Systematic Study of Quaternary Ammonium Cations for Bromine Sequestering Application in High Energy Density Electrolytes for Hydrogen Bromine Redox Flow Batteries
Abstract
1. Introduction
1.1. State of the Art
1.2. Work Plan
2. Results and Discussion
2.1. Stabiltiy of Two-Phase Electrolytes and Bromine Binding Strength of BCAs
2.1.1. Solubility of [BCA]-Salts in Aqueous HBr Solutions
2.1.2. Stability of Two-Phase Electrolytes and Bromine Binding Strength of BCAs
2.1.3. Influence of Bromide or Chloride Counter Ion of the BCA on Bromine Binding Strength
2.2. Crystallization Behavior of Fused Salt Phases
2.2.1. Influence of the Organic [BCA]+ Cation Structure on the Crystallization of Fused Salt
2.2.2. Polybromide Species in [BCA]Br2n+1 Crystals
2.2.3. Stability of Liquid Fused Salts within the Whole SoC Range
2.3. Bromine Binding Strength of [BCA]+(aq) Cations as a Function of the State of Charge (SoC)
2.4. Effect of the Solubility Equilibrium on the Br2(aq) Concentration for the Whole SoC Range
2.4.1. General Influence of BCA Application on Br2 Concentration in Aqueous Solution
2.4.2. Individual Concentration Trends of Different [BCA]+ Cations
2.4.3. Theoretical Comparison of Br2 Concentrations and Current Densities in the H2/Br2-RFB Cell
2.5. Distribution of Br2 on Polybromides in the Aqueous Phase
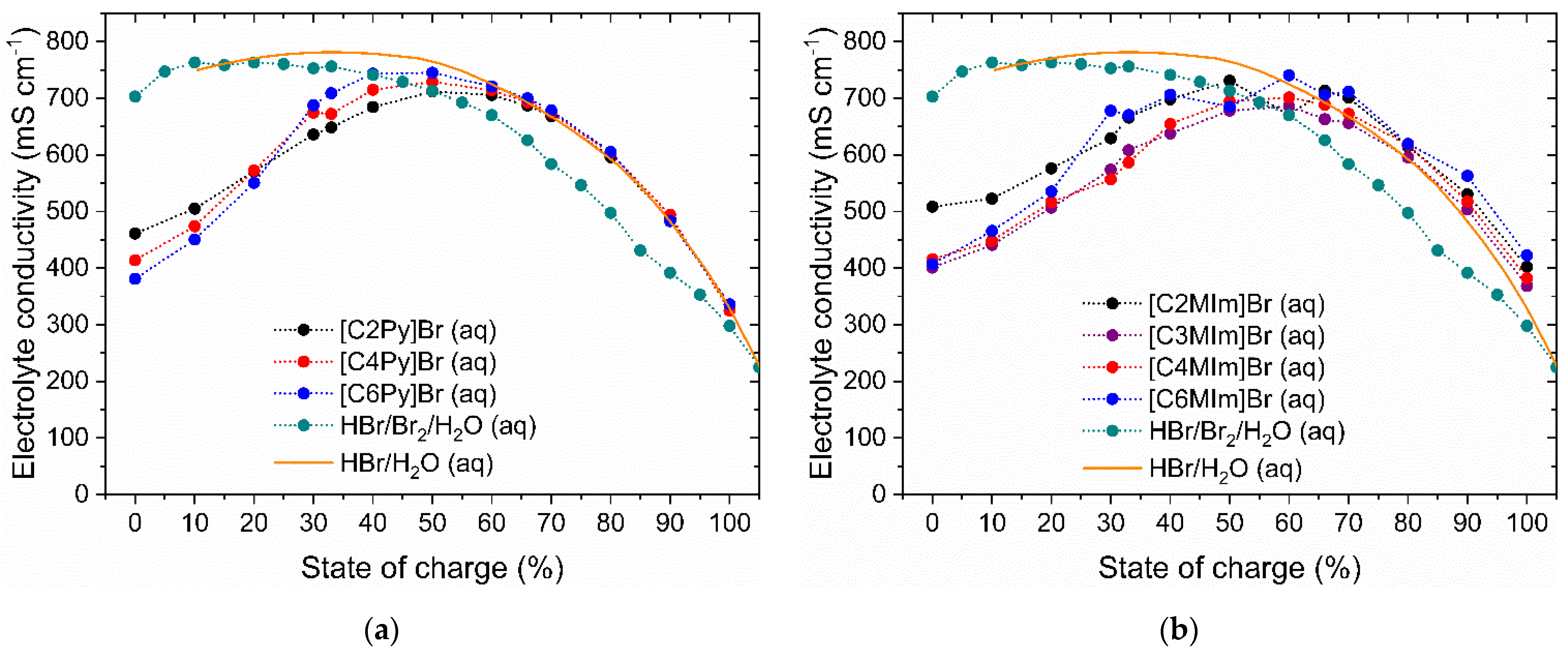
2.6. Influence of Different BCAs on Electrolyte Conductivity of the Aqueous Phase
2.7. Comparison of the Redox Potential of BCA-Free and BCA-Containing Electrolytes
2.8. Interpretation of the Study and Selection of a Promising BCA for Application in Cell Tests
3. Materials and Methods
3.1. Reagents
3.2. Synthesis of Bromine Complexing Agents
3.3. Electrolyte Formulation
3.4. Stability of Fused Salt Electrolyte
3.5. Concentration of [BCA]+ Cations in Aqueous Electrolytes
3.6. Br2 Concentration in Aqueous Electrolyte Phase
3.7. Polybromide Determination, Polybromide Distribution and [BCA]+ Concentration Determination by Raman Analysis
3.8. Electrolytic Conductivities of Aqueous Phase
3.9. Redox Potential of the Electrolytes
4. Conclusions
Supplementary Materials
Author Contributions
Funding
Institutional Review Board Statement
Informed Consent Statement
Data Availability Statement
Acknowledgments
Conflicts of Interest
References
- Noack, J.; Roznyatovskaya, N.; Herr, T.; Fischer, P. The Chemistry of Redox-Flow Batteries. Angew. Chem. Int. Ed. 2015, 54, 9776–9809. [Google Scholar] [CrossRef]
- Ponce de León, C.; Frías-Ferrer, A.; González-García, J.; Szánto, D.A.; Walsh, F.C. Redox flow cells for energy conversion. J. Power Sources 2006, 160, 716–732. [Google Scholar] [CrossRef]
- Weber, A.Z.; Mench, M.M.; Meyers, J.P.; Ross, P.N.; Gostick, J.T.; Liu, Q. Redox flow batteries: A review. J. Appl. Electrochem. 2011, 41, 1137–1164. [Google Scholar] [CrossRef]
- Cho, K.T.; Tucker, M.C.; Weber, A.Z. A Review of Hydrogen/Halogen Flow Cells. Energy Technol. 2016, 4, 655–678. [Google Scholar] [CrossRef]
- Tolmachev, Y.V. Hydrogen-halogen electrochemical cells: A review of applications and technologies. Russ. J. Electrochem. 2014, 50, 301–316. [Google Scholar] [CrossRef]
