Phytochemical Analysis, Antioxidant and Anticancer Potential of Sideritis niveotomentosa: Endemic Wild Species of Turkey
Abstract
1. Introduction
2. Results
2.1. GC-MS Analysis of Extracts
2.2. Antioxidant Capacity of the Extracts
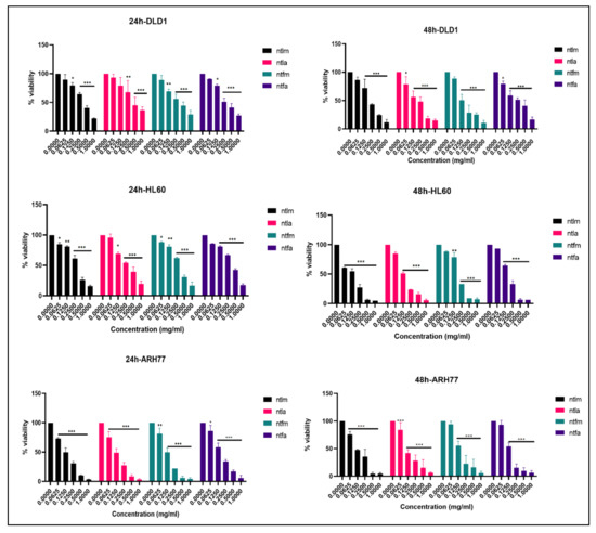
2.3. Cytotoxicity of the Extracts
2.4. Real Time PCR Results
3. Discussion
4. Materials and Methods
4.1. Plant Material
4.2. Preparation of Plant Extracts
4.3. GC-MS Analysis
4.4. Total Phenolic, Flavonoid Content and DPPH Assay
4.5. MTT Assay
4.6. Real-Time PCR
5. Conclusions
Author Contributions
Funding
Institutional Review Board Statement
Informed Consent Statement
Data Availability Statement
Conflicts of Interest
Sample Availability
References
- Mendoza, N.; Silva, E.M.E. Introduction to phytochemicals: Secondary metabolites from plants with active principles for pharmacological importance. In Phytochemicals: Source of Antioxidants and Role in Disease Prevention; Asao, T., Asaduzzaman, M., Eds.; IntechOpen: London, UK, 2018; Volume 25. [Google Scholar]
- Gad, S.C. Drug Discovery Handbook; John Wiley & Sons: Hoboken, NJ, USA, 2005; Volume 1. [Google Scholar]
- Guner, A.; Aslan, S.; Ekim, T.; Vural, M.; Babac, M. Turkiye bitkileri listesi (Damarlı Bitkiler). In Nezahat Gökyigit Botanik Bahçesi ve Flora Araştırmaları Derneği Yayını. Flora Dizisi I; Nezahat Gökyigit Botanik Bahçesi: Istanbul, Turkey, 2012. [Google Scholar]
- Zvezdina, E.; Dayronas, J.; Bochkareva, I.; Zilfikarov, I.; Babaeva, E.Y.; Ferubko, E.; Guseynova, Z.; Serebryanaya, F.; Kaibova, S.; Ibragimov, T. Members Of The Family Lamiaceae Lindl. As Sources Of Medicinal Plant Raw Materials To Obtain Neurotropic Drugs. Sci. Pract. J. 2020, 8, 4–28. [Google Scholar] [CrossRef]
- Harley, R.M.; Atkins, S.; Budantsev, A.L.; Cantino, P.D.; Conn, B.J.; Grayer, R.; Harley, M.M.; De Kok, R.d.; Krestovskaja, T.d.; Morales, R. Labiatae. In Flowering Plants· Dicotyledons; Springer: Berlin/Heidelberg, Germany, 2004; pp. 167–275. [Google Scholar]
- Panuccio, M.; Fazio, A.; Musarella, C.; Mendoza-Fernández, A.; Mota, J.; Spampinato, G. Seed germination and antioxidant pattern in Lavandula multifida (Lamiaceae): A comparison between core and peripheral populations. Plant Biosyst. Int. J. Deal. All Asp. Plant Biol. 2018, 152, 398–406. [Google Scholar] [CrossRef]
- Perrino, E.V.; Valerio, F.; Gannouchi, A.; Trani, A.; Mezzapesa, G. Ecological and Plant Community Implication on Essential Oils Composition in Useful Wild Officinal Species: A Pilot Case Study in Apulia (Italy). Plants 2021, 10, 574. [Google Scholar] [CrossRef]
- Loğoğlu, E.; Arslan, S.; Öktemer, A.; Şakõyan, İ. Biological activities of some natural compounds from Sideritis sipylea Boiss. Phytother. Res. Int. J. Devoted Pharmacol. Toxicol. Eval. Nat. Prod. Deriv. 2006, 20, 294–297. [Google Scholar]
