Effect of Spontaneous and Water-Based Passivation on Components and Parameters of Ti6Al4V (ELI Grade) Surface Tension and Its Wettability by an Aqueous Solution of Sucrose Ester Surfactants
Abstract
:1. Introduction
2. Results and Discussion
2.1. Components and Parameters of Ti6Al4V-ELI’s Surface Tension
2.2. Ti6Al4V ELI Wettability by the Aqueous Solutions of Sucrose Fatty Acid Esters
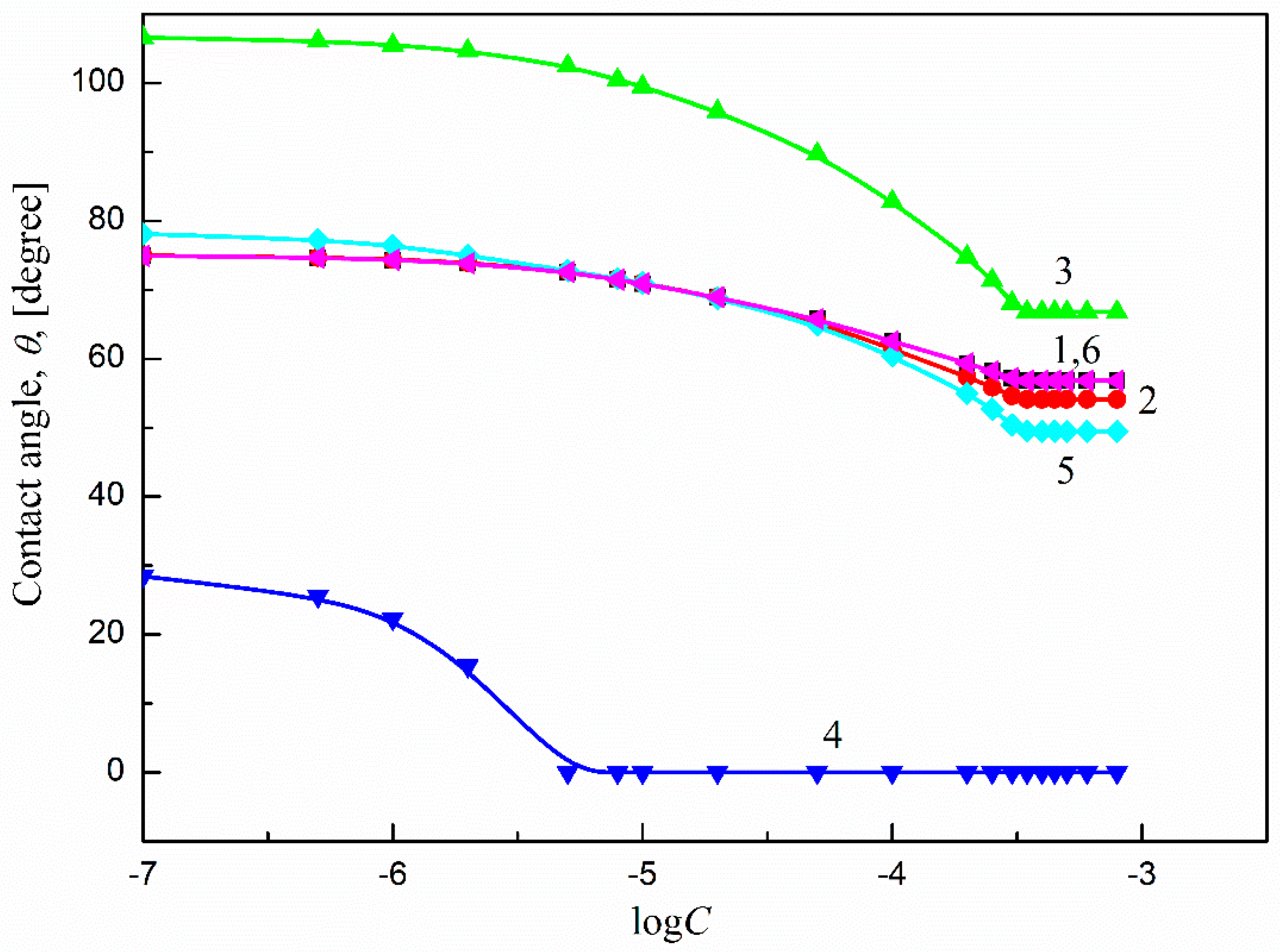
2.2.1. Contact Angle Measurements
2.2.2. Surface Excess Concentrations of SMD and SML at the Ti6Al4V ELI-Water Interface
2.2.3. Standard Gibbs Free Energy of SMD and SML Adsorption at the Ti6Al4V ELI–Water Interface
2.2.4. Work of Adhesion of the Aqueous SMD and SML Solutions to the Ti6Al4V ELI Surface
3. Conclusions
4. Experimental
4.1. Materials and Methods
4.2. Contact Angle Measurements
4.3. Characterization of Ti6Al4V ELI Properties
4.3.1. XRF Analysis
4.3.2. Atomic Force Microscopy (AFM) Analysis
Author Contributions
Funding
Institutional Review Board Statement
Informed Consent Statement
Data Availability Statement
Acknowledgments
Conflicts of Interest
Sample Availability
References
- Kaur, M.; Singh, K. Review on titanium and titanium based alloys as biomaterials for orthopedic applications. Mat. Sci. Eng. C 2019, 102, 844–862. [Google Scholar] [CrossRef] [PubMed]
- Koizumi, H.; Takeuchi, Y.; Imai, H.; Kawai, T. Application of titanium and titanium alloys to fixed dental prostheses. J. Prosthodont. Res. 2019, 63, 266–270. [Google Scholar] [CrossRef]
- Critchlow, G.W.; Brewis, D.M. Review of surface pretreatments for titanium alloys. Int. J. Adhes. Adhes. 1995, 15, 161–172. [Google Scholar] [CrossRef]
- Mohammed, M.T.; Khan, Z.A.; Siddiquee, A.N. Surface modifications of titanium materials for developing corrosion bahaviour in human body environment: A review. Proc. Mater. Sci. 2014, 6, 1610–1618. [Google Scholar] [CrossRef] [Green Version]
- Schuster, J.M.; Schvezov, C.E.; Rosenberg, M.R. Analysis of the results of the surface free energy measurements of Ti6Al4V by different methods. Proc. Mater. Sci. 2015, 8, 732–741. [Google Scholar] [CrossRef] [Green Version]
- Huang, H.-H. Effect of fluoride and albumin concentration on the corrosion behavior of Ti-6Al-4V alloy. Biomaterials 2003, 24, 275–282. [Google Scholar] [CrossRef]
- Güleryüz, H.; Cimenolğu, H. Effect of thermal oxidation on corrosion and corrosion-wear bahaviour of a Ti-6Al-4V alloy. Biomaterials 2004, 25, 3325–3333. [Google Scholar] [CrossRef]
- Pacha-Olivenza, M.A.; Gallardo-Moreno, A.M.; Mѐndez-Vilas, A.; Bruque, J.M.; Carrasco, J.L.; González-Martín, M.L. Effect of UV irradiation on the surface Gibbs energy of Ti6Al4V and thermally oxidized Ti6Al4V. J. Colloid Int. Sci. 2008, 320, 117–124. [Google Scholar] [CrossRef] [PubMed] [Green Version]
