Simple Synthesis of Red Iridium(III) Complexes with Sulfur-Contained Four-Membered Ancillary Ligands for OLEDs
Abstract
1. Introduction
2. Results and Discussion
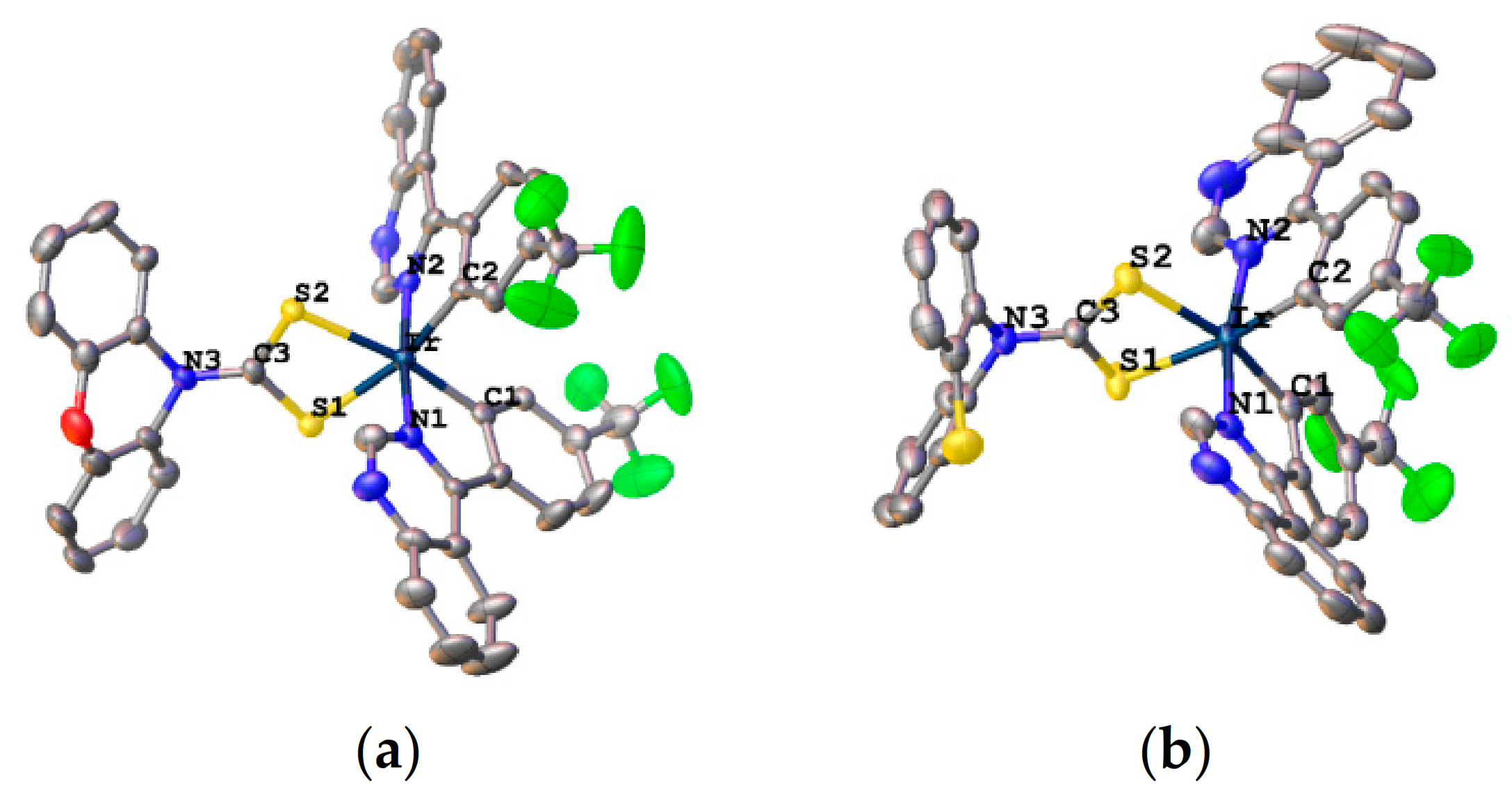
2.1. Preparation and Characterization
2.2. Photophysical Property
2.3. Electrochemical Property and Theoretical Calculation
2.4. OLED Performance
3. Experimental Section
3.1. General Procedures
3.2. Synthesis of Ligands and Complexes
3.2.1. Synthesis of the Main Ligand and [(C^N)2Ir(μ-Cl)]2 Chloride-Bridged Dimer
3.2.2. General Synthesis of the Ancillary Ligands and Ir(III) Complexes
3.2.3. General Synthesis of the Ir(III) Complexes
3.3. OLED Fabrication and Measurement
4. Conclusions
Supplementary Materials
Author Contributions
Funding
Institutional Review Board Statement
Informed Consent Statement
Data Availability Statement
Conflicts of Interest
Sample Availability
References
- Xiao, L.X.; Chen, Z.J.; Qu, B.; Luo, J.X.; Kong, S.; Gong, Q.H.; Kido, J.J. Recent Progresses on Materials for Electrophosphorescent Organic Light-Emitting Devices. Adv. Mater. 2011, 23, 926–952. [Google Scholar] [CrossRef] [PubMed]
- Yang, X.; Zhou, G.; Wong, W.Y. Functionalization of phosphorescent emitters and their host materials by main-group elements for phosphorescent organic light-emitting devices. Chem. Soc. Rev. 2015, 44, 8484–8575. [Google Scholar] [CrossRef] [PubMed]
- Han, H.B.; Cui, R.Z.; Jing, Y.M.; Lu, G.Z.; Zheng, Y.X.; Zhou, L.; Zuo, J.L.; Zhang, H. Highly efficient orange-red electroluminescence of iridium complexes with good electron mobility. J. Mater. Chem. C 2017, 5, 8150–8159. [Google Scholar] [CrossRef]
- Tao, Y.T.; Yang, C.L.; Qin, J.G. Organic host materials for phosphorescent organic light-emitting diodes. Chem. Soc. Rev. 2011, 40, 2943–2970. [Google Scholar] [CrossRef] [PubMed]
- Yang, C.H.; Cheng, Y.M.; Chi, Y.; Hsu, C.J.; Fang, F.C. Blue-Emitting Heteroleptic Iridium(III) Complexes Suitable for High-Efficiency Phosphorescent OLEDs. Angew. Chem. Int. Ed. 2006, 46, 2418–2421. [Google Scholar] [CrossRef]
- Duan, J.P.; Sun, P.P.; Cheng, C.H. New Iridium Complexes as Highly Efficient Orange-Red Emitters in Organic Light-Emitting Diodes. Adv. Mater. 2003, 15, 224–228. [Google Scholar] [CrossRef]
- Ma, D.X.; Zhang, C.; Qiu, Y.; Duan, L. Sublimable Cationic Iridium(III) Complexes with 1,10-Phenanthroline Derivatives as Ancillary Ligands for Highly Efficient and Polychromic Electroluminescence. Chem. Eur. J. 2016, 22, 15888–15895. [Google Scholar] [CrossRef]
- Bodedla, G.B.; Thomas, K.R.J.; Kumar, S.; Jou, J.H.; Li, C.J. Phenothiazine-based bipolar green-emitters containing benzimidazole units: Synthesis, photophysical and electroluminescence properties. RSC Adv. 2015, 5, 87416–87428. [Google Scholar] [CrossRef]
