Organic Hollow Mesoporous Silica as a Promising Sandalwood Essential Oil Carrier
Abstract
1. Introduction
2. Results and Discussion
2.1. Experimental Preparation Process
2.2. The Effects of Different Factors on the Water Contact Angle of Organic Hollow Mesoporous Silica and Its Loading Capacity to SEO
2.2.1. Effect of the Amount of Silicon Source Deposited on the Shell on the Water Contact Angle of Organic Hollow Mesoporous Silica and Its Loading Capacity to SEO
2.2.2. Effect of Ammonium Hydroxide Solution Addition on the WCA of Organic Hollow Mesoporous Silica and Its Loading Capacity to SEO
2.2.3. Effect of the Ratio of OTMS to the Silicon Source Deposited on the Shell on the WCA of Organic Hollow Mesoporous Silica and Its Loading Capacity to SEO
2.2.4. Effect of the Additional Amount of CTAC on the WCA of Organic Hollow Mesoporous Silica and Its Loading Capacity to SEO
2.3. Micro-Morphological Characterisation of Organic Hollow Mesoporous Silica
2.4. FTIR Analysis of Organic Hollow Mesoporous Silica and Its SEO Microcapsules
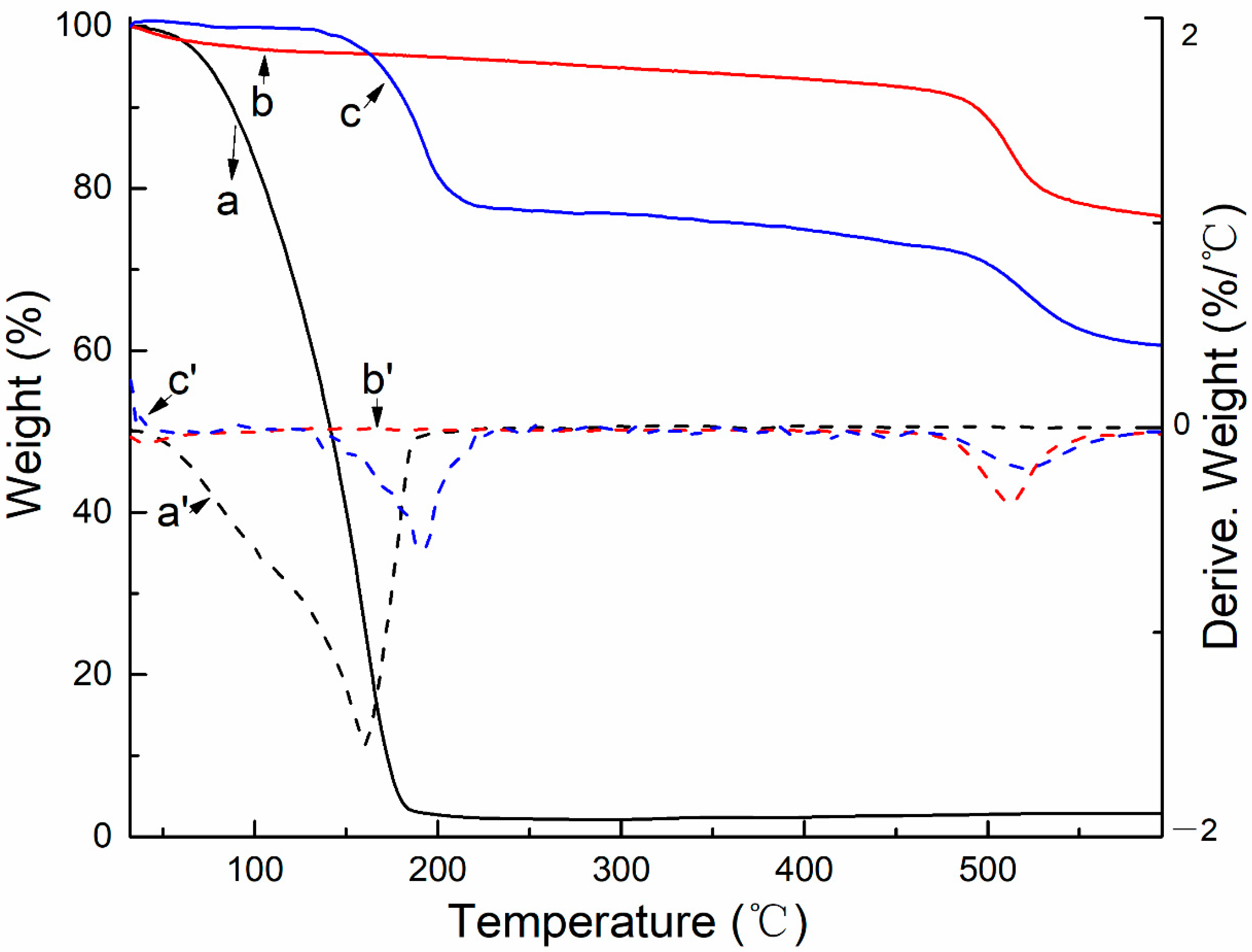
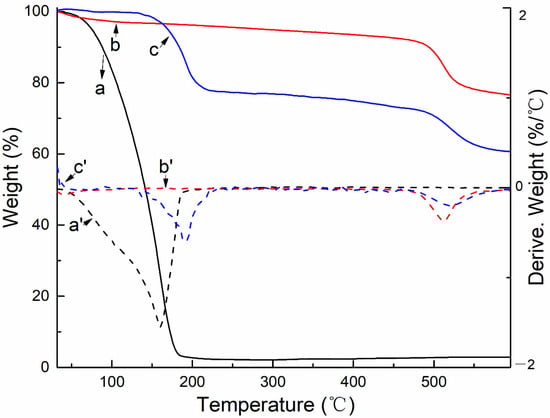
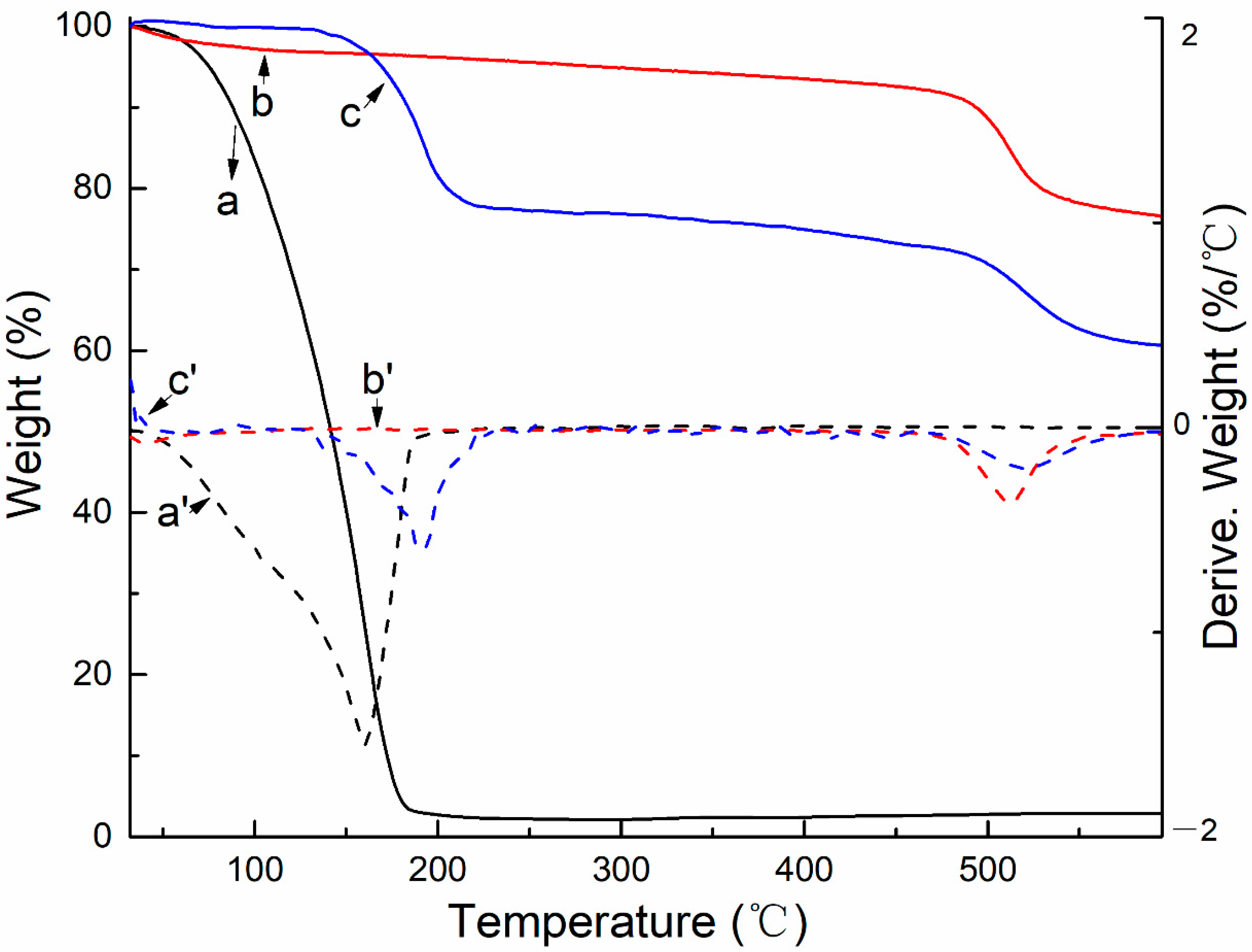
2.5. Thermal Stability of SEO, Organic Hollow Mesoporous Silica and Organic Hollow Mesoporous Silica SEO Microcapsule
2.6. Stability of the Pickering Emulsion with Various Organic Hollow Mesoporous Silica Concentrations
3. Materials and Methods
3.1. Chemicals and Materials
3.2. Preparation of Organic Hollow Mesoporous Silica
3.3. Preparation of a Solution System of Organic Hollow Mesoporous Silica and SEO
3.4. Stability of the Pickering Emulsion with Various Organic Hollow Mesoporous Silica Concentrations
3.5. Characterisation of Micro-Morphology and Physicochemical Properties of Organic Hollow Mesoporous Silica
3.6. Characterisation of Morphology and Properties of Organic Hollow Mesoporous Silica Pickering Emulsion
4. Conclusions
Author Contributions
Funding
Institutional Review Board Statement
Informed Consent Statement
Data Availability Statement
Conflicts of Interest
Sample Availability
References
- Cui, H.; Wu, J.; Li, C.; Lin, L. Promoting anti-listeria activity of lemongrass oil on pork loin by cold nitrogen plasma assist. J. Food Saf. 2016, 37, e12316. [Google Scholar] [CrossRef]
- Yao, W.; Wang, S.; Chen, Y.; Wang, H. Composition and Antibacterial Activity of Essential Oils of Flos Sophorae immaturus. Int. J. Food Prop. 2011, 14, 903–913. [Google Scholar] [CrossRef]