- Han, A.; Tsoi, J.K.H.; Rodrigues, F.P.; Leprince, J.G. Bacterial adhesion mechanisms on dental implant surfaces and the influencing factors. Int. J. Adhes. Adhes. 2016, 69, 58–71. [Google Scholar] [CrossRef] [Green Version]
- Suketa, N.; Sawase, T.; Kitaura, H.; Naito, M.; Baba, K.; Nakayama, K.; Wennerberg, A.; Atsuta, M. An antibacterial surface on dental implants, based on the photocatalytic bactericidal effect. Clin. Implant Dent. Relat. Res. 2005, 7, 105–111. [Google Scholar] [CrossRef] [PubMed]
- Garciaa-Alonsoa, M.C.; Saldana, L.; Valles, G.; Gonzalez-Carrasco, J.L.; Gonzalez-Cabrero, J.; Martinez, M.E.; Gil-Garaye, E.; Munuera, L. In vitro corrosion behaviour and osteoblast response of thermally oxidised Ti6Al4V alloy. Biomaterials 2003, 24, 19–26. [Google Scholar] [CrossRef]
- Deligianni, D.D.; Katsala, N.; Ladas, S.; Sotiropoulou, D.; Amedee, J.; Missirlis, Y.F. Effect of surface roughness of the titanium alloy Ti-6Al-4V on human bone marrow cell response and on protein adsorption. Biomaterials 2001, 22, 1241–1251. [Google Scholar] [CrossRef]
- Zhao, L.; Zhang, H.; Hao, T.; Li, S. In vitro antibacterial activities and mechanism of sugar fatty acid esters against five food-related bacteria. Food Chem. 2015, 187, 370–377. [Google Scholar] [CrossRef]
- Krawczyk, J. Solid Wettability Modification via Adsorption of Antimicrobial Sucrose Fatty Acid Esters and Some Other Sugar-Based Surfactants. Molecules 2018, 23, 1597. [Google Scholar] [CrossRef] [Green Version]
- Masaaki, T. Use of Sucrose Fatty Acid Ester as Antimicrobial. Agent. Patent JP10070971, 1 July 1996. [Google Scholar]
- Adamson, A.W.; Gast, A.P. Physical Chemistry of Surfaces, 6th ed.; Wiley-Interscience: New York, NY, USA, 1997. [Google Scholar]
- Rosen, J.M. Surfactants and Interfacial Phenomena, 3rd ed.; Wiley: New York, NY, USA, 2004. [Google Scholar]
- Adamson, A.W. Physical Chemistry of Surfaces, 5th ed.; Wiley: New York, NY, USA, 1990. [Google Scholar]
- van Oss, C.J.; Chaudhury, M.K.; Good, R.J. Monopolar surfaces. Adv. Colloid Interface Sci. 1987, 28, 35–64. [Google Scholar] [CrossRef]
- van Oss, C.J.; Good, R.J.; Chaudhury, M.K. Additive and nonadditive surface tension components and the interpretation of contact angles. Langmuir 1988, 4, 884–891. [Google Scholar] [CrossRef]
- van Oss, C.J.; Good, R.J. Surface tension and the solubility of polymers and biopolymers: The role of polar and apolar interfacial free energies. J. Macromol. Sci. Chem. 1989, 26, 1183–1203. [Google Scholar] [CrossRef]
