Co-Ingestion of Natal Plums (Carissa macrocarpa) and Marula Nuts (Sclerocarya birrea) in a Snack Bar and Its Effect on Phenolic Compounds and Bioactivities
Abstract
:1. Introduction
2. Results and Discussion
2.1. Identification of Anthocyanins in Natal Plum and Natal Plum–Marula Nut Bar
2.2. Effect of Enrichment and Co-Ingestion on Total Phenolic Content
2.3. Changes in Bioaccessibility of Anthocyanins and Other Polyphenols after Simulated Co-Digestion of Natal Plum and Marula Nut
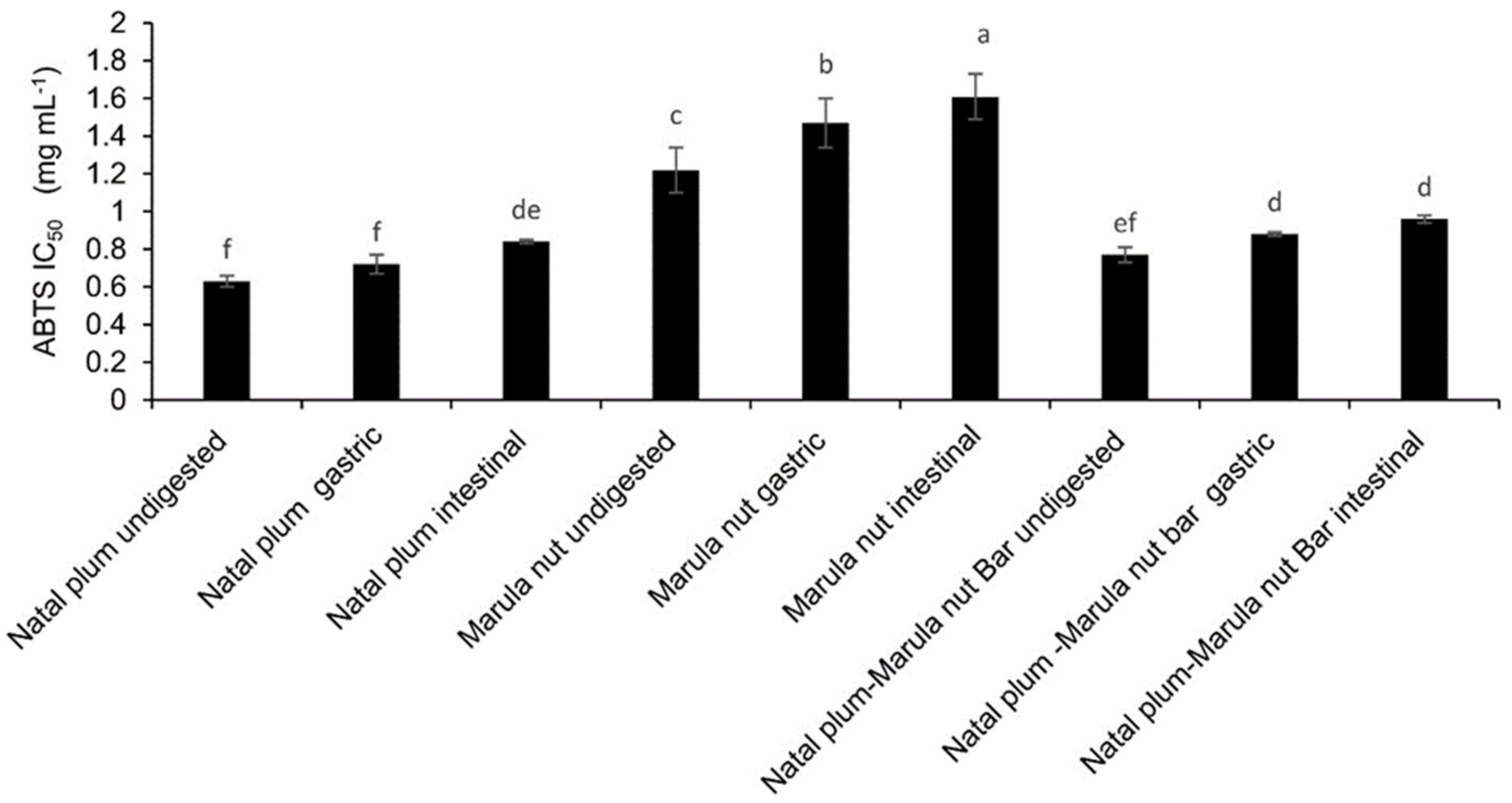
2.4. Effect of Enrichment and Co-Ingestion on Antioxidant Properties
2.5. Correlations between Total Phenolics or Antioxidant Capacity with Different Phenolic Compounds
2.6. Effect of Co-Ingestion on α-Glucosidase Inhibition
3. Materials and Methods
3.1. Materials
3.2. Bar Preparation
3.3. Simulated Gastro-Intestinal Digestion
3.3.1. Preparation of Materials Simulated Digestion Fluid and Digestion Procedure
| Stock Solutions | SSF | SGF | SIF |
|---|---|---|---|
| Distilled water | 400 mL | 400 mL | 400 mL |
| 2 M NaCl | - | 11.8 mL | 9.6 mL |
| 0.5 M KCl | 15mL | 6.9 mL | 6.8 mL |
| 1 M NaHCO3 | 6.8 mL | 12.5 mL | 42.5 mL |
| 0.3 M CaCl2·H2O | 0.025mL | 0.005 mL | 0.04 mL |
| 0.5 M KH2PO4 | 3.7 mL | 0.9 mL | 0.8 mL |
| 0.5 M (NH4)2CO3 | 0.06mL | 0.5 mL | - |
| 0.15 M MgCl2·H2O | 0.5 mL | 0.4 mL | 1.1 mL |
| 6 M HCl | 0.09mL | 0.7 mL | 0.7 mL |
| pH | 6.8 ± 0.2 | 1.30 ± 0.02 | 8.1 ± 0.2 |
3.3.2. Extraction of Phenolics from Undigested and Digested Natal Plum Fruit, Marula Nut or Natal Plum–Marula Nut Bar Samples
3.4. Determination of Total Phenolic Content (TPC)
3.5. Antioxidant Activity
3.5.1. DPPH Radical Scavenging Activity
3.5.2. Ferric-Reducing Antioxidant Power (FRAP)
3.5.3. ABTS Radical Scavenging Capacity
3.6. Identification of Anthocyanins in Natal Plum Using UHPLC/Q-TOF-MS
3.7. Bioaccessibility Calculation
3.8. Determination of α-Glucosidase Inhibition
3.9. Data Analysis
4. Conclusions
Supplementary Materials
Author Contributions
Funding
Institutional Review Board Statement
Informed Consent Statement
Data Availability Statement
Conflicts of Interest
References
- Ndou, A.; Tinyani, P.P.; Slabbert, R.M.; Sultanbawa, Y.; Sivakumar, D. An integrated approach for harvesting Natal plum (Carissa macrocarpa) for quality and functional compounds related to maturity stages. Food Chem. 2019, 293, 499–510. [Google Scholar] [CrossRef]