- Burdock, G.A.; Carabin, I.G. Safety assessment of sandalwood oil (Santalum album L.). Food Chem. Toxicol. 2008, 46, 421–432. [Google Scholar] [CrossRef]
- Herculano, E.D.; de Paula, H.C.; de Figueiredo, E.A.; Dias, F.G.; Pereira, V.D.A. Physicochemical and antimicrobial properties of nanoencapsulated Eucalyptus staigeriana essential oil. LWT 2015, 61, 484–491. [Google Scholar] [CrossRef]
- Wang, Y.-F.; Jia, J.-X.; Tian, Y.-Q.; Shu, X.; Ren, X.-J.; Guan, Y.; Yan, Z.-Y. Antifungal effects of clove oil microcapsule on meat products. LWT 2018, 89, 604–609. [Google Scholar] [CrossRef]
- Júnior, O.T.; Kuhn, F.; Padilha, P.J.M.; Vicente, L.R.M.; Costa, S.W.; Boligon, A.A.; Scapinello, J.; Nesi, C.N.; Magro, J.D.; Castellví, S.L. Microencapsulation of essential thyme oil by spray drying and its antimicrobial evaluation against Vibrio alginolyticus and Vibrio parahaemolyticus. Braz. J. Biol. 2017, 78, 311–317. [Google Scholar] [CrossRef]
- He, L.; Hu, J.; Deng, W. Preparation and application of flavor and fragrance capsules. Polym. Chem. 2018, 9, 4926–4946. [Google Scholar] [CrossRef]
- Fendall, L.S.; Sewell, M.A. Contributing to marine pollution by washing your face: Microplastics in facial cleansers. Mar. Pollut. Bull. 2009, 58, 1225–1228. [Google Scholar] [CrossRef] [PubMed]
- Hu, D.; Shen, M.; Zhang, Y.; Zeng, G. Micro(nano)plastics: An unignorable carbon source? Sci. Total. Environ. 2019, 657, 108–110. [Google Scholar] [CrossRef] [PubMed]
- Li, W.; Cai, Y.; Zhong, Q.; Yang, Y.; Kundu, S.C.; Yao, J. Silk sericin microcapsules with hydroxyapatite shells: Protection and modification of organic microcapsules by biomimetic mineralization. J. Mater. Chem. B 2016, 4, 340–347. [Google Scholar] [CrossRef]
- Kresge, C.T.; Leonowicz, M.E.; Roth, W.J.; Vartuli, J.C.; Beck, J.S. Ordered mesoporous molecular sieves synthesized by a liquid-crystal template mechanism. Nat. Cell Biol. 1992, 359, 710–712. [Google Scholar] [CrossRef]
- Berry, J.D.; Mettu, S.; Dagastine, R.R. Precise measurements of capsule mechanical properties using indentation. Soft Mater. 2017, 13, 1943–1947. [Google Scholar] [CrossRef] [PubMed]
- Veith, S.R.; Hughes, E.; Pratsinis, S.E. Restricted diffusion and release of aroma molecules from sol-gel-made porous silica particles. J. Control. Release 2004, 99, 315–327. [Google Scholar] [CrossRef]