- van Oss, C.J. Interfacial Forces in Aqueous Media; Marcel Dekker: New York, NY, USA, 1994. [Google Scholar]
- Owens, D.K.; Wendt, R.C. Estimation of the surface free energy of polymers. J. Appl. Polym. Sci. 1969, 13, 1741–1747. [Google Scholar] [CrossRef]
- Li, D.; Neumann, A.W. Equation of state for interfacial tensions of solid-liquid systems. Adv. Colloid Interface Sci. 1992, 39, 299–345. [Google Scholar] [CrossRef]
- Kwok, D.Y.; Neumann, A.W. Contact angle measurement and contact angle interpretation. Adv. Colloid Interface Sci. 1999, 81, 167–249. [Google Scholar] [CrossRef]
- Kwok, D.Y.; Neumann, A.W. Contact angle interpretation in terms of solid surface tension. Colloids Surf. A 2000, 61, 31–48. [Google Scholar] [CrossRef]
- Jańczuk, B.; Zdziennicka, A. Components and parameters of synthetic chalcocite surface tension and its wettability by aqueous solution of n-octyl-β-d-glucopyranoside. Physicochem. Probl. Miner. Process 2018, 54, 19–30. [Google Scholar]
- Xiao, S.-J.; Kenausis, G.; Textor, M. Titanium in Medicine: Materials Science, Surface Science, Engineering, Biological Responses and Medical Applications; Brunette, D.M., Tengvall, P., Textor, M., Thomsen, P., Eds.; Springer: Berlin, Germany, 2001; p. 417. [Google Scholar]
- Zdziennicka, A.; Krawczyk, J.; Szymczyk, K.; Jańczuk, B. Components and parameters of liquids and some polymers surface tension at different temperature. Colloids Surf. A 2017, 529, 864–875. [Google Scholar] [CrossRef]
- Zdziennicka, A.; Szymczyk, K.; Krawczyk, J.; Jańczuk, B. Some remarks on the solid surface tension determination from contact angle measurements. Appl. Surf. Sci. 2017, 405, 88–101. [Google Scholar] [CrossRef]
- Hierro-Oliva, M.; Gallardo-Moreno, A.M.; Rodrígues-Cano, A.; Bruque, J.M.; Carrasco, J.L.; González-Martín, M.L. Experimental approach towards the water contact angle value on the biomaterial alloy Ti6Al4V. Ann. UMCS Sect. AA Chem. 2015, LXX, 137–148. [Google Scholar] [CrossRef] [Green Version]
- Roessler, S.; Zimmermann, R.; Scharnweber, D.; Werner, C.; Worch, H. Characterization of oxide layers of Ti6Al4V by streaming potential and streaming current measurements. Colloid Surf. B 2000, 26, 387–395. [Google Scholar] [CrossRef]
- Krawczyk, J. Thermodynamic properties of disaccharide based surfactants adsorption at the water-air interface. Colloids Surf. A 2018, 551, 50–57. [Google Scholar] [CrossRef]
- Krawczyk, J. Aggregation properties of sucrose fatty acid esters and some other sugar-based surfactants at different temperatures. J. Mol. Liq. 2018, 271, 610–620. [Google Scholar] [CrossRef]