- Abeshi, A.; Precone, V.; Beccari, T.; Dundar, M.; Falsini, B.; Bertelli, M. Pharmacologically active fractions of Sideritis spp. and their use in inherited eye diseases. Eurobiotech J. 2017, 1, 6–10. [Google Scholar] [CrossRef]
- Romanucci, V.; Di Fabio, G.; D’Alonzo, D.; Guaragna, A.; Scapagnini, G.; Zarrelli, A. Traditional uses, chemical composition and biological activities of Sideritis raeseri Boiss. & Heldr. J. Sci. Food Agric. 2017, 97, 373–383. [Google Scholar] [PubMed]
- Żyżelewicz, D.; Kulbat-Warycha, K.; Oracz, J.; Żyżelewicz, K. Polyphenols and Other Bioactive Compounds of Sideritis Plants and Their Potential Biological Activity. Molecules 2020, 25, 3763. [Google Scholar] [CrossRef] [PubMed]
- Lytra, K.; Tomou, E.-M.; Chrysargyris, A.; Drouza, C.; Skaltsa, H.; Tzortzakis, N. Traditionally Used Sideritis cypria Post.: Phytochemistry, Nutritional Content, Bioactive Compounds of Cultivated Populations. Front. Pharmacol. 2020, 11, 650. [Google Scholar] [CrossRef] [PubMed]
- Aligiannis, N.; Kalpoutzakis, E.; Chinou, I.; Mitakou, S.; Gikas, E.; Tsarbopoulos, A. Composition and antimicrobial activity of the essential oils of five taxa of Sideritis from Greece. J. Agric. Food Chem. 2001, 49, 811–815. [Google Scholar] [CrossRef]
- Abad Martinez, M.; Guerra Guirao, J.; Bedoya del Olmo, L.; Bermejo Benito, P. Antiviral activity of medicinal plants. Curr. Top. Phytochem. 2004, 6, 113–123. [Google Scholar]
- Gürbüz, I.; Özkan, A.M.; Yesilada, E.; Kutsal, O. Anti-ulcerogenic activity of some plants used in folk medicine of Pinarbasi (Kayseri, Turkey). J. Ethnopharmacol. 2005, 101, 313–318. [Google Scholar] [CrossRef] [PubMed]
- Güvenç, A.; Okada, Y.; Akkol, E.K.; Duman, H.; Okuyama, T.; Çalış, İ. Investigations of anti-inflammatory, antinociceptive, antioxidant and aldose reductase inhibitory activities of phenolic compounds from Sideritis brevibracteata. Food Chem. 2010, 118, 686–692. [Google Scholar] [CrossRef]
- Stagos, D.; Portesis, N.; Spanou, C.; Mossialos, D.; Aligiannis, N.; Chaita, E.; Panagoulis, C.; Reri, E.; Skaltsounis, L.; Tsatsakis, A.M. Correlation of total polyphenolic content with antioxidant and antibacterial activity of 24 extracts from Greek domestic Lamiaceae species. Food Chem. Toxicol. 2012, 50, 4115–4124. [Google Scholar] [CrossRef] [PubMed]
- González-Burgos, E.; Carretero, M.; Gómez-Serranillos, M. Sideritis spp.: Uses, chemical composition and pharmacological activities—A review. J. Ethnopharmacol. 2011, 135, 209–225. [Google Scholar] [CrossRef]
- Yeşilada, E.; Honda, G.; Sezik, E.; Tabata, M.; Fujita, T.; Tanaka, T.; Takeda, Y.; Takaishi, Y. Traditional medicine in Turkey. V. Folk medicine in the inner Taurus Mountains. J. Ethnopharmacol. 1995, 46, 133–152. [Google Scholar] [CrossRef]
- Çarıkçı, S.; Kılıç, T.; Azizoğlu, A.; Topçu, G. Chemical Constituents of Two Endemic Sideritis Species from Turkey with Antioxidant Activity. Rec. Nat. Prod. 2012, 6, 101–109. [Google Scholar]