- Hugo, Y.A.; Kout, W.; Dalessi, G.; Forner-Cuenca, A.; Borneman, Z.; Nijmeijer, K. Techno-Economic Analysis of a Kilo-Watt Scale Hydrogen-Bromine Flow Battery System for Sustainable Energy Storage. Processes 2020, 8, 1492. [Google Scholar] [CrossRef]
- Bajpai, S.N. Vapor pressures of bromine-quaternary ammonium salt complexes for zinc-bromine battery applications. J. Chem. Eng. Data 1981, 26, 2–4. [Google Scholar] [CrossRef]
- Fabjan, C.; Hirss, G. Über die Kinetik und den Mechanismus der Brom/Bromid-Redoxelektrode: Grundlagen von Elektrodenreaktionen. Dechema Monogr. Band 1985, 102, 149–161. [Google Scholar]
- Bard, A.J.; Parsons, R.; Jordan, J. Standard Potentials in Aqueous Solution: Bromine; CRC Press: New York, NY, USA, 1985; ISBN 978-0824772918. [Google Scholar]
- Seidell, A. Solubilities of Inorganic and Organic Compounds; D. Van Nostrand Company: New York, NY, USA, 1919. [Google Scholar]
- Bray, W.C. The hydrolysis of iodine and bromine. J. Am. Chem. Soc. 1910, 32, 932–938. [Google Scholar] [CrossRef][Green Version]
- Worley, F.P. CXVII.—Bromine in solutions of potassium bromide. J. Chem. Soc. Trans. 1905, 87, 1107–1123. [Google Scholar] [CrossRef][Green Version]
- Jones, G.; Baeckström, S. The Standard Potential of the Bromine Electrode. J. Am. Chem. Soc. 1934, 56, 1524–1528. [Google Scholar] [CrossRef]
- Benizri, R.; Lessart, P.; Courvoisier, P. Etude de l’equilibre de Etude de l’equilibre de phases liquides-gaz dans le systeme bromeacide bromhydrique-eau. Hydrog. Energy Vector 1980, 1, 101–116. [Google Scholar] [CrossRef]
- Griffith, R.O.; McKeown, A.; Winn, A.G. The bromine-bromide-tribromide equilibrium. Trans. Faraday Soc. 1932, 28, 101–107. [Google Scholar] [CrossRef]
- Scaife, D.B.; Tyrrell, H.J.V. Equilibrium constants for the reaction between bromine and bromide ions at 5°, 25°, and 35° in aqueous medium of constant ionic strength and acidity. J. Chem. Soc. 1958, 0, 386–392. [Google Scholar] [CrossRef]
- Easton, M.E.; Ward, A.J.; Chan, B.; Radom, L.; Masters, A.F.; Maschmeyer, T. Factors influencing the formation of polybromide monoanions in solutions of ionic liquid bromide salts. Phys. Chem. Chem. Phys. 2016, 18, 7251–7260. [Google Scholar] [CrossRef]
- Yeo, R.S.; Chin, D.-T. A Hydrogen-Bromine Cell for Energy Storage Applications. J. Electrochem. Soc. 1980, 127, 549–555. [Google Scholar] [CrossRef]
- Brewer, L.; Searcy, A.W. Utilization of equilibrium vapor pressure data. J. Chem. Educ. 1949, 26, 548–552. [Google Scholar] [CrossRef]
- Fischer, J.; Bingle, J. The Vapor Pressure of Bromine from 24 to 116°. J. Am. Chem. Soc. 1955, 77, 6511–6512. [Google Scholar] [CrossRef]
- Ramsay, W.; Young, S. XLV.—On the vapour-pressures of bromine and iodine, and on iodine monochloride. J. Chem. Soc., Trans. 1886, 49, 453–462. [Google Scholar] [CrossRef][Green Version]
- Barna, G.G. Oxidation of H[sub 2] at Gas Diffusion Electrodes in H[sub 2]SO[sub 4] and HBr. J. Electrochem. Soc. 1982, 129, 2464. [Google Scholar] [CrossRef]