- Lin, Y.; Zhao, A.; Tao, Y.; Ren, J.; Qu, X. Ionic Liquid as an Efficient Modulator on Artificial Enzyme System: Toward the Realization of High-Temperature Catalytic Reactions. J. Am. Chem. Soc. 2013, 135, 4207–4210. [Google Scholar] [CrossRef] [PubMed]
- Guidotti, M.; Pirovano, C.; Ravasio, N.; Lázaro, B.; Fraile, J.M.; Mayoral, J.A.; Coq, B.; Galarneau, A. The use of H2O2 over titanium-grafted mesoporous silica catalysts: A step further towards sustainable epoxidation. Green Chem. 2009, 11, 1421–1427. [Google Scholar] [CrossRef]
- Lu, Z.; Wang, J.; Qub, L.; Kanb, G.; Zhangac, T.; Shenac, J.; Lia, Y.; Yanga, J.; Niude, Y.; Xiaode, Z.; et al. Reactive mesoporous silica nanoparticles loaded with limonene for improving physical and mental health of mice at simulated microgravity condition. Bioact. Mater. 2020, 5, 1127–1137. [Google Scholar] [CrossRef]
- Qu, F.; Zhu, G.; Lin, H.; Sun, J.; Zhang, D.; Li, S.; Qiu, S. Drug Self-Templated Synthesis of Ibuprofen/Mesoporous Silica for Sustained Release. Eur. J. Inorg. Chem. 2006, 2006, 3943–3947. [Google Scholar] [CrossRef]
- Wibowo, D.; Zhao, C.-X.; Peters, B.C.; Middelberg, A.P.J. Sustained Release of Fipronil Insecticide in Vitro and in Vivo from Biocompatible Silica Nanocapsules. J. Agric. Food Chem. 2014, 62, 12504–12511. [Google Scholar] [CrossRef]
- Dou, J.; Zeng, H.C. Integrated Networks of Mesoporous Silica Nanowires and Their Bifunctional Catalysis-Sorption Application for Oxidative Desulfurization. ACS Catal. 2013, 4, 566–576. [Google Scholar] [CrossRef]
- Li, Y.; Li, N.; Pan, W.; Yu, Z.; Yang, L.; Tang, B. Hollow Mesoporous Silica Nanoparticles with Tunable Structures for Controlled Drug Delivery. ACS Appl. Mater. Interfaces 2017, 9, 2123–2129. [Google Scholar] [CrossRef]
- Zhu, Y.-F.; Shi, J.-L.; Li, Y.-S.; Chen, H.-R.; Shen, W.-H.; Dong, X.-P. Storage and release of ibuprofen drug molecules in hollow mesoporous silica spheres with modified pore surface. Microporous Mesoporous Mater. 2005, 85, 75–81. [Google Scholar] [CrossRef]
- Zhu, Y.; Shi, J.; Shen, W.; Dong, X.; Feng, J.; Ruan, M.; Li, Y. Stimuli-Responsive Controlled Drug Release from a Hollow Mesoporous Silica Sphere/Polyelectrolyte Multilayer Core-Shell Structure. Angew. Chem. Int. Ed. 2005, 44, 5083–5087. [Google Scholar] [CrossRef] [PubMed]