- Zhang, Q.; Wang, X.L.; Wang, X.; Wang, L.; Zhang, J.L. Computational studies of electronic structures and photophysical properties of luminescent iridium(III) complexes based on amidinate/bis(pyridylphenyl) ligands. Org. Electron. 2016, 33, 281–289. [Google Scholar] [CrossRef]
- Lamansky, S.; Djurovich, P.; Murphy, D.; Abdel-Razzaq, F.; Thompson, M.E. Highly Phosphorescent Bis-Cyclometalated Iridium Complexes: Synthesis, Photophysical Characterization, and Use in Organic Light Emitting Diodes. J. Am. Chem. Soc. 2001, 123, 4304–4312. [Google Scholar] [CrossRef]
- Cheung, W.M.; Lai, C.Y.; Zhang, Q.F.; Wong, W.Y.; Williams, I.D.; Leung, W.H. Iridium and rhodium complexes containing dichalcogenoimidodiphosphinato ligands. Polyhedron 2007, 359, 2712–2720. [Google Scholar] [CrossRef]
- Su, N.; Zheng, Y.X. Four-membered red iridium(III) complexes with Ir–S–P–S structures: Rapid room-temperature synthesis and application in OLEDs. Dalton Trans. 2019, 48, 7583–7588. [Google Scholar] [CrossRef]
- Nguyen, V.H.; Khoo, R.S.H.; Yip, J.H.K. Ir(2-Phenylpyridine)2(benzene-1,2-dithiolate) Anion as a Diastereoselective Metalloligand and Nucleophile: Stereoelectronic Effect, Spectroscopy, and Computational Study of the Methylated and Aurated Complexes and their Oxygenation Products. Inorg. Chem. 2015, 5, 2264–2277. [Google Scholar] [CrossRef]
- Lau, M.K.; Cheung, K.M.; Zhang, Q.F.; Song, Y.; Wong, W.T.; Williams, D.; Leung, W.H. Iridium(III) and rhodium(III) cyclometalated complexes containing sulfur and selenium donor ligands. J. Organomet. Chem. 2004, 689, 2401–2410. [Google Scholar] [CrossRef]
- Liang, X.; Zhang, F.; Yan, Z.P.; Wu, Z.G.; Zheng, Y.; Cheng, G.; Wang, Y.; Zuo, J.L.; Pan, Y.; Che, C.M. Fast Synthesis of Iridium(III) Complexes Incorporating a Bis(diphenylphorothioyl)amide Ligand for Efficient Pure Green OLEDs. ACS Appl. Mater. Interfaces 2019, 11, 7184–7191. [Google Scholar] [CrossRef]
- Lu, G.Z.; Su, N.; Yang, H.; Zhu, Q.; Zhang, W.W.; Zheng, Y.; Zhou, L.; Zuo, J.L.; Chen, Z.X.; Zhang, H. Rapid room temperature synthesis of red iridium(III) complexes containing a four-membered Ir-S-C-S chelating ring for highly efficient OLEDs with EQE over 30%. Chem. Sci. 2019, 10, 3535–3542. [Google Scholar] [CrossRef]
- Chen, L.Q.; Yang, C.L.; Qin, J.G.; Jia, G.; Ma, D. Luminescent iridium(III) complexes with mixed 2-phenylpyridinato-C2,N and dithionate ligands for dopant emitter in OLEDs. Synth. Met. 2005, 152, 225–228. [Google Scholar] [CrossRef]
- Chen, L.Q.; You, H.; Yang, C.L.; Zhang, X.W.; Qin, J.G.; Ma, D. Tuning the saturated red emission: Synthesis, electrochemistry and photophysics of 2-arylquinoline based iridium(III) complexes and their application in OLEDs. J. Mater. Chem. 2006, 16, 3332–3339. [Google Scholar] [CrossRef]