- Carrillo, C.; Kamiloglu, S.; Grootaert, C.; Van Camp, J.; Hendrickx, M. Co-ingestion of black carrot and strawberry. Effects on anthocyanin stability, bioaccessibility and uptake. Foods 2020, 9, 1595. [Google Scholar] [CrossRef]
- Eker, M.E.; Aaby, K.; Budic-Leto, I.; Rimac Brnčić, S.; El, S.N.; Karakaya, S.; Simsek, S.; Manach, C.; Wiczkowski, W.; de Pascual-Teresa, S. A review of factors affecting anthocyanin bioavailability: Possible implications for the inter-individual variability. Foods 2019, 9, 2. [Google Scholar] [CrossRef] [Green Version]
- Wu, X.; Beecher, G.R.; Holden, J.M.; Haytowitz, D.B.; Gebhardt, S.E.; Prior, R.L. Concentrations of anthocyanins in common foods in the United States and estimation of normal consumption. J. Agric. Food Chem. 2006, 54, 4069–4075. [Google Scholar] [CrossRef]
- Seke, F.; Manhivi, V.E.; Shoko, T.; Slabbert, R.M.; Sultanbawa, Y.; Sivakumar, D. Effect of freeze drying and simulated gastrointestinal digestion on phenolic metabolites and antioxidant property of the natal plum (Carissa macrocarpa). Foods 2021, 10, 1420. [Google Scholar] [CrossRef]
- Seke, F.; Manhivi, V.E.; Shoko, T.; Slabbert, R.M.; Sultanbawa, Y.; Sivakumar, D. Extraction optimisation, hydrolysis, antioxidant properties and bioaccessibility of phenolic compounds in Natal plum fruit (Carissa macrocarpa). Food Biosci. 2021, 44, 101425. [Google Scholar] [CrossRef]
- Khoo, H.E.; Azlan, A.; Tang, S.T.; Lim, S.M. Anthocyanidins and anthocyanins: Colored pigments as food, pharmaceutical ingredients, and the potential health benefits. Food Nutr. Res 2017, 61, 1361779. [Google Scholar] [CrossRef] [Green Version]
- Charron, C.S.; Kurilich, A.C.; Clevidence, B.A.; Simon, P.W.; Harrison, D.J.; Britz, S.J.; Baer, D.J.; Novotny, J.A. Bioavailability of anthocyanins from purple carrot juice: Effects of acylation and plant matrix. J. Agric. Food Chem. 2009, 57, 1226–1230. [Google Scholar] [CrossRef]
- Novotny, J.A.; Clevidence, B.A.; Kurilich, A.C. Anthocyanin kinetics are dependent on anthocyanin structure. Br. J. Nutr. 2012, 107, 504–509. [Google Scholar] [CrossRef] [Green Version]
- Felgines, C.; Texier, O.; Besson, C.; Lyan, B.; Lamaison, J.L.; Scalbert, A. Strawberry pelargonidin glycosides are excreted in urine as intact glycosides and glucuronidated pelargonidin derivatives in rats. Br. J. Nutr. 2007, 98, 1126–1131. [Google Scholar] [CrossRef] [Green Version]