- Wang, J.-X.; Wang, Z.-H.; Chen, J.-F.; Yun, J. Direct encapsulation of water-soluble drug into silica microcapsules for sustained release applications. Mater. Res. Bull. 2008, 43, 3374–3381. [Google Scholar] [CrossRef]
- Ciriminna, R.; Pagliaro, M. Sol-gel microencapsulation of odorants and flavors: Opening the route to sustainable fragrances and aromas. Chem. Soc. Rev. 2013, 42, 9243–9250. [Google Scholar] [CrossRef]
- Dashairya, L.; Barik, D.D.; Saha, P. Methyltrichlorosilane functionalized silica nanoparticles-treated superhydrophobic cotton for oil–water separation. J. Coat. Technol. Res. 2019, 16, 1021–1032. [Google Scholar] [CrossRef]
- Cai, Y.; Li, J.; Yi, L.; Yan, X.; Li, J. Fabricating superhydrophobic and oleophobic surface with silica nanoparticles modified by silanes and environment-friendly fluorinated chemicals. Appl. Surf. Sci. 2018, 450, 102–111. [Google Scholar] [CrossRef]
- Guo, F.; Wen, Q.; Peng, Y.; Guo, Z. Multifunctional hollow superhydrophobic SiO2 microspheres with robust and self-cleaning and separation of oil/water emulsions properties. J. Colloid Interface Sci. 2017, 494, 54–63. [Google Scholar] [CrossRef]
- Hwang, H.S.; Lee, S.B.; Park, I. Fabrication of raspberry-like superhydrophobic hollow silica particles. Mater. Lett. 2010, 64, 2159–2162. [Google Scholar] [CrossRef]
- Ye, H.; Zhu, L.; Li, W.; Liu, H.; Chen, H. Constructing Fluorine-Free and Cost-Effective Superhydrophobic Surface with Normal-Alcohol-Modified Hydrophobic SiO2 Nanoparticles. ACS Appl. Mater. Interfaces 2017, 9, 858–867. [Google Scholar] [CrossRef]
- Shi, S.; Wang, M.; Chen, C.; Lu, F.; Zheng, X.; Gao, J.; Xu, J. Preparation of hydrophobic hollow silica nanospheres with porous shells and their application in pollutant removal. RSC Adv. 2013, 3, 1158–1164. [Google Scholar] [CrossRef]
- Li, S.; Jiao, X.; Yang, H. Hydrophobic Core/Hydrophilic Shell Structured Mesoporous Silica Nanospheres: Enhanced Adsorption of Organic Compounds from Water. Langmuir 2013, 29, 1228–1237. [Google Scholar] [CrossRef] [PubMed]
- Zhang, L.; Wang, L.; Yao, H.; Xu, F.; Chen, Y. Biodegradable and biocompatible monodispersed hollow mesoporous organosilica with large pores for delivering biomacromolecules. J. Mater. Chem. B 2017, 5, 8013–8025. [Google Scholar] [CrossRef]
- Chen, Y.; Chen, H.; Guo, L.; He, Q.; Chen, F.; Zhou, J.; Feng, J.; Shi, J. Hollow/Rattle-Type Mesoporous Nanostructures by a Structural Difference-Based Selective Etching Strategy. ACS Nano 2010, 4, 529–539. [Google Scholar] [CrossRef] [PubMed]