- Chen, L.Q.; You, H.; Yang, C.L.; Ma, D.; Qin, J.G. Novel, highly efficient blue-emitting heteroleptic iridium(III) complexes based on fluorinated 1,3,4-oxadiazole: Tuning to blue by dithiolate ancillary ligands. Chem. Commun. 2007, 13, 1352–1354. [Google Scholar] [CrossRef]
- Mei, Q.B.; Chen, C.; Tian, R.Q.; Yang, M.; Tong, B.H.; Hua, Q.F.; Shi, Y.J.; Fan, Q.L.; Ye, S.H. Highly Efficient Orange Phosphorescent Organic Light-Emitting Diodes Based on Iridium(III) Complex with Diethyldithiocarbamate (S^S) as the Ancillary Ligand. RSC Adv. 2016, 6, 64003–64008. [Google Scholar] [CrossRef]
- Lu, G.Z.; Li, X.; Liu, L.; Zhou, L.; Zheng, Y.X.; Zhang, W.W.; Zuo, J.L.; Zhang, H. Correction: Efficient phosphorescent red iridium(III) complexes containing a four-membered Ir-S-C-S ring backbone and large hindered spacers for high-performance OLEDs. J. Mater. Chem. C 2019, 7, 3863–3868. [Google Scholar] [CrossRef]
- Su, N.; Li, F.L.; Zheng, Y.X. Four-membered red iridium(III) complexes with Ir-S-C-S structures for efficient organic light-emitting diodes. J. Mater. Chem. C 2020, 8, 7411–7416. [Google Scholar] [CrossRef]
- Padungros, P.; Wei, A. Practical Synthesis of Aromatic Dithiocarbamates. Synth. Commun. 2014, 44, 2336–2343. [Google Scholar] [CrossRef]
- Yan, Z.P.; Liao, K.; Han, H.B.; Su, J.; Zheng, Y.X.; Zuo, J.L. Chiral iridium(III) complexes with four-membered Ir–S–P–S chelating rings for high-performance circularly polarized OLEDs. Chem. Commun. 2019, 55, 8215–8218. [Google Scholar] [CrossRef]
- Song, Y.H.; Yeh, S.J.; Chen, C.T.; Chi, Y.; Liu, C.S.; Yu, J.K.; Hu, Y.H.; Chou, P.T.; Peng, S.M.; Lee, G.H. Bright and Efficient, Non-Doped, Phosphorescent Organic Red-Light-Emitting Diodes. Adv. Funct. Mater. 2010, 14, 1221–1226. [Google Scholar] [CrossRef]
- Chen, L.Q.; Yang, C.L.; Qin, J.; Gao, J.; You, H.; Ma, D. Synthesis, structure, electrochemistry, photophysics and electroluminescence of 1,3,4-oxadiazole-based ortho-metalated iridium(III) complexes. J. Organomet. Chem. 2006, 691, 3519–3530. [Google Scholar] [CrossRef]
- Na, H.; Teets, T.S. Highly Luminescent Cyclometalated Iridium Complexes Generated by Nucleophilic Addition to Coordinated Isocyanides. J. Am. Chem. Soc. 2018, 140, 6353–6360. [Google Scholar] [CrossRef]
- Lai, P.N.; Brysacz, C.H.; Alam, M.K.; Ayoub, N.A.; Gray, T.G.; Bao, J.; Teets, T.S. Highly Efficient Red-Emitting Bis-Cyclometalated Iridium Complexes. J. Am. Chem. Soc. 2018, 140, 10198–10207. [Google Scholar] [CrossRef]
- Ma, X.F.; Xia, J.C.; Yan, Z.P.; Luo, X.F.; Wu, Z.G.; Zheng, Y.; Zhang, W.W. Highly efficient green and red electroluminescence with an extremely low efficiency roll-off based on iridium(III) complexes containing a bis(diphenylphorothioyl)amide ancillary ligand. J. Mater. Chem. C 2019, 7, 2570–2576. [Google Scholar] [CrossRef]
