO). HRMS (ESI) calculated for C26H38N8O2F2 [M + H]+: 533.3159, found: 533.3159.
((4,8-bis(4-fluoropiperidin-1-yl)pyrimido[5,4-d]pyrimidine-2,6-diyl)bis(piperidine-1,3-diyl))dimethanol (6b). Yellow solid. Yield, 57%. 1H NMR (500 MHz, DMSO) δ 4.97 (s, 1H), 4.87 (s, 1H), 4.48 (s, 4H), 4.34 (d, J = 10.5 Hz, 2H), 4.24 (s, 4H), 4.07 (s, 4H), 3.28–3.23 (m, 2H), 2.89–2.77 (m, 2H), 2.62–2.53 (m, 2H), 2.05–1.95 (m, 4H), 1.84–1.69 (m, 6H), 1.65 (d, J = 11.1 Hz, 2H), 1.56 (s, 2H), 1.45–1.35 (m, 2H), 1.22–1.11 (m, 2H). HRMS (ESI) calculated for C28H42N8O2F2 [M + H]+: 561.3472, found: 561.3474.
1,1′-(4,8-bis(4-fluoropiperidin-1-yl)pyrimido[5,4-d]pyrimidine-2,6-diyl)bis(pyrrolidin-3-ol) (6c). Yellow solid. Yield, 46%. = 55.0 (c 1.0, Acetone). 1H NMR (400 MHz, DMSO-d6) δ 4.86 (s, 2H), 4.38–4.30 (m, 6H), 4.13 (s, 4H), 3.55–3.48 (m, 6H), 2.06–1.91 (m, 8H), 1.89–1.71 (m, 8H). HRMS (ESI) calculated for C24H34N8O2F2 [M + H]+: 505.2846, found: 505.2846.
3.1.5. General Procedure for Synthesis of Intermediate Compounds 7, 8a and 8b
To compound 2 (0.10 g, 0.37 mmol) and potassium carbonate (0.10 g, 0.74 mmol) in THF (6 mL), stirred under nitrogen at −78 °C, thiazolidine (0.04 g, 0.42 mmol) in THF (6 mL) was added dropwise from a syringe at a rate of 1 mL per min. After warming up for 10 min, a cloudy yellow solution was obtained. Water was added in the mixture, crude products were gained, filtered, dissolved and purified by silica gel column to yield 7. To a stirred solution of 7 in dry THF at 0 °C a solution of the appropriate amine (2.0 mol equiv.) in THF was added, stirring for 10–30 min. Water was added and extracted with ethyl acetate. The crude product was dried and purified by silica column chromatography.
3-(2,6,8-trichloropyrimido[5,4-d]pyrimidin-4-yl)thiazolidine (7). A pale-yellow solid. Yield, 60%. 1H NMR (400 MHz, CDCl3) δ 5.43 (s, 1H), 4.97 (s, 1H), 4.66 (t, J = 6.2 Hz, 1H), 4.22 (t, J = 6.3 Hz, 1H), 3.28 (t, J = 6.2 Hz, 1H), 3.14 (t, J = 6.3 Hz, 1H).
4-(2,6-dichloro-8-(thiazolidin-3-yl)pyrimido[5,4-d]pyrimidin-4-yl)thiomorpholine (8a). White solid. Yield, 55%. 1H NMR (400 MHz, CDCl3) δ 5.41 (s, 2H), 4.59 (m, 4H), 4.13 (s, 2H), 3.11 (m, 2H), 2.92–2.65 (m, 4H).
3-(2,6-dichloro-8-((3S)-3-fluorocyclopentyl)pyrimido[5,4-d]pyrimidin-4-yl)thiazolidine (8b). White solid. Yield, 50%. 1H NMR (400 MHz, CDCl3) δ 5.47 (s, 1H), 5.41–5.24 (m, 2H), 4.89–4.70 (m, 2H), 4.36–3.97 (m, 4H), 3.13 (s, 2H), 2.58–2.09 (m, 2H).