- Zhang, K.; Chen, H.; Zheng, Y.; Chen, Y.; Ma, M.; Wang, X.; Wang, L.; Zeng, D.; Shi, J. A facile in situ hydrophobic layer protected selective etching strategy for the synchronous synthesis/modification of hollow or rattle-type silica nanoconstructs. J. Mater. Chem. 2012, 22, 12553–12561. [Google Scholar] [CrossRef]
- Fang, X.; Chen, C.; Liu, Z.; Liu, P.; Zheng, N. A cationic surfactant assisted selective etching strategy to hollow mesoporous silica spheres. Nanoscale 2011, 3, 1632–1639. [Google Scholar] [CrossRef] [PubMed]
- Aouada, F.A.; de Moura, M.R.; Orts, W.J.; Mattoso, L.H.C. Polyacrylamide and methylcellulose hydrogel as delivery vehicle for the controlled release of paraquat pesticide. J. Mater. Sci. 2010, 45, 4977–4985. [Google Scholar] [CrossRef]
- Ma, N.; Deng, Y.; Liu, W.; Li, S.; Xu, J.; Qu, Y.; Gan, K.; Sun, X.; Yang, J. A one-step synthesis of hollow periodic mesoporous organosilica spheres with radially oriented mesochannels. Chem. Commun. 2016, 52, 3544–3547. [Google Scholar] [CrossRef]
- Teng, Z.; Zhang, J.; Li, W.; Zheng, Y.; Su, X.; Tang, Y.; Dang, M.; Tian, Y.; Yuwen, L.; Weng, L.; et al. Facile Synthesis of Yolk-Shell-Structured Triple-Hybridized Periodic Mesoporous Organosilica Nanoparticles for Biomedicine. Small 2016, 12, 3550–3558. [Google Scholar] [CrossRef]
- Okamoto, M.; Tsukada, H.; Fukasawa, S.; Sakajiri, A. Synthesis of hollow and rattle-type mesoporous silica spheres by treating layered mesoporous silica with a basic solution, and using the spheres as microreactors for two-phase reactions. J. Mater. Chem. A 2015, 3, 11880–11890. [Google Scholar] [CrossRef]
- Si, Z.; Hu, S.; Cai, D.; Qin, P.; Xu, Q. Performance enhancement of a polydimethylsiloxane membrane for effectiven-butanol pervaporation by bonding multi-silyl-functional MCM-41. RSC Adv. 2018, 8, 5127–5135. [Google Scholar] [CrossRef]
- Dugyala, V.R.; Daware, S.V.; Basavaraj, M.G. Shape anisotropic colloids: Synthesis, packing behavior, evaporation driven assembly, and their application in emulsion stabilization. Soft Mater. 2013, 9, 6711–6725. [Google Scholar] [CrossRef]
- Wu, J.; Ma, G.-H. Recent Studies of Pickering Emulsions: Particles Make the Difference. Small 2016, 12, 4633–4648. [Google Scholar] [CrossRef] [PubMed]