- Barna, G.G.; Frank, S.N.; Teherani, T.H.; Weedon, L.D. Lifetime Studies in H[sub 2]∕Br[sub 2] Fuel Cells. J. Electrochem. Soc. 1984, 131, 1973. [Google Scholar] [CrossRef]
- Cho, K.T.; Tucker, M.C.; Ding, M.; Ridgway, P.; Battaglia, V.S.; Srinivasan, V.; Weber, A.Z. Cyclic Performance Analysis of Hydrogen/Bromine Flow Batteries for Grid-Scale Energy Storage. ChemPlusChem 2015, 80, 402–411. [Google Scholar] [CrossRef]
- Saadi, K.; Nanikashvili, P.; Tatus-Portnoy, Z.; Hardisty, S.; Shokhen, V.; Zysler, M.; Zitoun, D. Crossover-tolerant coated platinum catalysts in hydrogen/bromine redox flow battery. J. Power Sources 2019, 422, 84–91. [Google Scholar] [CrossRef]
- Kosek, J.A.; Laconti, A.B. Advanced hydrogen electrode for a hydrogen-bromine battery. J. Power Sources 1988, 22, 293–300. [Google Scholar] [CrossRef]
- Schneider, M.; Rajarathnam, G.P.; Easton, M.E.; Masters, A.F.; Maschmeyer, T.; Vassallo, A.M. The influence of novel bromine sequestration agents on zinc/bromine flow battery performance. RSC Adv. 2016, 6, 110548–110556. [Google Scholar] [CrossRef]
- Bryans, D.; Berlouis, L.; Spicer, M.; McMillan, B.G.; Wark, A. Synthesis and Characterisation of Novel Additives for Use in the Hybrid ZnBr 2 Flow Battery. ECS Trans. 2017, 77, 33–36. [Google Scholar] [CrossRef]
- Rajarathnam, G.P.; Easton, M.E.; Schneider, M.; Masters, A.F.; Maschmeyer, T.; Vassallo, A.M. The influence of ionic liquid additives on zinc half-cell electrochemical performance in zinc/bromine flow batteries. RSC Adv. 2016, 6, 27788–27797. [Google Scholar] [CrossRef]
- Bryans, D.; McMillan, B.G.; Spicer, M.; Wark, A.; Berlouis, L. Complexing Additives to Reduce the Immiscible Phase Formed in the Hybrid ZnBr 2 Flow Battery. J. Electrochem. Soc. 2017, 164, A3342–A3348. [Google Scholar] [CrossRef]
- Lancry, E.; Magnes, B.-Z.; Ben-David, I.; Freiberg, M. New Bromine Complexing Agents for Bromide Based Batteries. ECS Trans. 2013, 53, 107–115. [Google Scholar] [CrossRef]
- Cathro, K.J.; Cedzynska, K.; Constable, D.C. Some properties of zinc/bromine battery electrolytes. J. Power Sources 1985, 16, 53–63. [Google Scholar] [CrossRef]
- Hoobin, P.M.; Cathro, K.J.; Niere, J.O. Stability of zinc/bromine battery electrolytes. J. Appl. Electrochem. 1989, 19, 943–945. [Google Scholar] [CrossRef]
- Magnes, B.Z.; David, I.B.; Lancry, E.; Bergstein-Freiberg, M. Additives for Zinc-Bromine Membraneless Flow Cells. U.S. Patent 9,722,272, 1 August 2017. [Google Scholar]
- Linden, D.; Reddy, T.B. Handbook of Batteries, 3rd ed.; McGraw-Hill: New York, NY, USA, 2002; ISBN 0-07-135978-8. [Google Scholar]
- Eustace, D.J. Bromine Complexation in Zinc-Bromine Circulating Batteries. J. Electrochem. Soc. 1980, 127, 528–532. [Google Scholar] [CrossRef]
- Singh, P.; Jonshagen, B. Zinc-bromine battery for energy storage. J. Power Sources 1991, 35, 405–410. [Google Scholar] [CrossRef]
- Kautek, W. In Situ Investigations of Bromine-Storing Complex Formation in a Zinc-Flow Battery at Gold Electrodes. J. Electrochem. Soc. 1999, 146, 3211–3216. [Google Scholar] [CrossRef]