3.1.6. General Procedure for Synthesis of Target Compounds 9a and 9b
The synthesis method was the same as that used for 4a–i.
2,2′,2″,2‴-((4-(thiazolidin-3-yl)-8-thiomorpholinopyrimido[5,4-d]pyrimidine-2,6-diyl)bis(azanetriyl))tetrakis(ethan-1-ol) (9a). Yellow solid. Yield, 45%. 1H NMR (500 MHz, CDCl3) δ 5.15 (s, 2H), 4.40–4.27 (m, 4H), 4.27–4.15 (m, 2H), 3.97–3.84 (m, 8H), 3.82–3.72 (m, 8H), 3.67 (s, 2H), 3.49 (s, 2H), 3.14–3.03 (m, 2H), 2.85–2.62 (m, 4H). 13C NMR (126 MHz, DMSO-d6) δ 158.73, 158.35, 157.83, 154.10, 153.94, 153.60, 132.20, 132.01, 131.77, 59.82, 52.37, 52.31, 52.10, 52.02, 51.96, 51.88, 50.0, 27.00. HRMS (ESI) calculated for C21H34N8O4S2 [M + H]+: 527.2217, found: 527.2218.
(S)-2,2′,2″,2‴-((4-(3-fluoropyrrolidin-1-yl)-8-(thiazolidin-3-yl)pyrimido[5,4-d]pyrimidine-2,6-diyl)bis(azanetriyl))tetrakis(ethan-1-ol) (9b). Yellow solid. Yield, 46%. = 68.0 (c 1.0, Acetone). 1H NMR (400 MHz, CDCl3) δ 5.40 (s, 1H), 5.30–5.07 (m, 4H), 4.28–4.10 (m, 4H), 4.05–3.99 (m, 2H), 3.89 (s, 16H), 3.79–3.66 (m, 2H), 3.08 (t, J = 5.7 Hz, 2H), 2.43–2.24 (m, 2H). 13C NMR (101 MHz, DMSO-d6) δ 157.69, 157.50, 154.49, 154.17, 132.11, 131.07, 60.01 (d, J = 9.7 Hz), 52.00 (d, J = 20.5 Hz), 51.75, 49.06, 29.95. HRMS (ESI) calculated for C21H33N8O4FS [M + H]+: 513.2402, found: 513.2406.
3.2. In Vitro Assay for PDE5 Inhibitors
3.2.1. Protein Expression and Purification
The purification and expression of PDE5A protein is the same as the experimental protocols in our previous publication [23,24]. In brief, the catalytic structural domain encoding PDE5A (535-860) was cloned into the vector pET-15b, and then the cDNA was transferred to the E. coli strain BL21 (CodonPlus, Stratagene) for overexpression. When the cell carrying the plasmid was cultivated in LB medium at 37 °C to OD600 = 0.7, 0.1 mM isopropyl β-Dthiogalactopyranoside was added to induce PDE5A expression for an additional 40 h of growth at 15 °C. The PDE5A protein was purified through a Ni-NTA column (∅ = 2.5 cm, 15 mL QIAGEN agarose beads), Q-column (∅ 2.5 cm × 8 cm, GE Healthcare) and Superdex 200 column (∅ 2.5 cm × 45 cm, GE Healthcare). A typical batch yielded about 15 mg of the PDE5A protein from 2 L of cell culture with a purity >95% based on SDS-PAGE.
3.2.2. Enzymatic Assay of PDE5A
Using a 100-fold dilution of 3H-cGMP as the substrate, the assay buffer contained 50 mM Tris-HCl (pH 8.0), 10 mM MgCl2 and 1 mM DTT. Different solutions of tested compounds were added to the test group, DMSO was added to the negative control and blank control groups and sildenafil was added to the positive control group. Then protein solutions diluted with assay buffer were added and the blank group was added to assay buffer with no protein. The enzymatic reaction was performed at room temperature for 15 min, and then 0.2 M ZnSO4 was added to halt the reaction and 0.2 N Ba(OH)2 solution was added to precipitate the reaction product, and unreacted 3H-cGMP remained in the supernatant. The radioactivity of the supernatant was measured in 2.5 mL of Ultima Gold liquid scintillation cocktails using a liquid scintillation counter and the inhibitory activity of the compound against PDE5A was calculated. The above tests were performed three times.