- Jakobek, L.; Matić, P. Non-covalent dietary fiber-polyphenol interactions and their influence on polyphenol bioaccessibility. Trends Food Sci. Technol. 2019, 83, 235–247. [Google Scholar] [CrossRef]
- Li, Y.; He, D.; Li, B.; Lund, M.N.; Xing, Y.; Wang, Y.; Li, L. Engineering polyphenols with biological functions via polyphenol-protein interactions as additives for functional foods. Trends Food Sci. Technol. 2021, 110, 470–482. [Google Scholar] [CrossRef]
- Sengul, H.; Surek, E.; Nilufer-Erdil, D. Investigating the effects of food matrix and food components on bioaccessibility of pomegranate (Punica granatum) phenolics and anthocyanins using an in-vitro gastrointestinal digestion model. Food Res. Int. 2014, 62, 1069–1079. [Google Scholar] [CrossRef] [Green Version]
- Yang, M.; Koo, S.I.; Song, W.O.; Chun, O.K. Food matrix affecting anthocyanin bioavailability: Review. Curr. Med. Chem. 2011, 18, 291–300. [Google Scholar] [CrossRef]
- Phan, M.A.T.; Bucknall, M.P.; Arcot, J. Co-ingestion of red cabbage with cherry tomato enhances digestive bioaccessibility of anthocyanins but decreases carotenoid bioaccessibility after simulated in vitro gastro-intestinal digestion. Food Chem. 2019, 298, 125040. [Google Scholar] [CrossRef]
- Nielsen, I.L.; Dragsted, L.O.; Ravn-Haren, G.; Freese, R.; Rasmussen, S.E. Absorption and excretion of black currant anthocyanins in humans and watanabe heritable hyperlipidemic rabbits. J. Agric. Food Chem. 2003, 51, 2813–2820. [Google Scholar] [CrossRef]
- McDougall, G.J.; Dobson, P.; Smith, P.; Blake, A.; Stewart, D. Assessing potential bioavailability of raspberry anthocyanins using an in vitro digestion system. J. Agric. Food Chem. 2005, 53, 5896–5904. [Google Scholar] [CrossRef]
- Gui-Fang, D.; Lei, N.; Wen, A.; Yuan-Huan, W.; Rui-Fang, S.; Xiu-Juan, D.; Hua-Bin, L. Effects of simulated gastrointestinal digestion on antioxidant activities of individual and mixed fruits. N. Am. J. Med. Sci. 2019, 12, 14–20. [Google Scholar] [CrossRef]
- Ribnicky, D.M.; Roopchand, D.E.; Oren, A.; Grace, M.; Poulev, A.; Lila, M.A.; Havenaar, R.; Raskin, I. Effects of a high fat meal matrix and protein complexation on the bioaccessibility of blueberry anthocyanins using the TNO gastrointestinal model (TIM-1). Food Chem. 2014, 142, 349–357. [Google Scholar] [CrossRef] [Green Version]
- Malebana, I.M.; Nkosi, B.D.; Erlwanger, K.H.; Chivandi, E. A comparison of the proximate, fibre, mineral content, amino acid and the fatty acid profile of Marula (Sclerocarya birrea caffra) nut and soyabean (Glycine max) meals. J. Sci. Food Agric. 2018, 98, 1381–1387. [Google Scholar] [CrossRef]