- Yang, X.; Xu, X.; Dang, J.S.; Zhou, G.; Ho, C.L.; Wong, W.Y. From Mononuclear to Dinuclear Iridium(III) Complex: Effective Tuning of the Optoelectronic Characteristics for Organic Light-Emitting Diodes. Inorg. Chem. 2016, 55, 1720–1727. [Google Scholar] [CrossRef]
- Luo, X.F.; Qu, Z.Z.; Han, H.B.; Su, J.; Yan, Z.P.; Zhang, X.M.; Tong, J.J.; Zheng, Y.X.; Zuo, J.L. Carbazole-Based Iridium(III) Complexes for Electrophosphorescence with EQE of 32.2% and Low Efficiency Roll-Off. Adv. Opt. Mater. 2020, 9, 2001390–2001396. [Google Scholar] [CrossRef]
- Tsuboyama, A.; Iwawaki, H.; Furugori, M.; Mukaide, T.; Kamatani, J.; Igawa, S.; Moriyama, T.; Miura, S.; Takiguchi, T.; Oka Da, S. Homoleptic cyclometalated iridium complexes with highly efficient red phosphorescence and application to organic light-emitting diode. J. Am. Chem. Soc. 2003, 125, 12971–12979. [Google Scholar] [CrossRef]
- Reineke, S.; Walzer, K.; Leo, K. Triplet-exciton quenching in organic phosphorescent light-emitting diodes with Ir-based emitters. Phys. Rev. B 2007, 75, 125328. [Google Scholar] [CrossRef]
- Zhu, Y.C.; Zhou, L.; Li, H.Y.; Xu, Q.L.; Teng, M.Y.; Zheng, Y.X.; Zuo, J.L.; Zhang, H.J.; You, X.Z. Highly Efficient Green and Blue-Green Phosphorescent OLEDs Based on Iridium Complexes with the Tetraphenylimidodiphosphinate Ligand. Adv. Mater. 2011, 23, 4041–4046. [Google Scholar] [CrossRef]
- Su, N.; Yang, H.Q.; Zheng, Y.X.; Chen, Z.X. Sulfur atom containing ligands induced rapid room temperature synthesis of red iridium(III) complexes with Ir-S-P-S structures for OLEDs. New J. Chem. 2019, 43, 8722–8727. [Google Scholar] [CrossRef]
- Cho, M.J.; Jin, J.-I.; Choi, D.H.; Yoon, J.H.; Hong, C.S.; Kim, Y.M.; Park, Y.W.; Ju, B.-K. Tunable emission of polymer light emitting diodes bearing green-emitting Ir(III) complexes: The structural role of 9-((6-(4-fluorophenyl)pyridin-3-yl)methyl)-9H-carbazole ligands. Dyes Pigm. 2010, 85, 143–151. [Google Scholar] [CrossRef]
- Zhang, Y.P.; Liang, X.; Luo, X.F.; Song, S.Q.; Pan, Y. Chiral Spiro-Axis Induced Blue Thermally Activated Delayed Fluorescence Material for Efficient Circularly Polarized OLEDs with Low Efficiency Roll-off. Angew. Chem. Int. Ed. 2021, 133, 8516–8521. [Google Scholar] [CrossRef]
- Min, J.C.; Jin, J.I.; Dong, H.C.; Kim, Y.M.; Park, Y.W.; Ju, B.K. Phosphorescent, green-emitting Ir(III) complexes with carbazolyl-substituted 2-phenylpyridine ligands: Effect of binding mode of the carbazole group on photoluminescence and electrophosphorescence. Dyes Pigm. 2009, 83, 218–224. [Google Scholar]
