Polycyclic Phenol Derivatives from the Leaves of Spermacoce latifolia and Their Antibacterial and α-Glucosidase Inhibitory Activity
Abstract
:1. Introduction
2. Results and Discussion
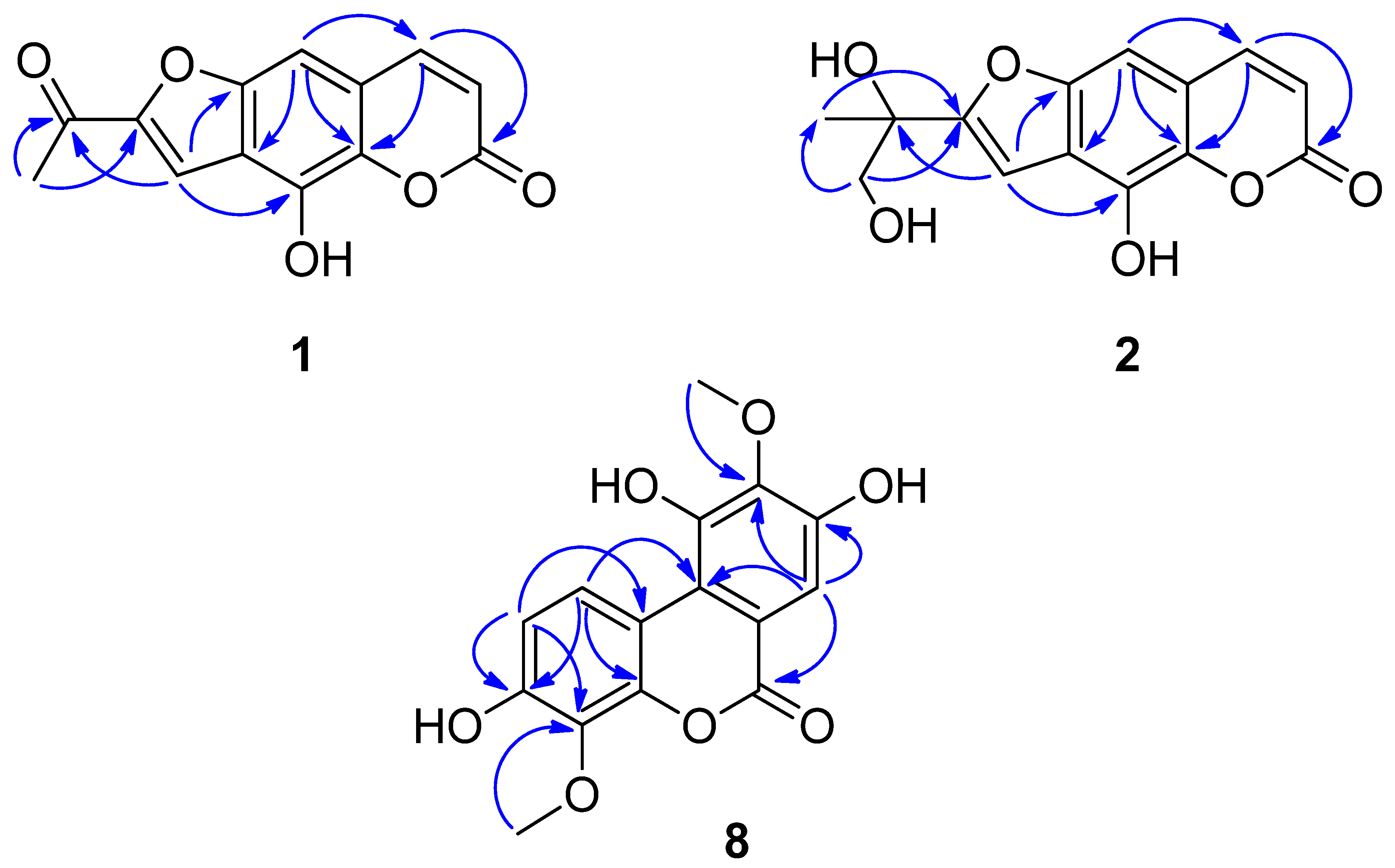
2.1. Structure Elucidation of the Compounds
2.2. Antibacterial Activity Evaluation
2.3. α-Glucosidase Inhibitory Activity Evaluation
3. Materials and Methods
3.1. General Experimental Procedures
3.2. Plant Material
3.3. Extraction and Isolation
3.4. Spectroscopic Data of Compounds 1, 2 and 8
3.5. Antibacterial Assay
3.6. α-Glucosidase Inhibition Assay
4. Conclusions
Supplementary Materials
Author Contributions
Funding
Institutional Review Board Statement
Informed Consent Statement
Data Availability Statement
Acknowledgments
Conflicts of Interest
Sample Availability
References
- Dessein, S.; Robbrecht, E.; Smets, E. A new heterophyllous Spermacoce species (Rubiaceae) from the Marungu highlands (D.R.Congo). Novon 2006, 16, 231–234. [Google Scholar] [CrossRef] [Green Version]
- Conserva, L.M.; Ferreira, J.C. Borreria and Spermacoce species (Rubiaceae): A review of their ethnomedicinal properties, chemical constituents, and biological activities. Pharmacogn Rev. 2012, 6, 46–55. [Google Scholar] [CrossRef] [PubMed] [Green Version]
- Zamora-Martinez, M.C.; Pola, C.N. Medicinal plants used in some rural populations of Oaxaca, Puebla and Veracruz, Mexico. J. Ethnopharmacol. 1992, 35, 229–257. [Google Scholar] [CrossRef]
- Vieira, I.J.; Mathias, L.; Braz-Filho, R.; Schripsema, J. Iridoids from Borreria verticillata. Org. Lett. 1999, 1, 119–1171. [Google Scholar] [CrossRef]
- Moreira, V.F.; Oliveira, R.R.; Mathias, L.; Braz-Filho, R.; Vieira, I.J. New chemical constituents from Borreria verticillata (Rubiaceae). Helv. Chim. Acta. 2010, 93, 1751–1757. [Google Scholar] [CrossRef]
- Hong, S.S.; Miao, C.C.; Fanf, B.J.; Hu, R.Y.; Ding, B.Y. On species diversity, niche breath and interspecies association in communities invaded by Spermacoce latifolia Zhejiang province. J. Wuhan Bot. Res. 2008, 26, 501–508. [Google Scholar]
- Zhang, T.-J.; Cui, Y.; Guo, W.-L.; Tian, X.-S. Research progress on the exotic plant species Borreria latifolia. Weed Sci. 2019, 37, 1–5. [Google Scholar]
- Manandlar, N.P. An inventory of some vegetable drug resources of Makawanpur district Nepal. Fitoterapia 1995, 66, 231–238. [Google Scholar]
- Pereira, Z.V.; Carvalho-Okano, R.M.; Garcia, F.C.; Rubiaceae Juss. da Reserva Florestal Mata do Paraíso, Viçosa, MG, Brasil. Acta. Bot. Bras. 2006, 20, 207–224. [Google Scholar] [CrossRef]