- Wagensommer, R.P.; Medagli, P.; Turco, A.; Perrino, E.V. Iucn Red List Evaluation of The Orchidaceae Endemic to Apulia (Italy) and Considerations on the Application of the Iucn Protocol to Rare Species. Nat. Conserv. Res. 2020, 5, 90–101. [Google Scholar] [CrossRef]
- Krigas, N.; Tsoktouridis, G.; Anestis, I.; Khabbach, A.; Libiad, M.; Megdiche-Ksouri, W.; Ghrabi-Gammar, Z.; Lamchouri, F.; Tsiripidis, I.; Tsiafouli, M.A. Exploring the potential of neglected local endemic plants of three Mediterranean regions in the ornamental sector: Value chain feasibility and readiness timescale for their sustainable exploitation. Sustainability 2021, 13, 2539. [Google Scholar] [CrossRef]
- Wei, P.-L.; Huang, C.-Y.; Chang, Y.-J. Propyl gallate inhibits hepatocellular carcinoma cell growth through the induction of ROS and the activation of autophagy. PLoS ONE 2019, 14, e0210513. [Google Scholar] [CrossRef]
- Parthipan, B.; Suky, M.; Mohan, V. GC-MS analysis of phytocomponents in Pleiospermium alatum (Wall. ex Wight & Arn.) Swingle,(Rutaceae). J. Pharmacogn. Phytochem. 2015, 4, 216–222. [Google Scholar]
- Takahashi, T.; Kobori, M.; Shinmoto, H.; TsUsHIDA, T. Structure-activity relationships of flavonoids and the induction of granulocytic-or monocytic-differentiation in HL60 human myeloid leukemia cells. Biosci. Biotechnol. Biochem. 1998, 62, 2199–2204. [Google Scholar] [CrossRef] [PubMed]
- Maruszewska, A.; Tarasiuk, J. Quercetin triggers induction of apoptotic and lysosomal death of sensitive and multidrug resistant leukaemia HL60 cells. Nutr. Cancer 2021, 73, 484–501. [Google Scholar] [CrossRef] [PubMed]
- Yuan, Z.; Long, C.; Junming, T.; Qihuan, L.; Youshun, Z.; Chan, Z. Quercetin-induced apoptosis of HL-60 cells by reducing PI3K/Akt. Mol. Biol. Rep. 2012, 39, 7785–7793. [Google Scholar] [CrossRef] [PubMed]
- Lee, W.-J.; Hsiao, M.; Chang, J.-L.; Yang, S.-F.; Tseng, T.-H.; Cheng, C.-W.; Chow, J.-M.; Lin, K.-H.; Lin, Y.-W.; Liu, C.-C. Quercetin induces mitochondrial-derived apoptosis via reactive oxygen species-mediated ERK activation in HL-60 leukemia cells and xenograft. Arch. Toxicol. 2015, 89, 1103–1117. [Google Scholar] [CrossRef]
- Barberan, F.A.; Mañez, S.; Villar, A. Identification of antiinflammatory agents from Sideritis species growing in Spain. J. Nat. Prod. 1987, 50, 313–314. [Google Scholar] [CrossRef] [PubMed]
- Alcaraz, M.; Jimenez, M.; Valverde, S.; Sanz, J.; Rabanal, R.; Villar, A. Anti-inflammatory compounds from Sideritis javalambrensis n-hexane extract. J. Nat. Prod. 1989, 52, 1088–1091. [Google Scholar] [CrossRef]
- Zarzuclo, A.; Garcia, E.; Jimenez, J.; Ocete, M. Anti-inflammatory and anti-ulcerative activity of various species of the genus Sideritis from the Alpujarra region of Spain. Fitoter. Milano 1993, 64, 26. [Google Scholar]
- Ezer, N.; Akcos, Y.; Rodriguez, B.; Abbasoğlu, U. Sideritis libanotica Labill. subsp. linearis (Bentham) Bornm.’den elde edilen iridoit heteroziti ve antimikrobiyal aktivitesi. Hacet. Üniv. J. Fac. Pharm. 1995, 15, 15–21. [Google Scholar]