- Spelt, J.K.; Li, D.; Neumann, A.W. The Equation of State Approach to Interfacial Tensions; Schrader, M.E., Loeb, G.L., Eds.; Modern Approaches to Wettability, Plenum Press: New York, NY, USA, 1992. [Google Scholar]
- Zdziennicka, A.; Krawczyk, J.; Jańczuk, B. Wettability and Adhesion Work Prediction in the Polymer–Aqueous Solution of Surface Active Agent Systems. Colloids Interfaces 2018, 2, 21. [Google Scholar] [CrossRef]
- Cassie, A.B.D.; Baxter, S. Wettability of porous surfaces. Trans. Faraday Soc. 1944, 40, 546–551. [Google Scholar] [CrossRef]
- Cassie, A.B.D. Contact angles. Discuss. Faraday Soc. 1948, 3, 11–16. [Google Scholar] [CrossRef]
- Zdziennicka, A.; Szymczyk, K.; Krawczyk, J.; Jańczuk, B. Components and parameters of solid/surfactant layer surface tension. Colloids Surf. A 2017, 522, 461–469. [Google Scholar] [CrossRef]
- Gamboa, C.; Olea, A.F. Association of cationic surfactants to humic acid: Effect on the surface activity. Colloids Surf. A 2006, 278, 241–245. [Google Scholar] [CrossRef]
- Babak, V.G.; Vikhoreva, G.A.; Lukina, I.G. Interaction between carboxymethylchitin and tetradecyltrimethylammonium bromide: Phase separation, surface tension and stability of microscopic foam films and foams. Colloids Surf. A 1997, 128, 75–89. [Google Scholar] [CrossRef]
- De Boer, J.H. The Dynamic Character of Adsorption; Oxford University Press: London, UK, 1953. [Google Scholar]
- Gu, T.; Zhu, B.-Y. The s-type isotherm equation for adsorption of nonionic surfactants at the silica gel–water interface. Colloids Surf. A 1990, 44, 81–87. [Google Scholar] [CrossRef]
- Gu, T.; Zhu, B.-Y.; Rupprecht, H. Surfactant adsorption and surface micellization. Prog. Colloid Polym. Sci. 1992, 88, 74–85. [Google Scholar]
- Zhu, B.-Y.; Gu, T. Reverse hemimicelle formation of 1-decanol from heptane at the solution/graphite interface. Colloids Surf. A 1990, 46, 339–345. [Google Scholar] [CrossRef]
- Joos, P. Thermodynamics of mixed monolayer. Bull. Soc. Chim. Belg. 1967, 76, 591–600. [Google Scholar] [CrossRef]
- Zdziennicka, A.; Krawczyk, J.; Szymczyk, K.; Jańczuk, B. Macroscopic and microscopic properties of some surfactants and biosurfactants. Int. J. Mol. Sci. 2018, 19, 1934. [Google Scholar] [CrossRef] [Green Version]









| Element | Ti6Al4V ELI | Manufacturer Data |
|---|---|---|
| Ti | 89.940 | Balance: about 90.0 |
| Al | 5.940 | 5.5–6.75 |
| V | 3.830 | 3.5–4.5 |
| Fe | 0.154 | 0.25 (max) |
| Liquid | Spontaneous Passivation (Procedure A) | Procedure B | Procedure C |
|---|---|---|---|
| θ [Degree] | θ [Degree] | θ [Degree] | |
| Water | 43 ± 5 | 75 ± 5 | 81 ± 2 |
| Formamide | 28 ± 5 | 61 ± 5 | 63 ± 2 |
| Diiodomethane | 39.0 ± 1.5 | 50 ± 3 | 49.0 ± 1.5 |