- Kohei, K.; Yasuhiro, F.; Yasuhisa, S.; Endang, H.; Umar, M.; Toshiko, S. Studies on the constituents of Indonesian Borreria latifolia. Heterocycles 2002, 56, 537–544. [Google Scholar]
- Fair, R.J.; Tor, Y. Antibiotics and bacterial resistance in the 21st century. Perspect. Med. Chem. 2014, 6, 25–64. [Google Scholar] [CrossRef] [PubMed] [Green Version]
- Oboh, M.; Govender, L.; Siwela, M.; Mkhwanazi, B.N. Anti-diabetic potential of plant-based pentacyclic triterpene derivatives: Progress made to improve efficacy and bioavailability. Molecules 2021, 26, 7243. [Google Scholar] [CrossRef] [PubMed]
- Ieyama, T.; Gunawan-Puteri, M.D.P.T.; Kawabata, J. a-Glucosidase inhibitors from the bulb of Eleutherine americana. Food Chem. 2011, 128, 308–311. [Google Scholar] [CrossRef] [PubMed]
- Gao, Y.; Bian, W.; Fang, Y.; Du, P.; Liu, X.; Zhao, X.; Li, F. α-Glucosidase inhibitory activity of fermented okara broth started with the strain Bacillus amyloliquefaciens SY07. Molecules 2022, 27, 1127. [Google Scholar] [CrossRef]
- Feng, J.; Yang, X.W.; Wang, R.F. Bio-assay guided isolation and identification of α-glucosidase inhibitors from the leaves of Aquilaria sinensis. Phytochemistry 2011, 72, 242–247. [Google Scholar] [CrossRef]
- Luo, Y.; Xu, Q.-L.; Dong, L.-M.; Zhou, Z.-Y.; Chen, Y.-C.; Zhang, W.-M.; Tan, J.-W. A new ursane and a new oleanane triterpene acids from the whole plant of Spermacoce latifolia. Phytochem. Lett. 2015, 11, 127–131. [Google Scholar] [CrossRef]
- Luo, Y.; Shen, H.-Y.; Shen, Q.-X.; Cao, C.-H.; Zhang, M.; Long, S.-Y.; Wang, Z.-B.; Tan, J.-W. A new anthraquinone and a new naphthoquinone from the whole plant of Spermacoce latifolia. J. Asian Nat. Prod. Res. 2017, 19, 869–876. [Google Scholar] [CrossRef]
- Row, E.C.; Brown, S.A.; Stachulski, A.V.; Lennard, M.S. Synthesis of 8-geranyloxypsoralen analogues and their evaluation as inhibitors of CYP3A4. Bioorganic Med. Chem. 2006, 14, 3865–3871. [Google Scholar] [CrossRef]
- Bai, N.; He, K.; Roller, M.; Zheng, B.; Chen, X.; Shao, Z.; Peng, T.; Zheng, Q. Active compounds from Lagerstroemia speciosa, insulin-like glucose uptake-stimulatory/inhibitory and adipocyte differentiation-inhibitory activities in 3T3-L1 cells. J. Agric. Food Chem. 2008, 56, 11668–11674. [Google Scholar] [CrossRef]
- Elgamal MH, A.; Shalaby, N.M.; Duddeck, H.; Hiegemann, M. Coumarins and coumarin giucosides from the fruits of Ammi-Majus. Phytochemistry 1993, 34, 819–823. [Google Scholar] [CrossRef]