- Jeon, J.-D.; Yang, H.S.; Shim, J.; Kim, H.S.; Yang, J.H. Dual function of quaternary ammonium in Zn/Br redox flow battery: Capturing the bromine and lowering the charge transfer resistance. Electrochim. Acta 2014, 127, 397–402. [Google Scholar] [CrossRef]
- Skyllas-Kazacos, M.; Kazacos, G.; Poon, G.; Verseema, H. Recent advances with UNSW vanadium-based redox flow batteries. Int. J. Energy Res. 2010, 34, 182–189. [Google Scholar] [CrossRef]
- Poon, G.; Parasuraman, A.; Lim, T.M.; Skyllas-Kazacos, M. Evaluation of N-ethyl-N-methyl-morpholinium bromide and N-ethyl-N-methyl-pyrrolidinium bromide as bromine complexing agents in vanadium bromide redox flow batteries. Electrochim. Acta 2013, 107, 388–396. [Google Scholar] [CrossRef]
- Cathro, K.J.; Cedzynska, K.; Constable, D.C.; Hoobin, P.M. Selection of quaternary ammonium bromides for use in zinc/bromine cells. J. Power Sources 1986, 18, 349–370. [Google Scholar] [CrossRef]
- Kautek, W.; Conradi, A.; Fabjan, C.; Bauer, G. In situ FTIR spectroscopy of the Zn–Br battery bromine storage complex at glassy carbon electrodes. Electrochim. Acta 2001, 47, 815–823. [Google Scholar] [CrossRef]
- Saadi, K.; Kuettinger, M.; Fischer, P.; Zitoun, D. Hydrogen-Bromine Redox-Flow Battery Cycling with Bromine Complexing Agent: On the Benefits of Nanoporous Separator Versus Proton Exchange Membrane. Energy Technol. 2021, 9, 2000978. [Google Scholar] [CrossRef]
- Aupoix, A.; Pégot, B.; Vo-Thanh, G. Synthesis of imidazolium and pyridinium-based ionic liquids and application of 1-alkyl-3-methylimidazolium salts as pre-catalysts for the benzoin condensation using solvent-free and microwave activation. Tetrahedron 2010, 66, 1352–1356. [Google Scholar] [CrossRef]
- Bonhôte, P.; Dias, A.-P.; Papageorgiou, N.; Kalyanasundaram, K.; Grätzel, M. Hydrophobic, Highly Conductive Ambient-Temperature Molten Salts †. Inorg. Chem. 1996, 35, 1168–1178. [Google Scholar] [CrossRef]
- Deyko, A.; Hessey, S.G.; Licence, P.; Chernikova, E.A.; Krasovskiy, V.G.; Kustov, L.M.; Jones, R.G. The enthalpies of vaporisation of ionic liquids: New measurements and predictions. PCCP 2012, 14, 3181–3193. [Google Scholar] [CrossRef]
- Butkene, R.V.; Mikul’skene, G.V.; Mikher-Lorka, O.S.; Kupyatis, G.-K.K. Alkylation of 4-picolinium salts under phase transfer conditions. Chem. Heterocycl Compd. 1989, 25, 433–438. [Google Scholar] [CrossRef]
- Ghosh, R.; Ekka, D.; Rajbanshi, B.; Yasmin, A.; Roy, M.N. Synthesis, characterization of 1-butyl-4-methylpyridinium lauryl sulfate and its inclusion phenomenon with β-cyclodextrin for enhanced applications. Colloids Surf., A 2018, 548, 206–217. [Google Scholar] [CrossRef]
- Shimizu, Y.; Wachi, Y.; Fujii, K.; Imanari, M.; Nishikawa, K. NMR Study on Ion Dynamics and Phase Behavior of a Piperidinium-Based Room-Temperature Ionic Liquid: 1-Butyl-1-methylpiperidinium Bis(fluorosulfonyl)amide. J. Phys. Chem. B 2016, 120, 5710–5719. [Google Scholar] [CrossRef]