3.3. Molecular Docking
The Accelrys Discovery Studio 2.5.5 software was used for molecular docking studies. Hydrogen atoms and partial charges were added to the crystal structure of PDE5 (PDB entry code 2H42) with the sildenafil bound using the CHARMM force field and the Momany–Rone partial charge method. All ionizable residues’ protonation states in the systems were determined at the pH value of 7.4. The zinc and magnesium ions were assigned with a charge of +2. Original ligand in the complex was used to define the docking site of PDE5, and the radius of the input sphere was set to 10 Å from the center of the site. To determine the optimal parameters for a reliable docking method, the original inhibitor was extracted from the crystal structures and redocked back into the crystal structure. The CDOCKER method embedded in Accelrys Discovery Studio (version 2.5.5, Accelrys Inc., San Diego, CA, USA) was suitable for PDE5. Average RSMD (root-mean-square deviation) values were less than 1.0 Å for the docking poses compared to the original X-ray pose. Then, the default parameters were used for the docking of the designed molecules. Twenty conformations were prepared for each molecule.
4. Conclusions
In conclusion, in this study, a series of novel pyrimidopyrimidine derivatives have been designed, synthesized and evaluated as PDE5 inhibitors with the assistance of molecular docking. Most of the designed compounds showed good inhibition ratios against PDE5. Compounds with comparable activity to dipyridamole exhibited excellent metabolic stability, among which compound (S)-4h was stable in rat liver microsomes with a T1/2 of 67 min. The SAR of target compounds was rationally explained by binding patterns, providing evidence for the further rational design of novel PDE5 inhibitors for the treatment of IPF.
Supplementary Materials
The following supporting information can be downloaded at: https://www.mdpi.com/article/10.3390/molecules27113452/s1. The spectra of 1H-NMR, 13C-NMR and HRMS for the target compounds are available online.
Author Contributions
Conceptualization, project administration, investigation, M.-X.H., Y.-Q.C., R.-D.L., Y.H. C.Z.; writing—original draft preparation, M.-X.H.; writing—review and editing, C.Z. All authors have read and agreed to the published version of the manuscript.
Funding
This work was supported by the Natural Science Foundation of China (82003652) and China Post-doctoral Science Foundation funded project (2020T130152ZX).
Institutional Review Board Statement
Not applicable.
Informed Consent Statement
Not applicable.
Data Availability Statement
The data presented in this study are available within the article and Supplementary Materials.
Acknowledgments
We cordially thank the anonymous reviewers’ valuable comments and kind proofreading of the manuscript. We cordially thank H.K. from Department of Biochemistry and Biophysics at University of North Carolina, Chapel Hill, for his assistance with the molecular cloning, expression, purification, determination of the crystal structures and bioassay of PDEs.
Conflicts of Interest
The authors declare no conflict of interest.
Sample Availability
Samples of the compounds are not available from the authors.