- Mohamed, G.A.; Ibrahim, S.R.M.; Shaaban, M.I.A.; Ross, S.A. Mangostanaxanthones I and II, new xanthones from the pericarp of Garcinia mangostana. Fitoterapia 2014, 98, 215–221. [Google Scholar] [CrossRef] [PubMed]
- Wang, Q.-J.; Wang, Y.-S.; He, L.; Zhang, S. Study on the chemical constituents of Ipomoea Pescaprae (L.) Sweet (I). Chin. J. Mar. Drugs 2006, 25, 15–17. [Google Scholar]
- Jerezano, A.; Jimenez, F.; Cruz, M.D. New approach for the construction of the coumarin frame and application in the total synthesis of natural products. Helv. Chim. Acta 2011, 94, 195–198. [Google Scholar] [CrossRef]
- Dudek-Makuch, M.; Matławska, I. Coumarins in Horse chestnut flowers: Isolation and quantification by UPLC method. Acta Pol. Pharm. 2013, 70, 517–522. [Google Scholar]
- Guo, Y.-S.; Wang, G.-C.; Wang, C.-H.; Huang, X.-J.; Li, Y.-L.; Ye, W.-C. Chemical Constituents from Origanum vulgare. Chin. Pharm. J. 2012, 47, 1109–1113. [Google Scholar]
- Shin, H.J.; Nam, J.W.; Yoon, U.J.; Han, A.R.; Seo, E.K. Identification of three new flavonoids from the peels of Citrus unshiu. Helv. Chim. Acta 2012, 95, 240–245. [Google Scholar] [CrossRef]
- Yang, R.; Li, P.; Li, N.; Zhang, Q.; Bai, X.; Wang, L.; Xiao, Y.; Sun, L.; Yang, Q.; Yan, J. Xanthones from the pericarp of Garcinia mangostana. Molecules 2017, 22, 683. [Google Scholar] [CrossRef] [Green Version]
- Brown, E.D.; Wright, G.D. Antibacterial drug discovery in the resistance era. Nature 2016, 529, 336–343. [Google Scholar] [CrossRef]
- Piasecki, B.; Biernasiuk, A.; Skiba, A.; Skalicka-Wo’zniak, K.; Ludwiczuk, A. Composition, Anti-MRSA Activity and Toxicity of Essential Oils from Cymbopogon Species. Molecules 2021, 26, 7542. [Google Scholar] [CrossRef]
- Yang, C.S.; Liu, W.E. Advances on mechanism of drug-resistance to MRSA and test method of molecular biology. Chin. J. Nosocomiol. 2007, 17, 356–358. [Google Scholar]
- Bal, A.; David, M.; Garau, J.; Gottlieb, T.; Mazzei, T.; Scaglione, F.; Tattevin, P.; Gould, I. Future trends in the treatment of methicillin-resistant Staphylococcus aureus (MRSA) infection: An in-depth review of newer antibiotics active against an enduring pathogen. J. Glob. Antimicrob. Resist. 2017, 10, 295–303. [Google Scholar] [CrossRef] [PubMed]
- Tong, S.Y.; Davis, J.S.; Eichenberger, E.; Holland, T.L.; Fowler, V.G. Staphylococcus aureus infections: Epidemiology, pathophysiology, clinical manifestations, and management. Clin. Microbiol. Rev. 2015, 28, 603–661. [Google Scholar] [CrossRef] [PubMed] [Green Version]