- Gu, C.; Suleria, H.A.; Dunshea, F.R.; Howell, K. Dietary lipids influence bioaccessibility of polyphenols from black carrots and affect microbial diversity under simulated gastrointestinal digestion. Antioxidants 2020, 9, 762. [Google Scholar] [CrossRef]
- Frank, T.; Netzel, M.; Strass, G.; Bitsch, R.; Bitsch, I. Bioavailability of anthocyanidin-3-glucosides following consumption of red wine and red grape juice. Can. J. Physiol. Pharmacol. 2003, 81, 423–435. [Google Scholar] [CrossRef]
- Dangles, O.; Fenger, J.A. The Chemical Reactivity of Anthocyanins and Its Consequences in Food Science and Nutrition. Molecules 2018, 23, 1970. [Google Scholar] [CrossRef] [Green Version]
- Lei, Z.; Jervis, J.; Helm, R.F. Use of methanolysis for the determination of total ellagic and gallic acid contents of wood and food products. J. Agric. Food Chem. 2001, 49, 1165–1168. [Google Scholar] [CrossRef]
- Clifford, M.N.; Scalbert, A. Ellagitannins-nature, occurrence and dietary burden. J. Sci. Food Agric. 2000, 80, 1118–1125. [Google Scholar] [CrossRef]
- Amakura, Y.; Okada, M.; Tsuji, S.; Yasuhide, T. High-performance liquid chromatographic determination with photodiode array detection of ellagic acid in fresh and processed fruits. J. Chromatogr. A 2000, 896, 87–93. [Google Scholar] [CrossRef]
- Mosele, J.I.; Macià, A.; Romero, M.P.; Motilva, M.J.; Rubió, L. Application of in vitro gastrointestinal digestion and colonic fermentation models to pomegranate products (juice, pulp and peel extract) to study the stability and catabolism of phenolic compounds. J. Funct. Foods 2015, 14, 529–540. [Google Scholar] [CrossRef]
- Dudonné, S.; Dal-Pan, A.; Dubé, P.; Varin, T.V.; Calon, F.; Desjardins, Y. Potentiation of the bioavailability of blueberry phenolic compounds by co-ingested grape phenolic compounds in mice, revealed by targeted metabolomic profiling in plasma and feces. Food Funct. 2016, 7, 3421–3430. [Google Scholar] [CrossRef]
- Chen, C.; Wang, L.; Chen, Z.; Luo, X.; Li, Y.; Wang, R.; Wu, J. Effects of milk proteins on the bioaccessibility and antioxidant activity of oat phenolics during in vitro digestion. J. Food Sci. 2019, 84, 895–903. [Google Scholar] [CrossRef]
- Kamiloglu, S.; Pasli, A.A.; Ozcelik, B.; Capanoglu, E. Evaluating the in vitro bioaccessibility of phenolics and antioxidant activity during consumption of dried fruits with nuts. LWT Food Sci. Technol. 2014, 56, 284–289. [Google Scholar] [CrossRef]