| Liquid/Ti6Al4V-ELI | [mN/m] | [mN/m] | [mN/m] | [mN/m] | [mN/m] |
|---|---|---|---|---|---|
| Water (1) | 26.85 | 45.95 | 22.975 | 22.975 | 72.80 |
| Formamide (1) | 39.00 | 19.00 | 3.67 | 24.61 | 58.00 |
| Diiodomethane (1) | 50.80 | 0.00 | 0.00 | 0.00 | 50.80 |
| Ti6Al4V ELI (procedure A) | 40.1 ± 0.7 | 11 ± 5 | 1 ± 1 | 28 ± 9 | 51 ± 6 |
| Ti6Al4V ELI (procedure B) | 34.3 ± 1.8 | 1 ± 5 | 0.01 ± 0.2 | 10 ± 8 | 35 ± 7 |
| Ti6Al4V ELI (procedure C) | 34.8 ± 0.8 | 1.0 ± 1.6 | 0.05 ± 0.2 | 5 ± 2 | 36 ± 2 |
| Water (2) | 21.80 | 51.00 | 25.50 | 25.50 | 72.80 |
| Formamide (2) | 39.00 | 19.00 | 2.28 | 39.60 | 58.00 |
| Diiodomethane (2) | 50.80 | 0.00 | 0.00 | 0.00 | 50.80 |
| Ti6Al4V ELI (procedure A) | 40.1 ± 0.7 | 12 ± 3 | 1.1 ± 0.6 | 31 ± 7 | 52 ± 4 |
| Ti6Al4V ELI (procedure B) | 34.3 ± 1.7 | 2 ± 3 | 0.04 ± 0.2 | 12 ± 6 | 36 ± 5 |
| Ti6Al4V ELI (procedure C) | 34.8 ± 0.8 | 1.1 ± 1.2 | 0.04 ± 0.09 | 7.2 ± 2.0 | 36 ± 2 |
Publisher’s Note: MDPI stays neutral with regard to jurisdictional claims in published maps and institutional affiliations. |
© 2021 by the authors. Licensee MDPI, Basel, Switzerland. This article is an open access article distributed under the terms and conditions of the Creative Commons Attribution (CC BY) license (https://creativecommons.org/licenses/by/4.0/).
Share and Cite
Krawczyk, J.; Gallardo-Moreno, A.M.; González-Martín, M.L. Effect of Spontaneous and Water-Based Passivation on Components and Parameters of Ti6Al4V (ELI Grade) Surface Tension and Its Wettability by an Aqueous Solution of Sucrose Ester Surfactants. Molecules 2022, 27, 179. https://doi.org/10.3390/molecules27010179
Krawczyk J, Gallardo-Moreno AM, González-Martín ML. Effect of Spontaneous and Water-Based Passivation on Components and Parameters of Ti6Al4V (ELI Grade) Surface Tension and Its Wettability by an Aqueous Solution of Sucrose Ester Surfactants. Molecules. 2022; 27(1):179. https://doi.org/10.3390/molecules27010179
Chicago/Turabian StyleKrawczyk, Joanna, Amparo María Gallardo-Moreno, and María Luisa González-Martín. 2022. "Effect of Spontaneous and Water-Based Passivation on Components and Parameters of Ti6Al4V (ELI Grade) Surface Tension and Its Wettability by an Aqueous Solution of Sucrose Ester Surfactants" Molecules 27, no. 1: 179. https://doi.org/10.3390/molecules27010179
APA StyleKrawczyk, J., Gallardo-Moreno, A. M., & González-Martín, M. L. (2022). Effect of Spontaneous and Water-Based Passivation on Components and Parameters of Ti6Al4V (ELI Grade) Surface Tension and Its Wettability by an Aqueous Solution of Sucrose Ester Surfactants. Molecules, 27(1), 179. https://doi.org/10.3390/molecules27010179