- Liu, Z.W.; Bian, Z.Q.; Feng, H.; Nie, D.B.; Fei, D.; Chen, Z.Q.; Huang, C.H. Highly efficient, orange-red organic light-emitting diodes using a series of green-emission iridium complexes as hosts. Org. Electron. 2009, 10, 247–255. [Google Scholar] [CrossRef]
- Yeh, S.J.; Wu, M.F.; Chen, C.T.; Song, Y.H.; Chi, Y.; Ho, M.H.; Hsu, S.F.; Chen, C.H. New Dopant and Host Materials for Blue-Light-Emitting Phosphorescent Organic Electroluminescent Devices. Adv. Mater. 2005, 17, 285–289. [Google Scholar] [CrossRef]






| Complex | Td a (°C) | Absorption b (λ, nm) | Emission b (λmax, nm) | τ298K c (μs) | ΦP c (%) | HOMO/LUMO d (eV) |
|---|---|---|---|---|---|---|
| Ir-1 | 329 | 326/437 | 622 | 0.45 | 35.4 | −5.67/−3.55 |
| Ir-2 | 343 | 341/433 | 619 | 0.46 | 50.4 | −5.57/−3.54 |
| Ir-3 | 375 | 328/437 | 622 | 0.59 | 52.8 | −5.57/−3.56 |
| Device | Vturn-on a (V) | Lmax b [cd m−2(V)] | ηc,max c [cd A−1(V)] | ηp,max d [lm W−1(V)] | EQEmax e (%) | CIE (x,y) |
|---|---|---|---|---|---|---|
| D1 | 4.1 | 14,080(13.3) | 10.86(7.3) | 4.70(6.4) | 8.8 | (0.62, 0.34) |
| D2 | 3.8 | 18,740(10.3) | 15.23(6.2) | 8.04(5.6) | 11.0 | (0.64, 0.35) |
| D3 | 3.5 | 22,480(10.2) | 23.71(5.1) | 16.23(4.5) | 18.1 | (0.63, 0.35) |
Publisher’s Note: MDPI stays neutral with regard to jurisdictional claims in published maps and institutional affiliations. |
© 2021 by the authors. Licensee MDPI, Basel, Switzerland. This article is an open access article distributed under the terms and conditions of the Creative Commons Attribution (CC BY) license (https://creativecommons.org/licenses/by/4.0/).
Share and Cite
Mao, M.-X.; Li, F.-L.; Shen, Y.; Liu, Q.-M.; Xing, S.; Luo, X.-F.; Tu, Z.-L.; Wu, X.-J.; Zheng, Y.-X. Simple Synthesis of Red Iridium(III) Complexes with Sulfur-Contained Four-Membered Ancillary Ligands for OLEDs. Molecules 2021, 26, 2599. https://doi.org/10.3390/molecules26092599
Mao M-X, Li F-L, Shen Y, Liu Q-M, Xing S, Luo X-F, Tu Z-L, Wu X-J, Zheng Y-X. Simple Synthesis of Red Iridium(III) Complexes with Sulfur-Contained Four-Membered Ancillary Ligands for OLEDs. Molecules. 2021; 26(9):2599. https://doi.org/10.3390/molecules26092599
Chicago/Turabian StyleMao, Meng-Xi, Fang-Ling Li, Yan Shen, Qi-Ming Liu, Shuai Xing, Xu-Feng Luo, Zhen-Long Tu, Xue-Jun Wu, and You-Xuan Zheng. 2021. "Simple Synthesis of Red Iridium(III) Complexes with Sulfur-Contained Four-Membered Ancillary Ligands for OLEDs" Molecules 26, no. 9: 2599. https://doi.org/10.3390/molecules26092599
APA StyleMao, M.-X., Li, F.-L., Shen, Y., Liu, Q.-M., Xing, S., Luo, X.-F., Tu, Z.-L., Wu, X.-J., & Zheng, Y.-X. (2021). Simple Synthesis of Red Iridium(III) Complexes with Sulfur-Contained Four-Membered Ancillary Ligands for OLEDs. Molecules, 26(9), 2599. https://doi.org/10.3390/molecules26092599