- Yim, T.; Lee, H.Y.; Kim, H.-J.; Mun, J.; Kim, S.; Oh, S.M.; Kim, Y.G. Synthesis and Properties of Pyrrolidinium and Piperidinium Bis(trifluoromethanesulfonyl)imide Ionic Liquids with Allyl Substituents. Bull. Korean Chem. Soc. 2007, 28, 1567–1572. [Google Scholar] [CrossRef]
- Lungwitz, R.; Spange, S. Determination of hydrogen-bond-accepting and -donating abilities of ionic liquids with halogeno complex anions by means of 1H NMR spectroscopy. Chemphyschem 2012, 13, 1910–1916. [Google Scholar] [CrossRef]
- Hayward, G.C.; Hendra, P.J. The far infra-red and Raman spectra of the trihalide ions IBr−2 and I−3. Spectrochim. Acta Part. A: Mol. Spectrosc. 1967, 23, 2309–2314. [Google Scholar] [CrossRef]
- Evans, J.C.; Lo, G.Y.-S. Vibrational Spectra of the Cl 3 − Ion and Evidence for the Existence of Cl 5−. J. Chem. Phys. 1966, 44, 3638–3639. [Google Scholar] [CrossRef]
- Skyllas-Kazacos, M. Novel vanadium chloride/polyhalide redox flow battery. J. Power Sources 2003, 124, 299–302. [Google Scholar] [CrossRef]
- Chen, X.; Rickard, M.A.; Hull, J.W.; Zheng, C.; Leugers, A.; Simoncic, P. Raman spectroscopic investigation of tetraethylammonium polybromides. Inorg. Chem. 2010, 49, 8684–8689. [Google Scholar] [CrossRef]
- Burns, G.R.; Renner, R.M. A Raman and resonance Raman study of polybromide anions and a study of the temperature dependence of the Raman-active phonons of tetrabutylaminonium tribromide. Spectrochim. Acta Part. A Mol. Spectrosc. 1991, 47, 991–999. [Google Scholar] [CrossRef]
- Person, W.B.; Anderson, G.R.; Fordemwalt, J.N.; Stammreich, H.; Forneris, R. Infrared and Raman Spectra, Force Constants, and the Structures of Some Polyhalide Ions: ICl 2−, ICl 4−, BrCl 2−, and Br 3−. J. Chem. Phys. 1961, 35, 908–914. [Google Scholar] [CrossRef]
- Kanno, H.; Hiraishi, J. Existence of H3O+ ions in glassy aqueous HX solutions (X = Cl and Br). Chem. Phys. Lett. 1984, 107, 438–441. [Google Scholar] [CrossRef]
- Walrafen, G.E. Raman Spectral Studies of Water Structure. J. Chem. Phys. 1964, 40, 3249–3256. [Google Scholar] [CrossRef]
- Kanno, H. Raman study of aqueous HX solutions (X = F, Cl, Br and I) in both liquid and glassy states. J. Raman Spectrosc. 1993, 24, 689–693. [Google Scholar] [CrossRef]
- Murphy, W.F.; Bernstein, H.J. Raman spectra and an assignment of the vibrational stretching region of water. J. Phys. Chem. 1972, 76, 1147–1152. [Google Scholar] [CrossRef]
- Haller, H.; Hog, M.; Scholz, F.; Scherer, H.; Krossing, I.; Riedel, S. [HMIM][Br9]: A Room-temperature Ionic Liquid Based on a Polybromide Anion. Z. Für Nat. B 2013, 68. [Google Scholar] [CrossRef]
- Schrader, B.; Meier, W. Raman/IR Atlas organischer Verbindungen/of Organic Compounds; Verlag Chemie: Weinheim/Bergstr, The Neatherlands, 1974. [Google Scholar]
- Küttinger, M.; Wlodarczyk, J.K.; Daubner, D.; Fischer, P.; Tübke, J. High energy density electrolytes for H 2 /Br 2 redox flow batteries, their polybromide composition and influence on battery cycling limits. RSC Adv. 2021, 11, 5218–5229. [Google Scholar] [CrossRef]
- Hamer, W.J.; DeWane, H.J. Electrolytic Conductance and the Conductances of the Halogen Acids in Water; U. S. Government Printing Office: Washington, DC, USA, 1970.