- Jamdar, S.N.; Deshpande, R.; Marathe, S.A. Effect of processing conditions and in vitro protein digestion on bioactive potentials of commonly consumed legumes. Food Biosci. 2017, 20, 1–11. [Google Scholar] [CrossRef]
- Bouayed, J.; Hoffmann, L.; Bohn, T. Total phenolics, flavonoids, anthocyanins and antioxidant activity following simulated gastro-intestinal digestion and dialysis of apple varieties: Bioaccessibility and potential uptake. Food Chem. 2011, 128, 14–21. [Google Scholar] [CrossRef]
- Lucas-González, R.; Viuda-Martos, M.; Álvarez, J.A.P.; Fernández-López, J. Changes in bioaccessibility, polyphenol profile and antioxidant potential of flours obtained from persimmon fruit (Diospyros kaki) co-products during in vitro gastrointestinal digestion. Food Chem. 2018, 256, 252–258. [Google Scholar] [CrossRef]
- Tagliazucchi, D.; Verzelloni, E.; Bertolini, D.; Conte, A. In vitro bio-accessibility and antioxidant activity of grape polyphenols. Food Chem. 2010, 120, 599–606. [Google Scholar] [CrossRef]
- Matsukawa, T.; Inaguma, T.; Han, J.; Villareal, M.O.; Isoda, H. Cyanidin-3-glucoside derived from black soybeans ameliorate type 2 diabetes through the induction of differentiation of preadipocytes into smaller and insulin-sensitive adipocytes. J. Nutr. Biochem. 2015, 26, 860–867. [Google Scholar] [CrossRef]
- Salvador, A.C.; Król, E.; Lemos, V.C.; Santos, S.A.O.; Bento, F.P.M.S.; Costa, C.P.; Almeida, A.; Szczepankiewicz, D.; Kulczyński, B.; Krejpcio, Z.; et al. Effect of Elderberry (Sambucus nigra L.) Extract Supplementation in STZ-Induced Diabetic Rats Fed with a High-Fat Diet. Int. J. Mol. Sci. 2017, 18, 13. [Google Scholar] [CrossRef] [Green Version]
- Brodkorb, A.; Egger, L.; Alminger, M.; Alvito, P.; Assunção, R.; Ballance, S.; Recio, I. INFOGEST static in vitro simulation of gastrointestinal food digestion. Nat. Protoc. 2019, 14, 991–1014. [Google Scholar] [CrossRef]
- Singleton, V.L.; Orthofer, R.; Lamuela-Raventós, R.M. Analysis of total phenols and other oxidation substrates and antioxidants by means of folin-ciocalteu reagent. Methods Enzymol. 1998, 299, 152–178. [Google Scholar] [CrossRef]
- Huang, H.; Sun, Y.; Lou, S.; Li, H.; Ye, X. In Vitro digestion combined with cellular assay to determine the antioxidant activity in Chinese bayberry (Myrica rubra Sieb. et Zucc.) fruits: A comparison with traditional methods. Food Chem. 2014, 146, 363–370. [Google Scholar] [CrossRef]