References
- Lederer, D.J.; Martinez, F.J. Idiopathic Pulmonary Fibrosis. N. Engl. J. Med. 2018, 378, 1811–1823. [Google Scholar] [CrossRef]
- Richeldi, L.; Collard, H.R.; Jones, M.G. Idiopathic pulmonary fibrosis. Lancet 2017, 389, 1941–1952. [Google Scholar] [CrossRef]
- Raghu, G.; Chen, S.-Y.; Hou, Q.; Yeh, W.-S.; Collard, H.R. Incidence and prevalence of idiopathic pulmonary fibrosis in US adults 18-64 years old. Eur. Respir. J. 2016, 48, 179–186. [Google Scholar] [CrossRef] [Green Version]
- Raghu, G.; Collard, H.R.; Egan, J.J.; Martinez, F.J.; Behr, J.; Brown, K.K.; Colby, T.V.; Cordier, J.-F.; Flaherty, K.R.; Lasky, J.A.; et al. An Official ATS/ERSARS/ALAT Statement: Idiopathic Pulmonary Fibrosis: Evidence-based Guidelines for Diagnosis and Management. Am. J. Respir. Crit. Care 2011, 183, 788–824. [Google Scholar] [CrossRef] [PubMed]
- Hutchinson, J.; Fogarty, A.; Hubbard, R.; McKeever, T. Global incidence and mortality of idiopathic pulmonary fibrosis: A systematic review. Eur. Respir. J. 2015, 46, 795–806. [Google Scholar] [CrossRef] [Green Version]
- Wynn, T.A. Integrating mechanisms of pulmonary fibrosis. J. Exp. Med. 2011, 208, 1339–1350. [Google Scholar] [CrossRef] [Green Version]
- Wolters, P.J.; Collard, H.R.; Jones, K.D. Pathogenesis of idiopathic pulmonary fibrosis. Annu. Rev. Pathol. 2014, 9, 157–179. [Google Scholar] [CrossRef] [Green Version]
- Sergew, A.; Brown, K.K. Advances in the treatment of idiopathic pulmonary fibrosis. Expert Opin. Emerg. Drugs 2015, 20, 537–552. [Google Scholar] [CrossRef]
- Thomson, C.C.; Duggal, A.; Bice, T.; Lederer, D.J.; Wilson, K.C.; Raghu, G. 2018 Clinical Practice Guideline Summary for Clinicians: Diagnosis of Idiopathic Pulmonary Fibrosis. Ann. Am. Thorac. Soc. 2019, 16, 285–290. [Google Scholar] [CrossRef]
- George, P.M.; Wells, A.U.; Jenkins, R.G. Pulmonary fibrosis and COVID-19: The potential role for antifibrotic therapy. Lancet Respir. Med. 2020, 8, 807–815. [Google Scholar] [CrossRef]
- Yip, S.; Benavente, O. Antiplatelet Agents for Stroke Prevention. Neurotherapeutics 2011, 8, 475. [Google Scholar] [CrossRef] [PubMed] [Green Version]
- Gresele, P.; Momi, S.; Falcinelli, E. Anti-platelet therapy: Phosphodiesterase inhibitors. Br. J. Clin. Pharmacol. 2011, 72, 634–646. [Google Scholar] [CrossRef] [PubMed] [Green Version]
- Kim, S.; Saigal, A.; Zhao, W.; Amini, P.; Tamburino, A.M.; Raghavan, S.; Hoek, M. Identification of the Molecular Basis of Anti-fibrotic Effects of Soluble Guanylate Cyclase Activator Using the Human Lung Fibroblast Phosphoproteome. J. bioRxiv 2020, 1, 1–26. [Google Scholar] [CrossRef]
- Zisman, D.A.; Schwarz, M.; Anstrom, K.J.; Collard, H.R.; Flaherty, K.R.; Hunninghake, G.W.; Idiopathic Pulm Fibrosis, C. A Controlled Trial of Sildenafil in Advanced Idiopathic Pulmonary Fibrosis. N. Engl. J. Med. 2010, 363, 620–628. [Google Scholar] [CrossRef] [PubMed] [Green Version]
- Liu, X.; Li, Z.; Liu, S.; Sun, J.; Chen, Z.; Jiang, M.; Zhang, Q.; Wei, Y.; Wang, X.; Huang, Y.Y.; et al. Potential therapeutic effects of dipyridamole in the severely ill patients with COVID-19. Acta Pharm. Sin. B 2020, 10, 1205–1215. [Google Scholar] [CrossRef]