- Aboutabl, E.; Nassar, M.; Elsakhawy, F.; Maklad, Y.; Osman, A.; El-Khrisy, E. Phytochemical and pharmacological studies on Sideritis taurica Stephan ex Wild. J. Ethnopharmacol. 2002, 82, 177–184. [Google Scholar] [CrossRef]
- Hernández-Pérez, M.; Rabanal, R.M. Evaluation of the antinflammatory and analgesic activity of Sideritis canariensis var. pannosa in mice. J. Ethnopharmacol. 2002, 81, 43–47. [Google Scholar] [CrossRef]
- Basile, A.; Senatore, F.; Gargano, R.; Sorbo, S.; Del Pezzo, M.; Lavitola, A.; Ritieni, A.; Bruno, M.; Spatuzzi, D.; Rigano, D. Antibacterial and antioxidant activities in Sideritis italica (Miller) Greuter et Burdet essential oils. J. Ethnopharmacol. 2006, 107, 240–248. [Google Scholar] [CrossRef] [PubMed]
- Küpeli, E.; Şahin, F.P.; Çalış, İ.; Yeşilada, E.; Ezer, N. Phenolic compounds of Sideritis ozturkii and their in vivo anti-inflammatory and antinociceptive activities. J. Ethnopharmacol. 2007, 112, 356–360. [Google Scholar] [CrossRef] [PubMed]
- Charami, M.T.; Lazari, D.; Karioti, A.; Skaltsa, H.; Hadjipavlou-Litina, D.; Souleles, C. Antioxidant and antiinflammatory activities of Sideritis perfoliata subsp. perfoliata (Lamiaceae). Phytother. Res. Int. J. Devoted Pharmacol. Toxicol. Eval. Nat. Prod. Deriv. 2008, 22, 450–454. [Google Scholar] [CrossRef] [PubMed]
- Srivastava, S.; Somasagara, R.; Hegde, M.; Nishana, M.; Tadi, S.; Srivastava, M. Quercetin, a Natural Flavonoid Interacts with DNA, Arrests Cell Cycle and Causes Tumor Regression by Activating Mitochondrial Pathway of Apoptosis. Sci. Rep. 2016, 6, 24049. [Google Scholar] [CrossRef]
- Kara, M.; Sahin, H.; Turumtay, H.; Dinc, S.; Gumuscu, A. The phenolic composition and antioxidant activity of tea with different parts of Sideritis condensate at different steeping conditions. J. Food Nutr. Res. 2014, 2, 258–262. [Google Scholar] [CrossRef][Green Version]
- Gökbulut, A.; Yazgan, A.N.; Duman, H.; Yilmaz, B.S. Evaluation of the antioxidant potential and Chlorogenic acid contents of three endemic Sideritis taxa from Turkey. FABAD J. Pharm. Sci. 2017, 42, 81. [Google Scholar]
- Sagir, Z.O.; Carikci, S.; Kilic, T.; Goren, A.C. Metabolic profile and biological activity of Sideritis brevibracteata PH Davis endemic to Turkey. Int. J. Food Prop. 2017, 20, 2994–3005. [Google Scholar] [CrossRef]
- Tungmunnithum, D.; Thongboonyou, A.; Pholboon, A.; Yangsabai, A. Flavonoids and other phenolic compounds from medicinal plants for pharmaceutical and medical aspects: An overview. Medicines 2018, 5, 93. [Google Scholar] [CrossRef]
- Khan, T.; Ali, M.; Khan, A.; Nisar, P.; Jan, S.A.; Afridi, S.; Shinwari, Z.K. Anticancer plants: A review of the active phytochemicals, applications in animal models, and regulatory aspects. Biomolecules 2020, 10, 47. [Google Scholar] [CrossRef]