- David, L.; Danciu, V.; Moldovan, B.; Filip, A. Effects of In Vitro gastrointestinal digestion on the antioxidant capacity and anthocyanin content of cornelian cherry fruit extract. Antioxidants 2019, 8, 114. [Google Scholar] [CrossRef] [Green Version]
- Irakli, M.; Mygdalia, A.; Chatzopoulou, P.; Katsantonis, D. Impact of the combination of sourdough fermentation and hop extract addition on baking properties, antioxidant capacity and phenolics bioaccessibility of rice bran-enhanced bread. Food Chem. 2019, 285, 231–239. [Google Scholar] [CrossRef]
- Apostolidis, E.; Lee, C.M. In Vitro potential of Ascophyllum nodosum phenolic antioxidant-mediated α-glucosidase and α-amylase inhibition. J. Food Sci. 2010, 75, H97–H102. [Google Scholar] [CrossRef]







| Phenolic Compound (mg/kg) | Natal Plum Undigested | Natal Plum Gastric Phase | Natal Plum Intestinal Phase | Bio Accessibility (%) | Marula Undigested | Marula Gastric | Marula Intestinal | Bio Accessibility (%) | Natal Plum–Marula Bar Undigested | Natal Plum–Marula Gastric Phase | Natal Plum–Marula Intestinal Phase | Bio Accessibility (%) |
|---|---|---|---|---|---|---|---|---|---|---|---|---|
| Gallic | 1.0 ± 0.0e | 0.5 ± 0.0e | 2.3 ± 0.4e | 230 | 7.9 ± 0.7c | 5.1 ± 0.2d | 33.7 ± 0.1a | 426.6 | 8.5 ± 1.1c | 2.3 ± 0.1e | 15.0 ± 0.1b | 176.5 |
| Protocatechuic | 39.9 ± 3.9a | 18.2 ± 0.1c | 22.9 ± 3.6b | 57.4 | 13.4 ± 1.5d | 11.6 ± 1.0de | 9.3 ± 0.3e | 69.4 | 5.6 ± 1.4f | 4.2 ± 0.8f | 7.5 ± 0.3ef | 133.9 |
| Cy-3-G | 267.9 ± 12.6a | 175.7 ± 15.3b | 87.9 ± 5.4c | 32.8 | 0.0 | 0.0 | 0.0 | 88.3 ± 6.7c | 74.8 ± 1.9c | 63.5 ± 8.8c | 71.9 | |
| Cy-3-Sa | 422.1 ± 13.8a | 384.3 ± 12.3b | 167.6 ± 7.6c | 39.7 | 0.0 | 0.0 | 0.0 | 125.8 ± 11.1s | 116.9 ± 1.0d | 100.9 ± 9.1d | 80.2 | |
| Catechin | 126.3 ± 11.9c | 60.5 ± 1.1d | 90.7 ± 4.5d | 71.8 | 229.7 ± 3.9a | 227.0 ± 2.2a | 189.8 ± 2.3b | 82.6 | 227.8 ± 8.7a | 147.0 ± 3.0c | 120.7 ± 4.5c | 52.8 |
| Epicatechin | 5.0 ± 0.1a | 3.3 ± 0.2b | 2.1 ± 0.1bcd | 42 | 1.0 ± 0.0cd | 0.8 ± 0.1d | 0.6 ± 0.0d | 60 | 2.4 ± 0.2bc | 1.6 ± 0.2cd | 1.4 ± 0.1cd | 58.3 |
| Caffeic acid | 28.9 ± 1.4a | 19.4 ± 0.5b | 10.5 ± 1.2c | 36.3 | 4.8 ± 1.1e | 3.7 ± 0.2e | 7.7 ± 0.0d | 160.4 | 4.4 ± 0.2e | 3.9 ± 0.2w | 4.8 ± 0.3e | 109.1 |
| Vanillic acid | 0.0 | 0.0 ± 0.0 | 0.0 | 18.5 ± 1.2a | 17.3 ± 0.4a | 14.6 ± 0.2b | 78.9 | 7.8 ± 0.1c | 7.8 ± 0.3c | 5.9 ± 0.2c | 75.6 | |