- Stöber, W.; Fink, A.; Bohn, E. Controlled growth of monodisperse silica spheres in the micron size range. J. Colloid Interface Sci. 1968, 26, 62–69. [Google Scholar] [CrossRef]









| Wavenumber (cm−1) | The Reason for the Change of Wavenumber | ||
|---|---|---|---|
| a | b | c | |
| 3423 | 3311 | 3329 | the stretching vibration of O-H |
| 2925 | 2925 | 2925 | the antisymmetric and symmetrical stretching vibration of the functional group -CH2- |
| 2855 | 2855 | 2855 | |
| 1633 | 1633 | 1633 | the bending vibration of H2O |
| 1456 | 1456 | 1456 | the asymmetric angular vibration and symmetrical angular vibration of CH3 |
| 1372 | 1372 | ||
| 1092 | the stretching vibrations of the C-OH group in the alcohol molecule | ||
| 1084 | 1084 | the stretching vibrations of -Si-O-Si- group | |
| 1005 | the stretching vibrations of the C-OH group in the alcohol molecule | ||
| 955 | 955 | the stretching vibrations of -Si-O-Si- group | |
| 879,849 | the bending vibration absorption of the C-H group | ||
| 803 | 803 | the stretching vibrations of -Si-O- group | |
| 648 | the stretching vibrations of the C-OH group in the alcohol molecule | ||
Publisher’s Note: MDPI stays neutral with regard to jurisdictional claims in published maps and institutional affiliations. |
© 2021 by the authors. Licensee MDPI, Basel, Switzerland. This article is an open access article distributed under the terms and conditions of the Creative Commons Attribution (CC BY) license (https://creativecommons.org/licenses/by/4.0/).
Share and Cite
Xiao, Z.; Bao, H.; Jia, S.; Bao, Y.; Niu, Y.; Kou, X. Organic Hollow Mesoporous Silica as a Promising Sandalwood Essential Oil Carrier. Molecules 2021, 26, 2744. https://doi.org/10.3390/molecules26092744
Xiao Z, Bao H, Jia S, Bao Y, Niu Y, Kou X. Organic Hollow Mesoporous Silica as a Promising Sandalwood Essential Oil Carrier. Molecules. 2021; 26(9):2744. https://doi.org/10.3390/molecules26092744
Chicago/Turabian StyleXiao, Zuobing, Heqing Bao, Shuhan Jia, Yutian Bao, Yunwei Niu, and Xingran Kou. 2021. "Organic Hollow Mesoporous Silica as a Promising Sandalwood Essential Oil Carrier" Molecules 26, no. 9: 2744. https://doi.org/10.3390/molecules26092744
APA StyleXiao, Z., Bao, H., Jia, S., Bao, Y., Niu, Y., & Kou, X. (2021). Organic Hollow Mesoporous Silica as a Promising Sandalwood Essential Oil Carrier. Molecules, 26(9), 2744. https://doi.org/10.3390/molecules26092744