- Kreuer, K.-D.; Rabenau, A.; Weppner, W. Vehikel-Mechanismus, ein neues Modell zur Deutung der Leitfähigkeit schneller Protonenleiter. Angew. Chem. 1982, 94, 224–225. [Google Scholar] [CrossRef]
- Howe, A.T.; Shilton, M.G. Studies of layered uranium(VI) compounds. I. High proton conductivity in polycrystalline hydrogen uranyl phosphate tetrahydrate. J. Solid State Chem. 1979, 28, 345–361. [Google Scholar] [CrossRef]
- Papancea, A.; Patachia, S.; Porzsolt, A. Conductivity studies of imidazolium-based ionic liquids in aqueous solution. Bull. Transilv. Univ. Bras. 2015, 57, 67–72. [Google Scholar]
- Wlodarczyk, J.; Küttinger, M.; Cantu, B.; Fischer, P.; Schumacher, J. An enhanced 1-D model of a hydrogen-bromine flow battery. In Proceedings of the 16th Symposium on Modeling and Experimental Validation of Electrochemical Energy Technologies (ModVal 2019), Braunschweig, Germany, 12–13 March 2019; Book of Abstracts. Volume 16, p. 93. [Google Scholar] [CrossRef]
- Hamer, W.J.; Wu, Y.-C. Osmotic Coefficients and Mean Activity Coefficients of Uni-univalent Electrolytes in Water at 25 °C. J. Phys. Chem. Ref. Data 1972, 1, 1047–1100. [Google Scholar] [CrossRef]
- Sashina, E.S.; Kashirskii, D.A.; Janowska, G.; Zaborski, M. Thermal properties of 1-alkyl-3-methylpyridinium halide-based ionic liquids. Thermochim. Acta 2013, 568, 185–188. [Google Scholar] [CrossRef]
- Dzyuba, S.V.; Bartsch, R.A. Efficient synthesis of 1-alkyl(aralkyl)-3-methyl(ethyl)imidazolium halides: Precursors for room-temperature ionic liquids. J. Heterocycl. Chem. 2001, 38, 265–268. [Google Scholar] [CrossRef]
- Fleischmann, M.; Hendra, P.J.; McQuillan, A.J. Raman spectra of pyridine adsorbed at a silver electrode. Chem. Phys. Lett. 1974, 26, 163–166. [Google Scholar] [CrossRef]
- Cook, D. Vibrational spectra of pyridinium salts. Can. J. Chem. 1961, 39, 2009–2024. [Google Scholar] [CrossRef]
- Bard, A.J.; Faulkner, L.R. Electrochemical Methods: Fundamentals and Applications, 2nd ed.; John Wiley & Sons, Inc.: New York, NY, USA, 2001; ISBN 978-0-471-04372. [Google Scholar]
- Vielstich, W. Theorie und Anwendung der rotierenden Scheibenelektrode. Z. Anal. Chem. 1960, 173, 84–87. [Google Scholar] [CrossRef]
- Treimer, S.; Tang, A.; Johnson, D.C. A Consideration of the Application of Koutecký-Levich Plots in the Diagnoses of Charge-Transfer Mechanisms at Rotated Disk Electrodes. Electroanalysis 2002, 14, 165. [Google Scholar] [CrossRef]
- Frumkin, A.; Nekrasov, L.; Levich, B.; Ivanov, J. Die Anwendung der rotierenden Scheibenelektrode mit einem Ringe zur Untersuchung von Zwischenprodukten elektrochemischer Reaktionen. J. Electroanal. Chem. (1959) 1959, 1, 84–90. [Google Scholar] [CrossRef]
- Haller, H.; Schröder, J.; Riedel, S. Structural evidence for undecabromide [Br11]-. Angew. Chem. Int. Ed. 2013, 52, 4937–4940. [Google Scholar] [CrossRef]
- Easton, M.E.; Ward, A.J.; Hudson, T.; Turner, P.; Masters, A.F.; Maschmeyer, T. The formation of high-order polybromides in a room-temperature ionic liquid: From monoanions ([Br5 ](-) to [Br11 ](-) ) to the isolation of [PC16 H36 ]2 [Br24 ] as determined by van der Waals Bonding Radii. Chem. Eur. J. 2015, 21, 2961–2965. [Google Scholar] [CrossRef]
- Evans, J.C.; Lo, G.Y. Vibrational spectra of BrO−, BrO2−, Br3−, and Br5−. Inorg. Chem. 1967, 6, 1483–1486. [Google Scholar] [CrossRef]