- Jeremic, I.; Tadic, V.; Isakovic, A.; Trajkovic, V.; Markovic, I.; Redzic, Z.; Isakovic, A. The mechanisms of in vitro cytotoxicity of mountain tea, Sideritis scardica, against the C6 glioma cell line. Planta Med. 2013, 79, 1516–1524. [Google Scholar] [CrossRef]
- Yumrutas, O.; Oztuzcu, S.; Pehlivan, M.; Ozturk, N.; Eroz Poyraz, I.; Igci, Y.Z.; Cevik, M.O.; Bozgeyik, I.; Aksoy, A.F.; Bagis, H. Cell viability, anti-proliferation and antioxidant activities of Sideritis syriaca, Tanacetum argenteum sub sp. argenteum and Achillea aleppica subsp. zederbaueri on human breast cancer cell line (MCF-7). J. Appl. Pharm. Sci. 2015, 5, 1–5. [Google Scholar] [CrossRef]
- Demirelma, H.; Gelinci, E. Determination of the cytotoxic effect on human colon cancer and phe nolic substance cont ent of the endemic species sideritis ozturkii Aytaç & Aksoy. Appl. Ecol. Environ. Res 2019, 17, 7407–7419. [Google Scholar]
- Porter, A.G.; Jänicke, R.U. Emerging roles of caspase-3 in apoptosis. Cell Death Differ. 1999, 6, 99–104. [Google Scholar] [CrossRef]
- Sezer, E.N.Ş.; Uysal, T. The Effects of the Sideritis Ozturkii Extract on the Expression Levels of Some Apoptotic Genes. Curr. Perspect. Med. Aromat. Plants (Cupmap) 2018, 1, 8–12. [Google Scholar]
- Slinkard, K.; Singleton, V.L. Total phenol analysis: Automation and comparison with manual methods. Am. J. Enol. Vitic. 1977, 28, 49–55. [Google Scholar]
- Ahmed, D.; Khan, M.M.; Saeed, R. Comparative analysis of phenolics, flavonoids, and antioxidant and antibacterial potential of methanolic, hexanic and aqueous extracts from Adiantum caudatum leaves. Antioxidants 2015, 4, 394–409. [Google Scholar] [CrossRef] [PubMed]
- Ahmed, D.; Fatima, K.; Saeed, R. Analysis of phenolic and flavonoid contents, and the anti-oxidative potential and lipid peroxidation inhibitory activity of methanolic extract of Carissa opaca roots and its fractions in different solvents. Antioxidants 2014, 3, 671–683. [Google Scholar] [CrossRef]
- Chu, Y.H.; Chang, C.L.; Hsu, H.F. Flavonoid content of several vegetables and their antioxidant activity. J. Sci. Food Agric. 2000, 80, 561–566. [Google Scholar] [CrossRef]
- Mosmann, T. Rapid colorimetric assay for cellular growth and survival: Application to proliferation and cytotoxicity assays. J. Immunol. Methods 1983, 65, 55–63. [Google Scholar] [CrossRef]



| % Area | ||||
|---|---|---|---|---|
| Compounds | NTLM | NTLA | NTFM | NTFA |
| Propyl Gallate | 6.53 | 1.26 | 2.43 | 4.22 |
| 2-Monolinolenin | 4.48 | - | 4.17 | |
| alpha-d-Glucofuranosyl benzenesulfonate | 2.17 | - | - | - |
| 1H-Purin-6-amine, [(2-fluorophenyl) methyl] | 10.80 | - | - | - |
| 5,7-Dodecadiyne-1,12-diol | 5.89 | - | - | - |
| Cathine | 7.42 | - | - | 2.74 |
| 1-Monolinoleoylglycerol trimethylsilyl ether | 6.48 | 3.93 | 3.67 | 4.40 |
| Quercetin 7,3′,4′-Trımethoxy | 4.71 | 2.98 | - | - |
| Cyclohexasıloxane, Dodecamethyl | - | 14.10 | 11.89 | 9.11 |
| Cycloheptasiloxane, tetradecamethyl | - | 14.29 | 10.82 | 13.90 |
| p-Tolylthiourea | - | 3.73 | 4.51 | |