- Han, J.H.; Edelstein, P.H.; Lautenbach, E. Reduced vancomycin susceptibility and Staphylococcal cassette chromosome mec (SCCmec) type distribution in methicillin-resistant Staphylococcus aureus bacteraemia. J. Antimicrob. Chemoth. 2012, 67, 2346–2349. [Google Scholar] [CrossRef] [PubMed] [Green Version]
- Hassoun, A.; Linden, P.K.; Friedman, B. Incidence, prevalence, and management of MRSA bacteremia across patient populationsda review of recent developments in MRSA management and treatment. Crit. Care 2017, 21, 211. [Google Scholar] [CrossRef] [Green Version]
- Moise, P.A.; Amodio-Groton, M.; Rashid, M.; Lamp, K.C.; Hoffman-Roberts, H.L.; Sakoulas, G.; Yoon, M.J.; Schweitzer, S.; Rastogi, A. Multicenter evaluation of the clinical outcomes of daptomycin with and without concomitant b-lactams in patients with Staphylococcus aureus bacteremia and mild to moderate renal impairment. Antimicrob. Agents Chemother. 2013, 57, 1192–1200. [Google Scholar] [CrossRef] [Green Version]
- Moore, C.L.; Osakikiyan, P.; Haque, N.Z.; Perri, M.B.; Donabedian, S.; Zervos, M.J. Daptomycin versus vancomycin for bloodstream infections due to methicillin resistant Staphylococcus aureus with a high vancomycin minimum inhibitory concentration: A case-control study. Clin. Infect. Dis. 2012, 54, 51–58. [Google Scholar] [CrossRef]
- Vaneperen, A.S.; Segreti, J. Empirical therapy in methicillin-resistant Staphylococcus aureus infections: An up-to-date approach. J. Infect. Chemother. 2016, 22, 351–359. [Google Scholar] [CrossRef] [Green Version]
- Kumar, S.; Narwal, S.; Kumar, V.; Prakash, O. α-Glucosidase inhibitors from plants: A natural approach to treat diabetes. Pharmacogn. Rev. 2011, 5, 19–29. [Google Scholar] [CrossRef] [Green Version]
- Shehadeh, M.B.; Suaifan, G.A.R.Y.; Abu-Odeh, A.M. Plants secondary metabolites as blood glucose-lowering molecules. Molecules 2021, 26, 4333. [Google Scholar] [CrossRef]
- Rahman, M.M.; Gray, A.I. A benzoisofuranone derivative and carbazole alkaloids from Murraya koenigii and their antimicrobial activity. Phytochemistry 2005, 66, 1601–1606. [Google Scholar] [CrossRef]
- Wang, J.; Xu, Q.L.; Zheng, M.-F.; Ren, H.; Lei, T.; Wu, P.; Zhou, Z.-Y.; Wei, X.-Y.; Tan, J.-W. Bioactive 30-Noroleanane Triterpenes from the Pericarps of Akebia trifoliata. Molecules 2014, 19, 4301–4312. [Google Scholar] [CrossRef] [PubMed] [Green Version]
- Li, W.; Fu, H.W.; Bai, H.; Sasaki, T.; Kato, H.; Koike, K. Triterpenoid saponins from Rubus ellipticus var. obcordatus. J. Nat. Prod. 2009, 72, 1755–1760. [Google Scholar] [CrossRef] [PubMed]

) correlations of new compounds 1, 2 and 8.