- Bauer, G.; Drobits, J.; Fabjan, C.; Mikosch, H.; Schuster, P. Raman spectroscopic study of the bromine storing complex phase in a zinc-flow battery. J. Electroanal. Chem. 1997, 427, 123–128. [Google Scholar] [CrossRef]
- Haynes, W.M.; Lide, D.R. (Eds.) CRC Handbook of Chemistry and Physics: A Ready-Reference Book of Chemical and Physical Data, 2015–2016, 96th ed.; CRC Press: Boca Raton, FL, USA, 2015; ISBN 978-1482260960. [Google Scholar]
- Küttinger, M.; Brunetaud, R.; Wlodarczyk, J.K.; Fischer, P.; Tübke, J. Cycle behaviour of hydrogen bromine redox flow battery cells with bromine complexing agents. J. Power Sources 2021, 495, 123–128. [Google Scholar] [CrossRef]









| Quaternary Ammonium Compounds Used as BCAs | |||||
|---|---|---|---|---|---|
![]() | ![]() | ![]() | ![]() | ![]() | ![]() |
| 1-Methylpyrrolidin-1-ium hydrobromide, [HMP]Br (S) | 1-Ethyl-1-methylpyrrolidin-1-iumbromide, [C2MP]Br (=[MEP]Br) (C) | 1-n-Butyl-1-methylpyrrolidin-1-iumbromide, [C4MP]Br (C) | 1-n-Hexyl-1-methylpyrrolidin-1-iumbromide, [C6MP]Br (S) | 1-Ethyl-1-methylmorpholin-1-iumbromide, [C2MM]Br (=[MEM]Br) (C) | 1-n-Butyl-1-methylmorpholin-1-iumbromide, [C4MM]Br (C) |
![]() | ![]() | ![]() | ![]() | ![]() | ![]() |
| Pyridin-1-ium hydrobromide, [HPy]Br (S) | 1-Ethylpyridin-1- iumbromide, [C2Py]Br (S) | 1-n-Butylpyridin-1- iumbromide, [C4Py]Br (S) | 1-n-Butylpyridin-1- iumchloride, [C4Py]Cl (C) | 1-n-Hexylpyridin-1-iumbromide, [C6Py]Br (S) | 1-n-Hexylpyridin-1-iumchloride, [C6Py]Cl (S) |
![]() | ![]() | ![]() | ![]() | ![]() | ![]() |
| 4-Methylpyridine hydrobromide, [H4MPy]Br (S) | 1-Ethyl-4-methylpyridine hydrobromide, [C24MPy]Br (S) | 1-n-Butyl-4-methylpyridine hydrobromide, [C44MPy]Br (S) | 1-n-Hexyl-4-methylpyridine hydrobromide, [C64MPy]Br (S) | 3-Methylpyridine hydrobromide, [H3MPy]Br (S) | 1-Ethyl-3-methylpyridinebromide, [C23MPy]Br (S) |
![]() | ![]() | ![]() | ![]() | ![]() | ![]() |
| 1-n-Butyl-3-methyl-pyridinebromide, [C43MPy]Br (S) | 1-n-Hexyl-3-methyl-pyridinebromide, [C63MPy]Br (S) | 3-Methylimidazol-1-ium hydrobromide, [HMIm]Br (S) | 1-Ethyl-3-methylimidazol-1-iumbromide, [C2MIm]Br (S) | 1-Ethyl-3-methylimidazol-1-iumchloride, [C2MIm]Cl (S) | 1-n-Propyl -3-methylimidazol-1-iumbromide, [C3MIm]Br (S) |
![]() | ![]() | ![]() | ![]() | ![]() | ![]() |
| 1-n-Butyl-3-methyl-imidazol-1-iumbromide, [C4MIm]Br (S) | 1-n-Butyl-3-methyl-imidazol-1-iumchloride, [C4MIm]Cl (C) | 1-n-Hexyl-3-methylimidazol-1-iumbromide, [C6MIm]Br (S) | 1-n-Hexyl-3-methylimidazol-1-iumchloride, [C6MIm]Cl (S) | 1-Methylpiperidin hydrobromide, [HMPip]Br (S) | 1-Ethyl-1-methylpiperidinbromide, [C2MPip]Br (S) |
![]() | ![]() | ![]() | ![]() | ||
| 1-n-Butyl-1-methylpiperidinbromide, [C4MPip]Br (S) | 1-n-Hexyl-1-methylpiperidinbromide, [C6MPip]Br (S) | 1,1,1-Trimethyl-1-n-tetradecylammoniumbromide, [MTA]Br (C) | 1,1,1-Trimethyl-1-n-hexadecylammoniumbromide, [CTA]Br (C) | ||
![]() | ![]() | ![]() | ![]() | ||
| Tetraethylammoniumbromide, [TEA]Br (C) | Tetra-n-butylammoniumbromide, [TBA]Br (C) | Tetra-n-octylammoniumbromide, [TOA]Br (C) | Tetra-n-octylammoniumchloride, [TOA]Cl (C) | ||
| BCA Structure/Name/Abbreviation | SoC Range of Liquid Fused Salt | Characteristic Cation Raman Shifts/cm−1 | Polybromide Raman Shifts in Aqueous Solutions/cm−1 | |
|---|---|---|---|---|
![]() | SoC ≥ 30% | 899, 1452, 2954, 2964, 2989 | ṽS (Br3−) | 165–169 |
| ṽS (Br5−) | 255 | |||
| 1-Ethyl-1-methylpyrrolidin-1-iumbromide, [C2MP]Br (= [MEP]Br) | ṽS (Br7−) | 269 | ||
![]() | SoC ≥ 60% | 685, 701, 2888, 2946, 2985 | ṽS (Br3−) | 165–167 |