| Syringic acid | 25.8 ± 1.7a | 12.1 ± 0.6b | 6.8 ± 0.7c | 26.4 | 0.0 | 0.0 | 0.0 | 5.2 ± 0.6c | 3.8 ± 0.2d | 2.7 ± 0.1d | 51.9 | |
| Ellagic acid | 7.1 ± 0.9d | 12.4 ± 0.2b | 2.9 ± 0.2f | 40.8 | 4.5 ± 0.3ef | 4.9 ± 0.2e | 16.0 ± 1.5a | 355.5 | 6.3 ± 0.2d | 7.1 ± 0.2d | 9.8 ± 0.4c | 155.6 |
| Coumaric acid | 55.5 ± 4.3a | 17.4 ± 1.4d | 24.0 ± 0.9b | 43.2 | 24.0 ± 1.5b | 17.1 ± 0.4d | 20.5 ± 0.2c | 85.4 | 23.1 ± 2.4b | 12.9 ± 0.3e | 22.0 ± 1.2bc | 95.2 |
| Ferulic acid | 30.4 ± 1.5a | 15.0 ± 0.9c | 19.5 ± 2.1b | 64.1 | 5.7 ± 0.5e | 3.6 ± 0.2f | 3.0 ± 0.1f | 52.6 | 16.8 ± 1.8c | 9.3 ± 0.9d | 15.0 ± 0.9c | 89.3 |
| Quercetin | 53.8 ± 2.2a | 28.2 ± 0.8b | 28.7 ± 1.1b | 53.3 | 25.7 ± 1.2b | 16.2 ± 0.4c | 9.1 ± 0.2d | 35.4 | 15.2 ± 2.2c | 11.4 ± 1.8cd | 15.0 ± 0.4c | 98.7 |
| Total poly phenols | 1063.7 | 747 | 465.9 | 335.2 | 307.3 | 304.3 | 537.2 | 403 | 384.2 |
Publisher’s Note: MDPI stays neutral with regard to jurisdictional claims in published maps and institutional affiliations. |
© 2022 by the authors. Licensee MDPI, Basel, Switzerland. This article is an open access article distributed under the terms and conditions of the Creative Commons Attribution (CC BY) license (https://creativecommons.org/licenses/by/4.0/).
Share and Cite
Manhivi, V.E.; Slabbert, R.M.; Sivakumar, D. Co-Ingestion of Natal Plums (Carissa macrocarpa) and Marula Nuts (Sclerocarya birrea) in a Snack Bar and Its Effect on Phenolic Compounds and Bioactivities. Molecules 2022, 27, 310. https://doi.org/10.3390/molecules27010310
Manhivi VE, Slabbert RM, Sivakumar D. Co-Ingestion of Natal Plums (Carissa macrocarpa) and Marula Nuts (Sclerocarya birrea) in a Snack Bar and Its Effect on Phenolic Compounds and Bioactivities. Molecules. 2022; 27(1):310. https://doi.org/10.3390/molecules27010310
Chicago/Turabian StyleManhivi, Vimbainashe E., Retha M. Slabbert, and Dharini Sivakumar. 2022. "Co-Ingestion of Natal Plums (Carissa macrocarpa) and Marula Nuts (Sclerocarya birrea) in a Snack Bar and Its Effect on Phenolic Compounds and Bioactivities" Molecules 27, no. 1: 310. https://doi.org/10.3390/molecules27010310
APA StyleManhivi, V. E., Slabbert, R. M., & Sivakumar, D. (2022). Co-Ingestion of Natal Plums (Carissa macrocarpa) and Marula Nuts (Sclerocarya birrea) in a Snack Bar and Its Effect on Phenolic Compounds and Bioactivities. Molecules, 27(1), 310. https://doi.org/10.3390/molecules27010310