| No | δC (1) | δH (1) | δC (2) | δH (2) |
|---|---|---|---|---|
| 2 | 153.4 C | ― | 164.0 C | ― |
| 3 | 110.1 CH | 7.96 (s) | 100.9 CH | 6.99 (s) |
| 3a | 118.0 C | ― | 119.9 C | ― |
| 4 | 142.5 C | ― | 143.9 C | ― |
| 4a | 140.7 C | ― | 142.0 C | ― |
| 6 | 161.2 C | ― | 163.8 C | ― |
| 7 | 114.2 CH | 6.42 (d, 9.6) | 114.1 CH | 6.32 (d, 9.5) |
| 8 | 144.9 CH | 7.96 (d, 9.6) | 147.1 CH | 7.92 (d, 9.5) |
| 8a | 114.8 C | ― | 115.7 C | ― |
| 9 | 110.7 CH | 7.07 (s) | 108.7 CH | 6.80 (s) |
| 9a | 147.2 C | ― | 148.9 C | ― |
| 1′ | 188.4 C | ― | 73.1 C | ― |
| 2′ | 25.2 CH3 | 2.64 (s) | 69.5 CH2 | 3.81 (s) |
| 3′ | 23.8 CH3 | 1.62 (s) |
| No. | δ (H) | δ (C) | No. | δ (H) | δ (C) |
|---|---|---|---|---|---|
| 1 | 8.64 (1H, d, 9.1) | 123.7 t | 8 | −− | 151.4 q |
| 2 | 6.82 (1H, d, 9.1) | 113.4 t | 9 | −− | 142.9 q |
| 3 | −− | 151.3 q | 10 | −− | 149.3 q |
| 4 | −− | 136.0 q | 10a | −− | 117.9 q |
| 4a | −− | 145.4 q | 10b | −− | 112.9 q |
| 6 | −− | 163.2 q | 4-OCH3 | 3.94 (3H, s) | 61.7 s |
| 6a | −− | 116.6 q | 9-OCH3 | 3.97 (3H, s) | 61.0 s |
| 7 | 7.38 (1H, s) | 108.9 t |
| Compounds | SA | MRSA | BS | BC | EC |
|---|---|---|---|---|---|
| 1 | 62.5 | >100 | 31.25 | 31.25 | >100 |
| 2 | 62.5 | >100 | 62.5 | 62.5 | >100 |
| 3 | >100 | >100 | >100 | >100 | >100 |
| 4 | 1.95 | 1.95 | 1.95 | 1.95 | >100 |
| 5 | 31.25 | >100 | 7.81 | 31.25 | >100 |
| 6 | >100 | >100 | >100 | >100 | >100 |
| 7 | >100 | >100 | >100 | >100 | >100 |
| 8 | 15.6 | >100 | 15.6 | 31.25 | >100 |
| 9 | >100 | >100 | >100 | >100 | >100 |
| 10 | 62.5 | >100 | 15.6 | 62.5 | >100 |
| K | 1.95 | >100 | 1.95 | 3.9 | 1.95 |
| V | 1.95 | 3.9 | 1.95 | 1.95 | >100 |
| Compounds | IC50 (mM) | Compounds | IC50 (mM) |
|---|---|---|---|
| 1 | 0.525 ± 0.004 a | 6 | 0.237 ± 0.001 d |
| 2 | >1.0 | 7 | >1.0 |
| 3 | >1.0 | 8 | 0.184 ± 0.002 e |
| 4 | 0.162 ± 0.002 e | 9 | 0.026 ± 0.001 f |
| 5 | 0.284 ± 0.003 c | 10 | >1.0 |
| Acarbose | 0.408 ± 0.006 b |
Publisher’s Note: MDPI stays neutral with regard to jurisdictional claims in published maps and institutional affiliations. |
© 2022 by the authors. Licensee MDPI, Basel, Switzerland. This article is an open access article distributed under the terms and conditions of the Creative Commons Attribution (CC BY) license (https://creativecommons.org/licenses/by/4.0/).
Share and Cite
Liu, S.-B.; Zeng, L.; Xu, Q.-L.; Chen, Y.-L.; Lou, T.; Zhang, S.-X.; Tan, J.-W. Polycyclic Phenol Derivatives from the Leaves of Spermacoce latifolia and Their Antibacterial and α-Glucosidase Inhibitory Activity. Molecules 2022, 27, 3334. https://doi.org/10.3390/molecules27103334
Liu S-B, Zeng L, Xu Q-L, Chen Y-L, Lou T, Zhang S-X, Tan J-W. Polycyclic Phenol Derivatives from the Leaves of Spermacoce latifolia and Their Antibacterial and α-Glucosidase Inhibitory Activity. Molecules. 2022; 27(10):3334. https://doi.org/10.3390/molecules27103334
Chicago/Turabian StyleLiu, Shao-Bo, Lei Zeng, Qiao-Lin Xu, Ying-Le Chen, Tao Lou, Shan-Xuan Zhang, and Jian-Wen Tan. 2022. "Polycyclic Phenol Derivatives from the Leaves of Spermacoce latifolia and Their Antibacterial and α-Glucosidase Inhibitory Activity" Molecules 27, no. 10: 3334. https://doi.org/10.3390/molecules27103334
APA StyleLiu, S.-B., Zeng, L., Xu, Q.-L., Chen, Y.-L., Lou, T., Zhang, S.-X., & Tan, J.-W. (2022). Polycyclic Phenol Derivatives from the Leaves of Spermacoce latifolia and Their Antibacterial and α-Glucosidase Inhibitory Activity. Molecules, 27(10), 3334. https://doi.org/10.3390/molecules27103334