| ṽS (Br5−) | 254 | |||
| 1-Ethyl-1-methylmorpholin-1-iumbromide, [C2MM]Br (= [MEM]Br) | ṽS (Br7−) | 269 | ||
![]() | SoC 0–100% | 647, 1029, 1177, 2883, 2919, 2945, 2988, 3098 | ṽS (Br3−) | 165–167 |
| ṽS (Br5−) | 253–254 | |||
| 1-Ethylpyridin-1-iumbromide, [C2Py]Br | ṽS (Br7−) | 269 | ||
![]() | SoC 0–100% | 651, 1030, 1179, 2880, 2914, 2943, 2976, 3097 | ṽS (Br3−) | 167–170 |
| ṽS (Br5−) | 254–257 | |||
| 1-n-Butylpyridin-1-iumbromide, [C4Py]Br | ṽS (Br7−) | 269 | ||
![]() | SoC 0–100% | 649, 1029, 2869, 2910, 2939, 2973, 3097 | ṽS (Br3−) | 164–169 |
| ṽS (Br5−) | 255–256 | |||
| 1-n-Hexylpyridin-1-iumbromide, [C6Py]Br | ṽS (Br7−) | 269 | ||
![]() | SoC ≥ 50% | 598, 1024, 1339, 1419, 2961 | ṽS (Br3−) | 165–168 |
| ṽS (Br5−) | 253–254 | |||
| 1-Ethyl-3-methylimidazol-1-iumbromide, [C2MIm]Br | ṽS (Br7−) | 269 | ||
![]() | SoC 0–100% | 1023, 1337, 1417, 2961 | ṽS (Br3−) | 167–170 |
| ṽS (Br5−) | 254 | |||
| 1-n-Propyl -3-methylimidazol-1-iumbromide, [C3MIm]Br | ṽS (Br7−) | 269 | ||
![]() | SoC 0–100% | 1024, 1339, 1419, 2963 | ṽS (Br3−) | 165–170 |
| ṽS (Br5−) | 254–255 | |||
| 1-n-Butyl-3-methylimidazol-1-iumbromide, [C4MIm]Br | ṽS (Br7−) | 269 | ||
![]() | SoC 0–100% | 1025, 1122, 1341, 1418, 2961 | ṽS (Br3−) | 164–167 |
| ṽS (Br5−) | 253 | |||
| 1-n-Hexyl-3-methylimidazol-1-iumbromide, [C6MIm]Br | ṽS (Br7−) | 269 | ||
| [BCA]+ | [C2Py]+ | [C4Py]+ | [C6Py]+ | [C2MIm]+ | [C3MIm]+ | [C4MIm]+ | [C6MIm]+ |
|---|---|---|---|---|---|---|---|
| SoC limit for detectable [BCA]+/% [a] | ≤70 | ≤66 | ≤40 | ≤60 | ≤50 | ≤40 | ≤33 |
| c(Br2)(aq)/c(Br2)total/% [b] | ≤10.1 | ≤10.3 | ≤8.5 | ≤10.4 | ≤10.0 | ≤10.6 | ≤9.5 |
| C(Br2)(aq) at an SoC of 30%/mM | 121 | 51 | 9 | 105 | 63 | 34 | 8 |
Publisher’s Note: MDPI stays neutral with regard to jurisdictional claims in published maps and institutional affiliations. |
© 2021 by the authors. Licensee MDPI, Basel, Switzerland. This article is an open access article distributed under the terms and conditions of the Creative Commons Attribution (CC BY) license (https://creativecommons.org/licenses/by/4.0/).
Share and Cite
Küttinger, M.; Loichet Torres, P.A.; Meyer, E.; Fischer, P.; Tübke, J. Systematic Study of Quaternary Ammonium Cations for Bromine Sequestering Application in High Energy Density Electrolytes for Hydrogen Bromine Redox Flow Batteries. Molecules 2021, 26, 2721. https://doi.org/10.3390/molecules26092721
Küttinger M, Loichet Torres PA, Meyer E, Fischer P, Tübke J. Systematic Study of Quaternary Ammonium Cations for Bromine Sequestering Application in High Energy Density Electrolytes for Hydrogen Bromine Redox Flow Batteries. Molecules. 2021; 26(9):2721. https://doi.org/10.3390/molecules26092721
Chicago/Turabian StyleKüttinger, Michael, Paulette A. Loichet Torres, Emeline Meyer, Peter Fischer, and Jens Tübke. 2021. "Systematic Study of Quaternary Ammonium Cations for Bromine Sequestering Application in High Energy Density Electrolytes for Hydrogen Bromine Redox Flow Batteries" Molecules 26, no. 9: 2721. https://doi.org/10.3390/molecules26092721
APA StyleKüttinger, M., Loichet Torres, P. A., Meyer, E., Fischer, P., & Tübke, J. (2021). Systematic Study of Quaternary Ammonium Cations for Bromine Sequestering Application in High Energy Density Electrolytes for Hydrogen Bromine Redox Flow Batteries. Molecules, 26(9), 2721. https://doi.org/10.3390/molecules26092721
















