- Luo, H.B.; Wu, Y.N.; Li, Z.; Tian, Y.J.; Zhou, Q. Application of dipyridamoletable or pharmaceutically acceptable salt thereof in preparation of medicine for preventing and/ or treating lung inflammation. Faming Zhuanli Shenqing Gongkai Shuomingshu CN 111388476A, 10 July 2020. (In Chinese). [Google Scholar]
- Wu, Y.; Zhou, Q.; Zhang, T.; Li, Z.; Chen, Y.-P.; Zhang, P.; Yu, Y.-F.; Geng, H.; Tian, Y.-J.; Zhang, C.; et al. Discovery of Potent, Selective, and Orally Bioavailable Inhibitors against Phosphodiesterase-9, a Novel Target for the Treatment of Vascular Dementia. J. Med. Chem. 2019, 62, 4218–4224. [Google Scholar] [CrossRef] [PubMed]
- Wu, Y.; Wang, Q.; Jiang, M.-Y.; Huang, Y.-Y.; Zhu, Z.; Han, C.; Tian, Y.-J.; Zhang, B.; Luo, H.-B. Discovery of Potent Phosphodiesterase-9 Inhibitors for the Treatment of Hepatic Fibrosis. J. Med. Chem. 2021, 64, 9537–9549. [Google Scholar] [CrossRef]
- Northen, J.S.; Boyle, F.T.; Clegg, W.; Curtin, N.J.; Edwards, A.J.; Griffin, R.J.; Golding, B.T. Controlled stepwise conversion of 2,4,6,8-tetrachloropyrimido [5,4-d]pyrimidine into 2,4,6,8-tetrasubstituted pyrimido [5,4-d]pyrimidines. J. Chem. Soc. Perkin Trans. 2002, 1, 108–115. [Google Scholar] [CrossRef]
- Purser, S.; Moore, P.R.; Swallow, S.; Gouverneur, V. Fluorine in medicinal chemistry. Chem. Soc. Rev. 2008, 37, 320–330. [Google Scholar] [CrossRef]
- Gillis, E.P.; Eastman, K.J.; Hill, M.D.; Donnelly, D.J.; Meanwell, N.A. Applications of Fluorine in Medicinal Chemistry. J. Med. Chem. 2015, 58, 8315–8359. [Google Scholar] [CrossRef]
- Curtin, N.J.; Barlow, H.C.; Bowman, K.J.; Calvert, A.H.; Davison, R.; Golding, B.T.; Huang, B.; Loughlin, P.J.; Newell, D.R.; Smith, P.G.; et al. Resistance-Modifying Agents. 11. Pyrimido [5,4-d]pyrimidine Modulators of Antitumor Drug Activity. Synthesis and Structure−Activity Relationships for Nucleoside Transport Inhibition and Binding to α1-Acid Glycoprotein. J. Med. Chem. 2004, 47, 4905–4922. [Google Scholar] [CrossRef] [PubMed]
- Shang, N.N.; Shao, Y.X.; Cai, Y.H.; Guan, M.; Huang, M.; Cui, W.; He, L.; Yu, Y.J.; Huang, L.; Li, Z.; et al. Discovery of 3-(4-hydroxybenzyl)-1-(thiophen-2-yl)chromeno [2,3-c]pyrrol-9(2H)-one as a phosphodiesterase-5 inhibitor and its complex crystal structure. Biochem. Pharmacol. 2014, 89, 86–98. [Google Scholar] [CrossRef] [PubMed]
- Shao, Y.-X.; Huang, M.; Cui, W.; Feng, L.-J.; Wu, Y.; Cai, Y.; Li, Z.; Zhu, X.; Liu, P.; Wan, Y.; et al. Discovery of a Phosphodiesterase 9A Inhibitor as a Potential Hypoglycemic Agent. J. Med. Chem. 2014, 57, 10304–10313. [Google Scholar] [CrossRef] [PubMed] [Green Version]
Publisher’s Note: MDPI stays neutral with regard to jurisdictional claims in published maps and institutional affiliations. |
© 2022 by the authors. Licensee MDPI, Basel, Switzerland. This article is an open access article distributed under the terms and conditions of the Creative Commons Attribution (CC BY) license (https://creativecommons.org/licenses/by/4.0/).



