| Benzoic acid, 2,4-bis[(trimethylsilyl)oxy]-,trimethylsilyl ester | - | 9.05 | 7.48 | 9.08 |
| Bıstrımethylsılyl N-Acetyl Eıcosasphınga-4,11-Dıenıne | 14.03 | 5.89 | 5.12 | 6.66 |
| Anhydrorhodovibrin | - | 1.66 | 1.80 | - |
| Rhodovibrin | - | - | 4.14 | - |
| 4-(4-Chlorophenyl)-2-(cyclopropyl)-6-[4-[bis(4-fluorophenyl) methyl]piperaziny l-1-yl]benzonitrile | - | - | 4.40 | - |
| 7,12-Dihydro-6,7-bis(4-hydroxyphenyl)-6H- 1,2,4]triazolo[1′,5′:1,2]pyrimido [5,4-c]chromen-2-ol | 7.99 | 4.00 | - | 3.40 |
| 2-(5-(5-[Cyano-(9,9-dimethyl-1,4-dioxa-7-aza-spiro[4.4] non-7-en-8-yl)-methylene]-3,3-dimethylpyrrolidin-2-ylidenemethyl)-3,3-dimethyl-ë1-pyrrolin-5-ylidene methyl-4,4,5-trimethyl-ë1-pyrroline-5-carbonitrile] | 2.50 | - | - | 6.28 |
| 4-(4-Chlorophenyl)-2-(cyclopropyl)-6-[4-[bis(4-fluorophenyl) methyl]piperaziny l-1-yl]benzonitrile | 2.01 | 2.67 | 4.40 | 2.05 |
| Silane, trimethyl(phenethylthio) | - | 3.14 | 2.41 | |
| 8,11-Octadecadiynoic acid, methyl ester | - | 2.08 | - | |
| 9-Desoxo-9x-hydroxy-7-ketoingol 3,8,9,12-tetraacetate | - | 1.67 | 2.18 | - |
| 3,6-Dimethoxy-2,5-dinitrobenzaldehydeoxime | - | 4.22 | - | - |
| 2-(N-Acetylanilino)-1,3-selenazol-4-ylm ethyl]triphenylphosphonium iodide | - | 13.61 | - | 2.22 |
| Assay | NTLM | NTLA | NTFM | NTFA |
|---|---|---|---|---|
| yield of the extracts % | 10.02 | 3.78 | 10.55 | 3.94 |
| TPC (µg mL−1 GAE) | 163.26 ± 0.8 | 111.84 ± 0.6 | 161.09 ± 0.3 | 119.16 ± 0.15 |
| TFC (µg mL−1 Rutin) | 64.33 ± 0.02 | 43.59 ± 0.5 | 28.69 ± 0.4 | 18.06 ± 0.37 |
| DPPH IC50 values (mg mL−1) | 0.236 | 0.404 | 0.277 | 0.509 |
Publisher’s Note: MDPI stays neutral with regard to jurisdictional claims in published maps and institutional affiliations. |
© 2021 by the authors. Licensee MDPI, Basel, Switzerland. This article is an open access article distributed under the terms and conditions of the Creative Commons Attribution (CC BY) license (https://creativecommons.org/licenses/by/4.0/).
Share and Cite
Şimşek Sezer, E.N.; Uysal, T. Phytochemical Analysis, Antioxidant and Anticancer Potential of Sideritis niveotomentosa: Endemic Wild Species of Turkey. Molecules 2021, 26, 2420. https://doi.org/10.3390/molecules26092420
Şimşek Sezer EN, Uysal T. Phytochemical Analysis, Antioxidant and Anticancer Potential of Sideritis niveotomentosa: Endemic Wild Species of Turkey. Molecules. 2021; 26(9):2420. https://doi.org/10.3390/molecules26092420
Chicago/Turabian StyleŞimşek Sezer, Ela Nur, and Tuna Uysal. 2021. "Phytochemical Analysis, Antioxidant and Anticancer Potential of Sideritis niveotomentosa: Endemic Wild Species of Turkey" Molecules 26, no. 9: 2420. https://doi.org/10.3390/molecules26092420
APA StyleŞimşek Sezer, E. N., & Uysal, T. (2021). Phytochemical Analysis, Antioxidant and Anticancer Potential of Sideritis niveotomentosa: Endemic Wild Species of Turkey. Molecules, 26(9), 2420. https://doi.org/10.3390/molecules26092420
